Characteristics and Controlling Factors of Crystalline Dolostone Reservoirs of the Sanshanzi Formation, Central-Eastern Ordos Basin, Northwestern China
Abstract
1. Introduction
2. Geological Setting
3. Methods
4. Results
4.1. Petrographic Characteristics
4.1.1. Crystalline Dolostone with Grain-shadow (Rd1)
4.1.2. Very Fine–fine Crystalline Dolostone (Rd2)
4.1.3. Medium-coarse Crystalline Dolostone (Rd3)
4.2. Porosity and Permeability
4.3. Geochemical Characteristics
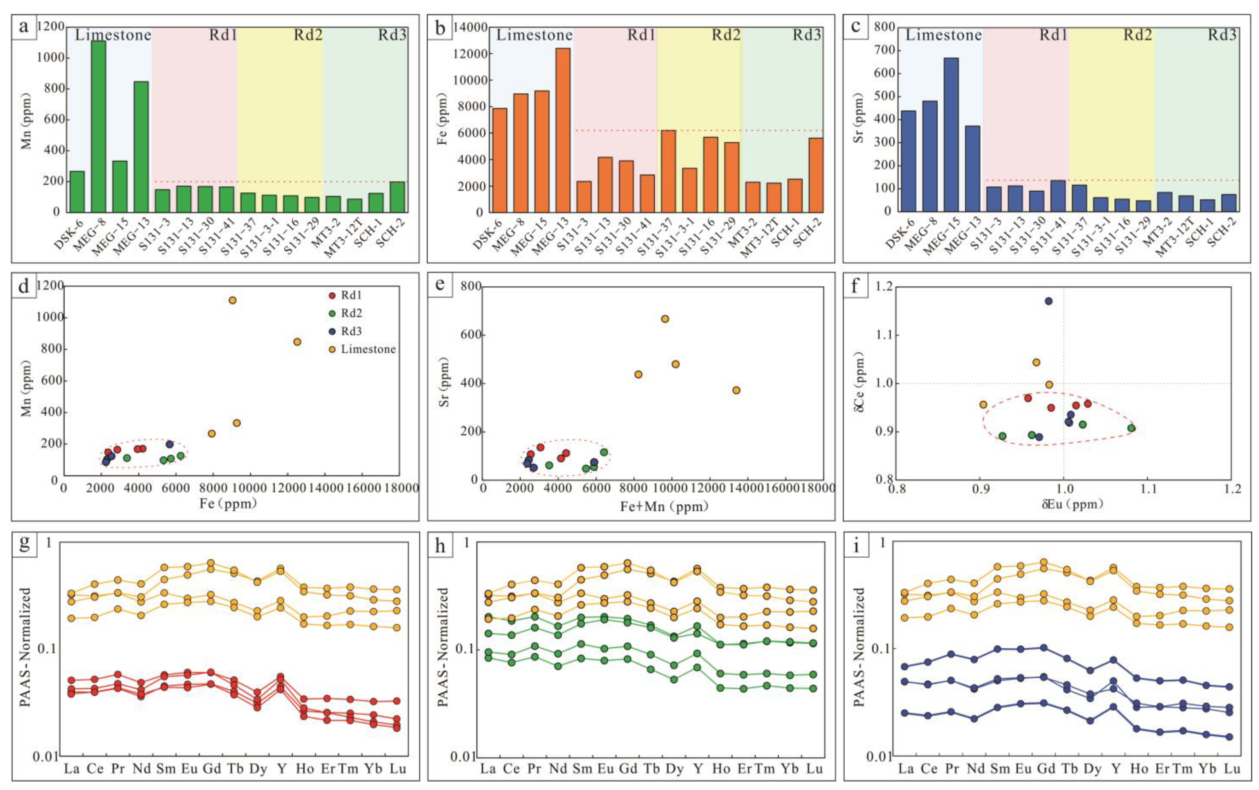
4.3.1. Trace Elements
4.3.2. Rare Earth Elements (REEs)
5. Discussion
5.1. Geochemical Constraints on Diagenetic Fluids
5.1.1. Trace Elements
5.1.2. Rare Earth Elements (REEs)
5.2. Origin of the Sanshanzi Formation Dolostone
5.3. Controlling Factors of Crystalline Dolostone
5.3.1. Depositional Facies
5.3.2. Penecontemporaneous Dissolution
5.3.3. Penecontemporaneous Dolomitization
5.3.4. Recrystallization
5.4. Origin Model of Crystalline Dolostone
6. Conclusions
- This study characterized the petrographic and geochemical features of the crystalline dolostone reservoirs of the Sanshanzi Formation in the central-eastern Ordos Basin. Based on the petrographic and geochemical characteristics of the crystalline dolostones, three kinds of reservoirs were identified, and the origins of the controlling factors were concluded. The reservoir types of the Sanshanzi Formation in the central-eastern Ordos Basin are mainly crystalline dolostone with grain-shadow, very fine–fine crystalline dolostone, and medium–coarse crystalline dolostone. The pore space of crystalline dolostone with grain-shadow, very fine–fine crystalline dolostone, and medium–coarse crystalline dolostone are residual intergranular pores and karst caves, fractures and intercrystalline pores, and intercrystalline solution pores, respectively.
- The formation mechanism of Sanshanzi Formation dolostone in the central-eastern Ordos Basin is seepage reflux dolomitization.
- The development of high-quality dolomite reservoirs in the Sanshanzi Formation in the central-eastern Ordos Basin was controlled by deposition, penecontemporaneous dissolution, dolomitization, and recrystallization. High-quality reservoirs mainly developed in the dolomitic flats, and the selective pore space of fabric formed by karst processes in the penecontemporaneous period plays a key role in the reservoir. The early dolomitization effectively improved the pore structure, inhibited the compacting–pressure dissolution process, and transformed micrite and granular limestone into very fine–fine crystalline dolostone and residual granular dolostone, respectively. In the period of Huaiyuan movement, the weathering crust karst process formed a large-scale dissolution pore, which effectively improved the reservoir performance. Recrystallization transformed the intercrystalline micropores of very fine–fine crystalline dolomite into intercrystalline pores, and the intergranular pores of grain dolostone into residual intergranular pores.
Author Contributions
Funding
Data Availability Statement
Acknowledgments
Conflicts of Interest
References
- Wang, E.Z.; Feng, Y.; Guo, T.L.; Li, M.W. Oil content and resource quality evaluation methods for lacustrine shale: A review and a novel three-dimensional quality evaluation model. Earth–Sci. Rev. 2022, 232, 104134. [Google Scholar] [CrossRef]
- Wang, E.Z.; Li, C.R.; Feng, Y.; Song, Y.C.; Guo, T.L.; Li, M.W.; Chen, Z.H. Novel method for determining the oil moveable threshold and an innovative model for evaluating the oil content in shales. Energy 2022, 239, 121848. [Google Scholar] [CrossRef]
- Li, Y.; Kang, Z.J.; Xue, Z.J.; Zheng, Q.S. Theory and practice of carbonate reservoir development in China. Pet. Explor. Dev. 2018, 45, 669–678. [Google Scholar] [CrossRef]
- Medici, G.; Lorenzi, V.; Sbarbati, C.; Manetta, M.; Petitta, M. Structural Classification, Discharge Statistics, and Recession Analysis from the Springs of the Gran Sasso (Italy) Carbonate Aquifer; Comparison with Selected Analogues Worldwide. Sustainability 2023, 15, 10125. [Google Scholar] [CrossRef]
- Morad, S.; Al-Aasm, I.S.; Nader, F.H.; Ceriani, A.; Gasparrini, M.; Mansurbeg, H. Impact of diagenesis on the spatial and temporal distribution of reservoir quality in the Jurassic Arab D and C members, offshore Abu Dhabi oilfield, United Arab Emirates. Geoarabia 2012, 17, 17–56. [Google Scholar] [CrossRef]
- Machel, H.G. Concepts and Models of Dolomitization: A Critical Reappraisal; Geological Society Special Publications: London, UK, 2004. [Google Scholar]
- Ma, F.; Yang, L.; Gu, J.; Chen, X.; Zhao, Z.; Jin, Y.; Gao, L. Overview of exploration of dolomite oil and gas fields in the world. Acta Sedimentol. Sin. 2011, 29, 1010–1021. (In Chinese) [Google Scholar]
- Sun, L.D.; Zou, C.N.; Zhu, R.K.; Zhang, Y.H.; Zhang, S.C.; Zhang, B.M.; Zhu, G.Y.; Gao, Z.Y. Formation, distribution and potential of deep oil and gas in China. Pet. Explor. Dev. 2013, 40, 641–649. (In Chinese) [Google Scholar] [CrossRef]
- Ma, Y.S.; He, D.F.; Cai, X.Y.; Liu, B. Distribution of Marine carbonate rocks in China and basic problems of petroleum geology. Acta Petrol. Sin. 2017, 33, 1007–1020. (In Chinese) [Google Scholar]
- Warren, J. Dolomite; occurrence, evolution and economically important associations. Earth-Sci. Rev. 2000, 52, 1–81. [Google Scholar] [CrossRef]
- Luczaj, J.A. Evidence against the Dorag (mixing-zone) model for dolomitization along the Wisconsin arch—A case for hydrothermal diagenesis. AAPG Bull. 2006, 90, 1719–1738. [Google Scholar] [CrossRef]
- Huang, S.J. Diagenesis of Carbonate Rocks; Geological Publishing House: Beijing, China, 2010. (In Chinese) [Google Scholar]
- He, Y.L.; Liu, B.; Qin, S. Study on dolomitization mechanism and genesis of dolomite. Acta Sci. Nat. Univ. Pekin. 2010, 46, 150–160. (In Chinese) [Google Scholar]
- Li, Z.; Goldstein, R.H.; Franseen, E.K. Ascending freshwater–mesohaline mixing: A new scenario for dolomitization. J. Sediment. Res. 2013, 83, 277–283. [Google Scholar] [CrossRef]
- Qing, H.; Bosence, D.W.J.; Rose, E.P.F. Dolomitization by penesaline sea water in Early Jurassic peritidal platform carbonates, Gibraltar, western Mediterranean. Sedimentology 2001, 48, 153–163. [Google Scholar] [CrossRef]
- Saller, A.H.; Henderson, N. Distribution of porosity and permeability in platform dolomites; insight from the permian of west texas. AAPG Bull. 1998, 82, 1528–1550. [Google Scholar]
- Morrow, D.W.; Stasiuk, L.D.; Zhao, M. Dolomitization and Burial Diagenesis of Devonian Slave Point and Keg River Formations in the Cordova Embayment Region of Northeast British Columbia, Canada. In CSPG Annual Convention. Calgary, AB: Canadian Society of Petroleum Geologists; American Association of Petroleum Geologists: Tulsa, OK, USA, 2001. [Google Scholar]
- Moore, C.H. Carbonate Diagenesis and Porosity; Elsevier Science: Amsterdam, The Netherlands, 1989. [Google Scholar]
- Mazzullo, S.J.; Harris, P.M. Mesogenetic Dissolution: Its role in Porosity Development in Carbonate Reservoirs. AAPG Bull. 1992, 76, 607–620. [Google Scholar]
- Huang, S.J.; Wang, C.M.; Huang, P.P.; Zou, M.L.; Wang, Q.D.; Gao, X.Y. Research frontiers of carbonate diagenesis and problems worth thinking about. Chengdu Ligong Daxue Xuebao Ziran Kexueban 2008, 35, 1–9. (In Chinese) [Google Scholar]
- Huang, S.J.; Zhang, X.X.; Liu, L.H.; Huan, J.J.; Huang, K.K. Research status and prospect of carbonate diagenesis. Dixue Qianyuan 2009, 16, 219–230. (In Chinese) [Google Scholar]
- Shen, X.; Zhou, S.H.; Wu, C.H. Development of China’s natural gas market in 2022 and outlook for 2023. Int. Pet. Econ. 2023, 31, 25–36. (In Chinese) [Google Scholar]
- Xie, Q.B.; Han, D.X.; Chen, F.H.; Guan, S.R. Genesis and reservoir property of Lower Paleozoic Sanshanzi dolomite in Ordos Basin. Zhongguo Shiyou Daxue Xuebao Ziran Kexueban 2001, 6, 6–12. (In Chinese) [Google Scholar]
- Duan, J. Study on Characteristics of Lower Paleozoic Carbonate Reservoir in Southern Margin of Ordos Basin. Master’s Thesis, Chengdu University of Technology, Chengdu, China, May 2009. (In Chinese). [Google Scholar]
- Zheng, H.F.; Hao, Q.; Ren, Y.S. Characteristics of Cambrian reservoir in the southeast of Ordos Basin. Sci. Technol. Innova. Hera. 2014, 11, 27. (In Chinese) [Google Scholar]
- Guo, J.N. Study on Reservoir Characteristics of Dolomite in Sanshanzi Formation, Southern Ordos Basin. Master’s Thesis, Chengdu University of Technology, Chengdu, China, May 2016. (In Chinese). [Google Scholar]
- Shen, F.; Zou, C.Y.; Li, F.J.; Zhang, H.; Chen, Z.A.; Ni, Z.Y. Origin of dolomite of Cambrian Sanshanzi Formation in Helan Mountain area. J. Chengdu Univ. Technol. 2018, 45, 402–414. (In Chinese) [Google Scholar]
- Liu, J. Analysis and Study of Cambrian Genesis and Reservoir Conditions of LT1 Well and Its Adjacent Areas in Weibei Area. Master’s Thesis, Xi’an Shiyou University, Xi’an, China, June 2017. (In Chinese). [Google Scholar]
- Hao, Z.M. Reservoir Formation Mechanism of the Cambrian Zhangxia Formation and Sanshanzi Formation in Ordos Basin. Ph.D. Thesis, Chengdu University of Technology, China, May 2017. (In Chinese). [Google Scholar]
- Xiang, L. Study on Reservoir Characteristics of Lower Paleozoic in Western Margin of Ordos Basin. Master’s Thesis, Chengdu University of Technology, Chengdu, China, May 2009. (In Chinese). [Google Scholar]
- Wei, G.Q.; Zhu, Q.Y.; Yang, W.; Zhang, C.L.; Mo, W.X. Characteristics of Cambrian faults and their control on sedimentary reservoirs in Ordos Basin. Pet. Explor. Dev. 2019, 46, 836–847. (In Chinese) [Google Scholar] [CrossRef]
- Bai, X.; Zhong, Y.J.; Huang, K.K.; Zhang, S.P.; Zou, Q.; Liu, G. Dolomite recrystallization and its geological significance. Acta Petrol. Sin. 2022, 41, 804–817. (In Chinese) [Google Scholar]
- Yang, J. Tectonic Evolution and Hydrocarbon Distribution in Ordos Basin; Petroleum Industry Press: Beijing, China, 2002. [Google Scholar]
- Hou, L.H.; Lin, S.H.; Zhang, L.J. New insights from geostatistics on the genetic relationship between shales, mudstones, and sandstones within a parasequence in the lower Chang7 member of the upper triassic yanchang formation, ordos basin, northern China. J. Asian. Earth. Sci. 2021, 213, 104767. [Google Scholar] [CrossRef]
- Zhang, C.G. Formation and Evolution of the Central Paleo-Uplift and Its Material Accumulation and Distribution in the Ordos Basin during the Early Paleozoic. Ph.D. Thesis, Chengdu University of Technology, China, May 2013. (In Chinese). [Google Scholar]
- Yang, H.; Xi, S.L.; Wei, X.S.; Li, Z.H. Evolution and natural gas enrichment in the Ordos Multicyclotron Stacked Basin. China Pet. Explor. 2006, 11, 17–24. (In Chinese) [Google Scholar]
- Li, F.; Ma, X.; Lai, X. Petrography, geochemistry and genesis of dolomites in the upper Cambrian Sanshanzi Formation of the western Ordos Basin, northern China. J. Asian Earth Sci. 2022, 223, 104980. [Google Scholar] [CrossRef]
- Deng, K.; Zhang, S.N.; Zhou, L.F.; Ding, X.Q. The prototype basin of Cambrian Zhangxia period and oil-gas exploration prospect in the Ordos Basin. Petrol. Geol. Experi. 2010, 32, 442–446. (In Chinese) [Google Scholar]
- Kang, Y. Early Paleozoic Tectonic Paleogeography and Petroleum Geological Significance of the Western and Southern Ordos Block. Ph.D. Thesis, Northwestern University, China, November 2021. (In Chinese). [Google Scholar]
- Li, W.H.; Chen, Q.; Li, Z.C.; Wang, R.G.; Wang, Y.; Ma, Y. Early Paleozoic lithofacies palaeogeography in Ordos Are. J. Palaeogeogr. 2012, 14, 85–100. (In Chinese) [Google Scholar]
- Chen, Q.L.; Bai, Y.L.; Huang, Y.; Ma, Y.H.; Liu, X.G.; Wei, L.H.; Wan, Y.R.; Han, X.F. Cambrian sequence lithofacies paleogeography, Ordos Basin. Acta Petrol. Sin. 2012, 33, 82–94. (In Chinese) [Google Scholar]
- Huang, H.; Wen, H.; Wen, L.; Zhang, B.J.; Zhou, G.; He, Y.; Wen, L.B.; Zhao, Y.; Jiang, H.C. Multistage dolomitization of deeply buried dolomite in the Lower Cambrian Canglangpu Formation, central and northern Sichuan Basin. Mar. Pet. Geol. 2023, 152, 106261. [Google Scholar] [CrossRef]
- Zhang, X.F.; Cai, Z.X.; Li, L.; Gu, X.D.; Zhao, W.G. Dolomite residual structure and the resulting pore classification problem. J. Sediment. 2011, 29, 475–485. (In Chinese) [Google Scholar]
- Li, M.L.; Tan, X.C.; Li, Y.J.; Liu, Y.L.; Jiang, L.; Xia, J.W. Characteristics and main controlling factors of limestone reef-shoal reservoir: A case study of Upper Permian Changxing Formation, southern Sichuan Basin. Duankuai Youqitian. 2020, 27, 585–590. (In Chinese) [Google Scholar]
- Su, Z.T.; Chen, H.D.; Xu, F.Y.; Wei, L.B.; Li, J. Geochemical characteristics and dolomitization mechanism of Majiagou Formation Dolomite in Ordos Basin. Acta Petrol. Sin. 2011, 27, 2230–2238. (In Chinese) [Google Scholar]
- He, X.Y.; Shou, J.F.; Shen, A.J.; Wu, X.N.; Wang, Y.S.; Hu, Y.Y.; Zhu, Y.; Wei, D.X. Geochemical characteristics and origin of dolomite: A case study from the middle assemblage of Majiagou Formation Member 5 of the west of Jingbian Gas Field, Ordos Basin, North China. Pet. Explor. Dev. 2014, 41, 375–384. (In Chinese) [Google Scholar] [CrossRef]
- Yang, W.; Wang, Q.H.; Liu, X.Z. The hotan river of tarim basin gas field ordovician dolomite formation. J. Sediment. 2000, 04, 544–548. (In Chinese) [Google Scholar]
- McLennan, S.M. Rare earth elements in sedimentary rocks; influence of provenance and sedimentary processes. Rev. Mineral. 1989, 21, 169–200. [Google Scholar]
- Li, X.N.; Huang, S.J.; Huang, K.K.; Yuan, T.; Zhong, Y.J. Geochemical basis of dolomitization Marine fluid in the Middle Permian Qixia Formation, Sichuan Basin. Nat. Gas Ind. 2016, 36, 35–45. (In Chinese) [Google Scholar]
- Hu, Z.G.; Zheng, R.C.; Hu, J.Z.; Wen, H.G.; Li, Y.; Wen, Q.B.; Xu, F.B. Geochemical characteristics of rare Earth elements in dolomite reservoir of Huanglong Formation, Eastern Sichuan and Yubei Area. Acta Petrol. Sin. 2009, 83, 782–790. (In Chinese) [Google Scholar]
- Chen, Y.Q.; Zhou, X.Y. Theory of ion radius: The reassigning theory of metal elements and isotopes during burial diagenesis process for dolostone. Mar. Ori. Pet. Geol. 2009, 14, 65–67. (In Chinese) [Google Scholar]
- Tucker, M.E.; Wright, V.P.; Dickson, J.A.D. Carbonate Sedimentology; Blackwell Scientific Publications Publisher: Oxford, UK, 1990. [Google Scholar]
- Jaffr’es, J.B.D.; Shields, G.A.; Wallmann, K. The oxygen isotope evolution of seawater: A critical review of a long-standing controversy and an improved geological water cycle model for the past 3.4 billion years. Earth-Sci. Rev. 2007, 83, 83–122. [Google Scholar] [CrossRef]
- Yang, H.; Wang, B.Q.; Sun, L.Y.; Ren, J.F.; Huang, Z.L.; Wu, C.Y. Characteristics of oxygen and carbon stable isotopes for middle Ordovician Majiagou Formation carbonate rocks in the Ordos Basin. Nat. Gas Geosci. 2023, 23, 616–625. [Google Scholar]
- Zhang, L.W. Genesis and Evaluation of Dolomite Reservoir in the Mwu_5 Sub-Member of Lower Ordovician in Eastern Ordos Basin. Master’s Thesis, Chengdu University of Technology, Chengdu, China, May 2018. (In Chinese). [Google Scholar]
- Tang, H.S.; Chen, Y.J.; Wu, G.; Lai, Y. Geochemistry of rare earth elements in carbonate rocks of Dashiqiao Formation, Liaohe Group, eastern Liaoning and its implications for Lomagundi Event. Acta Petrol. Sin. 2009, 25, 3075–3093. (In Chinese) [Google Scholar]
- Yao, J.L.; Wang, B.A.; Wang, Y.; Huang, D.J.; Wen, C.X. Geochemical characteristics of dolomites in the Ma 5th Member of the Lower Ordovician Majiagou Formation, Ordos Basin. Acta Sedimentol. Sin. 2009, 27, 381–389. (In Chinese) [Google Scholar]
- Liu, H.Q.; Li, X.B.; Ma, Y.H.; Bai, Y.L.; Huang, J.P. The Huaiyuan movement unconformity and deep natural gas exploration fields in the Ordos Basin. Nat. Gas Ind. 2021, 41, 1–12. (In Chinese) [Google Scholar] [CrossRef]
- Jiang, W.J.; Hou, M.C.; Xing, F.C.; Xu, S.L.; Lin, L.B. Characteristics and significance of rare earth elements in dolomite of Loushanguan Group in southeastern Sichuan. Oil Gas Geol. 2016, 37, 473–482. (In Chinese) [Google Scholar]
- Yu, C.Y.; Cui, J.P.; Wang, Q.Z.; Ren, H.J. Ree characteristics and genesis of dolomites in the Lower and Middle Ordovician Majiagou Formation, Southern Ordos Basin. J. Northwest Univ. Nat. Sci. Ed. 2020, 50, 519–530. (In Chinese) [Google Scholar]
- Nothdurft, L.D.; Webb, G.E.; Kamber, B.S. Rare earth element geochemistry of Late Devonian reefal carbonates, Canning Basin, Western Australia: Confirmation of a seawater REE proxy in ancient limestones. Geochem. Cosmochim. Acta. 2004, 68, 263–283. [Google Scholar] [CrossRef]
- Ding, Z.J.; Yao, S.Z.; Liu, C.Q.; Zhou, Z.G.; Yang, M.G. Study on the Characteristics of Metallogenic Regularity and Metallogenic Regularity in Donggouba Polymetallic Deposit. Acta Sedimentol. Sin. 2003, 19, 792–798. (In Chinese) [Google Scholar]
- Frimmel, H.E. Trace element distitbution in Neoproterozoic carbonates as palaeo enviornmental indicator. Chem. Geol. 2009, 258, 338–353. [Google Scholar] [CrossRef]
- Rivas, E.G.; Martin, J.D.M.; Bons, P.D.; Koehn, D.; Griera, A.; Trave, A.; Llorens, M.G.; Humphrey, E.; Neilson, J. Stylolites and stylolite networks as primary controls on the geometry and distribution of carbonate diagenetic alterations. Mar. Pet. Geol. 2022, 136, 105444. [Google Scholar] [CrossRef]










| Location of Section | No. of Samples | Reservoir Type | Porosity(%) | Permeability (mD) |
|---|---|---|---|---|
| Moergou | MEG-77 | Limestone | 2.48 | 0.01 |
| Moergou | MEG-74 | Limestone | 1.40 | 0.03 |
| Moergou | MEG-67 | Limestone | 2.26 | 0.01 |
| Moergou | MEGs-64 | Limestone | 2.87 | 0.27 |
| S131 | S131-259 | Rd1 | 0.87 | 0.05 |
| S131 | S131-263 | Rd1 | 0.47 | 0.03 |
| S131 | S131-264 | Rd1 | 1.78 | 0.04 |
| S131 | S131-269 | Rd1 | 0.58 | 0.06 |
| S131 | S131-270 | Rd1 | 0.90 | 0.14 |
| S131 | S131-275 | Rd1 | 1.36 | 0.04 |
| S131 | S131-276 | Rd1 | 2.14 | 0.05 |
| S131 | S131-279 | Rd1 | 1.70 | 0.04 |
| S131 | S131-7 | Rd1 | 1.51 | 0.03 |
| S131 | S131-10 | Rd1 | 2.57 | 0.04 |
| S131 | S131-19 | Rd1 | 2.04 | 0.02 |
| S131 | S131-30 | Rd1 | 1.37 | 0.02 |
| Sanchuanhe | SCH-6 | Rd1 | 5.06 | 0.62 |
| M76 | M76-10 | Rd2 | 4.38 | 4.44 |
| Zhuozishan | ZZS-1 | Rd2 | 2.56 | 0.02 |
| Zhuozishan | ZZS-2 | Rd2 | 2.27 | 0.01 |
| Zhuozishan | ZZS-3 | Rd2 | 3.40 | 0.69 |
| Zhuozishan | ZZS-4 | Rd2 | 2.31 | 0.01 |
| Zhuozishan | ZZS-6 | Rd2 | 2.51 | 0.06 |
| Zhuozishan | ZZS-8 | Rd2 | 4.64 | 0.05 |
| M76 | M76-15 | Rd2 | 5.21 | 0.25 |
| Moergou | MEG-80 | Rd2 | 2.87 | 0.24 |
| MT3 | MT3-3 | Rd3 | 5.79 | 1.63 |
| MT3 | MT3-2 | Rd3 | 3.74 | 0.76 |
| MT3 | MT3-12J | Rd3 | 2.61 | 0.05 |
| MT3 | MT3-12T | Rd3 | 5.46 | 2.12 |
| MT3 | MT3-57 | Rd3 | 2.81 | 0.08 |
| Sanchuanhe | SCH-1 | Rd3 | 2.66 | 0.01 |
| Sanchuanhe | SCH-2 | Rd3 | 8.30 | 2.25 |
| Zhongtiaoshan | ZTS-8 | Rd3 | 5.54 | 0.35 |
| Location of Section | No. of Sample | Reservoir Type | Mn (ppm) | Fe (ppm) | Sr (ppm) | Cu/Zn | V/Cr |
|---|---|---|---|---|---|---|---|
| Dongshankou | DSK-6 | Limestone | 266.82 | 7929.98 | 437.77 | 0.38 | 3.53 |
| Moergou | MEG-8 | 1110.96 | 9044.42 | 480.31 | 1.12 | 2.25 | |
| Moergou | MEG-15 | 333.39 | 9268.88 | 667.30 | 0.21 | 2.87 | |
| Moergou | MEG-13 | 847.21 | 12521.10 | 372.28 | 0.37 | 3.49 | |
| S131 | S131-3 | Rd1 | 148.09 | 2370.47 | 107.74 | 0.99 | 5.44 |
| S131 | S131-13 | 171.03 | 4212.81 | 112.35 | 0.57 | 3.54 | |
| S131 | S131-30 | 168.31 | 3944.63 | 90.07 | 0.18 | 0.89 | |
| S131 | S131-41 | 165.19 | 2860.82 | 135.86 | 0.64 | 3.84 | |
| S131 | S131-37 | Rd2 | 125.92 | 6257.35 | 115.58 | 0.30 | 2.83 |
| S131 | S131-3-1 | 111.84 | 3375.96 | 61.71 | 0.76 | 1.92 | |
| S131 | S131-16 | 108.54 | 5735.62 | 54.85 | 0.48 | 3.17 | |
| MT3 | MT3-29 | 98.00 | 5334.71 | 47.63 | 0.74 | 2.19 | |
| MT3 | MT3-2 | Rd3 | 104.14 | 2312.75 | 83.87 | 0.72 | 2.09 |
| MT3 | MT3-12T | 86.53 | 2247.55 | 69.02 | 0.55 | 1.90 | |
| Sanchuanhe | SCH-1 | 123.43 | 2545.96 | 51.99 | 0.33 | 2.08 | |
| Sanchuanhe | SCH-2 | 198.59 | 5663.95 | 75.06 | 0.86 | 5.60 |
| Dongshankou | Moergou | S131 | S131 | MT3 | MT3 | Sanchuanhe | ||||||||||
|---|---|---|---|---|---|---|---|---|---|---|---|---|---|---|---|---|
| DSK-6 | MEG-8 | MEG-15 | MEG-13 | S131-3 | S131-13 | S131-30 | S131-41 | S131-37 | S131-3-1 | S131-16 | MT3-29 | MT3-2 | MT3-12T | SCH-1 | SCH-2 | |
| Limestone | Rd1 | Rd2 | Rd3 | |||||||||||||
| La (ppm) | 0.32 | 0.28 | 0.19 | 0.33 | 0.04 | 0.05 | 0.04 | 0.04 | 0.20 | 0.08 | 0.10 | 0.14 | 0.05 | 0.05 | 0.03 | 0.03 |
| Ce (ppm) | 0.31 | 0.31 | 0.20 | 0.40 | 0.04 | 0.05 | 0.04 | 0.04 | 0.19 | 0.08 | 0.09 | 0.14 | 0.05 | 0.05 | 0.02 | 0.03 |
| Pr (ppm) | 0.33 | 0.34 | 0.24 | 0.44 | 0.04 | 0.06 | 0.04 | 0.05 | 0.20 | 0.09 | 0.11 | 0.16 | 0.05 | 0.05 | 0.03 | 0.69 |
| Nd (ppm) | 0.27 | 0.31 | 0.21 | 0.41 | 0.04 | 0.05 | 0.04 | 0.04 | 0.17 | 0.07 | 0.09 | 0.14 | 0.04 | 0.04 | 0.02 | 0.09 |
| Sm (ppm) | 0.34 | 0.45 | 0.26 | 0.58 | 0.05 | 0.06 | 0.04 | 0.06 | 0.20 | 0.08 | 0.11 | 0.18 | 0.05 | 0.05 | 0.03 | 0.00 |
| Eu (ppm) | 0.30 | 0.49 | 0.27 | 0.59 | 0.05 | 0.06 | 0.04 | 0.06 | 0.20 | 0.08 | 0.10 | 0.19 | 0.05 | 0.05 | 0.03 | 0.00 |
| Gd (ppm) | 0.32 | 0.56 | 0.28 | 0.64 | 0.05 | 0.06 | 0.05 | 0.06 | 0.20 | 0.08 | 0.11 | 0.18 | 0.05 | 0.05 | 0.03 | 0.00 |
| Tb (ppm) | 0.27 | 0.51 | 0.24 | 0.55 | 0.04 | 0.05 | 0.04 | 0.05 | 0.17 | 0.07 | 0.09 | 0.16 | 0.04 | 0.05 | 0.03 | 0.66 |
| Dy (ppm) | 0.23 | 0.43 | 0.20 | 0.42 | 0.03 | 0.04 | 0.03 | 0.03 | 0.13 | 0.05 | 0.07 | 0.13 | 0.03 | 0.04 | 0.02 | 0.09 |
| Y (ppm) | 0.28 | 0.57 | 0.24 | 0.53 | 0.04 | 0.06 | 0.04 | 0.05 | 0.17 | 0.07 | 0.09 | 0.14 | 0.05 | 0.04 | 0.03 | 0.02 |
| Ho (ppm) | 0.20 | 0.38 | 0.17 | 0.34 | 0.03 | 0.03 | 0.02 | 0.03 | 0.11 | 0.04 | 0.06 | 0.11 | 0.03 | 0.03 | 0.02 | 0.40 |
| Er (ppm) | 0.20 | 0.37 | 0.17 | 0.32 | 0.03 | 0.03 | 0.02 | 0.03 | 0.11 | 0.04 | 0.06 | 0.11 | 0.03 | 0.03 | 0.02 | 0.16 |
| Tm (ppm) | 0.23 | 0.38 | 0.17 | 0.32 | 0.03 | 0.03 | 0.02 | 0.02 | 0.12 | 0.05 | 0.06 | 0.12 | 0.03 | 0.03 | 0.02 | 0.98 |
| Yb (ppm) | 0.22 | 0.36 | 0.16 | 0.29 | 0.02 | 0.03 | 0.02 | 0.02 | 0.12 | 0.04 | 0.06 | 0.12 | 0.03 | 0.03 | 0.02 | 0.22 |
| Lu (ppm) | 0.23 | 0.36 | 0.16 | 0.28 | 0.02 | 0.03 | 0.02 | 0.02 | 0.11 | 0.04 | 0.06 | 0.12 | 0.03 | 0.03 | 0.02 | 0.00 |
| ΣREE + Y (ppm) | 4.07 | 6.08 | 3.16 | 6.44 | 0.54 | 0.70 | 0.51 | 0.60 | 2.40 | 0.98 | 1.26 | 2.14 | 0.61 | 0.62 | 0.35 | 3.37 |
| ΣLREE (ppm) | 1.88 | 2.16 | 1.37 | 2.75 | 0.25 | 0.33 | 0.25 | 0.29 | 1.16 | 0.48 | 0.60 | 0.94 | 0.29 | 0.29 | 0.16 | 0.83 |
| ΣHREE + Y (ppm) | 2.19 | 3.92 | 1.80 | 3.69 | 0.29 | 0.37 | 0.26 | 0.31 | 1.24 | 0.49 | 0.66 | 1.19 | 0.32 | 0.33 | 0.19 | 2.53 |
| ΣLREE/(ΣHREE + Y) (ppm) | 0.86 | 0.55 | 0.76 | 0.75 | 0.87 | 0.88 | 0.95 | 0.93 | 0.93 | 0.97 | 0.91 | 0.79 | 0.99 | 0.91 | 0.90 | 0.33 |
| δCe (ppm) | 0.96 | 1.00 | 0.92 | 1.04 | 0.95 | 0.96 | 0.97 | 0.95 | 0.92 | 0.89 | 0.89 | 0.91 | 0.89 | 0.94 | 0.92 | 1.17 |
| δEu (ppm) | 0.90 | 0.98 | 1.01 | 0.97 | 1.01 | 1.03 | 0.96 | 0.99 | 1.02 | 0.96 | 0.93 | 1.08 | 0.97 | 1.01 | 1.01 | 0.98 |
Disclaimer/Publisher’s Note: The statements, opinions and data contained in all publications are solely those of the individual author(s) and contributor(s) and not of MDPI and/or the editor(s). MDPI and/or the editor(s) disclaim responsibility for any injury to people or property resulting from any ideas, methods, instructions or products referred to in the content. |
© 2023 by the authors. Licensee MDPI, Basel, Switzerland. This article is an open access article distributed under the terms and conditions of the Creative Commons Attribution (CC BY) license (https://creativecommons.org/licenses/by/4.0/).
Share and Cite
Wu, C.; Liu, B.; Wei, L.; Liu, X.; Lu, F.; He, Q.; Shi, K.; Zhao, Q.; Chen, S. Characteristics and Controlling Factors of Crystalline Dolostone Reservoirs of the Sanshanzi Formation, Central-Eastern Ordos Basin, Northwestern China. Minerals 2023, 13, 1015. https://doi.org/10.3390/min13081015
Wu C, Liu B, Wei L, Liu X, Lu F, He Q, Shi K, Zhao Q, Chen S. Characteristics and Controlling Factors of Crystalline Dolostone Reservoirs of the Sanshanzi Formation, Central-Eastern Ordos Basin, Northwestern China. Minerals. 2023; 13(8):1015. https://doi.org/10.3390/min13081015
Chicago/Turabian StyleWu, Chun, Bo Liu, Liubin Wei, Xinshe Liu, Feifan Lu, Qing He, Kaibo Shi, Qing Zhao, and Senran Chen. 2023. "Characteristics and Controlling Factors of Crystalline Dolostone Reservoirs of the Sanshanzi Formation, Central-Eastern Ordos Basin, Northwestern China" Minerals 13, no. 8: 1015. https://doi.org/10.3390/min13081015
APA StyleWu, C., Liu, B., Wei, L., Liu, X., Lu, F., He, Q., Shi, K., Zhao, Q., & Chen, S. (2023). Characteristics and Controlling Factors of Crystalline Dolostone Reservoirs of the Sanshanzi Formation, Central-Eastern Ordos Basin, Northwestern China. Minerals, 13(8), 1015. https://doi.org/10.3390/min13081015
