Abstract
This study investigated the impact of mechanically modified pyrite on the dearsenification of arsenopyrite through bacterial oxidation. Pyrite was mechanically modified using a planetary high-energy ball mill, and the resulting changes in the crystal structure were characterized using particle size analysis, specific surface area measurements, scanning electron microscopy (SEM), Raman spectroscopy, and X-ray diffraction (XRD). Pearson correlation analysis was employed to examine the relationship between the crystal structure of modified pyrite and the bacterial oxidation of arsenopyrite. The study also investigated the mechanism of arsenic removal using pyrite with varying degrees of mechanical modification during arsenopyrite bio-oxidation. The key findings are as follows: (1) The maximum extent of arsenopyrite dearsenification by bacteria was achieved at a pyrite modification degree of 400 r·min−1 and reached 96.01%, which was 14.49% higher than that for unmodified pyrite and 24.13% higher than that in the absence of pyrite. At this degree, the modified pyrite exhibited a median diameter of 1.33 μm (minimum) and a specific surface area of 3123 m2·kg−1 (maximum). (2) Pearson correlation analysis revealed a significant negative correlation between the extent of arsenopyrite dearsenification and the particle size and grain size of pyrite, and a significant positive correlation with the specific surface area and the amorphous degree of pyrite. A smaller particle size and grain size, larger specific surface area, and a higher amorphous degree were associated with a higher extent of dearsenification. (3) The mechanism of enhanced arsenopyrite dearsenification using mechanically modified pyrite was attributed to autocatalytic dissolution. The galvanic effect directly enhanced dearsenification, while the mechanical modification facilitated the direct oxidation of pyrite by bacteria, releasing a significant amount of Fe3+ and indirectly enhancing the dearsenification of arsenopyrite.
1. Introduction
With the large-scale exploitation of gold ores, gold resources that are easy to select and smelt are decreasing, and arsenic-containing refractory gold deposits have become the main resources of the gold industry. The development and utilization of arsenic-bearing refractory gold deposits will be the key to increasing gold production around the world [1]. Arsenopyrite and pyrite are common gold-bearing minerals in these arsenic-bearing gold deposits. Gold is microscopic or submicroscopic and exists in the crystal lattice of arsenopyrite or pyrite with extremely fine disseminated particle sizes. However, it is difficult to achieve mineral liberation using a mechanical method, resulting in high arsenic content in the concentrate. In the process of cyanidation of refractory gold ore containing arsenic, the wrapped gold cannot bond with a cyanide solution, which reduces the extent of gold extraction [2]. In addition, the presence of arsenopyrite will increase the consumption of cyanide in the process of cyanide gold extraction [3]. Therefore, in order to improve the recovery rate of gold via cyanidation, it is necessary to adopt appropriate methods to remove arsenic from the refractory gold concentrate containing arsenic [4,5].
The biological oxidation method can oxidize arsenopyrite and pyrite in gold mines into soluble sulfuric acid, sulfate, and arsenate. It has become the most promising pretreatment method because of its simple operation, normal temperature operation, clean environment, and low cost [6,7]. In the process of bacterial oxidation, arsenopyrite shows selective preferential leaching of arsenic. Due to the toxicity of arsenic, the growth of bacteria is inhibited, and the efficiency of arsenic removal is reduced. In addition, the sediment produced during the bacterial oxidation of arsenopyrite may also be attached to the surface of arsenopyrite to prevent further oxidation of the arsenic by bacteria [8]. When pyrite and arsenopyrite coexist in the bacterial leaching system, the presence of pyrite accelerates the oxidative decomposition of arsenopyrite. Although the decomposition of arsenopyrite releases As(III), which inhibits the growth and metabolism of microorganisms, the oxidative decomposition of pyrite increases bacterial activity and Fe3+ concentration, thereby enhancing the leaching of arsenopyrite. The galvanic effect is the main principle of the bio-oxidation of arsenopyrite that is enhanced by pyrite [9,10,11].
With the rapid development of modern characterization methods, the mechanical activation (MA) method has once again entered the field of vision of researchers [12]. Although it cannot force the arsenic-containing refractory gold ore to reach a degree of mineral liberation, it can make the minerals enter a high-energy active state after being subjected to mechanical force [13]. When mechanical activation is combined with hydrometallurgical leaching, the purpose of strengthening mineral leaching can be achieved [14]. In order to improve the efficiency of the bacterial oxidation of arsenopyrite, the mechanical activation method was combined with the bacterial oxidation method [14]. There is no relevant research on the effect of the crystal structure of pyrite on arsenic removal during the bioleaching of arsenopyrite. Therefore, this paper focuses on the influence of the structure and properties of mechanically modified pyrite on the arsenic removal mechanism by arsenopyrite bioleaching.
The main research contents of this paper are as follows: The pyrite was mechanically modified via a planetary high-energy ball mill, and the crystal structure change of the mechanically modified pyrite was explored by modern analysis and testing methods. The arsenic removal mechanism by pyrite with six different mechanical modification degrees in the process of arsenopyrite bio-oxidation was studied. Figure 1 shows the research idea of this paper. These research results are helpful to understand the mechanism of pyrite-enhanced arsenopyrite bioleaching. According to our research results, the structure of pyrite can be regulated by appropriate mechanical activation conditions so as to improve the extent of the biological oxidative dearsenification of arsenopyrite. Our research has important guiding significance and application value for improving the arsenic removal efficiency of pyrite/arsenopyrite-refractory gold ore.
Figure 1.
Experimental research flow chart.
2. Experiments and Methods
2.1. Raw Materials
2.1.1. Pyrite
The raw materials used in these experiments are pure pyrite minerals produced from a deposit in Hunan. The results of the chemical analysis are shown in Table 1. In order to avoid mechanical activation during the crushing process, it was only coarsely crushed through a 40 mesh and then treated with 6 mol·L−1 hydrochloric acid at room temperature to remove impurities such as carbonate, sulfate, and iron oxide.
Table 1.
Chemical composition of the samples.
It can be seen from Table 1 that the Fe and S content of the pyrite is 45.0% and 54.5%, respectively. The results show that the purity of the pyrite is very high and that the ratio of sulfur to iron is close to 2:1. Powder X-ray diffraction (XRD) analysis (Figure 2) was carried out on unmodified pyrite, and the results showed that each diffraction peak of the sample matched the diffraction peak of pyrite in the ICDD database (ICDD#01-071-2219).
Figure 2.
X-ray diffraction pattern of the pyrite used in this study.
The pyrite was modified using a planetary high-energy ball mill (QM3SP) as the mechanical modification equipment. The material of the grinding ball and the grinding tank was zirconia, the mass ratio of the ball to the material was 10:1, the activation time was 60 min, and the mechanical modification of pyrite was carried out under the conditions of a grind speed of 0, 200, 300, 400, 500, and 580 r·min−1, and six kinds of pyrite with different modification degrees were obtained. In order to prevent the occurrence of the deactivation effect, pyrite activated at different activation rates was stored in a vacuum environment.
2.1.2. Arsenopyrite
The arsenopyrite utilized in this experimental study was sourced from Inner Mongolia. The quantitative analysis of the principal elements was conducted using atomic absorption spectrometry (Hitachi, Z-2300, Tokyo, Japan). The chemical composition of the arsenopyrite sample is presented in Table 2.
Table 2.
Chemical composition of the arsenopyrite used in this study.
As presented in Table 2, the arsenopyrite sample exhibits As, Fe, and S contents of 47.4%, 35.9%, and 16.6%, respectively. X-ray diffraction analysis was conducted to investigate the phase composition and cell parameters, revealing that the sample consists of triclinic arsenopyrite crystals with minimal impurities (Figure 3). The experimental powder diffraction data of the structure corresponded to that for PDF number 43508.
Figure 3.
The X-ray diffraction pattern of the arsenopyrite used in this study.
2.2. Analytical Methods
Inductively coupled plasma (ICP, DV 8300) was used to determine As in solutions. A portable pH meter (Lei Ci PHBJ-260) equipped with a platinum composite electrode (Ag/AgCl) and a pH electrode was used to measure the solution’s Eh and pH values.
To assess the surface area and particle size of mechanically activated pyrite, a particle size analyzer (Malvern, Mastersize 3000, Malvern, UK) and a surface area analyzer (Micromeritics, ASAP2020M, Norcross, GA, USA) were utilized.
For a comparative analysis of the impact of different activation speeds on the crystal structure and the correlation between crystal structure evolution and dearsenification, XRD phase analysis was carried out by using a diffractometer D8 ADVANCE (Karlsruhe, Germany) instrument. The experimental settings comprised Cu-Kα radiation at 40 kV and 40 mA, a scanning step of 0.05° per step, a time constant of 1 s, and a scan range of 25° to 125°. The obtained diffraction patterns were indexed; the unit cell parameters, grain size, micro-strain, amorphous degree, and other parameters were calculated by Jade; and the degree of mechanical modification of the pyrite was measured by these parameters.
Raman spectroscopy, a method used to investigate molecular structures and lattice vibration, was utilized in this experiment. Raman spectra were acquired using an HR800 spectrometer manufactured by France HORIBA JobinYvon (Paris). Monochromatic light with a wavelength of 532 nm from an argon-ion laser served as the excitation source with an incident power of 100 mW. The Raman spectral data were processed using professional spectral analysis software LabSpec5.0.
2.3. Bioleaching
In this study, the mixed culture HQ0211, consisting of Sulfobacillus, Leptospirillum, Ferroplasma, and other species, was obtained from the Bio-metallurgical Laboratory at Northeastern University in China.
In the bacterial oxidation experiment, 200 mL of bacterial solution (inoculation amount of bacteria, 100.0 vol%) at an initial pH of 1.6 ± 0.05 and Eh 690 mV were added to the 500 mL conical flask. The pulp density was 2% (the mass ratio of arsenopyrite to pyrite was 3:1), and then the conical flask was placed in a constant temperature oscillation incubator at a temperature of 45 ± 1 °C and a rotation speed of 165 ± 5 r·min−1. The biological oxidation of arsenopyrite without pyrite was used as the blank control group, which was named Apy. During the experiment, the Eh, pH, and arsenic contents of the seven oxidation solutions were tested. According to the activation degree of pyrite, the six groups of shaking bottles were named Apy+Py, Apy+Py-MA200, Apy+Py-MA300, Apy+Py-MA400, Apy+Py-MA500, and Apy+Py-MA580, respectively.
The dearsenification extent was calculated according to the formula:
where η represents the dearsenification extent (%), CAs is the concentration of arsenic in the leaching solution (g·L−1), V is the volume of leached liquid (L), m is the mass of arsenopyrite in leaching tests, and ωAs is the mass fraction of arsenic in arsenopyrite.
η = 100CAs·V/(m·ωAs)
3. Results and Discussion
3.1. Bioleaching Experiments
It is well known that pyrite and arsenopyrite are important gold-bearing sulfide minerals and that arsenopyrite is a sulfide ore with high oxidation activity. Previous studies have shown that in the process of bacterial oxidation, the oxidative decomposition of pyrite is mainly direct, while that of arsenopyrite is mainly indirect [9]. The variation in the Eh–pH of the solution was determined by the reaction of the pyrite–arsenopyrite bacterial oxidation system. Their oxidation process can be described using the following reactions (2) to (10) [15,16].
In the bacterial oxidation system of pyrite–arsenopyrite, the oxidation of sulfur and arsenic and the formation of iron vitriol precipitates are all acid-producing reactions (Reactions (2), (3), (5)–(10)), which promote a decrease in the pH of the solution, but the oxidation of Fe2+ in the solution to Fe3+ under the action of bacteria is an acid-consuming reaction (Reaction (4)), which increases the pH of the solution. At the same time, the concentration changes in Fe3+ and Fe2+ are closely related to the potential changes in the solution. The potential of the system can not only reflect the growth activity of the bacteria, but also reflect the oxidation degree of the ore sample. Figure 4 shows the Eh–pH changes of pyrite with different modification degrees in the bacterial oxidation system of arsenopyrite.
Figure 4.
Changes of Eh–pH during bacterial oxidation in the pyrite–arsenopyrite system. ((a) Eh; (b) pH).
From Figure 4, it can be seen that the bacterial oxidation reaction of pyrite with different modification degrees and arsenopyrite can be roughly divided into three stages: an adaptation period (0–6 d), a transition period (6–16 d), and a reaction period (16–35 d). During the adaptation period (0–6 d), the Eh and pH of the solution decreased rapidly, because Fe3+ in the solution reacted with pyrite or arsenopyrite at the initial stage of the reaction to generate Fe2+ and H+ (Reactions (6) and (7)). At the same time, due to the low bacterial density and weak oxidation ability, the generated Fe2+ ions could not be rapidly oxidized into Fe3+ ions (Reaction (4)). During the transition period (6–16 d), the Eh–pH of the solution began to first increase and then decrease, because with the extension of the reaction time, the bacteria gradually adapted to the solution environment and began to multiply in large numbers. Their ability to oxidize Fe2+ also increased rapidly, which rapidly consumed H+ in the solution (Reaction (4)), resulting in an increase in the potential and pH of the solution. At the same time, the newly generated Fe3+ and bacteria interact with pyrite and arsenopyrite to continuously generate Fe2+ and H+ (Reactions (2)–(3) and (6)–(7)), resulting in a decrease in pH and potential. During the reaction period (16–35 d), the potential of the solution gradually increased while the pH gradually decreased, which was mainly due to the rapid increase in bacterial density and strong bacterial activity at this stage, which accelerated the leaching speed of pyrite and arsenopyrite. The generated Fe3+ and H+ exceeded the consumed Fe2+ and H+, which led to the increase in the potential and the decrease in pH. Figure 5 shows the effects of different modified pyrites on the extent of the bacterial oxidative dearsenification of arsenopyrite at the end of leaching. According to Figure 5, after 35 days of bioleaching, the extent of dearsenification of pure arsenopyrite (only 71.88%) is lower than that of arsenopyrite with unmodified pyrite (81.52%), and the dearsenification effect of the bioleaching of arsenopyrite enhanced by pyrite with different degrees of modification is different. The extent of dearsenification by bioleaching of arsenopyrite with added pyrite modified at 400 r·min−1 is the highest (96.01%). There is no doubt that the addition of pyrite in the bacterial oxidation system of arsenopyrite can improve the dearsenification extent [17]. However, a study on the ability of mechanically modified pyrite to further enhance the bacterial oxidative dearsenification of arsenopyrite has not been reported.
Figure 5.
The extent of dearsenification of arsenopyrite when different modified pyrite cooperated with bacterial oxidation for 35 days.
It can be seen in Figure 4 and Figure 5 that the addition of pyrite in the bioleaching process of arsenopyrite is beneficial to leaching, and the mechanically modified pyrite is more favorable for the dissolution of arsenic during the bio-oxidation of arsenopyrite. What causes this phenomenon? In order to find out the reason for this result, we conducted in-depth research on pyrite with different degrees of modification.
3.2. Mechanism of Enhanced Dearsenification by Mechanically Modified Pyrite
3.2.1. Particle Size and Specific Surface Area
Within the scope of this study, the extent of pyrite modification was assessed in relation to various grinding speeds. Figure 6 illustrates the particle size distribution of pyrite at different levels of modification. Initially, the particle size distribution of non-activated pyrite exhibited a relatively wide range, but more particles were of a larger size. However, as the ball-milling speed increased, the particle size distribution deviated from a standard normal distribution and began to move toward a smaller particle size. At a milling speed of 400 r·min−1, the highest proportion of mineral particles fell within the 1–10 μm range. Subsequently, with a further increase in grinding speed, the particle size distribution moved more toward smaller sizes. This phenomenon primarily stems from the accumulation and agglomeration of small pyrite particles on the surfaces of larger particles [18]. Such agglomeration hampers grain refinement, impeding the progression of mineral crushing and fine grinding, and thus does not facilitate the desired outcomes.
Figure 6.
Particle size distribution of pyrite with different degrees of modification.
The impact of grinding speed on the median diameter, specific surface area, and dearsenification extent of the particles is depicted in Figure 7. It is evident that an escalation in milling speed significantly augments the specific surface area and diminishes the particle size of the sample. Notably, at a milling speed of approximately 400 r·min−1, the sample exhibits the extrema for median diameter (1.33 μm) and specific surface area (3123 m2·kg−1). However, as the grinding speed continues to rise, the particles commence agglomerating into larger entities. The conspicuous morphological transformation induced by the mechanical effect on pyrite encompasses a reduction in particle size and an increase in specific surface area. These alterations prove advantageous for the removal of arsenic from arsenopyrite through bacterial oxidation, as illustrated in Figure 7. This outcome can be attributed to the amplified specific surface area of pyrite subsequent to mechanical modification, which leads to an increased bacterial adsorption capacity on the mineral surface and fosters the oxidative decomposition of pyrite (Reaction (2). Consequently, this indirectly accelerates the oxidative decomposition of arsenopyrite (Reaction (7)), thus bolstering the dearsenification extent.
Figure 7.
Effect of grinding speed on median diameter, specific surface area, and dearsenification extent of pyrite.
In this paper, the correlation between the median diameter and specific surface area of pyrite after mechanical modification and the extent of arsenopyrite dearsenification was found. Figure 8 shows the correlation between them. It can be clearly seen from Figure 8 that the relationship between the extent of dearsenification of arsenopyrite via bacterial oxidation and the median diameter and specific surface area of modified pyrite is significantly different. The Pearson correlation coefficient between the extent of bio-oxidation dearsenification of arsenopyrite and the median diameter of modified pyrite is −0.93, and the p-value (significance test results) is less than 0.01, indicating that the extent of bio-oxidation dearsenification of arsenopyrite is highly negatively correlated with the median diameter of pyrite (Figure 8a). The Pearson correlation coefficient between the extent of bio-oxidation dearsenification of arsenopyrite and the specific surface area of pyrite is 0.89, and the p-value (significance test results) is between 0.01 and 0.05, indicating that the extent of bio-oxidation dearsenification of arsenopyrite is significantly positively correlated with the specific surface area of pyrite (Figure 8b).
Figure 8.
The correlation between the median diameter and specific surface area of modified pyrite and the extent of bacterial oxidation dearsenification of arsenopyrite. (a) Correlation between median diameter and dearsenification extent. (b) Correlation between specific surface area and dearsenification extent.
3.2.2. Particle Morphology and Microstructure
The alteration of pyrite’s mineral surface and particle size resulting from mechanical modification provided favorable conditions for accelerating the bio-oxidation of arsenopyrite. Figure 9 illustrated the surface morphology of pyrite at varying degrees of modification. It was evident from the diagram that as the degree of mechanical modification increased, the microstructure of pyrite gradually transformed from irregular-shaped particles with distinct diamond corners and smooth surfaces to flocculent pellets with rough surfaces. Non-activated pyrite particles exhibited irregular polyhedral shapes with multiple planes or boundaries. The ore particles displayed a highly compact surface without any visible cracks (Figure 9a). Under the influence of mechanical force, pyrite particles underwent progressive refinement, causing the particle boundaries to become rounded without sharp edges or corners (Figure 9b,c). The smallest particle size and the most concentrated distribution were achieved at a grinding speed of 400 r·min−1 (Figure 7 and Figure 8), resulting in a rough particle surface without agglomeration (Figure 9d). Pyrite exhibiting this morphological characteristic could diffuse more easily in the solution. This enhanced diffusion not only increased the probability of contact with arsenopyrite particles and facilitated the formation of numerous galvanic cell pairs, thereby promoting the oxidative decomposition of arsenopyrite for arsenic removal, but also amplified bacterial adsorption on the surface and within the particles. Consequently, the direct oxidation effect of bacteria on pyrite was intensified, leading to the release of more Fe3+ and consequently strengthening the efficiency of arsenopyrite oxidation and dearsenification. These findings were consistent with the experimental results presented in Section 3.1 elucidating the impact of synergistic bacterial oxidation using differently modified pyrite on arsenopyrite dearsenification. However, when the grinding speed was further increased, pronounced particle agglomeration became evident (Figure 9e,f) due to surface interactions. At this stage, the particles exhibited high surface energy, and the van der Waals force between the ultrafine powder particles became substantial, hindering the dearsenification process.
Figure 9.
SEM images of differently mechanically modified pyrite. ((a) Py; (b) Py-MA200; (c) Py-MA300; (d) Py-MA400; (e) Py-MA500; (f) Py-MA580).
3.2.3. Crystal Structure Evolution of Pyrite
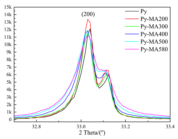
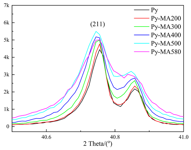
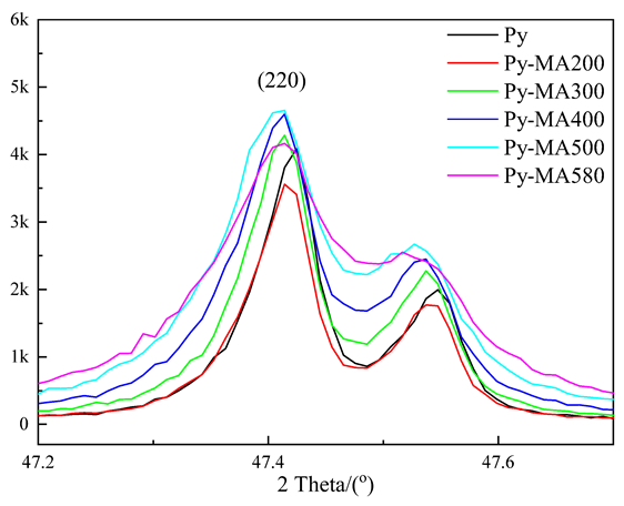
The alteration in the chemical reactivity of pyrite following mechanical modification is primarily manifested through changes in its crystal structure. To comprehensively investigate the influence of mechanical modification on the evolution of the crystal structure, pyrite samples subjected to various degrees of mechanical modification were analyzed using X-ray diffraction (XRD). XRD is widely regarded as the most reliable method for determining both grain size and lattice distortion. The application of significant mechanical force during planetary ball-milling induces lattice deformation and crystal refinement, leading to an increase in the full width at half-maximum (FWHM) of the XRD peaks. Figure 10 displays the refined XRD patterns of pyrite obtained at different grinding speeds. The absence of new peaks indicates the absence of new phases being formed.
Figure 10.
XRD refinement diagram of pyrite with different modifications.
Studies have shown that the grain size and lattice defects of the samples will affect the shape and width of the diffraction peaks. Table 3 shows the FWHM of the first six diffraction peaks and the amplification diagram of each diffraction peak. Table 3 reveals that as the grinding speed rises, there is an augmentation in the FWHM of the diffraction peaks. When the grinding speed reaches 400 r·min−1, the FWHM of the diffraction peaks begins to increase significantly. From these changes, it can be inferred that the grain size and crystallinity of activated pyrite under increasing activation speeds are decreasing, and the degree of reduction is increasing. These observations further support the notion of size reduction and crystal structure distortion resulting from mechanical activation.
Table 3.
The change in the FWHM and amplification diagram for the different samples.
The lattice parameters, grain size, amorphous degree, and microscopic strain of pyrite were calculated using Jade6, and the results are depicted in Figure 11. With an increase in the grinding speed, the lattice parameters, amorphization degree, and microscopic strain exhibited an upward trend, while the grain size consistently decreased. This result also corresponds to the increase of the FWHM. This observation can be attributed to the continuous application of mechanical force during the modification process, which leads to a rise in temperature and pressure within the grinding tank, causing the pyrite cell to distort, resembling a compressed spring [19,20]. Previous studies have revealed that microorganisms tend to selectively attach to mineral surfaces where lattice defects and low crystallinity are prevalent [21]. In comparison with the results of dearsenification through bacterial oxidation (Figure 5), the introduction of modified pyrite into the bioleaching system of arsenopyrite enhances the dearsenification capacity via oxidation. Hence, it can be postulated that the improvement in the biological arsenic removal performance from arsenopyrite may be associated with the lattice parameters, grain size, amorphization degree, and microscopic strain of pyrite with varying degrees of modification. To investigate the correlation between the percentage of dearsenification through bacterial oxidation and the lattice parameters, grain size, degree of amorphization, and microscopic strain of pyrite, the Pearson correlation analysis method was employed for statistical analysis using Origin software. The results are presented in Table 4.
Figure 11.
Spider chart of lattice parameters, grain size, amorphization degree, and microscopic strain of pyrite with different modification degrees.
Table 4.
The Pearson correlation coefficient of dearsenification extent with lattice parameter, grain size, amorphization degree, and microscopic strain.
According to Table 4, the correlation coefficient between the extent of bacterial oxidative dearsenification and the cell parameters of arsenopyrite is 0.68, but the p-value is greater than 0.05, so the correlation between the extent of bacterial oxidative dearsenification and the cell parameters of arsenopyrite is not significant, that is, there is no significant correlation between them. Similarly, there was no significant correlation between the extent of bacterial oxidative dearsenification of arsenopyrite and the microscopic strain. The correlation coefficient between the extent of bacterial oxidative dearsenification and the grain size of the arsenopyrite is −0.92, and the p-value is less than 0.01. Therefore, there is a very significant strong negative correlation between them. Similarly, the correlation coefficient between the extent of dearsenification of arsenopyrite via bacterial oxidation and the degree of amorphization is 0.87, and the p-value is between 0.01 and 0.05, so there is a significant strong positive correlation between the extent of dearsenification of arsenopyrite by bacterial oxidation and the degree of amorphization.
The results show that the grain size and amorphization degree of pyrite after mechanical modification have an effect on the extent of arsenic removal from arsenopyrite via bacterial oxidation. The smaller the grain size and the higher the degree of amorphism, the higher the extent of bacterial oxidation of arsenopyrite. However, the cell parameters and microscopic strain of pyrite have little effect on the bacterial oxidation of arsenopyrite.
3.2.4. Raman Spectral Analysis
Raman spectroscopy is a reliable technique for detecting small metal sulfide crystallites and is frequently utilized to evaluate crystallinity and stress [22]. The Raman spectra of the samples employed in this study are presented in Figure 12. The standard Raman spectrum of pyrite comes from the RRUFF Database (numbered R0501903). The standard Raman spectrum of pyrite exhibits three discernible peaks, positioned at 343, 380 and 432 cm−1, respectively (Figure 12a). All observed peaks are below 480 cm−1, and the strongest peaks appear between 300 and 400 cm−1. Although all peaks are discernible in Figure 12b, slight variations in peak position, intensity, and width were observed, potentially attributed to the distinct properties of the pyrite utilized in the test compared with that in the standard Raman spectrum. Raman Peak 3 was not addressed in this paper due to its weak intensity.
Figure 12.
Standard Raman spectra of pyrite (a) and Raman spectra of pyrite with different modifications (b).
The peak positions of the two characteristic Raman peaks within the dashed line are summarized in Table 5, indicating that the Raman peaks of activated pyrite exhibited varying degrees of deviation. A shift toward shorter wavelengths with an increase in wave number is referred to as a blue shift, while a shift toward longer wavelengths is termed a red shift [23]. From Table 5, it is evident that the Raman spectral peaks of modified pyrite demonstrated a red shift when compared to unmodified pyrite. The largest shift occurred at a grinding speed of 400 r·min−1, after which the Raman spectral peaks gradually exhibited a blue shift with increasing grinding speed. These changes in the Raman spectra of pyrite crystals unequivocally arise from mechanical activation.
Table 5.
Raman shifts of pyrite with different activation degrees.
However, with the increase in the degree of modification, the compressive stress increases to a certain extent, which will also cause other crystal planes of the pyrite cell to produce Raman stress, making the Raman spectrum peak blue-shift. In addition to the stress, the grain size is also a factor that causes the Raman spectrum peak to move [24,25]. The smaller the particle size, the greater the blue-shift of the Raman spectrum peak, which is consistent with the XRD results.
In addition to the change in the peak position, the changes in peak intensity and peak width also show a certain regularity. The Raman spectrum peak intensity of the modified pyrite gradually decreases with the deepening of the modification degree, while the peak width becomes wider with the increase in the modification degree. The change in the peak intensity and peak width of the Raman spectrum is usually reflected in the crystallinity of the material. The decrease in the peak intensity or the broadening of peak width indicates that the crystallinity of pyrite decreases and the degree of amorphization increases during the modification process, which also corresponds to the results of the XRD.
3.3. Mechanism Analysis of Enhanced Dearsenification
The above results show that the dissolution mechanism of arsenopyrite in the mechanically modified pyrite combined with a bacterial leaching system can be regarded as an autocatalytic dissolution effect with the participation of bacteria, as shown in Figure 13.
Figure 13.
Mechanism of dearsenification from arsenopyrite enhanced by mechanically modified pyrite and bacteria.
At first, the ferric ions slowly dissolved from pyrite and arsenopyrite under the action of bacteria are used as the initiator of the autocatalytic dissolution effect by pyrite on arsenopyrite. Then, the pyrite and arsenopyrite are continuously dissolved under the action of ferric ions, and ferrous ions are continuously released. With the participation of bacteria, ferrous ions are transformed into ferric ions, so that the autocatalytic dissolution system is formed. This explains why adding pyrite to the bioleaching process of arsenopyrite can promote the decomposition of arsenopyrite. Due to the larger specific surface area of mechanically modified pyrite, the amount of bacterial adsorption increases. The oxidation of modified pyrite by bacteria was greater than that of unmodified pyrite, and the concentration of ferric iron produced was greater. Therefore, the addition of modified pyrite in the bacterial oxidation process of arsenopyrite will be more beneficial to the dissolution of arsenic in arsenopyrite.
4. Conclusions
In order to improve the effect of the bacterial oxidative dearsenification of arsenopyrite, mechanically modified pyrite was added to the bioleaching process of arsenopyrite, and the effects of macro- and microstructural changes to pyrite with six different degrees of modification on the oxidative dearsenification of arsenopyrite were studied. The results are as follows:
Adding mechanically modified pyrite to the bacterial oxidation process of arsenopyrite can significantly improve the dearsenification extent. When pyrite modified at a grinding speed of 400 r·min−1 was added, the dearsenification extent reached a maximum of 96.01%, which was +14.49% higher than that of the unmodified pyrite and +24.13% higher than that in the absence of pyrite.
The macroscopic structure changes of mechanically modified pyrite are mainly reflected in the decrease in particle size and the increase in specific surface area. The microstructure changes are reflected in the changes in cell parameters, grain size, amorphous degree and micro-strain. Pearson correlation analysis shows that the extent of bacterial oxidative dearsenification of arsenopyrite has a significant negative correlation with the particle size and grain size of pyrite, while it has a significant positive correlation with the specific surface area and amorphous degree of pyrite.
The process of the dearsenification of arsenopyrite enhanced by adding mechanically modified pyrite can be regarded as an autocatalytic dissolution effect with the participation of bacteria. Because the particles of the modified pyrite become smaller, the specific surface area becomes larger, and the surface becomes rough, which not only makes it easier for pyrite to diffuse in the solution but also increases the probability of contact with the arsenopyrite particles and the formation of a large number of galvanic cell pairs. All this promotes the oxidation and decomposition of arsenopyrite but also increases the adsorption amount of bacteria on the surface and inside the particles, which strengthens the direct oxidation of pyrite by bacteria, releasing more Fe3+, thus strengthening the oxidation and dearsenification efficiency of arsenopyrite.
Notably, our research results have important guiding significance and application value for improving the dearsenification efficiency of the pretreatment of refractory gold ores containing pyrite/arsenopyrite.
Author Contributions
Conceptualization, H.Y. and Y.C.; methodology, Y.C.; software, Y.C.; validation, H.Y., Y.C. and L.T.; formal analysis, Y.C.; investigation, Y.C., G.C. and S.Z.; resources, H.Y.; data curation, Y.C. and G.C.; writing—original draft preparation, Y.C. and G.C.; writing—review and editing, Y.C.; visualization, Y.C.; supervision, H.Y.; project administration, H.Y.; funding acquisition, H.Y. All authors have read and agreed to the published version of the manuscript.
Funding
This study was financially supported by the National Natural Science Foundation of China (52274348), the National Key R&D Program of China (2018YFC1902002) and (2018YFC1902001) and Key projects of Liaoning Province’s science and technology plan (2022JH1/10400024).
Data Availability Statement
Not applicable.
Acknowledgments
Thanks are due to Hongying Yang and Linlin Tong for valuable scientific tips in preparing this research project.
Conflicts of Interest
The authors declare that they have no known competing financial interests or personal relationships that could have appeared to influence the work reported in this paper.
References
- Coudert, L.; Bondu, R.; Rakotonimaro, T.V.; Rosa, E.; Guittonny, M.; Neculita, C.M. Treatment of As-Rich Mine Effluents and Produced Residues Stability: Current Knowledge and Research Priorities for Gold Mining. J. Hazard. Mater. 2020, 386, 121920. [Google Scholar] [CrossRef] [PubMed]
- Gökelma, M.; Birich, A.; Stopic, S.; Friedrich, B. A Review on Alternative Gold Recovery Re-Agents to Cyanide. J. Mater. Sci. Chem. Eng. 2016, 4, 8–17. [Google Scholar] [CrossRef]
- Ramsell, V.; Subasinghe, G. Effectiveness of Lead as an Alternative to Copper Activation in Gold Bearing Iron Sulfide Flotation. In Proceedings of the XXV International Mineral Processing Congress (IMPC), Brisbane, Australia, 6 October 2010. [Google Scholar]
- Song, Y.; Yang, H.Y.; Tong, L.L. Bioleaching of Complex Refractory Gold Ore Concentrate of China: Comparison of Shake Flask and Continuous Bioreactor. Adv. Mater. Res. 2015, 1130, 243–246. [Google Scholar] [CrossRef]
- Mesa Espitia, S.L.; Lapidus, G.T. Pretreatment of a Refractory Arsenopyritic Gold Ore Using Hydroxyl Ion. Hydrometallurgy 2015, 153, 106–113. [Google Scholar] [CrossRef]
- Zhang, Z.Q.; Liu, S.M.; Li, C.; Li, H.X.; Wu, C. Bacterial Pre-Oxidation of Refractory Gold Concentrate from the High Altitude Areas and Cyanidation Leaching of Gold. Guocheng Gongcheng Xuebao/Chin. J. Process Eng. 2012, 12, 49–53. [Google Scholar]
- Boduen, A.Y.; Fokina, S.B.; Polezhaev, S.Y. The Hydrometallurgical Pretreatment of a Refractory Gold Sulfide Concentrate. In Innovation-Based Development of the Mineral Resources Sector: Challenges and Prospects, Proceedings of the 11th Conference of the Russian-German Raw Materials, Potsdam, Germany, 7–8 November 2018; CRC Press: London, UK, 2019. [Google Scholar]
- Min, X.B.; Chai, L.Y.; Chen, W.L.; Zhang, C.F.; Zhong, H.Y.; Kuang, Z.; Yu, X. Bioleaching of Refractory Gold Ore. II. Mechanism on Bioleaching of Arsenopyrite by Thiobacillus Ferrooxidans. Trans. Nonferrous Met. Soc. China 2002, 12, 142–146. [Google Scholar]
- Langhans, D.; Lord, A.; Lampshire, D.; Burbank, A.; Baglin, E. Biooxidation of an Arsenic-Bearing Refractory Gold Ore. Miner. Eng. 1995, 8, 147–158. [Google Scholar] [CrossRef]
- Cui, R.; Yang, H.; Zhang, G.; Ma, Y.; Fan, J.; Li, K. Biooxidation of High Arsenic Gold Concentrate with Arsenopyrite Type. Huagong Xuebao/J. Chem. Ind. Eng. 2008, 59, 3090–3094. [Google Scholar]
- Fang, F.; Zhong, H.; Jiang, F.M.; Luo, Z.Y.; Sun, X.W.; Xu, K.Y. Effect of Pyrite on Bioleaching of Arsenopyrite. Zhongguo Youse Jinshu Xuebao/Chin. J. Nonferrous Met. 2013, 23, 2970–2976. [Google Scholar]
- Baláž, P. Mechanical Activation in Hydrometallurgy. Int. J. Miner. Process. 2003, 72, 341–354. [Google Scholar] [CrossRef]
- Bai, Y.; Wang, W.; Zhao, S.; Lu, D.; Xie, F.; Dreisinger, D. Effect of Mechanical Activation on Leaching Behavior and Mechanism of Chalcopyrite. Miner. Process. Extr. Metall. Rev. 2022, 43, 440–452. [Google Scholar] [CrossRef]
- Zheng, X.F.; Cao, S.T.; Nie, Z.Y.; Chen, J.H.; Ling, W.B.; Liu, L.Z.; Pan, X.; Yang, H.Y.; Xia, J.L. lan Impact of Mechanical Activation on Bioleaching of Pyrite: A DFT Study. Miner. Eng. 2020, 148, 106209. [Google Scholar] [CrossRef]
- Wang, G.; Xie, S.; Liu, X.; Wu, Y.; Liu, Y.; Zeng, T. Bio-Oxidation of a High-Sulfur and High-Arsenic Refractory Gold Concentrate Using a Two-Stage Process. Miner. Eng. 2018, 120, 94–101. [Google Scholar] [CrossRef]
- Fernandez, M.G.M.; Mustin, C.; de Donato, P.; Barres, O.; Marion, P.; Berthelin, J. Occurrences at Mineral–Bacteria Interface during Oxidation of Arsenopyrite by Thiobacillus Ferrooxidans. Biotechnol. Bioeng. 1995, 46, 13–21. [Google Scholar] [CrossRef]
- Nyashanu, R.M.; Monhemius, A.J.; Buchanan, D.L. The Effect of Ore Mineralogy on the Speciation of Arsenic in Bacterial Oxidation of Refractory Arsenical Gold Ores. Process Metall. 1999, 9, 431–441. [Google Scholar] [CrossRef]
- Li, X.; Chen, Z.; Chen, X.; Zhang, Y.; Niu, Y. Effects of Mechanical Activation Methods on Thermo-Oxidation Behaviors of Pyrite. J. Wuhan Univ. Technol. Mater. Sci. Ed. 2015, 30, 974–980. [Google Scholar] [CrossRef]
- Budd, L.E.; Ibberson, R.M.; Marshall, W.G.; Parsons, S. The Effect of Temperature and Pressure on the Crystal Structure of Piperidine. Chem. Cent. J. 2015, 9, 18. [Google Scholar] [CrossRef] [PubMed]
- Chen, Y.; Yang, H.; Liu, Y.; Chen, G. Structural Evolution of Arsenopyrite and Dearsenification by Mechanical Activation. J. Environ. Chem. Eng. 2021, 9, 104682. [Google Scholar] [CrossRef]
- Rohwerder, T.; Gehrke, T.; Kinzler, K.; Sand, W. Bioleaching Review Part A: Progress in Bioleaching: Fundamentals and Mechanisms of Bacterial Metal Sulfide Oxidation. Appl. Microbiol. Biotechnol. 2003, 63, 239–248. [Google Scholar] [CrossRef]
- Gaur, R.; Manikandan, P.; Manikandan, D.; Umapathy, S.; Padhy, H.M.; Maaza, M.; Elayaperumal, M. Noble Metal Ion Embedded Nanocomposite Glass Materials for Optical Functionality of UV–Visible Surface Plasmon Resonance (SPR) Surface-Enhanced Raman Scattering (SERS) X-Ray and Electron Microscopic Studies: An Overview. Plasmonics 2021, 16, 1461–1493. [Google Scholar] [CrossRef]
- Orlando, A.; Franceschini, F.; Muscas, C.; Pidkova, S.; Bartoli, M.; Rovere, M.; Tagliaferro, A. A Comprehensive Review on Raman Spectroscopy Applications. Chemosensors 2021, 9, 262. [Google Scholar] [CrossRef]
- Xu, J.F.; Ji, W.; Shen, Z.X.; Li, W.S.; Tang, S.H.; Ye, X.R.; Jia, D.Z.; Xin, X.Q. Raman Spectra of CuO Nanocrystals. J. Raman Spectrosc. 1999, 30, 413–415. [Google Scholar] [CrossRef]
- Chen, Z.W.; Lai, J.K.L.; Shek, C.H. Influence of Grain Size on the Vibrational Properties in Mn2O3 Nanocrystals. J. Non. Cryst. Solids 2006, 352, 3285–3289. [Google Scholar] [CrossRef]
Disclaimer/Publisher’s Note: The statements, opinions and data contained in all publications are solely those of the individual author(s) and contributor(s) and not of MDPI and/or the editor(s). MDPI and/or the editor(s) disclaim responsibility for any injury to people or property resulting from any ideas, methods, instructions or products referred to in the content. |
© 2023 by the authors. Licensee MDPI, Basel, Switzerland. This article is an open access article distributed under the terms and conditions of the Creative Commons Attribution (CC BY) license (https://creativecommons.org/licenses/by/4.0/).




























