LA-ICP-MS Trace Element Geochemistry of Sphalerite and Metallogenic Constraints: A Case Study from Nanmushu Zn–Pb Deposit in the Mayuan District, Shaanxi Province, China
Abstract
1. Introduction
2. Geological Background
2.1. Regional Geology
2.2. Ore Deposit Geology
3. Samples and Analytical Methods
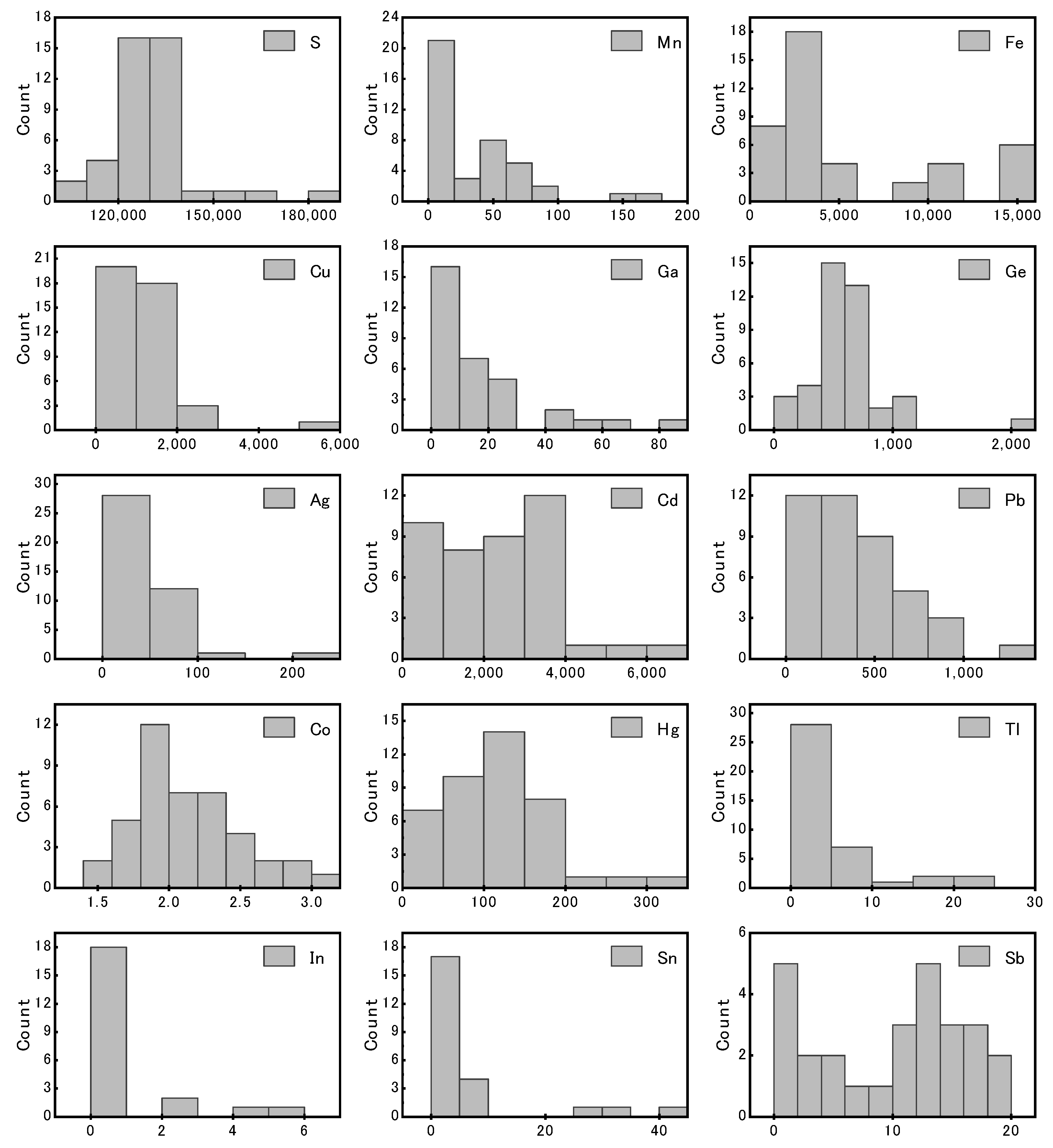
4. Results
5. Discussion
5.1. Occurrence of Trace Elements in Sphalerite
5.2. Substitution Mechanisms of Zn by Trace Elements
5.2.1. Iron Element
5.2.2. Cadmium Element
5.2.3. Germanium Element
5.3. Ore-Forming Temperature
5.4. Genesis of Ore Deposit
6. Conclusions
- (1)
- Sphalerite from the Nanmushu deposit contains various trace elements, such as Mn, Fe, Cu, Ga, Ge, Ag, Cd, Pb, Co, Hg, Tl, In, Sn, and Sb. Among them, Ag, Ge, Cd, and Cu are valuable components that may be recovered during mineral processing or smelting techniques.
- (2)
- Most of the trace elements in sphalerite occur as isomorphs, while a small amount of Pb, Fe, and Ag occur as tiny mineral inclusions. Zn2+ can be easily substituted by Fe2+, Mn2+, Pb2+, and Tl3+ in the form of isomorphism, Cd2+ and Hg2+ together, or Mn2+, Pb2+, and Tl3+ together to replace Zn2+; that is, (3Mn, 3Pb, 2Tl)6+, 3(Cd, Hg)2+) ↔ 3Zn2+. Cu+ exhibits a tendency to combine with Ge4+ or Ga3+ to substitute for Zn2+; that is, Ge4+ + 2Cu+ ↔ 3Zn2+ or 2Ga3+ + 2Cu+ ↔ 4Zn2+.
- (3)
- Trace element compositions of the Nanmushu sphalerite indicate that Zn mineralization occurred under low-temperature conditions (<200 °C). Based on previous studies, we comprehensively believe that Nanmushu is an MVT deposit.
Author Contributions
Funding
Data Availability Statement
Acknowledgments
Conflicts of Interest
References
- Frenzel, M.; Hirsch, T.; Gutzmer, J. Gallium, germanium, indium, and other trace and minor elements in sphalerite as a function of deposit type—A meta-analysis. Ore Geol. Rev. 2016, 76, 52–78. [Google Scholar] [CrossRef]
- Luo, K.; Cugerone, A.; Zhou, M.; Zhou, J.; Sun, G.; Xu, J.; He, K.; Lu, M. Germanium enrichment in sphalerite with acicular and euhedral textures: An example from the Zhulingou carbonate-hosted Zn(-Ge) deposit, South China. Miner. Deposita 2022, 57, 1343–1365. [Google Scholar] [CrossRef]
- Ye, L.; Cook, N.J.; Ciobanu, C.L.; Liu, Y.; Zhang, Q.; Liu, T.; Gao, W.; Yang, Y.; Danyushevskiy, L. Trace and minor elements in sphalerite from base metal deposits in South China: A LA-ICPMS study. Ore Geol. Rev. 2011, 39, 188–217. [Google Scholar] [CrossRef]
- Liu, Y.C.; Hou, Z.Q.; Yue, L.L.; Ma, W.; Tang, B.L. Critical metals in sediment-hosted Pb-Zn deposits in China. Chin. Sci. Bull. 2022, 67, 406–424. [Google Scholar] [CrossRef]
- Cook, N.J.; Ciobanu, C.L.; Pring, A.; Skinner, W.; Shimizu, M.; Danyushevsky, L.; Saini-eidukat, B.; Melcher, F. Trace and minor elements in sphalerite: A LA-ICPMS study. Geochim. Cosmochim. Acta 2009, 73, 4761–4791. [Google Scholar] [CrossRef]
- Sun, G.; Zhou, J. Application of Machine Learning Algorithms to Classification of Pb–Zn Deposit Types Using LA–ICP–MS Data of Sphalerite. Minerals 2022, 12, 1293. [Google Scholar] [CrossRef]
- Sahlström, F.; Arribas, A.; Dirks, P.; Corral, I.; Chang, Z. Mineralogical Distribution of Germanium, Gallium and Indium at the Mt Carlton High-Sulfidation Epithermal Deposit, NE Australia, and Comparison with Similar Deposits Worldwide. Minerals 2017, 7, 213. [Google Scholar] [CrossRef]
- Jaskula, B. Gallium. In US Geological Survey Mineral Commodity Summaries; US Geological Survey: Reston, VA, USA, 2017; pp. 64–65. Available online: https://minerals.usgs.gov/minerals/pubs/commodity/gallium/mcs-2017-galli.pdf (accessed on 15 September 2017).
- Guberman, D. Germanium. In US Geological Survey Mineral Commodity Summaries; US Geological Survey: Reston, VA, USA, 2017; pp. 70–71. Available online: https://minerals.usgs.gov/minerals/pubs/commodity/germanium/mcs-2017-germa.pdf (accessed on 15 September 2017).
- Li, X.F.; Zhu, Y.T.; Xu, J. Indium as a critical mineral: A research progress report. Chin. Sci. Bull. 2020, 65, 3678–3687. [Google Scholar] [CrossRef]
- Werner, T.; Mudd, G.M.; Jowitt, S.M. The world’s by-product and critical metal resources part III: A global assessment of indium. Ore Geol. Rev. 2017, 86, 939–956. [Google Scholar] [CrossRef]
- Hayes, S.M.; Mccullough, E.A. Critical minerals: A review of elemental trends in comprehensive criticality studies. Resour. Policy 2018, 59, 192–199. [Google Scholar] [CrossRef]
- Zhang, J.; Shao, Y.; Liu, Z.; Chen, K. Sphalerite as a record of metallogenic information using multivariate statistical analysis: Constraints from trace element geochemistry. J. Geochem. Explor. 2022, 232, 106883. [Google Scholar] [CrossRef]
- Xing, B.; Mao, J.; Xiao, X.; Liu, H.; Zhang, C.; Guo, S.; Li, H.; Huang, W.; Lai, C. Metallogenic discrimination by sphalerite trace element geochemistry: An example from the Fengyan Zn-Pb deposit in central Fujian, SE China. Ore Geol. Rev. 2022, 141, 104651. [Google Scholar] [CrossRef]
- Hou, M.T.; Wang, D.G.; Deng, S.B.; Yang, Z.R. Geology and genesis of the Mayuan lead-zinc mineralization belt in the Shaanxi Province. Northwest. Geol 2007, 40, 42–60, (In Chinese with English Abstract). [Google Scholar]
- Xiong, S.; Jiang, S.; Ma, Y.; Liu, T.; Zhao, K.; Jiang, M.; Zhao, H. Ore genesis of Kongxigou and Nanmushu Zn-Pb deposits hosted in Neoproterozoic carbonates, Yangtze Block, SW China: Constraints from sulfide chemistry, fluid inclusions, and in situ S-Pb isotope analyses. Precambrian Res. 2019, 333, 105405. [Google Scholar] [CrossRef]
- Wang, X.H.; Xue, C.J.; Li, Z.M.; Li, Q.; Yang, R.J. Geological and geochemical characteristics of Mayuan Pb-Zn ore deposit on northern margin of Yangtze landmass. Miner. Depos. 2008, 27, 37–48, (In Chinese with English Abstract). [Google Scholar]
- Gao, Y.B.; Li, K.; Qian, B.; Li, W.Y.; Zheng, M.C.; Zhang, C.G. Trace elements, S, Pb, He, Ar and C isotopes of sphalerite in the Mayuan Pb-Zn deposit, at the northern margin of the Yangtze Plate, China. Acta Petrol. Sin. 2016, 32, 251–263, (In Chinese with English Abstract). [Google Scholar]
- Xiong, S.-F.; Gong, Y.-J.; Yao, S.-Z.; Shen, C.-B.; Ge, X.; Jiang, S.-Y. Nature and Evolution of the Ore-Forming Fluids from Nanmushu Carbonate-Hosted Zn-Pb Deposit in the Mayuan District, Shaanxi Province, Southwest China. Geofluids 2017, 2017, 2410504. [Google Scholar] [CrossRef]
- Wang, H.; Wang, J.B.; Zhu, X.Y.; Cheng, X.Y.; Jiang, B.B. Discussion of ore-forming material source and sulfur and lead isotopic geochemistry of Mayuan Pb-Zn deposit in Shaanxi. Miner. Resour. Geol. 2017, 31, 241–247, (In Chinese with English Abstract). [Google Scholar]
- Wang, G.; Huang, Z.; Zhao, F.; Li, N.; Fu, Y. The relationship between hydrocarbon accumulation and Mississippi Valley-type Pb-Zn mineralization of the Mayuan metallogenic belt, the northern Yangtze block, SW China: Evidence from ore geology and Rb-Sr isotopic dating. Resour. Geol. 2020, 70, 188–203. [Google Scholar] [CrossRef]
- Song, Z.; Chen, C.; Yang, Y.; Zhang, Y.; Yin, L.; Li, H. Mineralization age and sources of ore-forming material of the Nanmushu Zn-Pb deposit in the Micangshan Tectonic Belt at the northern margin of the Yangtze Craton, China: Constraints from Rb-Sr dating and Sr-Pb isotopes. Resour. Geol. 2020, 70, 273–295. [Google Scholar] [CrossRef]
- Li, H.M.; Chen, Y.C.; Wang, D.H.; Li, H.Q. Geochemistry and mineralization age of the Mayuan zinc deposit, Nanzheng, southern Shaanxi, China. Geol. Bull. China 2007, 26, 546–552, (In Chinese with English Abstract). [Google Scholar]
- Hou, M.T. The relationship between organic matter and lead-zinc mineralization in the Mayuan lead-zinc deposit, Shaanxi Province. Geol. China 2009, 36, 861–870, (In Chinese with English Abstract). [Google Scholar]
- Huang, Z.; Wang, G.; Li, N.; Fu, Y.; Lei, Q.; Mao, X. Genetic link between Mississippi Valley-Type (MVT) Zn-Pb mineralization and hydrocarbon accumulation in the Nanmushu, northern margin of Sichuan Basin, SW China. Geochemistry 2021, 81, 125805. [Google Scholar] [CrossRef]
- Gao, Y.B.; Li, K.; Zhang, J.W.; Guo, W.; Han, Y.X.; Liu, T.H.; Chao, Y.Y. Geochemical characteristics of organic matters and metallogenesis of Mayuan Pb-Zn deposit in the northern margin of Yangtze Plate, China. J. Earch Sci. Environ. 2021, 43, 276–290, (In Chinese with English Abstract). [Google Scholar]
- Chen, B.Y. Study on Geological Characteristics of Pb-Zn Deposits in Mayuan, Nanzheng County. Master’s Thesis, Chang’an University, Xi’an, China, 2013. (In Chinese with English Abstract). [Google Scholar]
- Qi, W.; Hou, M.T.; Wang, K.M.; Wang, D.G. A large-scale stratabound lead-zinc metallogenic belt discovered in the Mayuan area. Geol. Bull. China 2004, 23, 1139–1142, (In Chinese with English Abstract). [Google Scholar]
- Li, H.M.; Wang, D.H.; Zhang, C.Q.; Chen, Y.C.; Li, L.X. Characteristics of trace and rare earth elements in minerals from some typical lead-zinc deposits of Shaanxi Province. Miner. Depos. 2009, 28, 434–448, (In Chinese with English Abstract). [Google Scholar]
- Hu, P.; Wu, Y.; Zhang, C.Q.; Hu, M.Y. Trace and minor elements in sphalerite from the Mayuan lead-zinc deposit, northern margin of the Yangtze Plate: Implications from LA-ICP-MS analysis. Acta Miner. Sin. 2014, 34, 461–468, (In Chinese with English Abstract). [Google Scholar]
- Wu, Y.; Kong, Z.G.; Chen, M.H.; Zhang, C.Q.; Cao, L.; Tang, Y.J.; Yuan, X.; Zhang, P. Trace elements in sphalerites from the Mississippi Valley-type lead-zinc deposits around the margins of Yangtze Block and its geological implications: A LA-ICPMS study. Acta Petrol. Sin. 2019, 35, 3443–3460, (In Chinese with English Abstract). [Google Scholar]
- Liu, S.W.; Li, R.X.; Liu, Y.H.; Zeng, R. Geochemical characteristics and metallogenic mechanism of the Mayuan Pb-Zn deposit on the northern margin of Yangtze Plate. Acta Geosci. Sin. 2016, 37, 101–110, (In Chinese with English Abstract). [Google Scholar]
- Song, Z.J.; Chen, C.H.; Zhang, Y.; Yin, L.; Li, H.Z.; Huang, X.D. Metallogenic sources of Nanmushu Pb-Zn deposit in Mayuan area, Shaanxi Province: Constraint from hydrogen and oxygen isotopes and trace elements. Miner. Depos. 2018, 37, 985–1000, (In Chinese with English Abstract). [Google Scholar]
- Han, Y.X.; Liu, Y.H.; Liu, S.W.; Lei, W.S.; Li, Z.; Li, Y.T.; Li, X. Origin of the breccia and metallogenic geological background of Mayuan Pb-Zn deposit. Earth Sci. Front. 2016, 23, 94–101, (In Chinese with English Abstract). [Google Scholar]
- Hou, M.T.; Wang, D.G.; Yang, Z.R.; Gao, J. Geological characteristics of lead-zinc mineralized zones in the Mayuan area, Shaanxi, and their ore prospects. Geol. China 2007, 34, 101–109, (In Chinese with English Abstract). [Google Scholar]
- Paton, C.; Hellstrom, J.; Paul, B.; Woodhead, J.; Hergt, J. Iolite: Freeware for the visualisation and processing of mass spectrometric data. J. Anal. Atom. Spectrom. 2011, 26, 2508. [Google Scholar] [CrossRef]
- Wilson, S.A.; Ridley, I.; Koenig, A.E. Development of sulfide calibration standards for the laser ablation inductively-coupled plasma mass spectrometry technique. J. Anal. Atom. Spectrom. 2002, 17, 406–409. [Google Scholar] [CrossRef]
- Han, R.; Qin, K.; Groves, D.I.; Hui, K.; Li, Z.; Zou, X.; Li, G.; Su, S. Ore-formation at the Halasheng Ag-Pb-Zn deposit, northeast Inner Mongolia as revealed by trace-element and sulfur isotope compositions of ore-related sulfides. Ore Geol. Rev. 2022, 144, 104853. [Google Scholar] [CrossRef]
- Erlandsson, V.B.; Wallner, D.; Ellmies, R.; Raith, J.G.; Melcher, F. Trace element composition of base metal sulfides from the sediment-hosted Dolostone Ore Formation (DOF) CuCo deposit in northwestern Namibia: Implications for ore genesis. J. Geochem. Explor. 2022, 243, 107105. [Google Scholar] [CrossRef]
- Belissont, R.; Boiron, M.; Luais, B.; Cathelineau, M. LA-ICP-MS analyses of minor and trace elements and bulk Ge isotopes in zoned Ge-rich sphalerites from the Noailhac—Saint-Salvy deposit (France): Insights into incorporation mechanisms and ore deposition processes. Geochim. Cosmochim. Acta 2014, 126, 518–540. [Google Scholar] [CrossRef]
- Liu, S.; Zhang, Y.; Ai, G.; Xue, X.; Li, H.; Shah, S.A.; Wang, N.; Chen, X. LA-ICP-MS trace element geochemistry of sphalerite: Metallogenic constraints on the Qingshuitang Pb–Zn deposit in the Qinhang Ore Belt, South China. Ore Geol. Rev. 2022, 141, 104659. [Google Scholar] [CrossRef]
- Yang, Q.; Zhang, X.; Ulrich, T.; Zhang, J.; Wang, J. Trace element compositions of sulfides from Pb-Zn deposits in the Northeast Yunnan and northwest Guizhou Provinces, SW China: Insights from LA-ICP-MS analyses of sphalerite and pyrite. Ore Geol. Rev. 2022, 141, 104639. [Google Scholar] [CrossRef]
- Oyebamiji, A.; Hu, R.; Zhao, C.; Zafar, T. Origin of the Triassic Qilinchang Pb-Zn deposit in the western Yangtze block, SW China: Insights from in-situ trace elemental compositions of base metal sulphides. J. Asian Earth Sci. 2020, 192, 104292. [Google Scholar] [CrossRef]
- Zhou, J.; Yang, Z.; An, Y.; Luo, K.; Liu, C.; Ju, Y. An evolving MVT hydrothermal system: Insights from the Niujiaotang Cd-Zn ore field, SW China. J. Asian Earth Sci. 2022, 237, 105357. [Google Scholar] [CrossRef]
- Luo, K.; Zhou, J.X.; Xu, C.; He, K.J.; Wang, Y.B.; Sun, G.T. The characteristics of the extraordinary germanium enrichment in the Wusihe large-scale Ge-Pb-Zn deposit, Sichuan Province, China and its geological significance. Acta Petrol. Sin. 2021, 37, 2761–2777, (In Chinese with English Abstract). [Google Scholar]
- Bonnet, J.; Cauzid, J.; Testemale, D.; Kieffer, I.; Proux, O.; Lecomte, A.; Bailly, L. Characterization of Germanium Speciation in Sphalerite (ZnS) from Central and Eastern Tennessee, USA, by X-ray Absorption Spectroscopy. Minerals 2017, 7, 79. [Google Scholar] [CrossRef]
- Johan, Z. Indium and germanium in the structure of sphalerite: An example of coupled substitution with copper. Miner. Petrol. 1988, 39, 211–229. [Google Scholar] [CrossRef]
- Hu, Y.S.; Ye, L.; Huang, Z.L.; Li, Z.L.; Wei, C.; Danyushevskiy, L. Distribution and existing forms of trace elements from Maliping Pb-Zn deposit in northeastern Yunnan, China: A LA-ICPMS study. Acta Petrol. Sin. 2019, 35, 3477–3495, (In Chinese with English Abstract). [Google Scholar]
- Wei, C.; Ye, L.; Hu, Y.; Huang, Z.; Danyushevsky, L.; Wang, H. LA-ICP-MS analyses of trace elements in base metal sulfides from carbonate-hosted Zn-Pb deposits, South China: A case study of the Maoping deposit. Ore Geol. Rev. 2021, 130, 103945. [Google Scholar] [CrossRef]
- Yuan, B.; Zhang, C.; Yu, H.; Yang, Y.; Zhao, Y.; Zhu, C.; Ding, Q.; Zhou, Y.; Yang, J.; Xu, Y. Element enrichment characteristics: Insights from element geochemistry of sphalerite in Daliangzi Pb–Zn deposit, Sichuan, Southwest China. J. Geochem. Explor. 2018, 186, 187–201. [Google Scholar] [CrossRef]
- Ye, L.; Li, Z.L.; Hu, Y.S.; Huang, Z.L.; Zhou, J.X.; Fan, H.F.; Danyushevskiy, L. Trace elements in sulfide from the Tianbaoshan Pb-Zn deposit, Sichuan Province, China: A LA-ICPMS study. Acta Petrol. Sin. 2016, 32, 3377–3393, (In Chinese with English Abstract). [Google Scholar]
- Zhou, J.X.; Yang, D.Z.; Yu, J.; Luo, K.; Zhou, Z.H. Ge extremely enriched in the Zhulingou Zn deposit, Guiding City, Guizhou Province, China. Geol. China 2021, 48, 665–666, (In Chinese with English Abstract). [Google Scholar]
- Hu, Y.; Wei, C.; Ye, L.; Huang, Z.; Danyushevsky, L.; Wang, H. LA-ICP-MS sphalerite and galena trace element chemistry and mineralization-style fingerprinting for carbonate-hosted Pb-Zn deposits: Perspective from early Devonian Huodehong deposit in Yunnan, South China. Ore Geol. Rev. 2021, 136, 104253. [Google Scholar] [CrossRef]
- Cook, N.J.; Ciobanu, C.L.; Brugger, J.; Etschmann, B.; Howard, D.L.; Jonge, M.D.D.; Ryan, C.; Paterson, D. Determination of the oxidation state of Cu in substituted Cu-In-Fe-bearing sphalerite μ-XANES spectroscopy. Am. Miner. 2011, 97, 476–479. [Google Scholar] [CrossRef]
- Belissont, R.; Muñoz, M.; Boiron, M.; Luais, B.; Mathon, O. Distribution and oxidation state of Ge, Cu and Fe in sphalerite by μ-XRF and K-edge μ-XANES: Insights into Ge incorporation, partitioning and isotopic fractionation. Geochim. Cosmochim. Acta 2016, 177, 298–314. [Google Scholar] [CrossRef]
- Liu, W.; Mei, Y.; Etschmann, B.; Glenn, M.; Macrae, C.M.; Spinks, S.C.; Ryan, C.G.; Brugger, J.; Paterson, D.J. Germanium speciation in experimental and natural sphalerite: Implications for critical metal enrichment in hydrothermal Zn-Pb ores. Geochim. Cosmochim. Acta 2023, 342, 198–214. [Google Scholar] [CrossRef]
- Fan, M.; Ni, P.; Pan, J.; Wang, G.; Ding, J.; Chu, S.; Li, W.; Huang, W.; Zhu, R.; Chi, Z. Rare disperse elements in epithermal deposit: Insights from LA–ICP–MS study of sphalerite at Dalingkou, South China. J. Geochem. Explor. 2023, 244, 107124. [Google Scholar] [CrossRef]
- Pring, A.; Wade, B.; Mcfadden, A.; Lenehan, C.E.; Cook, N.J. Coupled Substitutions of Minor and Trace Elements in Co-Existing Sphalerite and Wurtzite. Minerals 2020, 10, 147. [Google Scholar] [CrossRef]
- Guo, F.; Wang, Z.L.; Xu, D.R.; Yu, D.S.; Dong, G.J.; Ning, J.T.; Kang, B.; Peng, E.K. Trace element characteristics of sphalerite in the Lishan Pb-Zn-Cu polymetallic deposit in Hunan Province and the metallogenic implications. Earth Sci. Front. 2020, 27, 66–81, (In Chinese with English Abstract). [Google Scholar]
- Ye, L.; Gao, W.; Yang, Y.L.; Liu, T.G.; Peng, S.S. Trace elements in sphalerite in Laochang Pb-Zn polymetallic deposit, Lancang, Yunnan Province. Acta Petrol. Sin. 2012, 28, 1362–1372, (In Chinese with English Abstract). [Google Scholar]
- Oyebamiji, A.; Falae, P.; Zafar, T.; Rehman, H.U.; Oguntuase, M. Genesis of the Qilinchang Pb–Zn deposit, southwestern China: Evidence from mineralogy, trace elements systematics and S–Pb isotopic characteristics of sphalerite. Appl. Geochem. 2023, 148, 105545. [Google Scholar] [CrossRef]
- Shen, H.; Zhang, Y.; Zuo, C.; Shao, Y.; Zhao, L.; Lei, J.; Shi, G.; Han, R.; Zheng, X. Ore-forming process revealed by sphalerite texture and geochemistry: A case study at the Kangjiawan Pb–Zn deposit in Qin-Hang Metallogenic Belt, South China. Ore Geol. Rev. 2022, 150, 105153. [Google Scholar] [CrossRef]
- Knorsch, M.; Nadoll, P.; Klemd, R. Trace elements and textures of hydrothermal sphalerite and pyrite in Upper Permian (Zechstein) carbonates of the North German Basin. J. Geochem. Explor. 2020, 209, 106416. [Google Scholar] [CrossRef]
- Li, X.; Zhang, Y.; Li, Z.; Zhao, X.; Zuo, R.; Xiao, F.; Zheng, Y. Discrimination of Pb-Zn deposit types using sphalerite geochemistry: New insights from machine learning algorithm. Geosci. Front. 2023, 14, 101580. [Google Scholar] [CrossRef]
- Bauer, M.E.; Burisch, M.; Ostendorf, J.; Krause, J.; Frenzel, M.; Seifert, T.; Gutzmer, J. Trace element geochemistry of sphalerite in contrasting hydrothermal fluid systems of the Freiberg district, Germany: Insights from LA-ICP-MS analysis, near-infrared light microthermometry of sphalerite-hosted fluid inclusions, and sulfur isotope geochemistry. Miner. Depos. 2019, 54, 237–262. [Google Scholar]
- Frenzel, M.; Cook, N.J.; Ciobanu, C.L.; Slattery, A.D.; Wade, B.P.; Gilbert, S.; Ehrig, K.; Burisch, M.; Verdugo-ihl, M.R.; Voudouris, P. Halogens in hydrothermal sphalerite record origin of ore-forming fluids. Geology 2020, 48, 766–770. [Google Scholar] [CrossRef]
- Lee, J.H.; Yoo, B.C.; Yang, Y.; Lee, T.H.; Seo, J.H. Sphalerite geochemistry of the Zn-Pb orebodies in the Taebaeksan metallogenic province, Korea. Ore Geol. Rev. 2019, 107, 1046–1067. [Google Scholar] [CrossRef]
- Fan, X.; Lü, X.; Wang, X. Textural, chemical, isotopic and microthermometric features of sphalerite from the Wunuer deposit, Inner Mongolia: Implications for two stages of mineralization from hydrothermal to epithermal. Geol. J. 2020, 55, 6936–6958. [Google Scholar] [CrossRef]
- Sun, G.; Zeng, Q.; Zhou, J.; Zhou, L.; Chen, P. Genesis of the Xinling vein-type Ag-Pb-Zn deposit, Liaodong Peninsula, China: Evidence from texture, composition and in situ S-Pb isotopes. Ore Geol. Rev. 2021, 133, 104120. [Google Scholar] [CrossRef]
- Benites, D.; Torró, L.; Vallance, J.; Laurent, O.; Valverde, P.E.; Kouzmanov, K.; Chelle-michou, C.; Fontboté, L. Distribution of indium, germanium, gallium and other minor and trace elements in polymetallic ores from a porphyry system: The Morococha district, Peru. Ore Geol. Rev. 2021, 136, 104236. [Google Scholar] [CrossRef]
- Chu, X.; Li, B.; Shen, P.; Zha, Z.; Lei, Z.; Wang, X.; Tao, S.; Hu, Q. Trace elements in sulfide minerals from the Huangshaping copper-polymetallic deposit, Hunan, China: Ore genesis and element occurrence. Ore Geol. Rev. 2022, 144, 104867. [Google Scholar] [CrossRef]
- Zhuang, L.; Song, Y.; Liu, Y.; Fard, M.; Hou, Z. Major and trace elements and sulfur isotopes in two stages of sphalerite from the world-class Angouran Zn–Pb deposit, Iran: Implications for mineralization conditions and type. Ore Geol. Rev. 2019, 109, 184–200. [Google Scholar] [CrossRef]
- Liu, Y.; Qi, H.; Bi, X.; Hu, R.; Qi, L.; Yin, R.; Tang, Y. Two types of sediment-hosted Pb-Zn deposits in the northern margin of Lanping basin, SW China: Evidence from sphalerite trace elements, carbonate C-O isotopes and molybdenite Re-Os age. Ore Geol. Rev. 2021, 131, 104016. [Google Scholar] [CrossRef]
- Wei, C.; Ye, L.; Huang, Z.; Hu, Y.; Wang, H. In situ trace elements and S isotope systematics for growth zoning in sphalerite from MVT deposits: A case study of Nayongzhi, South China. Min. Mag. 2021, 85, 364–378. [Google Scholar] [CrossRef]
- Cugerone, A.; Cenki-tok, B.; Muñoz, M.; Kouzmanov, K.; Oliot, E.; Motto-ros, V.; Legoff, E. Behavior of critical metals in metamorphosed Pb-Zn ore deposits: Example from the Pyrenean Axial Zone. Miner. Depos. 2021, 56, 685–705. [Google Scholar] [CrossRef]
- Cave, B.; Lilly, R.; Barovich, K. Textural and geochemical analysis of chalcopyrite, galena and sphalerite across the Mount Isa Cu to Pb-Zn transition: Implications for a zoned Cu-Pb-Zn system. Ore Geol. Rev. 2020, 124, 103647. [Google Scholar] [CrossRef]
- Cave, B.; Lilly, R.; Hong, W. The Effect of Co-Crystallising Sulphides and Precipitation Mechanisms on Sphalerite Geochemistry: A Case Study from the Hilton Zn-Pb (Ag) Deposit. Aust. Miner. 2020, 10, 797. [Google Scholar] [CrossRef]
- Cave, B.; Perkins, W.; Lilly, R. Linking uplift and mineralisation at the Mount Novit Zn-Pb-Ag Deposit, Northern Australia: Evidence from geology, U–Pb geochronology and sphalerite geochemistry. Geosci. Front. 2022, 13, 101347. [Google Scholar] [CrossRef]
- Maurer, M.; Prelević, D.; Mertz-kraus, R.; Pačevski, A.; Kostić, B.; Malbašić, J. Genesis and metallogenetic setting of the polymetallic barite-sulphide deposit, Bobija, Western Serbia. Int. J. Earth Sci. 2019, 108, 1725–1740. [Google Scholar] [CrossRef]
- Zhao, Y.; Chen, S.; Tian, H.; Zhao, J.; Tong, X.; Chen, X. Trace element and S isotope characterization of sulfides from skarn Cu ore in the Laochang Sn-Cu deposit, Gejiu district, Yunnan, China: Implications for the ore-forming process. Ore Geol. Rev. 2021, 134, 104155. [Google Scholar] [CrossRef]
- Xiong, Y.; Zhou, T.; Fan, Y.; Chen, J.; Wang, B.; Liu, J.; Wang, F. Enrichment mechanisms and occurrence regularity of critical minerals resources in the Yaojialing Zn skarn polymetallic deposit, Tongling district, eastern China. Ore Geol. Rev. 2022, 144, 104822. [Google Scholar] [CrossRef]
- Xing, B.; Mao, J.; Xiao, X.; Liu, H.; Jia, F.; Wang, S.; Huang, W.; Li, H. Genetic discrimination of the Dingjiashan Pb-Zn deposit, SE China, based on sphalerite chemistry. Ore Geol. Rev. 2021, 135, 104212. [Google Scholar] [CrossRef]
- Lu, S.; Ren, Y.; Yang, Q.; Sun, Z.; Hao, Y.; Sun, X. Ore Genesis for Stratiform Ore Bodies of the Dongfengnanshan Copper Polymetallic Deposit in the Yanbian Area, NE China: Constraints from LA-ICP-MS in situ Trace Elements and Sulfide S–Pb Isotopes. Acta Geol. Sin. 2019, 93, 1591–1606. [Google Scholar] [CrossRef]
- Torró, L.; Benites, D.; Vallance, J.; Laurent, O.; Ortiz-benavente, B.A.; Chelle-michou, C.; Proenza, J.A.; Fontboté, L. Trace element geochemistry of sphalerite and chalcopyrite in arc-hosted VMS deposits. J. Geochem. Explor. 2022, 232, 106882. [Google Scholar] [CrossRef]
- Zhang, Q. Application of diagram of trace elements in the sphalerite and galena to the genetic type of lead and zinc deposit. Geol. Geochem 1987, 64–66, (In Chinese with English Abstract). [Google Scholar]
- Zhou, J.; Huang, Z.; Zhou, G.; Li, X.; Ding, W.; Bao, G. Trace Elements and Rare Earth Elements of Sulfide Minerals in the Tianqiao Pb-Zn Ore Deposit, Guizhou Province, China. Acta Geol. Sin. 2011, 85, 189–199. [Google Scholar]
- Zhu, L.M.; Yuan, H.H.; Luan, S.W. Typomorphic characteristics and their significance of minor elements of sphalerite from Disu and Daliangzi Pb-Zn deposits, Sichuan. Acta Geol. Sichuan 1995, 15, 49–55, (In Chinese with English Abstract). [Google Scholar]
- Li, Z.L.; Ye, L.; Huang, Z.L.; Nian, H.L.; Zhou, J.X. Primary research on trace elements in sphalerite from Tianqiao Pb-Zn deposit, northwestern Guizhou Province, China. Acta Miner. Sin 2016, 36, 183–188, (In Chinese with English Abstract). [Google Scholar]
- Chen, C.H.; Song, Z.J.; Yang, Y.L.; Yang, D.P.; Gu, Y.; Chen, X.J. Characteristics of trace elements of sphalerite and genesis of the Dongzigou lead-zinc deposit in Xishui County, Guizhou Province, China. Acta Miner. Sin. 2019, 39, 485–493, (In Chinese with English Abstract). [Google Scholar]
- Leach, D.L.; Bradley, D.; Lewchuk, M.T.; Symons, D.T.; Marsily, G.D.; Brannon, J. Mississippi Valley-type lead–zinc deposits through geological time: Implications from recent age-dating research. Miner. Depos. 2001, 36, 711–740. [Google Scholar] [CrossRef]
- Leach, D.; Sangster, D.; Kelley, K.; Large, R.; Garven, G.; Allen, C.; Gutzmer, J.; Walters, S. Sediment-hosted lead-zinc deposits: A global perspective. Econ. Geol. 2005, 100th Anniversary Volume, 561–607. [Google Scholar]














| Sample ID | Spot No. | Mn | Fe | Cu | Ga | Ge | Ag | Cd | Pb | Co | Hg | Tl | In | Sn | Sb |
|---|---|---|---|---|---|---|---|---|---|---|---|---|---|---|---|
| NMS-2 n = 10 | NMS-2-1 | BLD | 1531.93 | 5191.82 | 85.95 | 2024.89 | 41.82 | 1008.99 | 23.59 | 2.84 | 51.37 | 0.03 | 2.85 | 4.72 | 1.96 |
| NMS-2-2 | 3.96 | 2321.67 | 1366.21 | 12.61 | 626.32 | 58.90 | 3058.57 | 243.91 | 2.23 | 132.66 | 0.12 | BLD | BLD | 16.07 | |
| NMS-2-3 | 1.39 | 1786.34 | 2465.35 | 9.73 | 1061.00 | 47.07 | 1712.13 | 116.02 | 2.62 | 80.30 | 0.03 | BLD | BLD | 5.92 | |
| NMS-2-4 | 5.11 | 2194.86 | 1510.91 | 12.80 | 753.26 | 65.98 | 2763.97 | 509.68 | 2.19 | 138.82 | 0.51 | BLD | 0.80 | 14.26 | |
| NMS-2-5 | 69.77 | 11,629.06 | 1001.99 | 0.27 | 539.84 | 63.40 | 1166.09 | 483.56 | 1.57 | 107.47 | 7.56 | 0.09 | 1.57 | BLD | |
| NMS-2-6 | 36.47 | 2351.52 | 1297.71 | 22.40 | 698.85 | 64.30 | 3385.32 | 272.11 | 1.92 | 133.64 | 1.40 | 0.45 | 2.81 | 16.37 | |
| NMS-2-7 | 44.03 | 10,205.90 | 108.66 | BLD | 704.46 | 11.52 | 794.14 | 698.57 | 1.96 | 42.20 | 9.38 | BLD | BLD | BLD | |
| NMS-2-8 | 78.66 | 15,171.51 | 600.38 | BLD | 713.76 | 39.94 | 333.94 | 767.74 | 1.97 | 17.86 | 11.75 | BLD | BLD | BLD | |
| NMS-2-9 | 3.86 | 1525.91 | 2270.94 | 62.65 | 1035.60 | 36.13 | 1408.38 | 22.75 | 2.96 | 83.45 | 0.03 | 5.94 | 42.19 | 2.51 | |
| NMS-2-10 | 49.94 | 1982.75 | 1093.54 | 40.61 | 563.08 | 39.31 | 3035.20 | 197.26 | 2.00 | 164.52 | 0.51 | 0.54 | 3.91 | 17.92 | |
| Min. | 1.39 | 1525.91 | 108.66 | 0.27 | 539.84 | 11.52 | 333.94 | 22.75 | 1.57 | 17.86 | 0.03 | 0.09 | 0.80 | 1.96 | |
| Max. | 78.66 | 15,171.51 | 5191.82 | 85.95 | 2024.89 | 65.98 | 3385.32 | 767.74 | 2.96 | 164.52 | 11.75 | 5.94 | 42.19 | 17.92 | |
| Median | 36.47 | 2258.26 | 1331.96 | 17.60 | 709.11 | 44.45 | 1560.25 | 258.01 | 2.10 | 95.46 | 0.51 | 0.54 | 3.36 | 14.26 | |
| Average | 32.58 | 5070.14 | 1690.75 | 30.88 | 872.11 | 46.84 | 1866.67 | 333.52 | 2.23 | 95.23 | 3.13 | 1.98 | 9.33 | 10.71 | |
| S.D. | 28.53 | 4899.40 | 1341.99 | 27.96 | 418.92 | 16.07 | 1041.99 | 254.10 | 0.42 | 45.62 | 4.33 | 2.21 | 14.75 | 6.46 | |
| NMS-5 n = 9 | NMS-5-1 | 8.29 | 3980.66 | 2.78 | 0.45 | BLD | 1.19 | 4626.48 | 9.28 | 2.44 | 212.42 | 0.01 | 0.25 | 0.90 | BLD |
| NMS-5-2 | 34.27 | 1943.87 | 884.46 | 20.08 | 488.06 | 33.36 | 2554.53 | 193.72 | 2.26 | 142.49 | 1.19 | 0.07 | 0.85 | 10.78 | |
| NMS-5-3 | 2.82 | 3322.38 | 4.32 | 0.31 | 2.40 | 0.78 | 5365.12 | 7.10 | 2.41 | 278.48 | BLD | BLD | BLD | 0.34 | |
| NMS-5-4 | 44.14 | 5574.82 | 292.06 | BLD | 296.82 | 26.10 | 1321.07 | 542.55 | 1.72 | 42.49 | 2.15 | BLD | BLD | BLD | |
| NMS-5-5 | 51.55 | 5677.35 | 383.21 | BLD | 312.78 | 29.80 | 1083.50 | 493.23 | 1.93 | 48.98 | 3.10 | BLD | BLD | BLD | |
| NMS-5-6 | 2.85 | 1679.23 | 974.75 | 12.63 | 482.70 | 35.65 | 2106.33 | 224.25 | 2.48 | 121.12 | 0.04 | 0.02 | BLD | 13.60 | |
| NMS-5-7 | 53.07 | 8194.90 | 47.47 | BLD | 27.47 | 2.34 | 3089.33 | 22.33 | 2.33 | 71.84 | BLD | BLD | BLD | BLD | |
| NMS-5-8 | 5.71 | 1724.06 | 2669.10 | 49.38 | 1153.91 | 54.11 | 995.82 | 148.22 | 3.00 | 55.08 | 0.09 | 2.61 | 26.49 | 0.73 | |
| NMS-5-9 | 9.42 | 1996.63 | 530.07 | 4.63 | 270.75 | 20.37 | 3029.74 | 140.93 | 2.54 | 175.38 | 0.17 | 0.08 | 1.09 | 11.64 | |
| Min. | 2.82 | 1679.23 | 2.78 | 0.31 | 2.40 | 0.78 | 995.82 | 7.10 | 1.72 | 42.49 | 0.01 | 0.02 | 0.85 | 0.34 | |
| Max. | 53.07 | 8194.90 | 2669.10 | 49.38 | 1153.91 | 54.11 | 5365.12 | 542.55 | 3.00 | 278.48 | 3.10 | 2.61 | 26.49 | 13.60 | |
| Median | 9.42 | 3322.38 | 383.21 | 8.63 | 304.80 | 26.10 | 2554.53 | 148.22 | 2.41 | 121.12 | 0.17 | 0.08 | 0.99 | 10.78 | |
| Average | 23.57 | 3788.21 | 643.14 | 14.58 | 379.36 | 22.63 | 2685.77 | 197.96 | 2.34 | 127.59 | 0.96 | 0.60 | 7.33 | 7.42 | |
| S.D. | 20.56 | 2153.90 | 792.28 | 17.06 | 337.53 | 17.30 | 1447.80 | 187.15 | 0.35 | 77.67 | 1.15 | 1.01 | 11.06 | 5.70 | |
| NMS-7 n = 8 | NMS-7-1 | 3.89 | 2567.59 | 489.89 | 15.67 | 240.82 | 20.64 | 3601.98 | 158.27 | 2.65 | 189.52 | 0.02 | BLD | BLD | 13.52 |
| NMS-7-2 | 60.57 | 11,731.80 | 304.14 | 1.01 | 401.96 | 17.93 | 436.34 | 499.88 | 2.12 | 23.26 | 7.34 | 0.03 | 1.37 | BLD | |
| NMS-7-3 | 144.33 | 15,271.94 | 940.19 | 0.52 | 540.53 | 63.74 | 424.42 | 682.66 | 1.93 | 87.63 | 15.05 | 0.06 | 2.67 | 0.34 | |
| NMS-7-4 | 177.73 | 14,415.03 | 1018.49 | 2.45 | 567.10 | 69.51 | 445.94 | 656.87 | 1.94 | 126.48 | 21.78 | 0.47 | 6.28 | 0.22 | |
| NMS-7-5 | 85.35 | 15,385.92 | 551.72 | BLD | 685.86 | 44.87 | 276.80 | 983.69 | 1.88 | 14.80 | 18.52 | BLD | BLD | BLD | |
| NMS-7-6 | 2.90 | 3020.49 | 1322.35 | 50.91 | 555.34 | 16.23 | 3562.22 | 200.60 | 2.34 | 196.73 | 0.02 | 4.02 | 33.30 | 14.97 | |
| NMS-7-7 | 7.75 | 3257.11 | 1062.29 | 2.65 | 576.17 | 52.68 | 3168.06 | 484.91 | 2.01 | 122.25 | 0.41 | 0.12 | 3.17 | 2.76 | |
| NMS-7-8 | 10.80 | 3192.97 | 978.40 | 11.08 | 527.36 | 45.42 | 3509.59 | 424.68 | 1.87 | 147.07 | 0.52 | 0.41 | 7.89 | 4.35 | |
| Min. | 2.90 | 2567.59 | 304.14 | 0.52 | 240.82 | 16.23 | 276.80 | 158.27 | 1.87 | 14.80 | 0.02 | 0.03 | 1.37 | 0.22 | |
| Max. | 177.73 | 15,385.92 | 1322.35 | 50.91 | 685.86 | 69.51 | 3601.98 | 983.69 | 2.65 | 196.73 | 21.78 | 4.02 | 33.30 | 14.97 | |
| Median | 35.68 | 7494.46 | 959.29 | 2.65 | 547.93 | 45.14 | 1807.00 | 492.39 | 1.97 | 124.36 | 3.93 | 0.26 | 4.72 | 3.56 | |
| Average | 61.66 | 8605.36 | 833.43 | 12.04 | 511.89 | 41.38 | 1928.17 | 511.44 | 2.09 | 113.47 | 7.96 | 0.85 | 9.11 | 6.03 | |
| S.D. | 62.05 | 5739.59 | 304.98 | 15.74 | 130.38 | 19.93 | 1457.77 | 257.48 | 0.60 | 61.26 | 8.39 | 1.32 | 10.25 | 5.55 | |
| NMS-10 n = 7 | NMS-10-1 | 3.39 | 2803.48 | 1306.69 | 2.61 | 688.60 | 56.52 | 2932.11 | 371.69 | 1.98 | 145.62 | 1.70 | BLD | BLD | 13.84 |
| NMS-10-2 | 2.96 | 2821.35 | 1656.85 | 3.97 | 828.48 | 55.45 | 2942.67 | 411.12 | 2.09 | 146.42 | 0.08 | BLD | BLD | 14.26 | |
| NMS-10-3 | 4.38 | 4790.85 | 7.90 | 3.18 | 1.19 | 1.29 | 6286.87 | 2.85 | 2.31 | 321.92 | 0.02 | 0.19 | 6.16 | BLD | |
| NMS-10-4 | 3.13 | 2493.68 | 1232.51 | 19.92 | 631.79 | 44.39 | 2880.02 | 316.88 | 2.05 | 169.27 | 0.14 | BLD | 0.29 | 13.29 | |
| NMS-10-5 | 1.36 | 2322.53 | 1563.03 | 21.13 | 746.85 | 21.77 | 2521.65 | 301.71 | 2.29 | 131.45 | 0.04 | BLD | BLD | 11.74 | |
| NMS-10-6 | 1.29 | 2351.22 | 1136.79 | 6.98 | 584.54 | 35.70 | 2632.58 | 326.53 | 2.07 | 125.92 | 0.02 | BLD | BLD | 9.29 | |
| NMS-10-7 | 70.77 | 2871.43 | 1514.86 | 1.93 | 772.40 | 63.10 | 3276.86 | 317.01 | 1.91 | 141.28 | 2.47 | BLD | 1.54 | 7.53 | |
| Min. | 1.29 | 2322.53 | 7.90 | 1.93 | 1.19 | 1.29 | 2521.65 | 2.85 | 1.91 | 125.92 | 0.02 | 0.19 | 0.29 | 7.53 | |
| Max. | 70.77 | 4790.85 | 1656.85 | 21.13 | 828.48 | 63.10 | 6286.87 | 411.12 | 2.31 | 321.92 | 2.47 | 0.19 | 6.16 | 14.26 | |
| Median | 3.13 | 2803.48 | 1306.69 | 3.97 | 688.60 | 44.39 | 2932.11 | 317.01 | 2.07 | 145.62 | 0.08 | 0.19 | 1.54 | 12.51 | |
| Average | 12.47 | 2922.08 | 1202.66 | 8.53 | 607.69 | 39.75 | 3353.25 | 292.54 | 2.10 | 168.84 | 0.64 | 0.19 | 2.66 | 11.66 | |
| S.D. | 23.82 | 791.74 | 517.84 | 7.74 | 259.33 | 20.40 | 1218.48 | 123.45 | 0.14 | 63.78 | 0.94 | 0.00 | 2.53 | 2.48 | |
| NMS-14 n = 8 | NMS-14-1 | 65.56 | 14,588.81 | 179.84 | BLD | 631.20 | 15.99 | 531.72 | 1235.21 | 1.90 | 46.64 | 9.14 | BLD | BLD | BLD |
| NMS-14-2 | 2.71 | 2828.70 | 1016.89 | 22.30 | 466.81 | 37.14 | 3759.95 | 259.70 | 2.11 | 187.21 | 0.05 | 0.36 | 7.69 | 19.63 | |
| NMS-14-3 | 15.97 | 2246.54 | 1885.02 | 27.66 | 802.82 | 47.10 | 2584.62 | 208.92 | 2.24 | 155.08 | 0.37 | 0.09 | 0.20 | 12.55 | |
| NMS-14-4 | 21.83 | 4628.39 | 1071.64 | BLD | 642.09 | 238.37 | 1992.45 | 873.42 | 1.41 | 72.42 | 0.69 | BLD | BLD | BLD | |
| NMS-14-5 | 41.35 | 9110.29 | 530.27 | 18.22 | 447.72 | 49.44 | 1096.14 | 591.05 | 1.66 | 96.59 | 6.01 | 0.25 | 0.81 | BLD | |
| NMS-14-6 | 43.24 | 10,450.27 | 89.05 | BLD | 524.40 | 10.28 | 947.50 | 677.07 | 1.66 | 67.70 | 7.55 | BLD | BLD | BLD | |
| NMS-14-7 | 49.08 | 3327.04 | 681.20 | 6.47 | 408.88 | 53.33 | 3812.57 | 237.45 | 1.63 | 180.04 | 8.80 | 0.33 | 2.57 | 19.70 | |
| NMS-14-8 | 85.86 | 14,429.99 | 1021.45 | 9.05 | 783.46 | 123.61 | 347.06 | 990.70 | 1.67 | 55.62 | 24.73 | 0.16 | 1.84 | BLD | |
| Min. | 2.71 | 2246.54 | 89.05 | 6.47 | 408.88 | 10.28 | 347.06 | 208.92 | 1.41 | 46.64 | 0.05 | 0.09 | 0.20 | 12.55 | |
| Max. | 85.86 | 14,588.81 | 1885.02 | 27.66 | 802.82 | 238.37 | 3812.57 | 1235.21 | 2.24 | 187.21 | 24.73 | 0.36 | 7.69 | 19.70 | |
| Median | 42.30 | 6869.34 | 849.04 | 18.22 | 577.80 | 48.27 | 1544.30 | 634.06 | 1.67 | 84.51 | 6.78 | 0.25 | 1.84 | 19.63 | |
| Average | 40.70 | 7701.25 | 809.42 | 16.74 | 588.42 | 71.91 | 1884.00 | 634.19 | 1.78 | 107.66 | 7.17 | 0.24 | 2.62 | 17.29 | |
| S.D. | 25.36 | 4800.11 | 538.91 | 7.96 | 141.26 | 70.69 | 1295.65 | 358.43 | 0.26 | 53.86 | 7.54 | 0.10 | 2.66 | 3.35 |
Disclaimer/Publisher’s Note: The statements, opinions and data contained in all publications are solely those of the individual author(s) and contributor(s) and not of MDPI and/or the editor(s). MDPI and/or the editor(s) disclaim responsibility for any injury to people or property resulting from any ideas, methods, instructions or products referred to in the content. |
© 2023 by the authors. Licensee MDPI, Basel, Switzerland. This article is an open access article distributed under the terms and conditions of the Creative Commons Attribution (CC BY) license (https://creativecommons.org/licenses/by/4.0/).
Share and Cite
Wu, J.; Dai, H.; Cheng, Y.; Xu, S.; Nie, Q.; Wen, Y.; Lu, P. LA-ICP-MS Trace Element Geochemistry of Sphalerite and Metallogenic Constraints: A Case Study from Nanmushu Zn–Pb Deposit in the Mayuan District, Shaanxi Province, China. Minerals 2023, 13, 793. https://doi.org/10.3390/min13060793
Wu J, Dai H, Cheng Y, Xu S, Nie Q, Wen Y, Lu P. LA-ICP-MS Trace Element Geochemistry of Sphalerite and Metallogenic Constraints: A Case Study from Nanmushu Zn–Pb Deposit in the Mayuan District, Shaanxi Province, China. Minerals. 2023; 13(6):793. https://doi.org/10.3390/min13060793
Chicago/Turabian StyleWu, Junjie, Huixin Dai, Yong Cheng, Saihua Xu, Qi Nie, Yiming Wen, and Ping Lu. 2023. "LA-ICP-MS Trace Element Geochemistry of Sphalerite and Metallogenic Constraints: A Case Study from Nanmushu Zn–Pb Deposit in the Mayuan District, Shaanxi Province, China" Minerals 13, no. 6: 793. https://doi.org/10.3390/min13060793
APA StyleWu, J., Dai, H., Cheng, Y., Xu, S., Nie, Q., Wen, Y., & Lu, P. (2023). LA-ICP-MS Trace Element Geochemistry of Sphalerite and Metallogenic Constraints: A Case Study from Nanmushu Zn–Pb Deposit in the Mayuan District, Shaanxi Province, China. Minerals, 13(6), 793. https://doi.org/10.3390/min13060793

