Gold–Sulfide Mineralization in the Manitanyrd Region, Polar Urals, Russia
Abstract
1. Introduction
2. Geology of the Area
2.1. Regional Geological Setting
2.2. Ore Deposit Geology
2.2.1. Verkhneniyayuskoye-2 Deposit
2.2.2. Verkhneniyayuskoye-1 Occurrence
2.2.3. Niyahoyskoye-2 Occurrence
2.2.4. Niyahoyskoye-1 Occurrence
2.2.5. Verkhnelekeletskoye Occurrence
2.2.6. Yagodnoye Occurrence
3. Materials and Methods
3.1. Sampling
3.2. Methods
4. Results
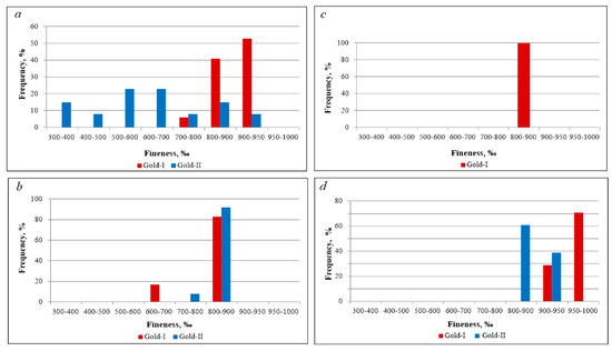
4.1. Mineral Composition of the Ores
4.2. Fluid Inclusions
4.3. Sulfur Isotopes
5. Discussion
6. Conclusions
Author Contributions
Funding
Data Availability Statement
Acknowledgments
Conflicts of Interest
References
- Groves, D.J.; Goldfarb, R.J.; Gebre-Mariam, M.; Hagemann, S.G.; Robert, F. Orogenic gold deposits: A proposed classification in the context of their crustal distributions and relationship to other gold deposits. Ore Geol. Rev. 1998, 13, 7–27. [Google Scholar] [CrossRef]
- Goldfarb, R.J.; Baker, T.; Dubé, D.; Groves, D.I.; Craig, J.R.; Hart, C.J.; Gosselin, P. Distribution, Character, and Genesis of Gold Deposits in Metamorphic Terranes; Society of Economic Geologists, Inc.: Littleton, CO, USA, 2005; pp. 407–450. [Google Scholar]
- Nguimatsia, D.F.W.; Bolarinwa, A.T.; Yongue, R.F.; de Dieu Ndikumana, J.; Olajide-Kayode, J.O.; Olisa, O.G.; Abdu-Salam, M.O.; Kamga, M.A.; Djou, E.S. Diversity of Gold Deposits, Geodynamics and Conditions of Formation: A Perspective View. Open J. Geol. 2017, 7, 1690–1709. [Google Scholar] [CrossRef]
- Li, H.; Wang, Q.; Deng, J.; Yang, L.; Dong, C.; Yu, H. Alteration and mineralization styles of the orogenic disseminated Zhenyuan gold deposit, southeastern Tibet: Contrast with Carlin gold deposit. Geosci. Front. 2019, 10, 1849–1862. [Google Scholar] [CrossRef]
- Le Guen, M.; Lescuyer, J.L.; Marcoux, E. Lead-isotope evidence for a Hercynian origin of the Salsigne gold deposit. Southern Massif Central France. Miner. Depos. 1992, 27, 129–136. [Google Scholar] [CrossRef]
- Petrovskaya, N.V. Native Gold; Nauka: Moscow, Russia, 1973; p. 348. (In Russian) [Google Scholar]
- Petrovskaya, N.V.; Safonov, Y.G.; Sher, S.D. Formations of gold deposits. In Ore Formations of Endogenous Deposits; Nauka: Moscow, Russia, 1976; pp. 3–110. (In Russian) [Google Scholar]
- Nikolaeva, A.N.; Gavrilov, A.M.; Nekrasova, A.N.; Yablokova, S.V.; Shatilova, L.V. Free Gold of Ore and Placer Deposits in Russia: Atlas; Watercolour: Moscow, Russia, 2015; p. 200. (In Russian) [Google Scholar]
- Mumin, A.H.; Fleet, M.E.; Chryssoulis, S.L. Gold mineralization in As-rich mesothermal gold ores of the Bogosu–Prestea mining district of the Ashanti Gold Belt, Ghana: Remobilization of “invisible” gold. Miner. Depos. 1994, 29, 445–460. [Google Scholar] [CrossRef]
- Genkin, A.D.; Bortnikov, N.S.; Cabri, L.J.; Wagner, F.E.; Stanley, C.J.; Safonov, Y.G.; McMahon, G.; Friedl, J.; Kerzin, A.L.; Gamyanin, G.N. A multidisciplinary study of invisible gold in arsenopyrite from four mesothermal gold deposits in Siberia, Russian Federation. Econ. Geol. 1998, 93, 463–487. [Google Scholar] [CrossRef]
- Genkin, A.D.; Lopatin, V.A.; Savel’ev, R.A.; Safonov, Y.G.; Sergeev, N.B.; Kerzin, A.L.; Tsepin, A.I.; Amshtuts, K.; Afanas’eva, Z.B.; Wagner, F.; et al. Gold ores of the Olimpiada deposit (Enisei range, Siberia). Geol. Ore Depos. 1994, 36, 101. [Google Scholar]
- Konstantinov, M.M.; Nekrasov, E.M.; Sidorov, A.A.; Struzhkov, S.F. Gold Mining Giants of Russia and the World; Scientific World: Moscow, Russia, 2000; p. 272. [Google Scholar]
- Bortnikov, N.S.; Gamyanin, G.N.; Alpatov, V.A.; Nosik, L.P.; Naumov, V.B.; Mironova, O.F. Mineralogy, geochemistry, and origin of the Nezhdaninsk gold deposit (Sakha-Yakutia, Russia). Geol. Ore Depos. 1998, 2, 121–138. [Google Scholar]
- Safonov, Y.G. Gold and gold-bearing deposits of the world: Genesis and metallogenic potential. Geol. Ore Depos. 2003, 45, 305–320. [Google Scholar]
- Bortnikov, N.S.; Bryzgalov, I.A.; Krivitskaya, N.N.; Prokof’ev, V.Y.; Vikentieva, O.V. The Maiskoe multimegastage disseminated gold-sulfide deposit (Chukotka, Russia): Mineralogy, fluid inclusions, stable isotopes (O and S), history, and conditions of formation. Geol. Ore Depos. 2004, 6, 409–440. [Google Scholar]
- Sazonov, A.M.; Zvyagina Ye, A.; Silyanov, S.A.; Lobanov, K.V.; Leontyev, S.I.; Kalinin Yu, A.; Savichev, A.A.; Tishin, P.A. Ore genesis of the Olimpiada gold deposit (Yenisei Ridge, Russia). Geosphere Res. 2019, 1, 17–43. (In Russian) [Google Scholar] [CrossRef]
- Golovanov, I.M. (Ed.) Ore Deposits of Uzbekistan; FAN: Tashkent, Uzbekistan, 2001; p. 660. (In Russian) [Google Scholar]
- Özgür, S.; Nezihi, K.; Emin, Ç.; Necla, K.; Gürkan, T.; Yılmaz, D. Mineralogy, geochemistry, fluid inclusion, and stable sulfur isotope investigation of the Terziali shear-related orogenic gold deposit (Central Anatolia, Turkey): Implications for ore genesis and mineral exploration. Arab. J. Geosci. 2022, 15, 113. [Google Scholar] [CrossRef]
- Efanova, L.I.; Kuznetsov, S.K.; Tarbaev, M.B.; Mayorova, T.P. Gold mineralisation of the Manitanyrd region and prospects for the development of resource potential (Polar Urals). Russ. Ores Met. 2020, 3, 39–51, (In Russian with English abstract). [Google Scholar] [CrossRef]
- Shishkin, M.A.; Astapov, A.P.; Kabatov, N.V.; Kazak, A.P.; Kolesnik, L.S.; Kotelnikov, V.G.; Kudrin, E.N.; Likhotin, V.G.; Mityusheva, V.S.; Molchanova, E.V.; et al. State Geological Map of the Russian Federation, scale 1:1,000,000 (third generation). In Series Urals. Sheet Q-41–Vorkuta. Explanatory Note Kart; VSEGEI: St. Petersburg, Russia, 2007. [Google Scholar]
- Sazonov, V.N.; Ogorodnikov, V.N.; Koroteev, V.A.; Polenov, Y.A. Gold Deposits in Urals; USMU: Yekaterinburg, Russia, 2001; p. 622. (In Russian) [Google Scholar]
- Kuznetsov, S.K.; Mayorova, T.P.; Sokerina, N.V.; Filippov, V.N. Gold ore mineralization of the Verkhneniyayuskoye deposit in the Polar Urals. Russ. Zapiski RMO 2011, 4, 58–71, (In Russian with English abstract). [Google Scholar]
- Puchkov, V.N. Geology of the Urals and Cis-Urals (Actual Problems of Stratigraphy, Tectonics, Geodynamics and Metallogeny); DesignPoligraphService: Ufa, Russia, 2010; p. 280. (In Russian) [Google Scholar]
- Shishkin, M.A.; Malykh, O.N.; Popov, P.E.; Kolesnik, L.S. State Geological Map of the Russian Federation, scale 1:200,000. In Series Polar-Urals. Sheet Q-41-V, VI (Vorkuta), Explanatory Note Kart, 2nd ed.; MF VSEGEI: Moscow, Russia, 2013. [Google Scholar]
- Shishkin, M.A.; Malykh, I.M.; Matukov, D.I.; Sergeev, S.A. Rhyolite complexes of the western slope of the Polar Urals. Geol. Miner. Resour. Eur. Northeast. Russ. 2004, 2, 148–150. (In Russian) [Google Scholar]
- Sokerina, N.V.; Zykin, N.N.; Efanova, L.I.; Shanina, S.N.; Simakova, Y.S. Conditions of forming quartz veins of gold ore occurrences in the Manitanyrd region (Nether-Polar Urals). Lithosphere (Russia) 2010, 2, 100–111. (In Russian) [Google Scholar]
- Vakhrushev, S.N.; Makarov, A.B. Mineralogical and geochemical particular features of ores and metasomatites of gold-arsenic occurrences in one of the regions. In Geochemistry and Mineralogy of Primary and Secondary Aureoles; FAN: Tashkent, Uzbekistan, 1986; pp. 84–93. (In Russian) [Google Scholar]
- Mayorova, T.P.; Efanova, L.I. Niyahoyskoye-2 gold-arsenic occurrence in the Polar Urals (Manitanyrd ridge). Bull. IG SC RAS 2019, 8, 33–41, (In Russian with English abstract). [Google Scholar] [CrossRef]
- Mayorova, T.P.; Efanova, L.I.; Sokerina, N.V. Mineralogical and geochemical features of the ores of the Verkhnelekeletskoye gold-quartzsulfide occurrence in the Polar Urals (Manitanyrd Ridge). Vestn. Geosci. 2022, 6, 10–25, (In Russian with English abstract). [Google Scholar] [CrossRef]
- Borisenko, A.S. Study of salt composition of gaseous-fluid inclusion solutions in the minerals employing cryometry. Russ. Geol. Geophys. 1977, 8, 16–27. [Google Scholar]
- Bodnar, R.J.; Vityk, M.O. Interpretation of microthermometric data for H2O-NaCl fluid inclusions. In Fluid Inclusions in Minerals: Methods and Applications; Pontignano: Siena, Italy, 1994; pp. 117–130. [Google Scholar]
- Roedder, E. Fluid inclusions in minerals. Rev. Miner. 1984, 12, 1–664. [Google Scholar]
- Grinenko, V.A. Preparation of sulphur dioxide for isotope analysis. Russ. J. Inorg. Chem. 1962, 7, 2578–2582. [Google Scholar]
- Savva, N.E.; Kravtsova, R.G.; Anisimova, G.S.; Palyanova, G.A. Typomorphism of Native Gold (Geological-Industrial Types of Gold Deposits in the North-East of Russia). Minerals 2022, 12, 561. [Google Scholar] [CrossRef]
- Wilkinson, J.J. Fluid inclusions in hydrothermal ore deposits. Lithos 2001, 55, 229–272. [Google Scholar] [CrossRef]
- Naumov, V.B.; Dorofeeva, V.A.; Mironova, O.F. Physicochemical formation parameters of hydrothermal mineral deposits: Evidence from fluid inclusions. II. Gold, silver, lead, and zink deposits. Geochem. Int. 2014, 52, 433–455. [Google Scholar] [CrossRef]
- Goldfarb, R.J.; Groves, D.I. Orogenic gold: Common or evolving fluid and metal sources through time. Lithos 2015, 233, 2–26. [Google Scholar] [CrossRef]
- Chi, G.; Diamond, L.W.; Lu, H.; Lai, J.; Chu, H. Common Problems and Pitfalls in Fluid Inclusion Study: A Review and Discussion. Minerals 2021, 11, 7. [Google Scholar] [CrossRef]
- Liu, S.; Guo, L.; Ding, J.; Hou, L.; Xu, S.; Shi, M.; Liang, H.; Nie, F.; Cui, X. Evolution of Ore-Forming Fluids and Gold Deposition of the Sanakham Lode Gold Deposit, SW Laos: Constrains from Fluid Inclusions Study. Minerals 2022, 12, 259. [Google Scholar] [CrossRef]
- Faure, G. Principles of Isotope Geology; Mir: Moscow, Russia, 1989; p. 590. (In Russian) [Google Scholar]
- Ohmoto, H.; Rye, R.O. Isotopes of sulphur and carbon. In Geochemistry of Hydrothermal Ore Deposits, 2nd ed.; John Wiley and Sons: New York, MY, USA, 1979; pp. 509–567. [Google Scholar]
- Kudrin, M.; Fridovsky, V.; Polufuntikova, L.; Kryuchkova, L. Disseminated Gold-Sulfide Mineralization in Metasomatites of the Khangalas Deposit, Yana–Kolyma Metallogenic Belt (Northeast Russia): Analysis of the Texture, Geochemistry, and S Isotopic Composition of Pyrite and Arsenopyrite. Minerals 2021, 11, 403. [Google Scholar] [CrossRef]
- Fridovsky, V.Y.; Polufuntikova, L.I.; Kudrin, M.V.; Goryachev, N.A. Sulfur isotope composition and geochemical characteristics of gold-bearing sulfides of the Badran orogenic deposit, Yana-Kolyma metallogenic belt (North-East Asia). Dokl. Akad. Nauk 2022, 502, 3–9. [Google Scholar] [CrossRef]
- Fridovsky, V.Y.; Polufuntikova, L.I.; Kudrin, M.V. Origin of Disseminated Gold-Sulfide Mineralization from Proximal Alteration in Orogenic Gold Deposits in the Central Sector of the Yana–Kolyma Metallogenic Belt, NE Russia. Minerals 2023, 13, 394. [Google Scholar] [CrossRef]









| Polished Section No. | Gold Grain No. | Au | Ag | Hg | Total | Fineness, ‰ |
|---|---|---|---|---|---|---|
| Submicron gold inclusions in pyrite and arsenopyrite (gold I) | ||||||
| 2012-6 | 1 | 77.17 | 10.53 | 0.00 | 87.70 | 880 |
| 2 | 90.55 | 9.54 | 0.00 | 100.09 | 905 | |
| 3 | 80.42 | 18.79 | 0.00 | 99.21 | 811 | |
| 2012-15 | 1 | 89.01 | 7.86 | 0.00 | 96.87 | 919 |
| 2 | 75.01 | 20.76 | 0.00 | 95.77 | 783 | |
| 3 | 77.87 | 8.24 | 0.00 | 86.11 | 904 | |
| 2012-17 | 1 | 86.37 | 9.48 | 0.00 | 95.85 | 901 |
| 2 | 86.45 | 9.77 | 0.00 | 96.22 | 898 | |
| 3 | 86.06 | 9.65 | 0.00 | 95.71 | 899 | |
| 2013-1 | 1 | 82.03 | 9.33 | 0.00 | 91.36 | 898 |
| 2 | 89.45 | 9.11 | 0.00 | 98.56 | 908 | |
| 3 | 87.23 | 9.01 | 0.00 | 96.24 | 906 | |
| 2013-2a | 1 | 94.15 | 5.97 | 0.00 | 100.12 | 940 |
| 2 | 90.52 | 6.04 | 0.00 | 96.56 | 937 | |
| 2013-4 | 1 | 81.33 | 17.65 | 0.00 | 98.98 | 822 |
| Gold in association with chalcopyrite, galena, and sphalerite (gold II) | ||||||
| 2012-5 | 1 | 30.74 | 59.42 | 2.05 | 92.21 | 333 |
| 2 | 29,03 | 60.95 | 2.39 | 92.37 | 314 | |
| 2012-8 | 1 | 51.83 | 38.71 | 0.81 | 91.35 | 567 |
| 2012-6 | 1 | 40.48 | 48.65 | 0.00 | 89.13 | 454 |
| 2012-15 | 1 | 58.97 | 35.85 | 0.00 | 94.82 | 622 |
| 2 | 86.12 | 10.14 | 0.00 | 96.26 | 895 | |
| 3 | 84.15 | 14.3 | 0.00 | 98.45 | 855 | |
| 2012-17 | 1 | 57.22 | 39.28 | 0.91 | 97.41 | 587 |
| 2 | 57.15 | 37.93 | 1.43 | 96.51 | 592 | |
| 2013-1 | 1 | 65.29 | 6.87 | 0.00 | 72.16 | 905 |
| 2 | 63.4 | 35.9 | 1.72 | 101.02 | 628 | |
| 2013-2a | 1 | 65.78 | 32.62 | 1.74 | 100.16 | 657 |
| 2013-4 | 1 | 66.77 | 27.21 | 1.21 | 95.19 | 701 |
| Polished Section No. | Gold Grain No. | Au | Ag | Hg | Total | Fineness, ‰ |
|---|---|---|---|---|---|---|
| Submicron gold inclusions in pyrite and arsenopyrite (gold I) | ||||||
| Bez-3-14 | 1 | 65.67 | 22.23 | 8.00 | 102.20 | 643 |
| 67.79 | 22.61 | 1.72 | 98.48 | 688 | ||
| 2 | 64.88 | 22.16 | 3.29 | 97.15 | 668 | |
| Bez-3-17 | 1 | 82.43 | 11.69 | 1.27 | 99.97 | 825 |
| 2 | 89.74 | 10.24 | 0 | 99.98 | 898 | |
| 313701 | 1 | 85.10 | 14.95 | 0 | 100.05 | 847 |
| 2 | 84.40 | 15.53 | 0 | 99.93 | 845 | |
| Gold in association with arsenopyrite, pyrite, chalcopyrite, and tetrahedrite (gold II) | ||||||
| 19001-3 | 1 | 81.64 | 14.67 | 0 | 96.31 | 841 |
| 19001-5 | 1 | 75.59 | 17.37 | 4.28 | 97.24 | 777 |
| 2 | 74.95 | 17.84 | 1.56 | 94.35 | 794 | |
| 19001-6 | 1 | 72.99 | 18.78 | 2.25 | 94.02 | 776 |
| 2 | 83.55 | 13.30 | 0 | 96.85 | 863 | |
| 19001-7 | 1 | 84.10 | 14.60 | 0 | 98.70 | 852 |
| 19001-8 | 1 | 80.50 | 18.91 | 0 | 99.41 | 810 |
| 2 | 77.49 | 18.15 | 7.31 | 102.95 | 752 | |
| 3 | 76.57 | 18.45 | 1.91 | 96.93 | 790 | |
| 19001-9 | 1 | 84.62 | 13.46 | 0 | 98.08 | 863 |
| 2 | 80.52 | 14.08 | 7.62 | 102.22 | 788 | |
| 3 | 81.93 | 14.08 | 5.76 | 101.77 | 805 | |
| 313503 | 1 | 83.24 | 16.36 | 0.83 | 100.43 | 829 |
| 2 | 83.83 | 15.76 | 0 | 99.59 | 842 | |
| 3 | 84.50 | 15.22 | 0 | 99.72 | 847 | |
| 83.63 | 15.03 | 1.13 | 99.79 | 838 | ||
| 313504 | 1 | 82.57 | 15.79 | 1.45 | 99.81 | 827 |
| 2 | 81.30 | 16.72 | 1.38 | 99.0 | 818 | |
| 3 | 83.90 | 15.22 | 0 | 99.12 | 846 | |
| Section No. | Grain No. | Au | Ag | Hg | Total | Fineness, ‰ |
|---|---|---|---|---|---|---|
| Submicron gold inclusions in pyrite and arsenopyrite (gold I) | ||||||
| LK-2 | 1 | 81.81 | 18.21 | 0 | 100.03 | 818 |
| LK-4 | 1 | 84.66 | 15.35 | 0 | 100.01 | 845 |
| 2 | 81.54 | 18.34 | 0 | 99.88 | 816 | |
| Section No. | Grain No. | Au | Ag | Total | Fineness, ‰ |
|---|---|---|---|---|---|
| Submicron gold inclusions in pyrite (gold I) | |||||
| T-16 | 1 | 90.30 | 8.72 | 99.02 | 912 |
| 2 | 97.26 | 1.62 | 98.88 | 962 | |
| 3 | 98.92 | 1.16 | 100.08 | 988 | |
| 4 | 97.84 | 1.61 | 99.45 | 984 | |
| Native gold (gold II) | |||||
| BT-16154 | 1 | 90.22 | 10.61 | 100.83 | 895 |
| 2 | 90.22 | 10.10 | 100.32 | 899 | |
| 3 | 89.36 | 10.87 | 100.23 | 892 | |
| 4 | 92.72 | 7.76 | 100.48 | 923 | |
| BT-16155 | 1 | 92.27 | 5.76 | 98.03 | 941 |
| 2 | 93.13 | 5.35 | 98.48 | 946 | |
| BT-16157 | 1 | 91.68 | 7.66 | 99.34 | 923 |
| 2 | 88.14 | 11.00 | 99.14 | 889 | |
| 3 | 86.78 | 11.77 | 98.55 | 881 | |
| BT-16162 | 1 | 94.86 | 5.25 | 100.11 | 948 |
| G-Type FI | Th, °C | C-Type FI | Salinity (wt.% NaCl eq.), (n) | Te, °C (n) | Potential Chemical Systems |
|---|---|---|---|---|---|
| Ore quartz | |||||
| P | 109–467 (20) | L + V → L ore V | 0.5–17 (17) | −23 (10) −35 (1) | NaCl–KCl–H2O NaCl–MgCl2–H2O |
| PS | 85–340 (16) | L → L | |||
| S | 109–203 (10) | L → L | |||
| Barren quartz | |||||
| P | 116–491 (41) | L + V → L ore V | 4.0–16.5 (25) | −23 (16) −35 (2) | NaCl–KCl–H2O NaCl–MgCl2–H2O |
| PS | 87–123 (12) | L + V → L | |||
| S | 70–184 (12) | L → L | |||
| Quartz crystals | |||||
| P | 135–358 (11) | L + V → L | 0.5–2 (3) | ~−23 (3) | NaCl–KCl–H2O |
| Calcite | |||||
| P | 80–287 (12) | L + V → L | 15 (1) | ~−35 (1) | NaCl–MgCl2–H2O |
| Sample | Spot | Mineral | δ34SVCDT, ‰ | |
|---|---|---|---|---|
| Verkhneniyayuskoye-2 | ||||
| Zr-207-2 | Southern zone | Pyrite | −2.5 | |
| Zr-207-2A | −2.6 | |||
| Zr-207-2B | −2.0 | |||
| Zr-204-2P | −0.5 | |||
| Zr-204-2R | −1.6 | |||
| Zr-204-2 | Arsenopyrite | −1.1 | ||
| Zr-204-2 | −0.8 | |||
| Zr-204-2A | −0.8 | |||
| Zr-204-2S | Sphalerite | −1.8 | ||
| Zr-204-2F | −1.0 | |||
| 14184 | Polar zone | Pyrite | −1.9 | |
| 14184-2 | −1.6 | |||
| 14184-3 | −1.6 | |||
| 14170 | −0.2 | |||
| 14171 | −0.3 | |||
| BT-14189 | −1.5 | |||
| BT-14193 | −1.2 | |||
| 14184-1 | Arsenopyrite | −2.1 | ||
| Verkhneniyayuskoye-1 | ||||
| Zr-200-2 | Drill Hole 19 | Arsenopyrite | −7.2 | |
| Zr-200-2A | −7.1 | |||
| Zr-200-2B | −7.9 | |||
| Zr-200-2P | Pyrite | −8.0 | ||
| Niyahoyskoye-1 | ||||
| Nkh-1 | Zone 1 | Pyrite | −8.0 | |
| Niyahoyskoye-2 | ||||
| 313701 | Zone 4 | Arsenopyrite | −3.9 | |
| 313701-1 | −4.0 | |||
| 313701-2 | −4.7 | |||
| 313701-4 | Pyrite | −4.1 | ||
| 19001/3 | Zone 8 | Arsenopyrite | −4.5 | |
| 19001/3-1 | −4.5 | |||
| Verkhnelekeletskoye | ||||
| LK-1 | Pyrite | −1.5 | ||
| LK-2 | −1.2 | |||
| LK-1a | Arsenopyrite | −2.4 | ||
| LK-1b | −2.3 | |||
| LK-1c | −3.5 | |||
Disclaimer/Publisher’s Note: The statements, opinions and data contained in all publications are solely those of the individual author(s) and contributor(s) and not of MDPI and/or the editor(s). MDPI and/or the editor(s) disclaim responsibility for any injury to people or property resulting from any ideas, methods, instructions or products referred to in the content. |
© 2023 by the authors. Licensee MDPI, Basel, Switzerland. This article is an open access article distributed under the terms and conditions of the Creative Commons Attribution (CC BY) license (https://creativecommons.org/licenses/by/4.0/).
Share and Cite
Mayorova, T.P.; Kuznetsov, S.K.; Efanova, L.I.; Sokerina, N.V. Gold–Sulfide Mineralization in the Manitanyrd Region, Polar Urals, Russia. Minerals 2023, 13, 747. https://doi.org/10.3390/min13060747
Mayorova TP, Kuznetsov SK, Efanova LI, Sokerina NV. Gold–Sulfide Mineralization in the Manitanyrd Region, Polar Urals, Russia. Minerals. 2023; 13(6):747. https://doi.org/10.3390/min13060747
Chicago/Turabian StyleMayorova, Tatiana Petrovna, Sergei Karpovich Kuznetsov, Ludmila Ivanovna Efanova, and Natalia Vladimirovna Sokerina. 2023. "Gold–Sulfide Mineralization in the Manitanyrd Region, Polar Urals, Russia" Minerals 13, no. 6: 747. https://doi.org/10.3390/min13060747
APA StyleMayorova, T. P., Kuznetsov, S. K., Efanova, L. I., & Sokerina, N. V. (2023). Gold–Sulfide Mineralization in the Manitanyrd Region, Polar Urals, Russia. Minerals, 13(6), 747. https://doi.org/10.3390/min13060747
