Rapid Analysis of Muscovites on a Lithium Pegmatite Prospect by Handheld LIBS
Abstract
1. Introduction
2. Geological Setting
2.1. Carolina Tin-Spodumene Belt (CTSB)
2.2. Previous Exploration and Mining Activity
2.3. Pegmatites of the Carolina Lithium Prospect
3. Methods
3.1. Laser-Induced Breakdown Spectroscopy (LIBS)
3.1.1. Handheld LIBS Analysis
3.1.2. Instrument Calibration
3.2. Electron Probe Microanalysis (EPMA)
4. Results
- (i)
- transparent to semi-transparent book of muscovite with a green hue;
- (ii)
- opaque muscovite with a silvery color occurring as books or individual grains;
- (iii)
- muscovite with weak to moderate oxidation rims and clear, unaltered interiors;
- (iv)
- muscovite exhibiting ragged edges, an inhomogeneous color with mottled textures, and strong oxidation deep into the mica.
4.1. CLP Drill Core Analysis
4.2. Analysis of Muscovite in CLP Outcrops
4.3. Analysis of Soil Muscovite
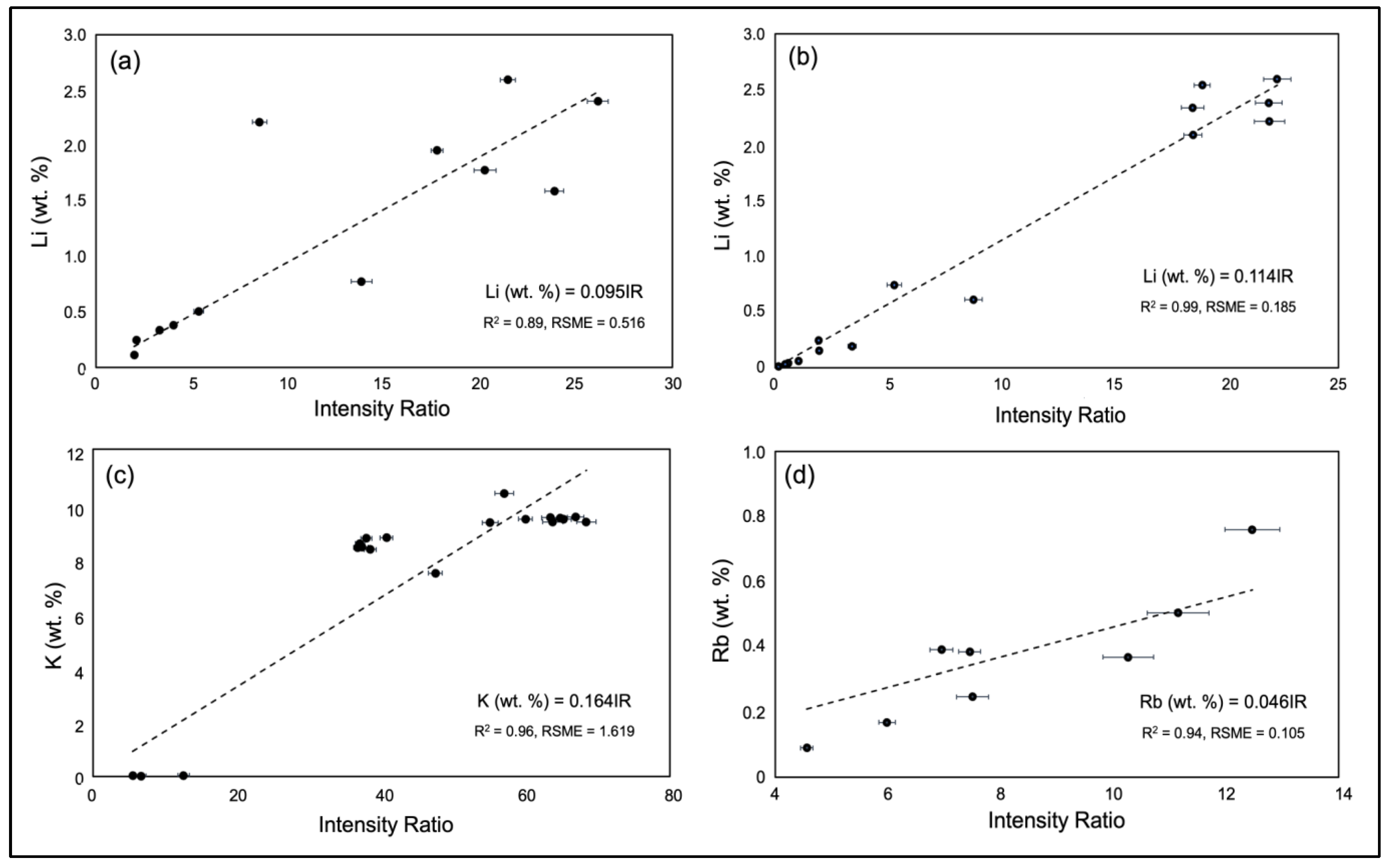
4.4. Li Abundances and K/Rb-Li Systematics
5. Summary and Conclusions
Author Contributions
Funding
Data Availability Statement
Acknowledgments
Conflicts of Interest
Appendix A
| Specimen ID | Type | Location | Li (wt. %) | K (wt. %) | Rb(wt. %) |
| BB #7-6 | Ms | BB #7 Pegmatite, Maine (USA) | 0.613 | 9.439 | 0.759 |
| Cole-13 | Ms | Cole Pegmatite, Maine (USA) | 0.153 | 9.489 | 0.247 |
| Heinrich-222 | Ms | Dike #3 | 0.745 | 10.376 | nd |
| GE3-9 | Ms | GE Pegmatite, Maine (USA) | 0.246 | 9.306 | 0.391 |
| Hayes-1 | Ms | Hayes Pegmatite, Maine (USA) | 0.195 | 9.331 | 0.503 |
| Hibbs-4 | Ms | Hibbs Pegmatite, Maine USA) | 0.060 | 9.514 | 0.169 |
| Mt. Marie-15 | Ms | Mount Marie Pegmatite, Maine (USA) | 0.044 | 9.431 | 0.090 |
| NMNH-48633 | Mrg | Laurel Creek, Maryland (USA) | nd | 0.002 | nd |
| NMNH-103041 | Lpd | Varuträsk, Vasterbotten (Sweden) | 2.537 | 2.539 | 1.900 |
| NMNH-105719 | Lpd | Brown Derby, Colorado (USA) | 2.091 | 8.388 | 1.712 |
| NMNH-115326 | Phl | Talcville, NC (USA) | nd | 7.445 | nd |
| NMNH-128243 | Lpd | Grosmont, Western Australia (Australia) | 2.592 | 8.752 | 1.055 |
| NMNH-128418 | Lpd | Hoydalen, Tordal (Norway) | 2.379 | 8.321 | 2.249 |
| NMNH-144860 | Lpd | Minas Gerias (Brazil) | 2.334 | 8.403 | 1.616 |
| NMNH-R4485 | Mrg | Unionville, Pennsylvania (USA) | nd | 0.025 | nd |
| NMNH-R11827 | Lpd | Vitaniemi, Eräjärvi (Finland) | 2.211 | 8.733 | 0.780 |
| Willis-2 | Ms | Willis Warren Pegmatite, Maine (USA) | 0.035 | 9.339 | 0.368 |
| Willis-7 | Ms | Willis Warren Pegmatite, Maine (USA) | 0.015 | 9.472 | 0.385 |
| YPM MIN-023948 | Mrg | Chester, Massachusetts (USA) | nd | 0.018 | nd |
Appendix B


Appendix C
| Carolina Lithium Prospect | |||||||||||
| Sample ID | Description | Spd | UTM N | UTM E | Li | ±2σ | K | ±2σ | Rb | ±2σ | K/Rb |
| 22-AC-00 | Pegmatite hand specimen | Y | NK | NK | 0.106 | 0.021 | 10.548 | 0.912 | 0.660 | 0.117 | 16.0 |
| 22-AC-01 | Pegmatite outcrop #1 | N | 472603 | 3916672 | 0.192 | 0.038 | 10.454 | 1.227 | 0.319 | 0.048 | 32.7 |
| 22-AC-02 | Pegmatite outcrop #2 | N | 472615 | 3916697 | 0.115 | 0.025 | 10.812 | 1.138 | 0.326 | 0.042 | 33.2 |
| 22-AC-23 | Pegmatite outcrop #3 | Y | 473502 | 3914841 | 0.282 | 0.055 | 9.082 | 1.183 | 0.572 | 0.123 | 15.9 |
| 22-AC-24 | Pegmatite outcrop #4 | Y | 473807 | 3915372 | 0.153 | 0.027 | 10.127 | 0.805 | 0.451 | 0.071 | 22.4 |
| 22-AC-06 | Pegmatite outcrop #5 | Y | 473429 | 3916466 | 0.074 | 0.010 | 9.846 | 1.009 | 0.511 | 0.086 | 19.3 |
| 22-AC-07 | Pegmatite outcrop #6 | Y | 473245 | 3916139 | 0.193 | 0.037 | 10.966 | 0.939 | 0.717 | 0.128 | 15.3 |
| 22-AC-10 | Pegmatite float boulder | Y | 472788 | 3915926 | 0.105 | 0.021 | 10.996 | 0.739 | 0.641 | 0.121 | 17.2 |
| 22-AC-11 | Pegmatite outcrop #7 | Y | 472704 | 3915929 | 0.109 | 0.019 | 10.620 | 0.723 | 0.266 | 0.039 | 39.9 |
| 22-AC-13 | Pegmatite outcrop #8 | Y | 472720 | 3915951 | 0.087 | 0.014 | 10.728 | 0.980 | 0.629 | 0.129 | 17.1 |
| 22-AC-14 | Pegmatite outcrop #9 | Y | 472852 | 3916157 | 0.090 | 0.013 | 10.329 | 0.901 | 0.328 | 0.049 | 31.5 |
| 22-AC-16 | Pegmatite dike | Y | 472346 | 3915109 | 0.153 | 0.027 | 11.494 | 0.706 | 0.814 | 0.120 | 14.1 |
| 22-AC-17 | Pegmatite outcrop #10 | N | 472350 | 3915056 | 0.122 | 0.020 | 11.288 | 1.043 | 0.318 | 0.048 | 35.6 |
| 22-AC-18 | Pegmatite outcrop #11 | N | 472350 | 3915056 | 0.109 | 0.036 | 11.175 | 1.284 | 0.309 | 0.048 | 36.2 |
| 22-AC-51 | Pegmatite outcrop #12 | Y | 473100 | 3915210 | 0.263 | 0.036 | 12.309 | 0.744 | 0.466 | 0.062 | 26.4 |
| 22-AC-52 | Mica Pit Road | NK | 470235 | 3908800 | 0.156 | 0.032 | 11.436 | 0.778 | 0.268 | 0.031 | 42.7 |
| 22-AC-53 | Mica Pit Road | NK | 470235 | 3908800 | 0.078 | 0.015 | 9.402 | 0.800 | 0.207 | 0.022 | 45.4 |
| 22-AC-130 | Mica Pit | NK | 470235 | 3908800 | 0.201 | 0.037 | 11.266 | 0.798 | 0.495 | 0.061 | 22.8 |
| 22-AC-133 | Soil traverse NCS-2, D00176585 | NK | 474860 | 3916990 | 0.097 | 0.017 | 11.453 | 0.595 | 0.511 | 0.033 | 22.5 |
| 22-AC-135 | Soil traverse NCS-4, D00176024 | NK | 474830 | 3917032 | 0.146 | 0.043 | 10.561 | 0.768 | 0.662 | 0.048 | 17.1 |
| 22-AC-142 | Soil traverse NCS-10, D00176581 | NK | 474885 | 3916951 | 0.145 | 0.015 | 10.794 | 0.680 | 0.547 | 0.022 | 19.7 |
| 22-AC-144 | Soil traverse NCS-10, D00176581 | NK | 474817 | 3917056 | 0.164 | 0.041 | 11.297 | 0.452 | 0.437 | 0.023 | 25.9 |
| 23-AC-21 | Pegmatite specimen (#751) | N | 473041 | 3915775 | 0.157 | 0.019 | 9.851 | 1.620 | 0.267 | 0.055 | 36.8 |
| 23-AC-66 | Pegmatite outcrop #13, grain #1 | Y | 471040 | 3911384 | 0.079 | 0.017 | 11.161 | 0.847 | 0.596 | 0.067 | 18.7 |
| 23-AC-66 | Pegmatite outcrop #113 grain #2 | Y | 471040 | 3911384 | 0.222 | 0.034 | 11.095 | 0.803 | 0.428 | 0.071 | 25.2 |
| 23-AC-67 | Pegmatite driveway outcrop #1 | Y | 472830 | 3916280 | 0.288 | 0.029 | 12.083 | 0.964 | 0.525 | 0.085 | 23.0 |
| 23-AC-68 | Pegmatite driveway outcrop #2 | Y | 472830 | 3916280 | 0.201 | 0.030 | 10.433 | 0.645 | 0.283 | 0.035 | 36.8 |
| 23-AC-69 | Pegmatite driveway outcrop #3 | Y | 472830 | 3916280 | 0.174 | 0.042 | 9.151 | 1.890 | 0.438 | 0.114 | 21.0 |
| 23-AC-70 | Pegmatite driveway outcrop #4 | Y | 472830 | 3916280 | 0.460 | 0.189 | 12.376 | 0.914 | 0.503 | 0.073 | 24.8 |
| 23-AC-71 | Pegmatite outcrop at core shed | N | 471070 | 3911410 | 0.178 | 0.022 | 10.133 | 0.463 | 0.302 | 0.033 | 33.5 |
| 22-AC-20 | Pegmatite #1, CLP Outcrop Area 1 | Y | 474086 | 3916608 | 0.115 | 0.020 | 11.086 | 1.098 | 0.699 | 0.143 | 15.9 |
| 23-AC-17 | Pegmatite #2, grain #1,CLP Outcrop Area 1 | Y | 474150 | 3916700 | 0.088 | 0.028 | 12.905 | 0.543 | 0.731 | 0.106 | 17.6 |
| 23-AC-17 | Pegmatite #2, grain #2, CLP Outcrop Area 1 | Y | 474150 | 3916700 | 0.092 | 0.025 | 12.701 | 1.322 | 0.673 | 0.106 | 18.9 |
| 23-AC-18 | Pegmatite #3 (0744), CLP Outcrop Area 1 | Y | 474086 | 3916608 | 0.114 | 0.049 | 11.059 | 0.396 | 0.424 | 0.052 | 26.0 |
| 23-AC-38 | Pegmatite #4, grain #1, CLP Outcrop Area 1 | Y | 474086 | 3916608 | 0.130 | 0.059 | 10.362 | 0.630 | 0.339 | 0.041 | 30.6 |
| 23-AC-38 | Pegmatite #4, grain #2, CLP Outcrop Area 1 | Y | 474086 | 3916608 | 0.151 | 0.041 | 10.243 | 0.698 | 0.367 | 0.037 | 27.9 |
| 23-AC-39 | Pegmatite boulder #1, CLP Outcrop Area 1 | Y | 474086 | 3916608 | 0.162 | 0.032 | 11.312 | 1.268 | 0.480 | 0.063 | 23.6 |
| 23-AC-40 | Pegmatite float boulder #2, CLP Outcrop Area 1 | Y | 474086 | 3916608 | 0.168 | 0.020 | 12.695 | 1.140 | 0.666 | 0.081 | 19.1 |
| 23-AC-41 | Pegmatite float boulder #2, CLP Outcrop Area 1 | Y | 474086 | 3916608 | 0.259 | 0.024 | 11.426 | 0.978 | 0.452 | 0.041 | 25.2 |
| 23-AC-42 | Pegmatite float boulder #3, CLP Outcrop Area 1 | Y | 474086 | 3916608 | 0.292 | 0.019 | 10.610 | 0.870 | 0.473 | 0.053 | 22.4 |
| 23-AC-43 | Pegmatite float boulder #4, CLP Outcrop Area 1 | Y | 474086 | 3916608 | 0.308 | 0.018 | 12.223 | 1.268 | 0.502 | 0.059 | 24.3 |
| 23-AC-44 | Pegmatite outcrop #1, CLP Outcrop Area 2 | N | 472729 | 3916866 | 0.178 | 0.013 | 12.027 | 1.123 | 0.396 | 0.038 | 30.4 |
| 23-AC-45 | Pegmatite outcrop #2, grain 1, CLP Outcrop Area 2 | N | 472718 | 3916908 | 0.111 | 0.012 | 12.401 | 0.428 | 0.398 | 0.033 | 33.2 |
| 23-AC-45 | Pegmatite outcrop #2, grain 2, CLP Outcrop Area 2 | N | 472719 | 3916981 | 0.175 | 0.034 | 12.079 | 1.342 | 0.365 | 0.058 | 33.0 |
| 23-AC-46 | Pegmatite outcrop #3, CLP Outcrop Area 2 | N | 472693 | 3917024 | 0.104 | 0.014 | 11.629 | 0.601 | 0.327 | 0.028 | 35.6 |
| 23-AC-47 | Pegmatite outcrop #4, CLP Outcrop Area 2 | N | 472664 | 3916978 | 0.376 | 0.065 | 11.728 | 0.888 | 0.416 | 0.051 | 28.2 |
| 23-AC-48 | Pegmatite outcrop #5, CLP Outcrop Area 2 | N | 472574 | 3916953 | 0.173 | 0.035 | 11.212 | 0.971 | 0.348 | 0.073 | 32.2 |
| 23-AC-49 | Pegmatite outcrop #6, CLP Outcrop Area 2 | N | 472659 | 3916769 | 0.304 | 0.040 | 11.615 | 0.826 | 0.340 | 0.033 | 34.1 |
| 23-AC-50 | Pegmatite outcrop #7, CLP Outcrop Area 2 | N | 470605 | 3908798 | 0.249 | 0.049 | 13.282 | 1.453 | 0.396 | 0.070 | 33.6 |
| 23-AC-51 | Pegmatite dike trending W-NW, CLP Outcrop Area 2 | Y | 470605 | 3908798 | 0.185 | 0.025 | 13.332 | 0.936 | 0.696 | 0.065 | 19.0 |
| 23-AC-52 | Pegmatite boulder, CLP Outcrop Area 3 | Y | 470605 | 3908798 | 0.405 | 0.078 | 11.880 | 0.741 | 0.571 | 0.054 | 20.8 |
| 23-AC-53 | Pegmatite outcrop #1 with large mica books, CLP Outcrop Area 3 | Y | 470630 | 3908799 | 0.260 | 0.077 | 12.723 | 0.676 | 0.519 | 0.047 | 24.5 |
| 23-AC-54 | Pegmatite outcrop #2, CLP Outcrop Area 3 | Y | 470630 | 3908799 | 0.131 | 0.010 | 13.674 | 0.966 | 0.577 | 0.091 | 23.7 |
| 23-AC-55 | Pegmatite outcrop #3, CLP Outcrop Area 3 | Y | NK | NK | 0.489 | 0.038 | 10.678 | 0.509 | 0.560 | 0.039 | 19.1 |
| 22-AC-123 | Pegmatite #1, Outcrop Area 4 | Y | NK | NK | 0.158 | 0.024 | 10.465 | 1.013 | 0.445 | 0.066 | 23.5 |
| 22-AC-124 | Pegmatite #2, Outcrop Area 4 | Y | NK | NK | 0.185 | 0.040 | 10.643 | 0.899 | 0.452 | 0.057 | 23.5 |
| 22-AC-125 | Pegmatite #3, Outcrop Area 4 | Y | NK | NK | 0.116 | 0.024 | 10.826 | 0.809 | 0.537 | 0.053 | 20.2 |
| 22-AC-126 | Pegmatite #4, Outcrop Area 4 | Y | NK | NK | 0.265 | 0.041 | 10.426 | 0.849 | 0.467 | 0.059 | 22.3 |
| 22-AC-127 | Pegmatite #6, Outcrop Area 4 | Y | NK | NK | 0.149 | 0.027 | 11.218 | 1.066 | 0.467 | 0.073 | 24.0 |
| 22-AC-128 | Pegmatite #6.5, Outcrop Area 4 | Y | NK | NK | 0.059 | 0.011 | 11.340 | 0.746 | 0.571 | 0.062 | 19.9 |
| 23-AC-22 | Pegmatite dike #1, Outcrop Area 4 | Y | NA | NA | 0.134 | 0.026 | 12.257 | 1.261 | 0.563 | 0.076 | 21.8 |
| 23-AC-23 | Pegmatite dike #2, Outcrop Area 4 | Y | NA | NA | 0.062 | 0.013 | 10.669 | 0.869 | 0.507 | 0.075 | 21.0 |
| 23-AC-31 | Pegmatite dike #3, Outcrop Area 4 | N | NA | NA | 0.094 | 0.020 | 10.724 | 0.597 | 0.366 | 0.039 | 29.3 |
| 23-AC-32 | Pegmatite dike #4, Outcrop Area 4 | N | NA | NA | 0.114 | 0.043 | 12.039 | 0.668 | 0.391 | 0.049 | 30.8 |
| 23-AC-33 | Pegmatite outcrop with large mica books, Outcrop Area 4 | Y | NA | NA | 0.182 | 0.060 | 12.319 | 1.889 | 0.535 | 0.093 | 23.0 |
Appendix D
| Drill Core 21-BD-529 | |||||
| Qz-Fsp Pegmatite | Spd-Pegmatite | Altered Pegmatite | Granite | Amphibolite | |
| (wt. %) | n = 4 SiO2 = 69.1–73.8 | n = 6 SiO2 = 70.4–73.0 | n = 7 SiO2 = 69.1–73.8 | n = 4 SiO2 = 71.1–76.5 | n = 4 SiO2 = 70.7–73.5 |
| SiO2 | 72.47 ± 2.53 | 72.08 ± 0.84 | 73.51 ± 1.12 | 73.53 ± 1.32 | 72.73 ± 1.33 |
| Al2O3 | 15.04 ± 1.17 | 15.61 ± 0.59 | 15.06 ± 0.44 | 14.39 ± 0.47 | 15.13 ± 0.96 |
| Fe2O3 | 1.18 ± 0.20 | 0.81 ± 0.23 | 1.16 ± 0.24 | 1.58 ± 0.33 | 1.09 ± 0.41 |
| MgO | 0.12 ± 0.05 | 0.05 ± 0.02 | 0.12 ± 0.06 | 0.27 ± 0.14 | 0.17 ± 0.09 |
| CaO | 0.92 ± 0.53 | 1.37 ± 0.37 | 0.67 ± 0.27 | 1.08 ± 0.47 | 0.92 ± 0.39 |
| Na2O | 3.89 ± 1.86 | 2.51 ± 0.82 | 3.62 ± 1.51 | 3.80 ± 0.89 | 4.11 ± 1.38 |
| K2O | 4.38 ± 1.35 | 5.25 ± 0.87 | 4.50 ± 0.81 | 3.52 ± 0.33 | 4.22 ± 1.38 |
| MnO | 0.12 ± 0.03 | 0.11 ± 0.03 | 0.10 ± 0.06 | 0.03 ± 0.01 | 0.06 ± 0.03 |
| P2O5 | 0.32 ± 0.03 | 0.30 ± 0.19 | 0.28 ± 0.03 | 0.27 ± 0.05 | 0.27 ± 0.04 |
| Li (ppm) | 50 ± 16 | 990 ± 764 | 61 ± 24 | 87 ± 27 | nd |
| Be (ppm) | 39 ± 26 | 158 ± 81 | 18 ± 10 | 9 ± 4 | nd |
| Ga (ppm) | 19 ± 1 | 26 ± 2 | 18 ± 2 | 18 ± 1 | nd |
| Rb (ppm) | 343 ± 145 | 504 ± 173 | 234 ± 89 | 171 ± 30 | nd |
| Cs (ppm) | 16 ± 5 | 34 ± 16 | 10 ± 3 | 11 ± 2 | nd |
| K/Rb | 94 ± 30 | 42 ± 5 | 128 ± 21 | 183 ± 23 | nd |
| Drill Core 21-BD-531 | |||||
| Saprolite | Qz-Fsp Pegmatite | Spd-Pegmatite | Granite | Amphibolite | |
| (wt. %) | n = 3 SiO2 = 74.6–76.3 | n = 24 SiO2 = 66.7–89.9 | n = 5 SiO2 = 72.4–74.1 | n = 22 SiO2 = 71.0–84.5 | n = 2 SiO2 = 51.2–51.4 |
| SiO2 | 75.62 ± 0.92 | 74.49 ± 4.40 | 73.57 ± 0.71 | 75.01 ± 2.48 | 51.75 ± 0.92 |
| Al2O3 | 13.85 ± 0.59 | 14.67 ± 2.36 | 15.44 ± 0.56 | 14.27 ± 1.62 | 18.66 ± 0.11 |
| Fe2O3 | 1.34 ± 0.17 | 1.13 ± 0.61 | 1.06 ± 0.28 | 1.13 ± 0.25 | 10.49 ± 0.06 |
| MgO | 0.25 ± 0.01 | 0.18 ± 0.18 | 0.10 ± 0.05 | 0.19 ± 0.10 | 3.94 ± 0.62 |
| CaO | 0.30 ± 0.15 | 0.64 ± 0.49 | 0.67 ± 0.31 | 0.54 ± 0.28 | 6.14 ± 1.07 |
| Na2O | 2.27 ± 0.28 | 4.86 ± 1.00 | 4.23 ± 1.67 | 4.42 ± 0.90 | 2.06 ± 0.31 |
| K2O | 4.40 ± 0.23 | 2.86 ± 1.13 | 2.90 ± 1.82 | 3.36 ± 0.85 | 2.05 ± 0.54 |
| MnO | 0.02 ± 0.01 | 0.09 ± 0.06 | 0.14 ± 0.07 | 0.05 ± 0.04 | 0.24 ± 0.02 |
| P2O5 | 0.15 ± 0.09 | 0.32 ± 0.14 | 0.25 ± 0.06 | 0.30 ± 0.07 | 0.36 ± 0.03 |
| Li (ppm) | 87 ± 4 | 125 ± 68 | 3893 ± 2492 | 134 ± 77 | nd |
| Be (ppm) | 125 ± 68 | 24 ± 26 | 122 ± 54 | 13 ± 8 | nd |
| Ga (ppm) | 16 ± 0.3 | 19 ± 5 | 28 ± 3 | 25 ± 21 | nd |
| Rb (ppm) | 219 ± 9 | 302 ± 172 | 617 ± 235 | 276 ± 123 | nd |
| Cs | 10 ± 1 | 27 ± 16 | 69 ± 17 | 23 ± 16 | nd |
| K/Rb | 21 ± 2 | 84 ± 24 | 43 ± 6 | 105 ± 24 | nd |
References
- Kesler, S.E.; Gruber, P.W.; Medina, P.A.; Keoleian, G.A.; Everson, M.P.; Wallington, T.J. Global lithium resources: Relative importance of pegmatite, brine and other deposits. Ore Geol. Rev. 2012, 48, 55–69. [Google Scholar] [CrossRef]
- Bowell, R.J.; Lagos, L.; de los Hoyos, C.R.; Declercq, J. Classification and characteristics of natural lithium resources. Elements 2020, 16, 259–264. [Google Scholar] [CrossRef]
- USGS. Mineral Commodity Summaries 2023; US Geological Survey: Reston, VA, USA, 2023; p. 214.
- Geoscience Australia, Australian Critical Minerals Prospectus; Australian Trade and Investment Commission, Department of Industry, Science, Energy and Resources: Canberra, Australia, 2022; p. 82.
- Tabelin, C.B.; Dallas, J.; Casanova, S.; Pelech, T.; Bournival, G.; Saydam, S.; Canbulat, I. Towards a low-carbon society: A review of lithium resource availability, challenges and innovations in mining, extraction and recycling, and future perspectives. Miner. Eng. 2021, 163, 106743. [Google Scholar] [CrossRef]
- World Bank. Minerals for Climate Action: The Mineral Intensity of the Clean Energy Transition; World Bank Report: Washington, DC, USA, 2020; p. 110. [Google Scholar]
- Jolliff, B.; Papike, J.; Shearer, C. Fractionation trends in mica and tourmaline as indicators of pegmatite internal evolution: Bob Ingersoll pegmatite, Black Hills, South Dakota. Geochim. Et Cosmochim. Acta 1987, 51, 519–534. [Google Scholar] [CrossRef]
- Selway, J.; Breaks, F.; Tindle, A. A review of rare- element (Li-Cs-Ta) pegmatite exploration techniques for the Superior Province, Canada, and large worldwide tantalum deposits. Explor. Min. Geol. 2005, 14, 1–30. [Google Scholar] [CrossRef]
- Martins, T.; Roda-Robles, E.; Lima, A.; De Parseval, P. Geochemistry and evolution of micas in the Barroso-Alvaõ Pegmatite Field, Northern Portugal. Can. Mineral. 2012, 50, 1117–1129. [Google Scholar] [CrossRef]
- Hulsbosch, N.; Hertogen, J.; Dewaele, S.; André, L.; Muchez, P. Alkali metal and rare earth element evolution of rock-forming minerals from the Gatumba area pegmatites (Rwanda): Quantitative assessment of crystal-melt fractionation in the regional zonation of pegmatite groups. Geochim. Et Cosmochim. Acta 2014, 132, 349–374. [Google Scholar] [CrossRef]
- Černý, P.; Meintzer, R.E.; Anderson, A.J. Extreme fractionation in rare-element granitic pegmatites: Selected examples of data and mechanisms. Can. Mineral. 1985, 23, 381–421. [Google Scholar]
- Trueman, D.L.; Černý, P. Exploration for rare-element pegmatites. In Granitic Pegmatites in Science and Industry; Short Course Handbook; Černý, P., Ed.; Mineralogical Association of Canada: Winnipeg, Canada, 1982; Volume 8, pp. 463–493. [Google Scholar]
- Černý, P.; Burt, D. Paragenesis, crystallochemical characteristics, and geochemical evolution of the micas in granite pegmatites. Rev. Mineral. 1984, 13, 257–297. [Google Scholar]
- Smeds, S.-A. Trace elements in potassium-feldspar and muscovite as a guide in the prospecting for lithium- and tin-bearing pegmatites in Sweden. J. Geochem. Explor. 1992, 42, 351–369. [Google Scholar] [CrossRef]
- Beurlen, H.; Thomas, R.; da Silva, M.R.R.; Müller, A.; Rhede, D.; Soares, D.R. Perspectives for Li- and Ta-mineralization in the Borborema Pegmatite Province, NE-Brazil: A review. J. South Am. Earth Sci. 2014, 56, 110–127. [Google Scholar] [CrossRef]
- Maneta, V.; Baker, D.R. The potential of lithium in alkali feldspars, quartz, and muscovite as a geochemical indicator in the exploration for lithium-rich granitic pegmatites: A case study from the spodumene-rich Moblan pegmatite, Quebec, Canada. J. Geochem. Explor. 2019, 205, 106336. [Google Scholar] [CrossRef]
- Wise, M.A.; Harmon, R.S.; Curry, A.; Jennings, M.; Grimac, Z.; Khashchevskaya, D. Handheld LIBS for Li exploration: An example from the Carolina Tin-Spodumene Belt, USA. Minerals 2022, 12, 77. [Google Scholar] [CrossRef]
- Kish, S.A.; Fullagar, P.D. Age and magmatic association of rare metal pegmatites; spodumene pegmatites, Kings Mountain, NC and Sn–Ta pegmatites, Rockford, Ala. Geol. Soc. Am. Abstr. Programs 1996, 28, A475. [Google Scholar]
- Kesler, T.L. The Tin-Spodumene Belt of the Carolinas: A Preliminary Report; US Geological Survey Report 936; United States Goverment Printing Office: Washington, DC, USA, 1942; p. 269.
- Kish, S.A. Geochronology of plutonic activity in the Inner Piedmont and Kings Mountain belt in North Carolina. In Field Guides for Geological Society of America, Southeastern Section Meeting, Winston-Salem, North Carolina; Burt, E.R., Ed.; North Carolina Department of Natural and Economic Resources: Raleigh, NC, USA, 1977; pp. 144–149. [Google Scholar]
- Kesler, T.L. The Kings Mountain area. In Guides to Southeastern Geology; Field Trip Guidebook; Russell, R.J., Ed.; Geological Society of America: Boulder, CO, USA, 1955; pp. 374–387. [Google Scholar]
- Luster, G.R. Lithologic Variability of the Kings Mountain Pegmatite, North Carolina. Master’s Thesis, Pennsylvania State University, University Park, PA, USA, 1977. [Google Scholar]
- Horton, J.W. Shear zone between the Inner Piedmont and Kings Mountain belts in the Carolinas. Geology 1981, 9, 28–33. [Google Scholar] [CrossRef]
- Hodges, R.A. A Petrologic Study of the Lithium Corporation of America Mine in the Tin–Spodumene Belt of North Carolina. Master’s Thesis, University of North Carolina, Chapel Hill, NC, USA, 1983. [Google Scholar]
- Kesler, T.L. Raw lithium supplies. Min. Eng. 1978, 30, 283–285. [Google Scholar]
- Kesler, T.L. Occurrence, development, and long-range outlook of lithium-pegmatite ore in the Carolinas. In Lithium Resources and Requirements by the Year 2000; U.S. Geological Survey Professional Paper; Vine, J.D., Ed.; Superintendent of Documents; U.S. Government Printing Office: Washington, DC, USA, 1976; pp. 45–50. [Google Scholar]
- Černý, P.; London, D.; Novák, M. Granitic pegmatites as reflections of their sources. Elements 2012, 8, 289–294. [Google Scholar] [CrossRef]
- Černý, P. Geochemical and petrogenetic features of mineralization in rare-element granitic pegmatites in the light of current research. Appl. Geochem. 1992, 7, 93–416. [Google Scholar]
- Wise, M.A.; Müller, A.; Simmons, W.B. A proposed new mineralogical classification system for granitic pegmatites. Can. Mineral. 2022, 60, 229–248. [Google Scholar] [CrossRef]
- Griffitts, W.R.; Overstreet, W.C. Granitic rocks of the western Carolina Piedmont. Am. J. Sci. 1952, 250, 777–789. [Google Scholar] [CrossRef]
- White, J.S. Mineralogy of the Foote Mine, Kings Mountain, North Carolina. In Geological Investigations of the Kings Mountain Belt and Adjacent Areas in the Carolinas; Carolina Geological Society Field Trip Guidebook; Horton, J.W., Butler, J.R., Milton, D.M., Eds.; South Carolina Geological Survey: Columbia, SC, USA, 1981; pp. 39–48. [Google Scholar]
- Marble, L.; Hanahan, J. The Foote minerals the Foote Quarry in Kings Mountain, North Carolina is one of the premier micromount localities. Rocks Miner. 1978, 53, 158–173. [Google Scholar] [CrossRef]
- Hanahan, J. The Foote Quarry, King Mountain, North Carolina revisited 1984. Rocks Miner. 1984, 60, 76–82. [Google Scholar] [CrossRef]
- Swanson, S.E. Mineralogy of spodumene pegmatites and related rocks in the tin–spodumene belt of North Carolina and South Carolina, USA. Can. Mineral. 2012, 50, 1589–1608. [Google Scholar] [CrossRef]
- Piedmont Lithium. Technical Report Summary of a Definitive Feasibility Study of the Carolina Lithium Project in North Carolina, 18605-REP-GE-002; Piedmont Lithium Ltd.: Belmont, NC, USA, 2022; p. 232. [Google Scholar]
- Griffitts, W.R. Beryllium Resources of the Tin-Spodumene Belt of North Carolina; U.S. Geological Survey Circular: Washington, DC, USA, 1954; Volume 309, p. 12.
- Kesler, T.L. Exploration of the Kings Mountain pegmatites. Miner. Eng. 1961, 13, 1062–1068. [Google Scholar]
- Russo, R.E.; Mao, X.; Yoo, J.H.; Gonzalez, J. Laser ablation. In Laser-Induced Breakdown Spectroscopy; Singh, J.P., Thakur, S.N., Eds.; Elsevier: Amsterdam, The Netherlands, 2008; pp. 49–82. [Google Scholar]
- Connors, B.; Somers, A.; Day, D. Application of handheld laser-induced breakdown spectroscopy (LIBS) to geochemical analysis. Appl. Spectrosc. 2016, 70, 810–815. [Google Scholar] [CrossRef]
- Sweetapple, M.T.; Tassios, S. Laser-induced breakdown spectroscopy (LIBS) as a tool for in situ mapping and textural interpretation of lithium in pegmatite minerals. Am. Mineral. 2015, 100, 2141–2151. [Google Scholar] [CrossRef]
- Romppanen, S.; Pölönen, I.; Häkkänen, H.; Kaski, S. Optimization of spodumene identification by statistical approach for laser-induced breakdown spectroscopy data of lithium pegmatite ores. Appl. Spectrosc. Rev. 2021, 58, 297–317. [Google Scholar] [CrossRef]
- Ribeiro, R.; Capela, D.; Ferreira, M.; Martins, R.; Jorge, P.; Guimarães, D.; Lima, A. X-ray fluorescence and laser-induced breakdown spectroscopy analysis of Li-rich minerals in veins from Argemela Tin Mine, central Portugal. Minerals 2021, 11, 1169. [Google Scholar] [CrossRef]
- Müller, S.; Meima, J.A. Mineral classification of lithium-bearing pegmatites based on laser-induced breakdown spectroscopy: Application of semi-supervised learning to detect known minerals and unknown material. Spectrochim. Acta Part B At. Spectrosc. 2022, 189, 106370. [Google Scholar] [CrossRef]
- Rifai, K.; Constantin, M.; Yilmaz, A.; Özcan, L.Ç.; Doucet, F.R.; Azami, N. Quantification of lithium and mineralogical mapping in crushed ore samples using laser induced breakdown spectroscopy. Minerals 2022, 12, 253. [Google Scholar] [CrossRef]
- Fabre, C.; Ourti, N.E.; Mercadier, J.; Cardoso-Fernandes, J.; Dias, F.; Perrotta, M.; Koerting, F.; Lima, A.; Kaestner, F.; Koellner, N.; et al. Analyses of Li-rich minerals using handheld LIBS tool. Data 2021, 6, 68. [Google Scholar] [CrossRef]
- Fabre, C.; Ourti, N.E.; Ballouard, C.; Mercadier, J.; Cauzid, J. Handheld LIBS analysis for in situ quantification of Li and detection of the trace elements (Be, Rb and Cs). J. Geochem. Explor. 2022, 236, 106979. [Google Scholar] [CrossRef]
- Harmon, R.S.; Lawley, C.; Watts, J.; Harraden, C.L.; Somers, A.M.; Hark, R.R. Laser-induced breakdown spectroscopy—An emerging analytical tool for mineral exploration. Minerals 2019, 9, 718. [Google Scholar] [CrossRef]
- Dias, F.; Ribeiro, R.; Gonçalves, F.; Lima, A.; Roda-Robles, E.; Martins, T. Calibrating a Handheld LIBS for Li Exploration in the Barroso–Alvāo Aplite-Pegmatite Field, Northern Portugal: Textural Precautions and Procedures When Analyzing Spodumene and Petalite. Minerals 2023, 13, 470. [Google Scholar] [CrossRef]
- Tischendorf, G.; Forster, H.J.; Gottesmann, B.; Rieder, M. True and brittle micas: Composition and solid-solution series. Mineral. Mag. 2007, 71, 285–320. [Google Scholar] [CrossRef]
- Piedmont Lithium. Core logging procedures for Piedmont Lithium Beaverdam Project. In Core Logging Manual Internal Technical Report; Piedmont Lithium Ltd.: Belmont, NC, USA, 2017; p. 16. [Google Scholar]
- Černý, P.; Ercit, T.S. The classification of granitic pegmatites revisited. Can. Mineral. 2005, 43, 2005–2026. [Google Scholar] [CrossRef]
- Sundelius, H.W. The Peg claims spodumene pegmatites, Maine. Econ. Geol. 1963, 58, 84–106. [Google Scholar] [CrossRef]
- Chackowsky, L.E. Mineralogy, Geochemistry and Petrology of Pegmatitic Granites and Pegmatites at Red Sucker Lake, Northeastern Manitoba. Master’s Thesis, University of Manitoba, Winnipeg, MB, Canada, 1983. [Google Scholar]
- Burnham, C.W.; Jahns, R.H. A method for determining the solubility of water in silicate melts. Am. J. Sci. 1962, 260, 721–745. [Google Scholar] [CrossRef]
- Stilling, A.; Černý, P.; Vanstone, P.J. The Tanco pegmatite at Bernic Lake, Manitoba. XVI. Zonal and bulk compositions and their petrogenetic significance. Can. Mineral. 2006, 44, 599–623. [Google Scholar] [CrossRef]
- Ashworth, L.; Kinnaird, J.A.; Nex, P.A.M.; Harris, C.; Müller, A.B. Origin of rare-element-mineralized Damara Belt pegmatites: A geochemical and light stable isotope study. Lithos 2020, 372, 105655. [Google Scholar] [CrossRef]
- Simmons, W.; Falster, A.; Webber, K.; Roda-Robles, E.; Boudreaux, A.P.; Grassi, L.R.; Freeman, G. Bulk composition of Mt. Mica pegmatite, Maine, USA: Implications for the origin of an LCT type pegmatite by anatexis. Can. Mineral. 2016, 54, 1053–1070. [Google Scholar] [CrossRef]
- Antunes, I.M.H.R.; Neiva, A.M.R.; Ramos, J.M.F.; Silva, P.B.; Silva, M.M.V.G.; Corfu, F. Petrogenetic links between lepidolite-subtype aplite-pegmatite, aplite veins and associated granites at Segura (central Portugal). Geochemistry 2013, 73, 323–341. [Google Scholar] [CrossRef]
- Brewer, E.O. Soil Survey of Catawba County, North Carolina; US Department of Agriculture, Soil Conservation Service: Washington, DC, USA, 1975; p. 47. [Google Scholar]
- Roda Robles, E.; Pesquera Perez, A.; Velasco Roldán, F. Micas of the muscovite-lepidolite series from the Fregeneda pegmatites (Salamanca, Spain). Mineral. Petrol. 1995, 55, 145–157. [Google Scholar] [CrossRef]
- Pesquera, A.; Torres-Ruiz, J.; Gil-Crespo, P.P.; Velilla, N. Chemistry and genetic implications of tourmaline and Li-F-Cs micas from the Valdeflores area (Caceres, Spain). Am. Mineral. 1999, 84, 55–69. [Google Scholar] [CrossRef]
- Shaw, D.M. A review of K-Rb fractionation trends by covariance analysis. Geochim. Cosmochim. Acta 1968, 32, 573–601. [Google Scholar] [CrossRef]
- Foord, E.E.; Černý, P.; Jackson, L.L.; Sherman, D.M.; Eby, R.K. Mineralogical and geochemical evolution of micas from miarolitic pegmatites of the anorogenic Pikes Peak batholith, Colorado. Mineral. Petrol. 1995, 55, 1–26. [Google Scholar] [CrossRef]
- Wise, M.A. Trace element chemistry of lithium-rich micas from rare-element granitic pegmatites. Mineral. Petrol. 1995, 55, 203–215. [Google Scholar] [CrossRef]
- Roda, E.; Keller, P.; Pesquera, A.; Fontan, F. Micas of the muscovite–lepidolite series from Karibib pegmatites, Namibia. Mineral. Mag. 2007, 71, 41–62. [Google Scholar] [CrossRef]
- Steiner, B.M. Tools and workflows for grassroots Li–Cs–Ta (LCT) pegmatite exploration. Mineral 2019, 20, 499. [Google Scholar] [CrossRef]
- Xing, C.M.; Wang, C.Y.; Wang, H. Magmatic-hydrothermal processes recorded by muscovite and columbite-group minerals from the Bailongshan rare-element pegmatites in the West Kunlun-Karakorum orogenic belt, NW China. Lithos 2020, 364, 105507. [Google Scholar] [CrossRef]
- Barros, R.; Kaeter, D.; Menuge, J.F.; Škoda, R. Controls on chemical evolution and rare element enrichment in crystallising albite-spodumene pegmatite and wallrocks: Constraints from mineral chemistry. Lithos 2020, 352, 105289. [Google Scholar] [CrossRef]
- Jolliff, B.L.; Papike, J.J.; Shearer, C.K. Petrogenetic relationships between pegmatite and granite based on geochemistry of muscovite in pegmatite wall zones, Black Hills, South Dakota, USA. Geochim. Et Cosmochim. Acta 1992, 56, 1915–1939. [Google Scholar] [CrossRef]
- Van Lichtervelde, M.; Grégoire, M.; Linnen, R.L.; Béziat, D.; Salvi, S. Trace element geochemistry by laser ablation ICP-MS of micas associated with Ta mineralization in the Tanco pegmatite, Manitoba, Canada. Contrib. Mineral. Petrol. 2008, 155, 791–806. [Google Scholar] [CrossRef]
- Shaw, R. (British Geological Survey, Environmental Science Centre, Nicker Hill, Keyworth, Nottingham NG12 5GG, UK). Personal communication, 2023.
- Serrano, J. Origine des Pegmatites du Cap de Creus: Approche Intégrée de Terrain, Pétrologie et Géochimie. Ph.D. Thesis, Université Paul Sabatier-Toulouse III, Toulouse, France, 2019. [Google Scholar]
- Anderson, A. The Geochemistry, Mineralogy and Petrology of the Cross Lake Pegmatite Field, Central Manitoba. Master’s Thesis, University of Manitoba, Winnipeg, MB, Canada, 1984. [Google Scholar]
- Meintzer, R.E. The Mineralogy and Geochemistry of the Granitoid Rocks and Related Pegmatites of the Yellowknife Pegmatite Field, Northwest Territories. Ph.D. Thesis, University of Manitoba, Winnipeg, MB, Canada, 1987. [Google Scholar]











| CLP 21-BD-529 1 | CLP 21-BD-531 1 | Peg Claim, Maine, USA 2 | INCO, Manitoba, Canada 3 | Harding, New Mexico, USA 4 | Tanco, Manitoba, Canada 5 | Rubicon, Namibia 6 | Mt. Mica, Maine, USA 7 | Segura, Portugal 8 | |
|---|---|---|---|---|---|---|---|---|---|
| Pegmatite type * | Alb-Spd | Alb-Spd | Alb-Spd | Alb-Spd | Spd | Pet | Pet | Lep | Lep |
| SiO2 | 73.57 | 72.08 | 73 | 73.70 | 75.24 | 76.04 | 76.29 | 72.08 | 74.81 |
| Al2O3 | 15.44 | 15.61 | 17 | 16.53 | 14.42 | 13.62 | 14.40 | 17.33 | 13.83 |
| Fe2O3 | 1.06 | 0.81 | n.d. | 0.18 | 0.14 | 0.00 | 1.01 | 1.18 | 0.34 |
| MgO | 0.10 | 0.05 | n.d. | 0.05 | 0.01 | 0.00 | 0.04 | 0.15 | n.d. |
| CaO | 0.67 | 1.37 | n.d. | 0.13 | 0.20 | 0.15 | 0.19 | 0.48 | 0.49 |
| Na2O | 4.23 | 5.25 | 3.4 | 3.78 | 4.23 | 3.81 | 6.00 | 5.35 | 3.95 |
| K2O | 2.90 | 2.51 | 2.6 | 1.73 | 2.74 | 2.96 | 1.40 | 2.08 | 2.90 |
| TiO2 | 0.01 | 0.03 | n.d. | 0.01 | 0.05 | 0.01 | 0.02 | 0.07 | n.d. |
| MnO | 0.14 | 0.11 | n.d. | 0.16 | 0.18 | 0.18 | 0.14 | 0.04 | 0.04 |
| P2O5 | 0.25 | 0.30 | n.d. | <0.01 | 0.13 | 0.86 | 0.21 | 0.20 | 2.23 |
| Li | 3893 | 990 | 6968 | 6549 | 3019 | 3417 | 1178 | 511 | 1080 |
| Be | 122 | 158 | n.d. | n.d. | n.d. | 168 | 24 | ||
| Ga | 28 | 26 | n.d. | n.d. | n.d. | 74 | 42.4 | 34 | 35 |
| Rb | 617 | 504 | 1829 | 3292 | 1737 | 5244 | 1545 | 636 | 1502 |
| Cs | 69 | 34 | 66 | 283 | 472 | 2649 | 106.2 | 99.9 | |
| K/Rb | 43 | 42 | 11.8 | 4.4 | 13.1 | 4.7 | 9.8 | 27.1 | 16.0 |
| A/CNK | 1.36 | 1.13 | 2.02 | 1.99 | 1.40 | 1.40 | 1.23 | 1.45 | 1.31 |
| # | Li (wt.%) | K/Rb | ||
|---|---|---|---|---|
| CLP Area 1 Spd-bearing pegmatites | range | 10 | 0.088–0.308 | 17.6–30.6 |
| ± 2σ | 0.176 ± 0.081 | 23.5 ± 4.1 | ||
| CLP Area 2 Qz-Fsp pegmaties | range | 7 | 0.104–0.376 | 28.2–35.6 |
| ± 2σ | 0.213 ± 0.101 | 30.7 ± 2.3 | ||
| CLP Area 3 Spd-bearing pegmatites | range | 5 | 0.131–0.489 | 19.0–24.5 |
| ± 2σ | 0.294 ± 0.150 | 21.4 ± 2.6 | ||
| CLP Area 4 Qz-Fsp pegmaties | range | 5 | 0.062–0.182 | 21.0–30.8 |
| ± 2σ | 0.138 ± 0.60 | 23.6 ± 3.5 |
| Sample # | Li (wt. %) | K/Rb |
|---|---|---|
| 22-AC-133 | 0.097 | 22.5 |
| 22-AC-135 | 0.146 | 17.1 |
| 22-AC-142 | 0.145 | 19.7 |
| 22-AC-144 | 0.164 | 25.9 |
Disclaimer/Publisher’s Note: The statements, opinions and data contained in all publications are solely those of the individual author(s) and contributor(s) and not of MDPI and/or the editor(s). MDPI and/or the editor(s) disclaim responsibility for any injury to people or property resulting from any ideas, methods, instructions or products referred to in the content. |
© 2023 by the authors. Licensee MDPI, Basel, Switzerland. This article is an open access article distributed under the terms and conditions of the Creative Commons Attribution (CC BY) license (https://creativecommons.org/licenses/by/4.0/).
Share and Cite
Harmon, R.S.; Wise, M.A.; Curry, A.C.; Mistele, J.S.; Mason, M.S.; Grimac, Z. Rapid Analysis of Muscovites on a Lithium Pegmatite Prospect by Handheld LIBS. Minerals 2023, 13, 697. https://doi.org/10.3390/min13050697
Harmon RS, Wise MA, Curry AC, Mistele JS, Mason MS, Grimac Z. Rapid Analysis of Muscovites on a Lithium Pegmatite Prospect by Handheld LIBS. Minerals. 2023; 13(5):697. https://doi.org/10.3390/min13050697
Chicago/Turabian StyleHarmon, Russell S., Michael A. Wise, Adam C. Curry, Joshua S. Mistele, Michael S. Mason, and Zach Grimac. 2023. "Rapid Analysis of Muscovites on a Lithium Pegmatite Prospect by Handheld LIBS" Minerals 13, no. 5: 697. https://doi.org/10.3390/min13050697
APA StyleHarmon, R. S., Wise, M. A., Curry, A. C., Mistele, J. S., Mason, M. S., & Grimac, Z. (2023). Rapid Analysis of Muscovites on a Lithium Pegmatite Prospect by Handheld LIBS. Minerals, 13(5), 697. https://doi.org/10.3390/min13050697

