Abstract
Low-temperature plasma (LTP) oxidation has been widely used to study the mineralogy of the mineral matter existing in coal sources. The current study investigated the potential of LTP oxidation as a pre-treatment method to improve rare earth element (REE) leachability from coal and its by-products. Representative density-fractionated samples of Baker and Fire Clay coarse refuse seam materials were ground to a top size of 180 µm and subjected to low-temperature plasma oxidation. Subsequently, the treated samples were leached at 1% w/v solids concentration and 75 °C for 5 h using (i) de-ionized (DI) water, (ii) 0.1 mol/L of ammonium sulfate, and (iii) 1.2 mol/L of sulfuric acid. It was determined that LTP treatment improved REE leaching characteristics, especially the leaching of heavy REEs (HREE), existing in the lighter density fractions of the Baker seam coarse refuse material. For instance, the HREE recovery for the 1.6 specific gravity (SG) float fraction increased from 8% to 33% using 0.1 mol/L of ammonium sulfate solution after 32 h of LTP treatment. This finding indicated that HREEs associated with the organic matter were released by the LTP treatment and adsorbed onto the surfaces of highly negative charged mineral matter and was exchanged with ammonium to allow their recovery. Similarly, when using 1.2 mol/L of sulfuric acid, the HREE recovery increased from 23% to 53% for the 1.6 SG float fraction. Interestingly, LTP oxidation did not provide significant improvement in REE recovery from the 2.2 sink density fractions, which was likely due to its lower organic content. No significant benefits were observed when treating the Fire Clay coarse refuse material, which was likely due to the lack of organic affinity and the difficult-to-leach REE minerals associated with the coal source such as monazite, xenotime, and zircon. Conversely, high-temperature oxidation within a temperature range of 600–750 °C significantly improved REE leaching characteristics for both coal sources. Improvement in REE recovery was due to decarbonization of the material, clay dehydroxylation and subsequent conversion of liberated REE-bearing minerals into a more leachable form. However, increasing the temperature above 800 °C decreased REE recovery due to the conversion of meta-kaolinite into mullite, which is chemically stable.
1. Introduction
The lanthanide elements including lanthanum (La) to lutetium (Lu) along with scandium (Sc) and yttrium (Y) are referred to as rare earth elements (REEs), and are extensively used in manufacturing of common consumer goods as well as state-of-the-art technologies [1]. The dependence on these critical elements is primarily due to their unique magnetic, optic, and catalytic properties [2]. The REEs are mostly classified based on their atomic number as ‘light rare earth elements’ (LREEs) and ‘heavy rare earth elements’ (HREEs). The elements lanthanum to gadolinium are collectively called LREEs. Yttrium is classified as a HREE as it exhibits similar chemical and physical associations. Thus, the HREEs are yttrium and elements terbium to lutetium [3,4]. Scandium is categorized as a LREE due to its low atomic number [5,6].
With an impetus to produce REEs indigenously and alleviate the dependence on global imports, many countries are actively investigating technologies to extract REEs from alternate sources such as coal and its by-products. REEs have been found in low and high-rank coals, parting material, roof, and floor of the host rock, preparation plant rejects, and acid mine drainage in concentrations up to a few tenths of a percentage point [5,7]. REEs in coal have been identified as being associated with carbonates, phosphates, and silicate minerals, as well as ion-absorbed clays and organic compounds such as humic acids [3,8,9,10,11]. Previously, investigations have been focused on coal by-products and acid mine drainage that can eliminate mining and grinding costs associated with the liberation of finely dispersed REE-bearing minerals. Several researchers have attempted to concentrate REEs by exploiting the difference in magnetic, electrostatic, and physiochemical characteristics of REE-bearing minerals. However, it was concluded that physical beneficiation is ineffective due to extremely fine particle sizes of the REE-bearing minerals [1,12,13,14,15]. Alternatively, findings from numerous studies conducted on the recovery of REEs from coal-based feedstocks advocate the feasibility of hydrometallurgical extraction over physical separation methods [12,13,14,15,16,17,18,19]. However, the chemical cost associated with strong leaching conditions is prohibitively high for commercial extraction of REEs from coal-derived feedstocks provided the generally low grades [16,18].
Given the low concentrations of REEs in the coal feed coupled with the different modes of occurrences and low recoveries from subsequent extraction/separation processes, maximizing REE recovery at every unit operation is vital to minimize production costs. Oxidation pretreatment is very effective in transforming conventional REE-bearing minerals into more leachable forms thus increasing REE recovery, improving leaching kinetics, and enabling the use of milder leaching conditions [20,21]. However, elevated temperatures (>400 °C) are required to decarbonize the coal sample and dehydroxylate the clays, which improves rare earth element recovery [22,23]. Alternatively, low-temperature plasma (LTP) treatment can oxidize the sample at lower temperatures (<100 °C). LTP ashing has been widely incorporated as a method to remove organic matter without destroying the crystal structure of the associated mineral matter. As a result, detailed mineralogical studies can be performed on the macro- and micro-dispersed mineral matter. [24,25]. This technique utilizes an enriched oxygen atmosphere in a plasma furnace which drives a chemical reaction with the carbon to produce its basic combustion products of CO2 and H2O [26]. This process serves to de-carbonize the coal sample, which liberates and concentrates the mineral matter associated with the coal as the organic material is oxidized. A systematic study on the benefits of LTP pretreatment as a potential pretreatment unit operation has not been previously performed for the REEs contained in coal [27,28].
The principal objective of the study is to investigate the effect of the LTP oxidation process on the recovery of REEs from coal by-products. The value-added proposition is the oxidation, liberation, and/or activation of the REEs embedded in the different density fractions of the coal. The hypothesis is that, by implementing the plasma treatment, the surface property and pore structure of a coal particle can be altered. The open surface area is projected to increase, which will provide enhanced REE liberation from the coal organic matrix and an improved diffusion rate of lixiviate to the particle core when exposed to subsequent leaching treatment.
2. Materials and Methods
2.1. Materials
Previous studies have found that the majority of REEs associated with run-of-mine coal processed in a coal preparation plant report to the refuse streams (REF) [29]. As such, two 55-gallon barrels of refuse samples were collected using belt sweep samplers at processing plants treating Baker seam and Fire Clay coal seam material. The samples were air-dried and subsequently density fractionated using ultrafine magnetite suspensions adjusted to specific gravity (SG) values of 1.60 SG, 1.80 SG, and 2.20 SG, which produced four SG fractions (i.e., 1.60 SG float, 1.60 × 1.80 SG, 1.80 × 2.20 SG, and 2.20 SG sink). After density fractionation, float and sink products were wet-screened to remove the magnetite and air-dried instead of mechanical oven drying to minimize oxidization. Finally, the density-fractionated samples were pulverized to 180 μm using a laboratory jaw crusher and hammer mill. Trace-metal-grade sulfuric acid and American Chemical Society (ACS)-grade ammonium sulfate salt for acid and salt leaching tests were purchased from Fisher Scientific, Waltham, MA, USA.
Since the samples originated from the coarse waste streams of coal preparation plants, high ash 2.20 SG sink fraction accounted for more than 70% of the total mass yield for both sources. Significant differences in ash contents were found in the density fractions of the two samples (Table 1). The variability in the sulfur concentration of the two feedstocks suggests a difference in depositional environments when the two coals were formed. The 2.20 SG sink fraction of the baker seam source had more than 10% total sulfur primarily due to the visible presents of pyrite (specific gravity = 4.95), which reports primarily to the heavier density fractions in the density fractionation test.
Table 1.
Proximate analysis of the density fractions of the Baker seam and Fire Clay coarse refuse samples.
2.2. Methods
2.2.1. Sample Characterization
A summary of sample characterization methods used in the study is provided in Table 2. Proximate analyses (ASTM D3172) were performed on representative samples of each density fraction and their corresponding oxidation products using a thermogravimetric analyzer (TGA-701) manufactured by LECO Corporation. Total sulfur content (ASTM D4239) was quantified using a LECO SC-430 sulfur analyzer. The total sulfur concentration included various forms of sulfur present in coal such as pyritic, organic, sulfate as well as elemental. X-ray diffraction (XRD) analysis was performed on the density-fractionated samples to characterize the mineralogy as a function of specific gravity using an AXS D8 DISCOVER Diffractometer. XRD provided mineralogical information that included components that represented greater than 1–2% volume of the total sample. As such, elemental information regarding major and minor elements was obtained using an AXS S4 Pioneer XRF (X-ray fluorescence) analyzer. The REE concentrations in each fraction of the refuse samples were measured by ashing the samples and digesting them in concentrated acid for an ICP-OES analysis following the modified ASTM D6357-11 method [30]. The SEM-EDX study of the plasma-treated density fractions of both the coal sources was conducted to evaluate the modifications of sample properties by oxidation pretreatment using an FEI Quanta 250 scanning electron microscope. The findings of the SEM image analysis were corroborated with the BET surface area and pore volume analysis.
Table 2.
Summary of the analytical techniques used in this investigation.
2.2.2. Low-Temperature Plasma Tests
The benchtop LTP system used for the study was model number PE-100 RIE manufactured by Plasma Etch Inc., Carson City, NV, USA. The instrument incorporates a 30 cm H × 30 cm W × 30 cm D aluminum vacuum chamber resistant to plasma etching. The chamber houses a 23 cm W × 23 cm D reactive-ion etching (RIE) electrode that creates a potential difference which ionizes the gases inside the chamber to create plasma. Uniform plasma is generated through a 0–600 W 13.56 MHz direct contact radio frequency (RF) power supply with a variable power setting. The vacuum controller manipulates the vacuum conditions inside the aluminum chamber by a 2-stage direct drive oil pump with an oil mist filter. The oxygen gas flow controller and water-cooling temperature controller provide adjustments and control to the gas flow rate and the temperature of the base electrode plate, respectively. The operating system is Plasma Etch, Inc. software, which provides automatic system control, operation, and process sequence storage. The experimental program utilized a two-factorial parametric experimental test program to identify the significant operational factors (temperature, RF power, oxygen flow rate, treatment time) that were specific to the plasma treatment process.
2.2.3. High-Temperature Calcination Tests
Calcination tests in the temperature range of 200–1000 °C at intervals of 200 °C were conducted to provide a comparison between low and high-temperature oxidation methods and to assess the effect of calcination temperature on the REE leachability. These tests were carried out in a laboratory-scale Thermolyne F6020C-80 muffle furnace manufactured by Thermo Scientific, USA. Batch samples from each SG fraction of the Baker seam and Fire Clay seam sources were used as feed for the tests. Representative samples were evenly spread in a crucible and calcined for 2 h at various temperatures. After completion of the test, the furnace gradually cooled to room temperature and the samples were collected for leaching.
2.2.4. Leaching Tests
REEs associated with the different density fractions of a given coal source may have distinct leachabilities due to the variation in rare earth mineralogy and degree of crystallinity resulting from different geochemical and physical activities. The operational parameters for leaching such as solids content, temperature, time and acid concentrations were selected based on the previous studies to provide a direct comparison [16]. Leaching tests were performed on the feed and LTP-treated density fractions of the Baker seam and Fire Clay samples to assess the effect of different lixiviants (deionized water, 0.1 mol/L of ammonium sulfate solution, and 1.2 mol/L of sulfuric acid) at 75 °C for 5 h and a solid concentration of 1% w/v in three-neck round bottom flasks while keeping the stirring speed constant. Weights of the samples were recorded, and leachate filtered using a 0.45 μm PVDF membrane filter after centrifuging for 10 min at 4000 rpm. The leaching tests were stopped at 300 min and the residual slurry was filtered using a 5 μm pore size filter paper. The filtrates were cooled to room temperature and their volumes were recorded. The filter cakes were dried in an oven at 60 °C for 12 h and the solid residual dry weights were recorded.
2.2.5. ICP Analysis
Leachate and solid samples from the test program were analyzed using inductively coupled plasma–optical emission spectrometry (ICP-OES). Solid (feed and leachate residue) samples were digested using a modified ASTM D6357-11 method and subsequently a 10 mL sample was collected for ICP analysis. Before each run, the unit was calibrated using blank (0 ppm), 0.5 ppm, 1 ppm, 5 ppm and a 10-ppm standard solution and the accuracy of the instrument was tested using quality control synthetic solutions prior to sample analysis. If the sample concentrations were outside calibration range, 10× and 100× samples dilutions were prepared using 5% nitric acid.
REE recovery was calculated using the following expression, which is based on an elemental balance:
where Cl and Csr represent REE concentrations (ppm) in the solid residual and leachate solution, respectively; msr (kg) is the weight of the leaching solid residue and Vl (liter) is the volume of the final leachate. It must be noted that all REE contents in solids are based on a dry whole sample basis.
REE = 100 × (Cl × Vl)/(Csr × msr + Cl × Vl)
3. Results and Discussions
3.1. Mineralogy and REE Analysis
X-ray diffraction (XRD) identified kaolinite (Al2(Si2O5) (OH)4), quartz (SiO2), and pyrite (FeS2) as the three dominant minerals in the Baker seam material, whereas kaolinite, quartz, and illite/muscovite (KAl2(Si3AlO10) (OH)2) were the dominant minerals in the Fire Clay samples (Figure 1). The XRD plot of the Fire Clay sample did not have a pyrite peak, which was distinctly present in the Baker seam samples. This finding correlates with the low total sulfur content (<1%) for the Fire Clay material.
Figure 1.
XRD patterns of the untreated, density-fractionated samples of (a) Baker seam and (b) Fire Clay refuse samples (•—Kaolinite; ▲—Quartz; ◇—Pyrite, and ⎔—Illite).
The results from the REE analyses for the two feed sources revealed that both samples contained higher concentrations of LREEs than HREEs (Figure 2). The REE distribution by SG for the two samples showed the potential of enrichment by a simple ashing process. Heavier density fractions in the Baker seam source were found to have higher REE content than the low ash material on a whole mass basis. Ashing the lighter density fraction samples (1.60 SG float and 1.60 × 1.80 SG) at 750 °C for 3 h enriched the REEs in the residual ash by about 200%. The lightest density fraction (1.60 SG float) of the Fire Clay source material had a total REE concentration of more than 400 ppm on a whole mass basis while the ash material generated from the same density fraction contained 817 ppm of total REEs. The ash contents of the Fire Clay material (except for 1.60 SG float) were significantly higher than the Baker seam fractions (Table 1), which explains the relatively lower improvement in the REE content through ashing (Figure 2a,b). The relatively high REE contents in the Fire Clay SG fractions correlate well with the findings of numerous studies that identified the middling fractions of the Fire Clay seam to be rich in REEs [31]. The REEs in the middling of Fire Clay coal have been reported to be associated with the mineral matter and exist as finely dispersed monazite, xenotime, zircon and crandallite group minerals with a lower degree of crystallinity [10,11,31,32]. This would necessitate the use of roasting and possibly the assistance of chemical additives to extract the REEs associated with coal deposits [22].
Figure 2.
REE distribution based on specific gravity for (a) Baker seam and (b) Fire Clay refuse samples.
3.2. Low-Temperature Plasma Treatment
A laboratory low-temperature oxygen plasma unit with the ability to control test conditions was used to optimize the operating parameters of the plasma treatment process (i.e., power, temperature, treatment time, etc.) to improve the REE leaching characteristics of the REEs associated with the organic matrix and the mineral matter. For the parametric tests, the samples were uniformly spread on a 15 cm-diameter watch glass and subjected to the ionized oxygen plasma. It was observed that the top layer of the sample was preferentially oxidized, while the under layers remained unchanged, which may have been due to limited exposure to the plasma. Miller et al. reported that the gas phase in the LTP equipment is stagnant and thus samples need to be withdrawn from the chamber periodically and stirred to expose fresh surfaces [33,34]. Similarly, Gleit and Holland reported that the oxidation rate is a function of the exposed surface and decreases as the surface becomes covered with a mineral residue [35]. When the under layers of the sample were exposed to the LTP treatment by periodic mixing, oxidization was more efficient, thereby improving organic matter removal. Based on the findings of the parametric test, treatment time was found to be the most significant parameter for improvement in the leachability of REEs in both low and high ash density fractions. Therefore, a systematic test program was designed to keep RF Power at 450 Watts, the oxygen flow rate at 40 ccs/min and temperature at 80 °C, and treatment from 4 to 32 h. The wide range of treatment time provided vital information on the minimum time required to cause a significant change in REE leachability.
Proximate analysis (moisture, carbon and ash contents) was performed on the time-based LTP-treated products of all the density fractions of Baker seam and Fire Clay (Figure 3). As shown in Figure 3a, the carbon contents of the lower density fractions (1.60 SG float and 1.60 × 1.80 SG) were decreased by plasma treatment, which corresponded to an elevation in the ash contents. Similarly, a significant increase in the ash content was seen for the 1.60 SG float fraction of the Fire Clay source (Figure 3b). However, for the high-density fractions (1.80 × 2.20 SG. and 2.20 SG. sink), the carbon and ash contents changed by a very small amount even after 32 h of LTP treatment. The degree of plasma treatment seems to be directly related to the amount of carbon matter present in the sample. XRD analysis of the LTP-treated Baker seam and Fire Clay samples (Figure 4) did not show a change in mineral composition as compared to the feed material (Figure 1). The peak intensities of individual minerals were increased due to the partial removal of carbon matter from lower density fractions. This finding confirmed that the treatment preserved the crystal structure of the associated mineral matter existing in each density fraction of both coal seam sources.

Figure 3.
Moisture, carbon, and ash contents of the (a) Baker seam and (b) Fire Clay density fractions after 32 h of LTP treatment. (PT = Plasma Treated).
Figure 4.
XRD patterns of the LTP-treated, density-fractionated samples of (a) Baker seam and (b) Fire Clay refuse sample. (•—Kaolinite; ▲—Quartz; ◇—Pyrite, and ⎔—Illite).
The four density fractions of the Baker seam and Fire Clay refuse samples were treated by LTP for different time durations, and leaching tests were performed on the products using deionized water, 0.1 mol/L of ammonium sulfate solution, and 1.2 mol/L of sulfuric acid. Water leaching is normally utilized for solid samples with high solubility. The LTP technique aims to utilize oxygen plasma to oxidize the carbon and access any water-soluble REEs. For leaching tests with DI water, no pH modifiers were used. The total REE recovery from all the density fractions of the Baker seam material with deionized water was found to be less than 10%, despite 32 h of LTP treatment. However, the HREE recoveries for the 1.60 SG float and 1.60 × 1.80 SG fractions increased by 15% and 9%, respectively. The nominal increase in the leachability of HREEs using water only after plasma oxidization suggested that the HREEs associated with the clean coal matrix were converted to a water-soluble form. The natural pH range of the leach solution in the presence of Baker seam material was 3.5–4.0. The natural acidity of the feed material by pyrite dissolution also assisted in the benefits of REE leachability and preventing precipitation which naturally occurs in a sulfate solution between the pH values of 5 and 6. Alternatively, for all the density fractions of the Fire Clay seam, the total REE recovery by water leaching was found to be less than 1% and no significant effect of plasma treatment using neutral water as the lixiviant was observed. Thus, it was concluded that the poor leaching characteristics corresponded to the absence of water-soluble REE minerals in the LTP-treated products of the Fire Clay source, which likely indicated the absence of REEs with organic affinity.
Salt leaching tests with 0.1 mol/L of ammonium sulfate were also performed on the LTP-treated density fractions. No pH adjustments were made, and the pH of the solution drifted naturally. Solution pH values of 3.5 and 6.0 were recorded for the Baker seam and Fire Clay materials, respectively, after completion of the salt leaching tests. The pH for the Baker seam was acidic due to the significant presence of pyrites in the feed. As shown in Figure 5, the REE recovery from the 1.60 SG float and 1.60 × 1.80 SG density fractions of the Baker seam increased by extending the treatment period from 4 to 32 h (Figure 5a,b). For example, the total REE recovery of the 1.60 SG float fraction approximately increased by 11% points when the samples were treated for 32 h (Figure 5a). An interesting discovery was that plasma treatment significantly impacted the recovery values of the HREEs relative to the LREEs. This finding suggests that HREEs have a higher affinity to the organic matter in coal relative to LREEs. However, it is difficult to prove whether the HREEs occurred as elemental forms or were finely dispersed in ash material. The results indicated that significant HREE recovery was achieved even when the carbon was only partially removed by plasma treatment. Therefore, salt leaching can be used to selectively extract critical HREEs from LTP-treated low ash coals under mild leaching conditions.
Figure 5.
REE recovery from the LTP-treated Baker seam (a) 1.60 SG float, (b) 1.60 × 1.80 SG, (c) 1.80 × 2.20 SG, and (d) 2.20 SG sink samples using 0.1 mol/L of ammonium sulfate at 75 °C for 5 h.
In contrast, the effect of LTP on the heavier density fraction of the Baker seam material was not as pronounced as that for the lower density fractions and salt leaching was found to be less efficient (Figure 5c,d). Salt leaching tests were also performed on the LTP-treated Fire Clay density fractions. The effect of LTP treatment on both the light and heavy density fractions of the Fire Clay plasma-treated material was insignificant as no improvement in REE recovery values was seen despite 32 h of treatment. These findings could be indicative of a different mode of occurrence and association of REEs in Fire Clay as compared to the Baker seam. Furthermore, the trace amounts of alkaline minerals present in the Fire Clay material have a neutralizing potential, which could cause precipitation of the dissolved REEs and result in lower REE recoveries.
When 1.2 mol/L of sulfuric acid was used, the total REE recovery of the Baker seam 1.60 SG float fraction increased from 16% to 30% after 32 h of LTP treatment (Figure 6a). The ash contents of the plasma-treated products also increased from about 21% to 35%, indicating enhanced oxidization of the organic matter. Similar improvements in REE leachability were also observed for the 1.60 × 1.80 SG fraction, which contained a medium level of ash-bearing material (Figure 6b). This may be a result of REEs released from the carbonaceous components being removed during plasma treatment and the creation of access to REE-enriched, dispersed mineral matter such as clays that are dissolved by the strong acid solution. The recoveries of both LREEs and HREEs were not affected despite prolonged LTP treatment for the 1.80 × 2.20 SG, and 2.20 SG sink fractions (Figure 6c,d). As such, the organic matter content played a critical role in the increase in REE recovery from coal by LTP oxidation. With an increase in treatment time, the HREE recovery was preferentially increased relative to LREEs for the samples with less than 1.80 SG (Figure 6a,b). This indicated that low-temperature treatment is more beneficial to HREEs, thus suggesting an association of HREEs with clean coal fraction of the seam. This association could be the result of the chelation of positively charged HREE ions onto the negatively charged surfaces of micro-dispersed clays, dating back to the origin of coal and movement of the organic humic acids [36].
Figure 6.
REE recovery from the LTP-treated Baker (a) 1.60 SG float, (b) 1.60 × 1.80 SG, (c) 1.80 × 2.20 SG, and (d) 2.20 SG sink samples using 1.2 mol/L of sulfuric acid at 75 °C for 5 h.
Acid leaching tests with 1.2 mol/L of sulfuric acid at 75 °C were also conducted on the LTP-treated density fractions of the Fire Clay seam. As previously reported in Figure 3b, the ash contents of the plasma-treated products of Fire Clay were marginally increased, indicating limited oxidization of the organic matter. For the 2.20 SG sink fraction, the recovery of both LREEs and HREEs was not affected even after a prolonged treatment time (Figure 7d). For the 1.60 SG float fraction, which contained a relatively higher amount of clean coal, total REE recovery increased by 11% points after low-temperature treatment for 32 h (Figure 7a). However, due to the marginal effect, it can be deduced that more than 32 h of treatment for the low-density fraction is required to obtain a significant impact on REE recovery values. Additionally, the effect on the 1.60 × 1.80 SG and the 1.80 × 2.20 SG density fractions was minimal (Figure 7b,c). Overall, no selectivity was observed for HREEs in the LTP-treated Fire Clay material as it was observed for the Baker material. Findings from the Baker seam indicated that low-temperature treatment is more beneficial to HREEs as they have a higher affinity to the organic matter in coal relative to LREEs. However, such a relationship of HREEs with clean coal was not observed for the Fire Clay source.
Figure 7.
REE recovery from the LTP-treated Fire Clay (a) 1.60 SG float, (b) 1.60 × 1.80 SG, (c) 1.80 × 2.20 SG, and (d) 2.20 SG sink samples using 1.2 mol/L of sulfuric acid at 75 °C for 5 h.
The surface area and pore volume analysis of the feed, plasma-treated ash, and calcinated products of the 1.60 SG float and 2.20 SG sink fractions of the Baker refuse sample are provided in Table 3. The LTP ashing showed a 600% increase in the surface area of the 1.60 SG float density fraction after most of the organic material was removed. The total area and volume of the pores in the plasma-treated ash also increased significantly. This allowed for the lixiviants to penetrate deeper into the solid matrix and dissolve the REEs that would otherwise have remained inaccessible. The 2.20 SG sink fraction, however, showed an insignificant change in the surface area and pore volume. This density fraction was made up primarily of ash which remained unaffected by LTP treatment.
Table 3.
Results of the pore volume and surface area analysis for the feed and plasma-treated ash of 1.60 SG float and 2.20 SG sink material of Baker refuse treated for 32 h.
An SEM-EDX study of the plasma-treated density fractions of the coal sources was conducted to evaluate the modifications of surface properties by LTP treatment. Any changes in the texture and particle size could be used to assess the effect of LTP pretreatment for the liberation of REEs that are bound in microscopic size ranges in the coal matrix. As shown in Figure 8, particles with high porosity were observed in the plasma-treated 1.60 SG float density fraction of the Baker seam material. Such particles with improved surface area and porosity were absent in the untreated fraction [30]. The surface texture of particles, as seen in Figure 8, shows the effect of plasma treatment on the feed material that increases the surface area and pore volume and allows for an enhanced REE recovery. The particles had a honeycomb structure and evident signs of increased porosity at microscopic levels. When the carbon was partially removed, the pore structure of the coal samples expanded which increased the porosity and the lixiviants could dissolve the REEs locked inside the particle. This increase in porosity, surface area, and pore volume was also corroborated by BET and pore volume analysis, as reported in Table 3. LTP primarily oxidizes the organic material contained in the samples. There is a strong positive correlation between organic content in the feed and the weight loss by oxidation in LTP treatment. Therefore, improvements in porosity and surface area were not observed for the 2.20 SG sink material.
Figure 8.
SEM micrographs depicting particles with increased porosity and surface area for the LTP-treated (a) 1.60 SG float and (b) 1.60 × 1.80 SG density fractions of the Baker seam material.
3.3. High-Temperature Calcination Tests
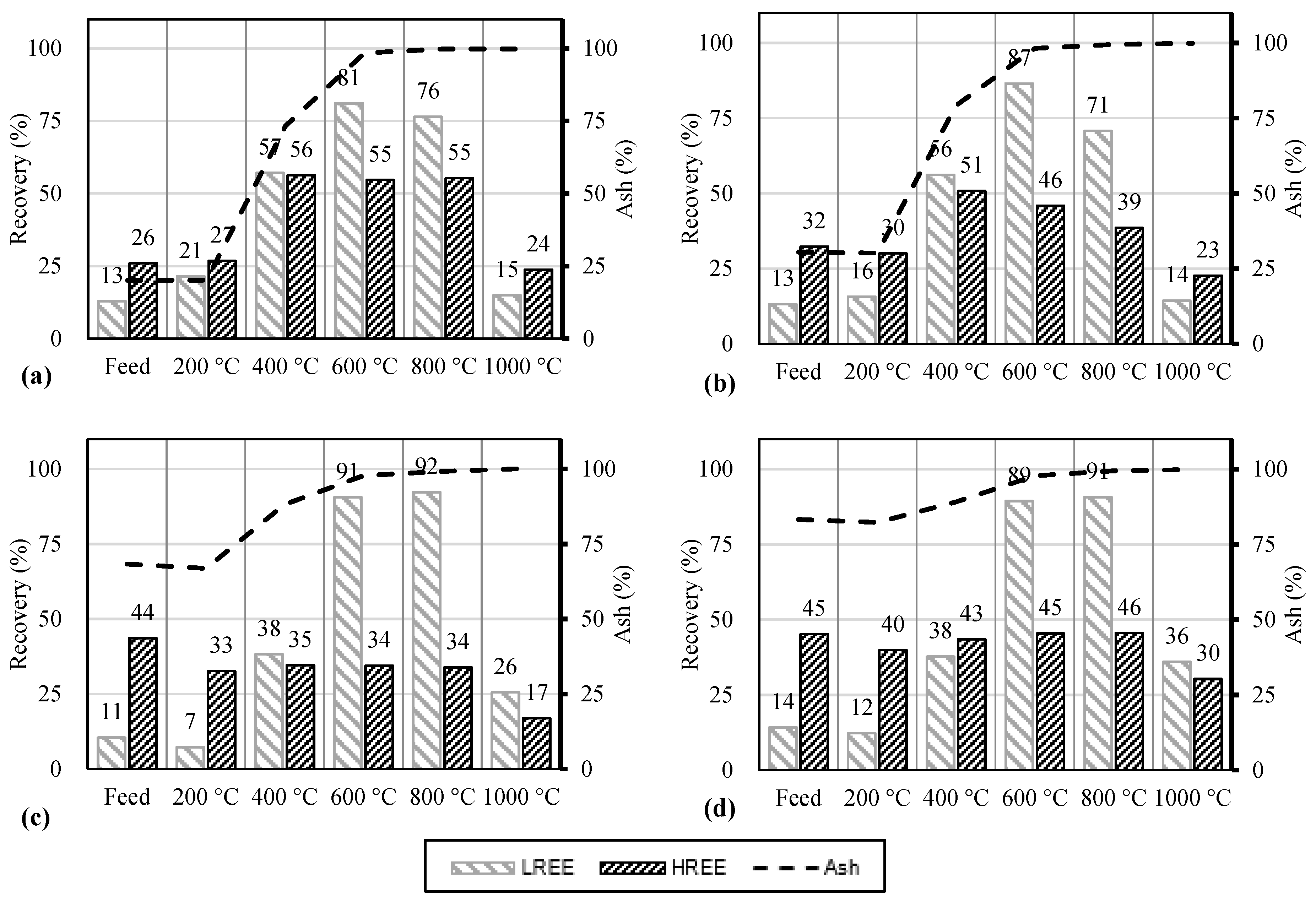
High-temperature calcination for the Baker seam material was found to have a significant impact on the REE leaching characteristics (Figure 9). Exceptionally high total REE recoveries were found for samples calcinated at 600 °C and 800 °C. The improvement in leaching for the calcined samples peaked at 600 °C but dropped substantially for higher temperature values for material lighter than 1.80 SG (Figure 9a,b). This increased recovery can be attributed to the dehydroxylation of clays as well as the liberation and conversion of hard-to-leach rare earth minerals to more soluble oxide forms after calcination, which increases their leachability. For samples heavier than 1.80 SG, comparable leaching performance was achieved at 600 °C and 800 °C. (Figure 9c,d). The low leaching recoveries at 1000 °C were likely due to the sintering of the clays (e.g., kaolinite and illite) and formation of a glassy matrix due to the high temperature, which isolated the entrapped REEs, thus making them difficult to leach.
Figure 9.
REE recovery from the calcination of the Baker seam (a) 1.60 SG float, (b) 1.60 × 1.80 SG, (c) 1.80 × 2.20 SG, and (d) 2.20 SG sink samples using 1.2 mol/L of sulfuric acid at 75 °C for 5 h.
The HREE recovery trend for the 1.6 SG float density fraction revealed that HREEs are liberated by the effect of high-temperature calcination. About 55% of the total HREEs dissolve into the leachate solution. However, the data suggests that HREEs in the heavier density fractions have a very different mode of occurrence where high-temperature calcination provided no significant effect on their recovery. This finding implies that a significant portion of the HREEs exists in an insoluble form, bound with the inert ash material, which is very hard to leach. In order to realize high HREE recoveries, thermal treatment in the presence of chemicals is essential [22]. LREEs show consistency in the mode of occurrence across all density fractions and show very high recovery with values as high as 85%. High HREE recoveries found in the lower density fractions correspond to their association with the clean coal and middling fractions of the Baker seam material. Similar findings have been previously reported for the LTP studies (Figure 6a,b). Total REE recoveries greater than 75% were observed after pretreatment using a temperature of 600 °C. It was also observed that even partial carbon removal at 400 °C released the HREEs bound with the organic matter and resulted in higher REE recoveries.
Calcination also had a significant impact on the REE leaching characteristics for the density fractions of the Fire Clay material (Figure 10). Calcination of the Fire Clay 2.20 SG sink sample, which comprises primarily of the ash material, increased the recovery values for total REEs by more than 20 absolute points at 600 °C. The positive association of REE recovery and temperature maximizes the recovery at 600 °C and flips to an inverse relationship post-600 °C. Based on the results, it can be concluded that the Fire Clay density fractions have higher amounts of insoluble REEs trapped in the solid matrix [32]. The recovery of REEs increases with temperature but the effect of calcination is more pronounced for the lower density fractions with specific gravities less than 1.80. Additionally, the majority of HREEs in the Fire Clay material is hard to leach with lower recoveries despite calcination.
Figure 10.
REE recovery from the calcination of Fire Clay (a) 1.60 SG float, (b) 1.60 × 1.80 SG, (c) 1.80 × 2.20 SG, and (d) 2.20 SG sink samples using 1.2 mol/L of sulfuric acid at 75 °C for 5 h.
4. Conclusions
The discussed work evaluated the effect of plasma oxidation and high-temperature roasting on the various density fractions of representative coarse coal refuse samples obtained from active coal preparation plants treating Baker and Fire Clay seam coal sources. Low-temperature plasma (LTP) oxidation treatment provided a significant positive impact on the leachability of REEs associated with the Baker coal material using water and benign ammonium sulfate solution. The recovery improvements correlated to an ash content increase from LTP oxidation, which implied an elemental association with the organic matter and/or micro-dispersed mineral matter. This is supported by the higher REE recovery values achieved on materials that realized the greatest ash content difference from the LTP treatment. Scanning electron microscope micrographs and BET analyses showed that the plasma oxidation treatment created a porous structure that had a higher pore volume. The creation of a high surface area allowed for improved access for the lixiviants to react and extract the REEs bound in the organic structure and the micro-dispersed mineral matter. As such, LTP oxidation had no impact on REE recovery from the 2.20 SG sink fraction. LTP treatment was found to not affect the leachability of REEs contained in all of the density fractions of a Fire Clay refuse sample when using untreated water and 0.1 mol/L of ammonium sulfate as lixiviants. This finding provides indirect evidence that there is little-to-no organic affinity of the REEs in the Fire Clay coal source. The improvement obtained when using a sulfuric acid solution was likely due to improved access to REE-enriched mineral matter and rare earth mineral grains that can be dissolved under low pH conditions.
High-temperature oxidation of the feed to the leaching process was found to significantly enhance the leachability characteristics of both the light and heavy REEs comprised in the SG fractions of the Baker and Fire Clay refuse materials when performed under optimum temperatures. The enhancement in recovery was especially significant for the LREEs contained in all density fractions, whereas improvement in HREE extraction was primarily achieved for the 1.60 SG float fraction. The mechanisms that provided an improvement in leachability caused by high-temperature oxidation include: (i) the release of the REEs (especially HREEs) from the organic matrix through the combustion of the organic material; (ii) liberation of finely dispersed mineral matter through clay dihydroxylation, which allows for access to the acid leach solution; (iii) decomposition of the rare earth-bearing minerals.
Author Contributions
T.G.: Conceptualization, methodology, formal analysis, investigation, writing—original draft, writing—review and editing. A.N.: conceptualization, methodology, data curation, formal analysis, writing—review and editing. R.H.: conceptualization, writing—review and editing, supervision, project administration, funding acquisition. All authors have read and agreed to the published version of the manuscript.
Funding
This material is based upon work supported by the Department of Energy Award Number DE-FE0031525.
Data Availability Statement
The data presented in this study are available on request from the corresponding author.
Conflicts of Interest
The authors declare no conflict of interest.
Disclaimer
This report was prepared as an account of work sponsored by an agency of the United States Government. Neither the United States Government nor any agency thereof, nor any of their employees, makes any warranty, expressed or implied, or assumes any legal liability or responsibility for the accuracy, completeness, or usefulness of any information, apparatus, product, or process disclosed, or represents that its use would not infringe privately owned rights. Reference herein to any specific commercial product, process, or service by trade name, trademark, manufacturer, or otherwise does not necessarily constitute or imply its endorsement, recommendation, or favoring by the United States Government or any agency thereof. The views and opinions of authors expressed herein do not necessarily state or reflect those of the United States Government or any agency thereof.
References
- Krishnamurthy, N.; Gupta, C.K. Extractive Metallurgy of Rare Earths; CRC Press: Boca Raton, FL, USA, 2004. [Google Scholar]
- Ober, J.A. Mineral Commodity Summaries 2016; US Geological Survey: Reston, VA, USA, 2016. [Google Scholar]
- Dai, S.; Li, D.; Chou, C.-L.; Zhao, L.; Zhang, Y.; Ren, D.; Ma, Y.; Sun, Y. Mineralogy and geochemistry of boehmite-rich coals: New insights from the Haerwusu Surface Mine, Jungar Coalfield, Inner Mongolia, China. Int. J. Coal Geol. 2008, 74, 185–202. [Google Scholar] [CrossRef]
- Moldoveanu, G.A.; Papangelakis, V.G. Recovery of rare earth elements adsorbed on clay minerals: I. Desorption mechanism. Hydrometallurgy 2012, 117, 71–78. [Google Scholar] [CrossRef]
- Gupta, T.; Ghosh, T.; Akdogan, G.; Srivastava, V.K. Characterizing rare earth elements in Alaskan coal and ash. Miner. Metall. Process. 2017, 34, 138–145. [Google Scholar] [CrossRef]
- Gschneidner, K.A. Rare Earths: The Fraternal Fifteen; US Atomic Energy Commission, Division of Technical Information: Oak Ridge, TN, USA, 1967. [Google Scholar]
- Zhang, W.; Rezaee, M.; Bhagavatula, A.; Li, Y.; Groppo, J.; Honaker, R. A review of the occurrence and promising recovery methods of rare earth elements from coal and coal by-products. Int. J. Coal Prep. Util. 2015, 35, 295–330. [Google Scholar] [CrossRef]
- Seredin, V.V.; Dai, S. Coal deposits as potential alternative sources for lanthanides and yttrium. Int. J. Coal Geol. 2012, 94, 67–93. [Google Scholar] [CrossRef]
- Hower, J.C.; Berti, D.; Hochella Jr, M.F.; Mardon, S.M. Rare earth minerals in a “no tonstein” section of the Dean (Fire Clay) coal, Knox County, Kentucky. Int. J. Coal Geol. 2018, 193, 73–86. [Google Scholar] [CrossRef]
- Hower, J.C.; Ruppert, L.F.; Eble, C.F. Lanthanide, yttrium, and zirconium anomalies in the Fire Clay coal bed, Eastern Kentucky. Int. J. Coal Geol. 1999, 39, 141–153. [Google Scholar] [CrossRef]
- Ji, B.; Li, Q.; Zhang, W. Rare earth elements (REEs) recovery from coal waste of the Western Kentucky No. 13 and Fire Clay Seams. Part I: Mineralogical characterization using SEM-EDS and TEM-EDS. Fuel 2022, 307, 121854. [Google Scholar] [CrossRef]
- Gupta, T.; Ghosh, T.; Akdogan, G.; Bandopadhyay, S. Maximizing REE Enrichment by Froth Flotation of Alaskan Coal Using Box-Behnken Design. Min. Metall. Explor. 2019, 36, 571–578. [Google Scholar] [CrossRef]
- Zhang, W.; Honaker, R.; Groppo, J. Concentration of rare earth minerals from coal by froth flotation. Miner. Metall. Process. 2017, 34, 132–137. [Google Scholar] [CrossRef]
- Honaker, R.; Yang, X.; Chandra, A.; Zhang, W.; Werner, J. Hydrometallurgical Extraction of Rare Earth Elements from Coal. In Extraction 2018; The Minerals, Metals & Materials Series; Springer: Cham, Switzerland, 2018; Chapter 193; pp. 2309–2322. [Google Scholar] [CrossRef]
- Peelman, S.; Kooijman, D.; Sietsma, J.; Yang, Y. Hydrometallurgical Recovery of Rare Earth Elements from Mine Tailings and WEEE. J. Sustain. Metall. 2018, 4, 367–377. [Google Scholar] [CrossRef]
- Yang, X.; Werner, J.; Honaker, R. Leaching of rare Earth elements from an Illinois basin coal source. J. Rare Earths 2019, 37, 312–321. [Google Scholar] [CrossRef]
- Wang, M.; Zeng, M.; Wang, L.; Zhou, J.; Cui, D.; Wang, Q.; Weng, R.; Chen, X. Catalytic leaching process of bastnaesite with hydrochloric acid after oxidation roasting pretreatment. J. Chin. Soc. Rare Earths 2013, 31, 148. [Google Scholar]
- Xue, B.; Yin, S.-H.; Yao, L.; Wu, W.-Y. Leaching kinetics of bastnaesite concentrate in HCl solution. Trans. Nonferrous Met. Soc. China 2011, 21, 2306–2310. [Google Scholar]
- Gupta, T. Recovery of Rare Earth Elements from Alaskan Coal and Coal Combustion Products; University of Alaska Fairbanks: Fairbanks, AK, USA, 2016. [Google Scholar]
- Xu, Y.; Liu, H.; Meng, Z.; Cui, Z.; Zhao, W.; Li, L. Decomposition of bastnasite and monazite mixed rare earth minerals calcined by alkali liquid. J. Rare Earths 2012, 30, 155–158. [Google Scholar]
- Beltrami, D.; Deblonde, G.J.-P.; Bélair, S.; Weigel, V. Recovery of yttrium and lanthanides from sulfate solutions with high concentration of iron and low rare earth content. Hydrometallurgy 2015, 157, 356–362. [Google Scholar] [CrossRef]
- Nawab, A.; Yang, X.; Honaker, R. An acid baking approach to enhance heavy rare earth recovery from bituminous coal-based sources. Miner. Eng. 2022, 184, 107610. [Google Scholar] [CrossRef]
- Zhang, W.; Noble, A.; Yang, X.; Honaker, R. A comprehensive review of rare earth elements recovery from coal-related materials. Minerals 2020, 10, 451. [Google Scholar] [CrossRef]
- Adolphi, P.; Stör, M. Glow discharge excited low temperature ashing: A new technique for separating mineral matter of coals. Fuel 1985, 64, 151–155. [Google Scholar] [CrossRef]
- Kuhn, J.K.; Fiene, F.; Harvey, R.D. Geochemical Evaluation and Characterization of a Pittsburgh No. 8 and a Rosebud Seam Coal; Department of Energy, [Office of the Assistant Secretary for Intergovernmental and Institutional Relations]: Morgantown, WV, USA, 1978. [Google Scholar]
- Bond, J.; Giroux, L. Low temperature plasma ashing of coal for quantitative mineral analysis. In Proceedings of the 2013 World of Coal Ash (WOCA) Conference, Lexington, KY, USA, 22–25 April 2013. [Google Scholar]
- Goldston, R.J.; Rutherford, P.H. Introduction to Plasma Physics; CRC Press: Boca Raton, FL, USA, 1995. [Google Scholar]
- Gomez, E.; Rani, D.A.; Cheeseman, C.; Deegan, D.; Wise, M.; Boccaccini, A. Thermal plasma technology for the treatment of wastes: A critical review. J. Hazard. Mater. 2009, 161, 614–626. [Google Scholar] [CrossRef]
- Luttrell, G.H.; Kiser, M.J.; Yoon, R.-H.; Noble, A.; Rezaee, M.; Bhagavatula, A.; Honaker, R.Q. A Field Survey of Rare Earth Element Concentrations in Process Streams Produced by Coal Preparation Plants in the Eastern USA. Min. Metall. Explor. 2019, 36, 889–902. [Google Scholar] [CrossRef]
- Zhang, W.; Honaker, R. Characterization and recovery of rare earth elements and other critical metals (Co, Cr, Li, Mn, Sr, and V) from the calcination products of a coal refuse sample. Fuel 2020, 267, 117236. [Google Scholar] [CrossRef]
- Zhang, W.; Yang, X.; Honaker, R.Q. Association characteristic study and preliminary recovery investigation of rare earth elements from Fire Clay seam coal middlings. Fuel 2018, 215, 551–560. [Google Scholar] [CrossRef]
- Ji, B.; Li, Q.; Tang, H.; Zhang, W. Rare earth elements (REEs) recovery from coal waste of the Western Kentucky No. 13 and Fire Clay seams. Part II: Re-investigation on the effect of calcination. Fuel 2022, 315, 123145. [Google Scholar] [CrossRef]
- Miller, R.N.; Yarzab, R.F.; Given, P.H. Determination of the mineral-matter contents of coals by low-temperature ashing. Fuel 1979, 58, 4–10. [Google Scholar] [CrossRef]
- Application for Plasma Etching and Ashing. Electron Microscopy Sciences. Available online: https://www.emsdiasum.com/microscopy/technical/datasheet/plasma_apps.aspx (accessed on 26 January 2021).
- Gleit, C.E.; Holland, W.D. Use of Electrically Excited Oxygen for the Low Temperature Decomposition of Organic Substances. Anal. Chem. 1962, 34, 1454–1457. [Google Scholar] [CrossRef]
- Erdogan, S.; Baysal, A.; Akba, O.; Hamamci, C. Interaction of metals with humic acid isolated from oxidized coal. Pol. J. Environ. Stud. 2007, 16, 671–675. [Google Scholar]
Disclaimer/Publisher’s Note: The statements, opinions and data contained in all publications are solely those of the individual author(s) and contributor(s) and not of MDPI and/or the editor(s). MDPI and/or the editor(s) disclaim responsibility for any injury to people or property resulting from any ideas, methods, instructions or products referred to in the content. |
© 2023 by the authors. Licensee MDPI, Basel, Switzerland. This article is an open access article distributed under the terms and conditions of the Creative Commons Attribution (CC BY) license (https://creativecommons.org/licenses/by/4.0/).










