Abstract
In order to interpret spectral induced polarization (SIP) data measured in the field for the purpose of mineral exploration, laboratory investigations are necessary that establish relationships between electrical parameters and mineral properties. For massive ores, and in particular for seafloor massive sulfides (SMSs), samples may be difficult to obtain, and it is often not desired to cut cylindrical plugs out of the available hand pieces. We suggest a method to obtain the electrical spectra of hand pieces from measurements on the samples embedded in a non-polarizing medium, in our case quartz sand. As such, destroying potentially precious samples is not necessary. The frequency-dependent phase spectrum of the sample is calculated by dividing the bulk spectrum with a so-called dilution factor, which is obtained from numerical simulation and has a real and constant value. We evaluate the method with a set of SMS samples where conventional cylindrical plugs are available. We can estimate the phase shift maximum of 73% of the samples with a deviation less than 50% from the reference. The estimation quality slightly decreases if the dilution factor is approximated by the volumetric share of the sample. We consider the performance acceptable if the general difficulty to obtain reproducible and representative laboratory measurements for massive sulfides is taken into account.
1. Introduction
The induced polarization (IP) method has been used for ore exploration purposes for many decades (e.g., [1]). The method determines the spatial distribution of the complex, frequency-dependent electrical conductivity [2]. A review of the application of the IP method to general near-surface issues was provided by Kemna et al. [3]. More recently, Kessouri et al. [4] discussed advances in the application to biogeophysical problems, whereas Revil et al. [5] reviewed the application of IP to mineral exploration. A wealth of data and literature exists including field studies and laboratory investigations (e.g., [6]), usually with the aim of correlating IP parameters with mineral characteristics. In general, evidence is found for the chargeability or related parameters correlating with mineral content, whereas the grain size is related to a characteristic time scale, both with large scatter and uncertainties. However, Pelton et al. [7] attempted to discriminate between the different mineral types. They obtained encouraging results but concluded that the mineral texture controls the IP response rather than mineral type. Nelson and Voorhis [8] found a reasonable correlation between the sulfide content and imaginary conductivity for a set of samples from porphyry copper mines. Vanhala and Peltoniemi [9] stressed the dependence on texture and found pronounced differences between the net-textured and disseminated mineralization.
Most of the existing studies on the electrical properties of sulfides, including those discussed above, were carried out for continental deposits. However, the interest in seafloor deposits, and seafloor massive sulfides (SMSs) in particular, is growing, as these are considered a potential new source of base metals (Fe, Cu, Zn, Pb) (e.g., [10]). SMS deposits can be found in regions of submarine volcanic activity, e.g., mid-ocean ridges, where they are generated by the interaction between cold seawater with hot mineral-rich fluids associated with hydrothermal vents.
The electrical properties of SMS are not well known, as only a limited number of studies exists. Iturrino et al. [11] investigated 15 core samples from the Northern Juan de Fuca ridge, obtained within the Ocean drilling program. One of their findings was that the imaginary conductivity might be useful to discern the presence of sulfide minerals. They also discussed a specific measurement methodology they found necessary when the samples included interconnected metallic conductors. Bartetzko et al. [12] investigated core samples from the PACMANUS hydrothermal field, which were also obtained within the ocean drilling program. They found a strong frequency-dependence of electrical conductivity (corresponding to a high chargeability), which they attributed to the presence of disseminated pyrites. They also discussed the factors controlling the electrical conductivity, and mentioned surface conduction increased by hydrothermal alteration besides electrolytic conduction as an important mechanism. Spagnoli et al. [13] investigated a set of 40 samples originating from eight SMS deposits worldwide, and found that the electrical conductivity of the mineralized samples were strongly influenced by the minerals themselves, with the electrolyte playing a minor role. They also concluded that the imaginary conductivity might be more suitable to discriminate between sulfide-bearing rocks and others than the DC resistivity.
In contrast, the electrical properties of rocks with disseminated minerals seem to be much better known, as they can be studied using synthetic mixtures under controlled conditions (e.g., [5,14,15], and references therein). One reason for which the recent focus has been on disseminated minerals is possibly the lack of sample availability for (seafloor) massive sulfides. Seafloor sampling is expensive, and the samples are valuable and needed for different kinds of analyses. If a sample is available, it may be undesired or not allowed to destroy it and to cut out cylindrical plugs, which are required for the conventional laboratory measurements described as by Spagnoli et al. [13]. Moreover, the samples may have high porosity, and can be chemically and mechanically unstable, making it difficult to cut stable plugs out. As a result, even studies with relevance for seafloor SMSs use synthetic samples with disseminated conductors (e.g., [16]). In order to increase the database on undisturbed massive sulfide samples, it is desirable to be able to determine the frequency-dependent electrical properties of samples of irregular shape in the size of hand pieces.
Here, we suggest a method to estimate the electrical properties of a polarizable target (the mineralized sample) from the measured bulk properties of the target embedded in a medium. We evaluate the method using numerical simulation and experimental data. Although the theory and the procedure are valid for targets of arbitrary shape, we use cylindrical samples which were available from a previous study [13]. The use of cylindrical samples allows us to assess the method by comparing our estimates of the electrical properties with those directly obtained on the cylindrical targets using conventional cylindrical sample holders.
2. Theory
Guptasarma [17] developed relationships between the electrical spectrum of a polarizable target, a (polarizable) medium in which the target is embedded and the bulk spectrum of the target embedded in the medium, also called the apparent spectrum. He found that, under certain conditions, the apparent phase spectrum can be obtained from a multiplication of the target phase spectrum with a real, frequency-independent factor, called the dilution factor. Whereas he originally had the simplification of numerical simulation procedures in mind, we used their theory to obtain the spectra of a target from measurements on the embedded target. In this section, we explained how Guptasarma’s Guptasarma [17] approximations and resulting equations may be used for the case of experimental data through a suitable definition of the appropriate quantities.
The configuration considered here is illustrated in Figure 1.
Figure 1.
A target i with the electrical properties resistivity and phase shift is embedded in a medium o with the properties and .
A polarizable target of arbitrary shape denoted by index i (for “inner” material) is embedded in a medium denoted by index o (for “outer”). The complex electrical properties of the bulk medium are denoted by frequency-dependent resistivity and phase shift (index a for “apparent”). Guptasarma [17] has shown that the apparent spectra and may be estimated from those of the target ( and ) and the outer medium ( and ) through the following equations:
In their derivation, he uses different assumptions on the magnitude and frequency-dependence of the phase shifts. Equations (1) and (2) are the most general approximation referred to as Approximation III, where no assumption regarding the magnitude of the phase shift is being used. is the so-called dilution factor, which describes how sensitive the apparent resistivity spectrum is to changes in the apparent resistivity of the target, and is defined by
In the most general form, is complex and frequency-dependent. However, it is desirable to use a simpler form with a real, constant value of B which can be estimated from resistivity magnitudes only, and, as will be shown later, may be approximated by a ratio of volumes. Guptasarma [17] showed a spectra of minimum phase type dispersion, where the magnitude converges towards constant values in the limits of zero and infinite frequency, that the dilution factor also adapts constant values. Therefore, he suggests the use of the geometric mean of the values of B at the minimum and maximum frequency as a reasonable approximation.
Here, is the constant dilution factor calculated as described above.
In our experiments described below, we use quartz sand with a grain size 0.1–0.4 mm as the outer medium, and show that the phase shifts are sufficiently small for the conditions behind Equations (4) and (5) to be fulfilled.
For the practical application of Equations (4) and (5) to estimate the properties of the target and from the measured spectra and , an estimation of the dilution factor is required. A first approximation to B is given by the relative volume of the target:
We show in Appendix A that Equation (6) is a good approximation if the resistivity contrast between the inner and outer medium is small (). The idea is also consistent with a physical interpretation of the dilution factor: in the simplest case, the sensitivity of the bulk resistivity to changes in the target resistivity is given by the volumetric share of the target.
However, the conditions of unit resistivity contrast and cylindrical target shape will rarely be fulfilled in practice. Therefore, we use numerical simulation as a more expensive tool to obtain estimates of B using the known geometry and the electrical properties of the outer medium. Once B is known, we calculate the desired properties of the target from:
3. Materials and Methods
In order to evaluate the suggested methodology, we carry out the procedure on cylindrical targets, which can also be measured the conventional way in cylindrical sample holders with a fitting diameter. The conventional measurements are used as a reference for the results obtained from the embedded samples. We use the set of samples consisting of SMS with varying mineralogy and basalts from all over the world, described in detail in Table 1 in Spagnoli et al. [13]. The original set consists of 40 cylindrical samples with diameters of 2.5 cm and lengths between 1.7 cm and 4.8 cm, cut out of hand pieces. Here, we use the same nomenclature as in Spagnoli et al. [13], but we consider only samples with numbers 11–40, since the low-number samples were mainly basalts with low polarizability which are of little relevance for the present study. Whereas in Spagnoli et al. [13] the samples were saturated with highly conductive (5 S/m) solution to approximate seafloor conditions, here we remeasured the samples with more resistive fluid (0.1 S/m).
The complex electrical impedance is measured with the VMP-3 instrument by Princeton Applied Research over a frequency range of 10–10 Hz
3.1. Measurement of Cylindrical Samples
The cylindrical samples are saturated in a desiccator with NaCl solution with an electrical conductivity of 0.1 S/m. After one day, the solution was exchanged with fresh NaCl solution, again with 0.1 S/m, in order to remove solvents of the mineral surface from the pore fluid. After three days, which are required to achieve equilibrium between the mineral and the pore fluid, the sample is installed in the sample holder.
The sample holder is sketched in Figure 2, and is based on the concept by Kruschwitz [18].
Figure 2.
(a) Sample holder used to measure cylindrical samples. The stainless steel current electrode plates are marked with C, the nickel silver ring electrodes are denoted by P. The space between electrodes is filled with NaCL solution in blue. Sample holders with two spacings (1 cm and 3 cm) of potential electrodes were used to accommodate samples with different lengths. (b) The sample holder for embedded samples. The current and potential electrodes are the same as in (a). The sample is embedded in quartz sand and the overall size is larger than in (a) to accommodate different sample sizes.
It has the same structure as that previously used by Spagnoli et al. [13] and Hördt and Milde [19], and was adapted to the particular size of the SMS samples. The current electrodes at the ends of the construction consist of stainless steel, and the potential difference was measured with ring electrodes made of nickel silver. The space between the electrodes and the sample was filled with the NaCl solution. In order to prevent electrical current from flowing at the wall of the cylindrical holder, the samples are wrapped with PTFE tape. The measurements are carried out in a climate chamber at 20 °C, where the sample is stored for one day before the start to ensure a constant temperature.
From the measured impedance, the complex resistivity is obtained through
where k is the geometry factor experimentally determined using the NaCl solution with known conductivity.
3.2. Measurement of Embedded Samples
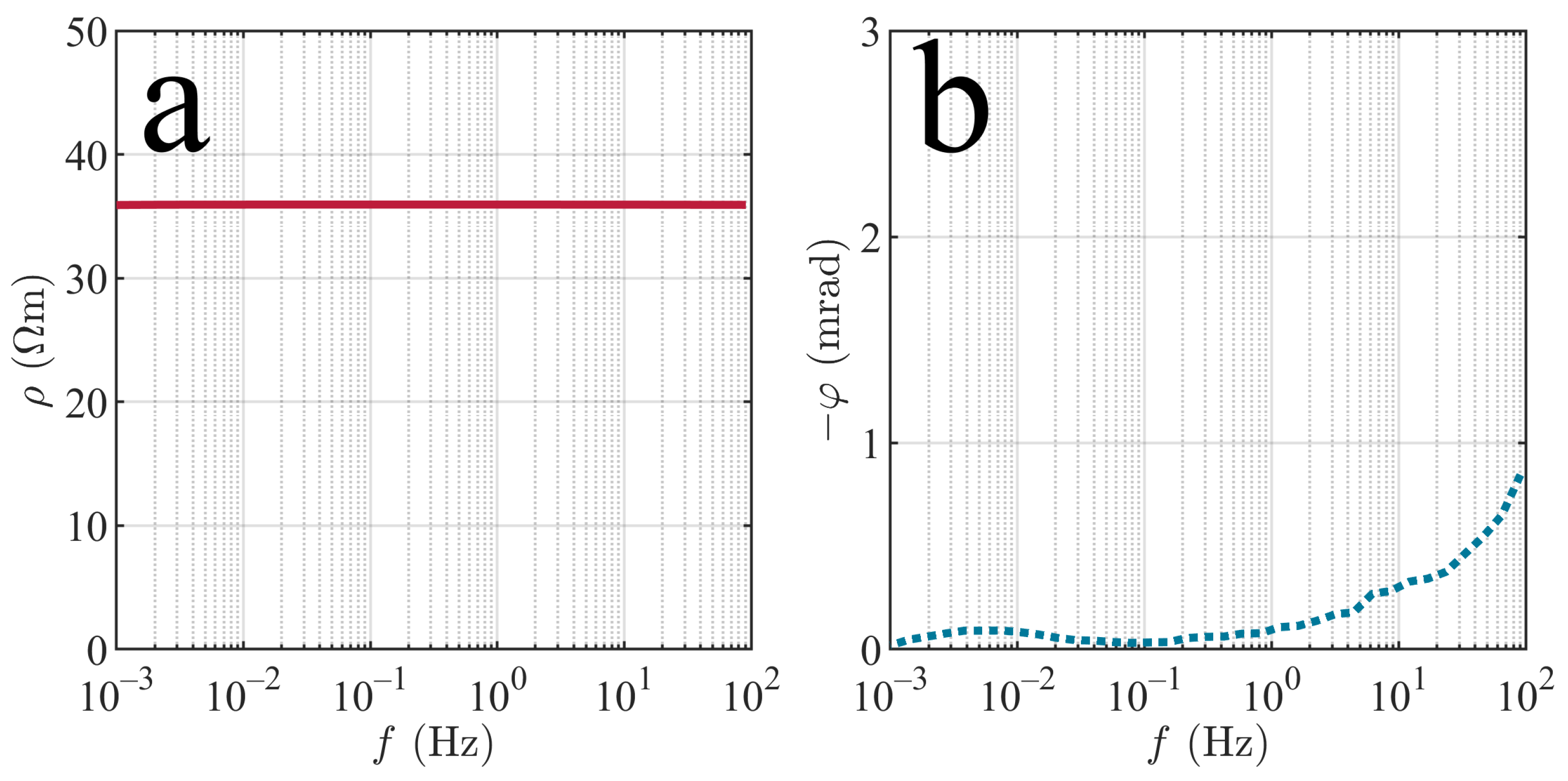
The measurements on embedded samples are treated in the same way as measurements with unconsolidated sediments. Therefore, we follow the recommendations for sample treatment given in Bairlein et al. [20]. Fluid and sand are sequentially filled into the sample holders in several layers and compacted by small vibrations. The SMS sample, which was previously saturated with NaCl solution in the same way as described above for the “direct” measurements, is placed into the sand as soon as the middle of the sample holder is reached. The NaCl solution to fill the sand has the same electrical conductivity as that used to fill the SMS samples. The quartz sand was selected as the embedding medium to facilitate the installation process, and to fulfill the theoretical requirement that the embedding medium should be non-polarizable. In order to verify this assumption, measurements were carried out on pure quartz sand without the SMS sample and otherwise identical conditions (i.e., the temperature and conductivity of the NaCl solution). The result is shown in Figure 3. The resistivity of the quartz sand is constant at 36 Ωm, and the phase shift is below 1 mrad up to a frequency of 100 Hz. Since the phase shifts of the SMS samples are orders of magnitude larger, we can safely consider the quartz sand as non-polarizable in this context and therefore as a suitable embedding medium.
Figure 3.
Resistivity (a) and phase shift (b) vs. frequency of quartz sand saturated with an NaCl solution of 0.1 S/m conductivity, in the sample holder sketched in Figure 2b.
3.3. Simulation
In order to estimate the dilution factor, we use a numerical simulation with the commercial finite element tool COMSOL Multiphysics ©, including the AC/DC Toolbox. A separate simulation run is required for each geometry, which may vary for each sample since the lengths vary between 1.7 cm and 4.8 cm. Otherwise, we model the geometry as sketched in Figure 2b. In order to reduce the run time, we make use of the rotational symmetry, i.e., the disc-shaped current electrodes become lines and the ring-shaped potential electrodes become points. A fixed potential is applied to the current electrodes, leading to a current of I, which is determined though a line integral over the current density, which can be performed at any section of the cylinder. From the current and the potential difference between the two electrodes P, the resistance is calculated using Ohm’s law, and the complex frequency-dependent resistivity is finally calculated through
where r is the radius of the cell and l is the distance between potential electrodes.
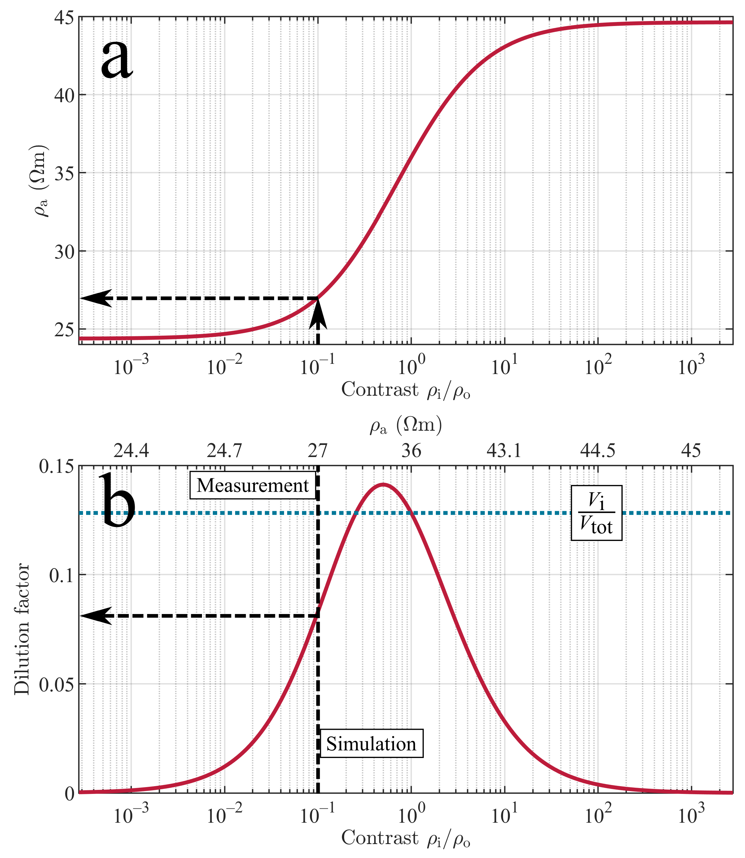
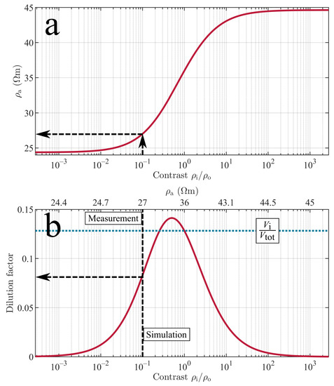
In order to determine the dilution factor for a given measurement, we first estimate the DC resistivity of the embedded sample from the measured bulk resistivity . For this purpose, we simulate a parameter sweep for using a wide range from 10−2 to 105 Ωm with 100 points per decade. The resistivity of the embedding medium is fixed to the experimentally determined value of 36 Ωm. The sweep results in a simulated bulk resistivity , which uniquely corresponds to a given , or resistivity contrast (Figure 4a). From the measured , we can therefore determine the of each sample, as indicated by the dashed line in Figure 4a. In principle, the estimation could also be performed using an inversion scheme, however, the parameter sweep is not computationally expensive and therefore we prefer the simpler procedure.
Figure 4.
(a) Bulk resistivity vs. resistivity contrast between the sample and outer medium obtained by numerical simulation. The simulation was carried out for one specific sample geometry with r = 1.3 cm and l = 3.876 cm. The resistivity of the outer medium was fixed to 36 Ωm, as obtained from an experiment with the saturated sand. The dashed arrows illustrate the estimation of from a measured . (b) Dilution factor vs. resistivity contrast obtained from numerical simulation. The top horizontal axis is the bulk resistivity obtained for each resistivity contrast. The dashed arrows illustrate the correspondence between the measured (in this case 27 Ωm) and the dilution factor.
The estimation is realized by two simulation runs, one of which is carried out for , and the second one for + , where = .
The procedure explained above is carried out twice: first for the lowest frequency ( Hz) and second for the highest frequency ( Hz). As explained in the theoretical section, the final dilution factor is then calculated from the geometric mean of the low and high frequency values, following the recommendation of Guptasarma [17].
The accuracy at which the dilution factor can be estimated from this procedure depends on the contrast between the resistivity of the sample and the embedding medium. In Figure 4b, the dilution factor is displayed vs. for one particular sample size. The horizontal axis at the top is the bulk resistivity obtained from numerical simulation, and for a contrast , corresponds to the resistivity of the outer medium (36 Ωm). For a measured resistivity , the dilution factor can uniquely be determined, as illustrated with the black dashed lines. However, for very large and very small resistivity contrasts, the bulk resistivity only weakly depends on . As a result, the dilution factor becomes small, and any noise in the measured would result in large errors in the estimation of B. We will return to this issue in the discussion of real data.
Furthermore, the estimate of the dilution factor, displayed in Figure 4b, was obtained from the relative volume of the sample, as explained in the theoretical section. For a contrast , is identical to the “true” dilution factor, and for moderate deviations from the ideal resistivity contrast, the volume estimate is close to the true value. We will compare the results obtained from the two different estimates of the dilution factor with measured data further below.
The dilution factor is then applied to the measured spectra to obtain the and of the sample using Equations (7) and (8). Whereas the application to the phase shift is simply a division by the constant dilution factor, the calculation of the resistivity magnitude requires an iterative calculation:
where the starting value is taken from the previously carried out numerical simulation.
4. Results
4.1. Guptasarma Consistency
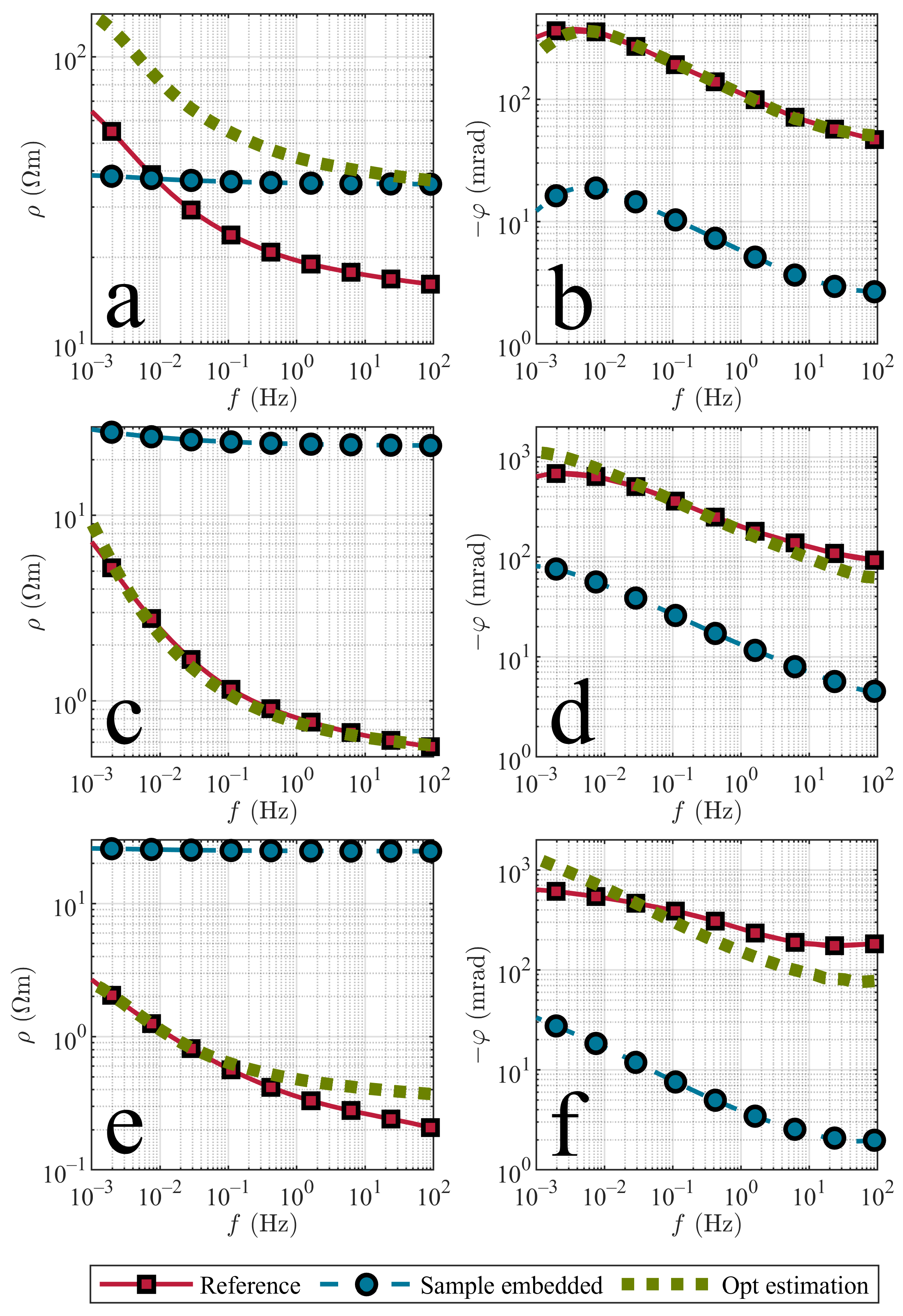
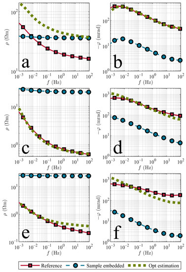
The massive sulfide samples investigated here are, with a few exceptions, generally relatively conductive and exhibit large phase shifts. Figure 5 shows three selected examples of measured resistivity spectra. The resistivity values (left column) are below 65 Ωm over the entire frequency range. The values are smaller than what would be expected if the conductivity was purely electrolytical, as was already discussed by Spagnoli et al. [13]. Therefore, it is likely that the low resistivities are caused by semiconducting minerals that are connected throughout the samples. The phase shifts (right column, red squares) are typically in the range of tens or even hundreds of milliradians, with strong variations of one order of magnitude or more over the measured frequency range.
Figure 5.
Resistivity magnitude spectra (left column) and phase spectra (right column) of three selected samples of the entire dataset. Top row (a,b): the Zn–Ba-rich sulfide no. 14 (numbers following [13]). Middle row (c,d): The Cu–Zn rich sample no. 20. Bottom row (e,f): The Cu-rich sample no. 25. The red squares (reference) indicate the direct measurements on the cylindrical sample and the blue circles indicate the measurements on the embedded samples; the dotted line is a the phase shift of the embedded measurement shifted by a constant factor to match the reference.
The right column of Figure 5 shows the phase spectra of the original measurement on the cylindrical samples, and the phase spectra resulting from the measurement on the embedded samples. The original phase spectra will be used in the following as a reference to evaluate our method.
Before applying the method to estimate the original phase spectra from the embedded samples, we tested whether the data are consistent with the theoretical assumption underlying our approach, i.e., that the reference and the embedded measurements are connected by a constant factor according to Equation (4). For this purpose, we found the optimum factor g, such that the RMS deviation between the two is being minimized. The smallest deviation G that can be achieved this way is a measure of the consistency of the data with Equation (4), and therefore, we name it “Guptasarma consistency”, as defined by:
In order to obtain an overview over the data, we categorize them according to their Guptasarma consistency. We use the following limits for categorization:
The three examples shown in Figure 5 were selected to be representative of one category each; the phase spectra in in the top row are consistent; the shapes of the reference measurement and the embedded measurement are very similar, and after shifting the embedded measurement by the optimum factor, the two curves match very well. The value for the Guptasarma consistency is . The middle row shows a semi-consistent dataset: , the shapes are similar, but not identical. The bottom row shows an example of a dataset that is not consistent with Equation (4): the shapes are different, and .
Figure 6 gives an overview over the entire dataset by displaying the Guptasarma consistency vs. the maximum phase shift. Out of the 30 samples, 13 were Guptasarma consistent, 13 were semi-consistent and 4 were non-consistent. Overall, the assumption expressed by Equation (4) seems to be fulfilled fairly well. There is a general tendency of the data to cluster in the bottom right, i.e., many samples have large phase shifts and good consistency. The two samples that drop out of this scheme are barite-rich samples that are relatively resistive compared to the others, which leads to a large resistivity contrast between and , resulting in a poor estimate of the dilution factor, as will be discussed further below. There is no significant correlation between the maximum phase shift and Guptasarma consistency, so the calculated value is , and if the two barite samples are not considered, then .
Figure 6.
Guptasarma consistency vs. maximum phase shift for the entire dataset according to the definition given by Equation (13). The symbols follow the convention used in Spagnoli et al. [13]. The colored regions indicate the categorization according to Equation (14). The red circles indicate the specific samples selected in Figure 5.
4.2. Estimation of the Spectra
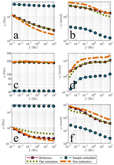
In most practical situations, the cylindrical samples, and thus the reference measurements, will not be available. The spectra have to be estimated solely based on the measurement on embedded samples. We now apply the procedure outlined in Section 3, using numerical simulation to estimate the dilution factor. To evaluate the results, we used the reference data, but unlike in the previous subsection, they are not being used for the estimation itself. We calculate the RMS deviation between estimated phase spectra and reference phase spectra as defined in Equation (13) for calculation, but using the dilution factor obtained from numerical simulation instead of the optimized value. This value is named “Guptasarma deviation”, to be distinguished from the “Guptasarma consistency”.
The results are illustrated in Figure 7, for three selected samples. The examples are different from those shown in Figure 5, to provide a broader overview over the variability in our data. The three samples were selected to be representative of different resistivity ranges and different categories of Guptasarma deviations. The top row is a well-consistent sample () with intermediate resistivities. The estimation of the phase spectrum from the embedded sample works extremely well in this case, the deviation is 0.11, and the estimated phase curve (orange dashed line) can hardly be distinguished from the theoretically optimal curve (green dotted line). The middle row also shows a consistent sample with , but with much higher resistivities (almost 200 Ωm, red squares in panel c) and lower phase shifts. In this case, the estimation based on numerical simulation works fairly well, but there is a shift between the optimized phase curve and the estimated one. The corresponding deviation is 0.42, i.e., a factor of approximately 3 larger than the best possible value. The bottom row is a relatively conductive (<1 Ωm) sample with large phase shifts (between 50 mrad and 1000 mrad). The sample is semi-consistent with , and the Guptasarma deviation is 0.95. Like in the middle row, the curve shapes are similar, but there is a shift between the numerical simulation and the optimum value.
Figure 7.
Resistivity magnitude (left column) and phase shift (right column) spectra of three selected samples. Top row (a,b) Fe-rich sample no. 33. Middle Row (c,d): Si-rich sample no. 13. Bottom row (e,f): Fe-rich sample no. 31. The red squares denote the reference measurements on the cylindrical samples, the blue squares denote the measurements on the embedded samples, the green dotted line is the optimized estimation using Equation (13), and the orange line denotes the result using the dilution factor determined from numerical simulation.
The left column of Figure 7 shows the corresponding estimated spectra of the resistivity magnitudes. They were obtained using the numerical simulation results for each sample, as illustrated in Figure 4a to determine the DC resistivity (i.e., the resistivity at the lowest frequency) of the sample, and then recursively estimating the full spectrum using Equation (12). For the dilution factor, we either use the optimized value g (which is normally not available) or the estimated B from the numerical simulation. In all three examples, the shape of the resistivity spectrum is fairly well matched by the estimation. In the top row, the resistivity strongly decreases with frequency, corresponding to large phase shifts. There is little difference whether B or g are being used (orange-dashed or green-dotted lines), because the factors are close to each other in this case, as can be seen from the phase spectrum. In the middle row, there is little variation with frequency, and therefore, the difference between B and g is not important. In the bottom row, B and g are different by a factor of approximately 2, which leads to different estimates of the shape.
In order to obtain an overview over all samples under consideration, we use the maximum phase shift (Figure 8, panel a). Most of the samples (24 out of 30) can be considered strongly polarizable, with maximum phase shifts > 100 mrad. For 22 samples out of the total dataset, the estimated phase shift agrees with the reference value within 30%. The most prominent exceptions are the Barite-rich samples with small phase shifts, where the estimation does not seem to work well. The reason probably lies in the relatively large resistivities, which will be discussed further below.
Figure 8.
Maximum phase shift of estimated spectra vs. maximum phase shift of the reference spectra for all 30 samples. The legend follows the convention used in Spagnoli et al. [13]. (a) Estimation based on individual numerical simulation for each sample. (b) Estimation based on an average sample (r = 1.3 cm, l = 3.876 cm). (c) Estimation based on the dilution factor according to the relative volume (Equation (6)).
4.3. Simplified Estimations
To obtain the results shown in panel a of Figure 8, an individual numerical simulation run was carried out for each sample, considering the exact geometry, particularly the length, which varied between 1.7 cm and 4.8 cm. However, for routine applications, it is be desirable to avoid the necessity for an individual simulation run. In particular, if the sample shapes are irregular, which is the main reason for applying the procedure, it might be cumbersome to find an appropriate geometric description and enter it into the simulation code. Therefore, we investigated whether the numerical simulation can be simplified.
In panel b of Figure 8, we used the same geometry for all samples, i.e., we performed only one numerical simulation run. Compared to panel a, the estimation deteriorated slightly. Only 27% of the maximum phase shifts (8 of 30) agree within 30% with the reference values, and the overall average deviation is 55% and 50% if the two barite samples are excluded. In panel c of Figure 8, we used the simplest possible estimation of the dilution factor from the relative volume according to Equation (6), which does not even require a numerical simulation. In that case, 12 of the 30 samples lie within 30% of the reference values, and the overall average deviation is 37% and 35% if the Barite samples are excluded. The agreement is only slightly worse than the for the optimum procedure with individual numerical simulation, but better than using an average sample geometry. We conclude that, if the simplification and reduction of numerical simulation effort is required, the estimation using the relative volume might be feasible, whereas using an average geometry does not seem to offer major advantages.
5. Discussion
5.1. Dependence on Sample Shape
In the previous section, we investigated how the use of an average geometry affects the estimation of the phase shift based on the measured data. A critical step in this procedure is the estimation of the dilution factor B. Therefore, in order to obtain a better understanding of how the dilution factor depends on the assumed geometry and on the resistivities of the target and the embedding medium, we carried out additional numerical simulation studies. First, we assumed that the samples were of cylindrical shape and varied the elongation, i.e., the ratio between radius and length (Figure 9a). If the resistivity contrast equals 1, i.e., the target and the embedding medium have the same resistivity, the dilution factor does not depend on resistivity contrast and equals the relative volume of the target. In general, for very large and very small resistivity contrasts, the dilution factor approaches zero. Since the dilution factor can also be considered a sensitivity which controls how well the target parameters can be obtained from the bulk measurements, we can derive a recommendation from the numerical simulation result: the resistivity contrast should not be too far away from one for the method to be feasible. Whether this condition can be fulfilled will depend on the particular situation and possible a priori knowledge of the sample resistivities.
Figure 9.
(a) Dilution factor obtained from numerical simulation vs. resistivity contrast between the inner and outer medium for cylindrical targets with varying elongation. The ratio between the radius and length varies between 1.6 cm and 0.1 cm. (b) Dilution factor vs. resistivity contrast for targets with different shape. The volume is kept constant, whereas the radius of the middle section varies with The length of the target changes such that the volume is kept constant at 19.6 cm3.
The exceptions to this recommendation are the two extreme situations when the cylindrical target either fills the entire radius of the overall medium, or the entire length. The disk-shaped target filling the radius fully controls the resistivity and leads to a dilution factor of 1 if it is very resistive, whereas the line-shaped target fully control the conductivity if it is very conductive, also leading to large dilution factors. However, these cases are not of practical relevance, as they would no longer be considered embedded samples and would rather correspond to a direct measurement.
In Figure 9b, we investigate the case of non-cylindrical target shapes by adding a middle section with a varying radius. Again, it is beneficial if the resistivity contrast is close to one, both because the dilution factor is relatively large, and because the relative volume is a good estimate of it. The variations between the curves corresponding to the different shapes do not appear to be dramatic. This observation suggests that it might not be necessary in practical applications to determine the sample shape with high accuracy. It will be sufficient to use simple geometrical shapes that can be defined with only a few parameters.
5.2. Sources and Consequences of Error in DC Resistivity
Another crucial step in the procedure is the estimation of the DC resistivity of the target from the measured bulk resistivity, using the procedure illustrated in Figure 4a. Figure 10 shows the estimated DC resistivity vs. the reference resistivity for all 30 samples. The average RMS deviation between the two is 65%. This is possibly larger than what would be expected from such a procedure, and therefore, the sources of error require closer investigation.
Figure 10.
Estimated target resistivity at the lowest measured frequency vs. resistivity of the reference measurement for all 30 samples. The red dotted line indicates the resistivity of the outer medium at 36 Ωm.
First, as it is apparent from Figure 4a, the optimum case is when the resistivity contrast is close to one. In that case, the sensitivity (the slope of the curve in Figure 4a) is at a maximum. For large and small resistivity contrast, the sensitivity deteriorates, i.e., the bulk resistivity only weakly depends on the target resistivity. As a consequence, small errors in the - measurement may result in large errors of the estimate.
Another source of error is the knowledge about the resistivity of the embedding medium . The value can only be measured separately, and although we followed the same procedures when the sample was embedded, changes in the porosity or the structure of the grain distribution cannot be completely avoided. More importantly, we observed that, for some samples (no. 37–40), ions were dissolved from the minerals during the saturation process. The samples are sulfate-rich breccias with a large calcium content. The dissolution resulted in an increase in the electrical conductivity of the electrolyte from 0.1–0.3 S/m one day after saturation and again three days later before embedding the samples. Even though we used a fresh solution when embedding the sample, it is likely that the same process takes place during the measurement, leading to an error in the assumed value for . This problem is probably difficult to avoid for any measurements on massive sulfide samples, for which it may be difficult to achieve stable conditions. Quantitatively, for these four particular samples, we had to assume a much lower of 25 Ωm (instead of 36 Ωm) to be able to estimate a value of . For the other samples, the solution process was less obvious, but it can be assumed that the knowledge of is a major source of error, more relevant than the statistical measurement errors of .
The uncertainty in also has consequences for the estimation of the dilution factor, as its knowledge is part of the procedure in Figure 4. The effect of a wrong assumption on was investigated quantitatively using numerical simulation (Figure 11a) and by looking at the impact on measured data (Figure 11b). The numerical simulation shows that errors in B can become quite large, up to 200%, if the assumption of the outer medium resistivity is not correct. As expected, the largest errors occur for large or small resistivity contrasts, and again, a resistivity contrast in the vicinity of one would be favorable to keep them small. In Figure 11b, the Guptasarma deviation is displayed vs. the DC resistivity of the sample, taking the value of the reference at the lowest frequency. In this display, although there is significant scatter, a U-shaped behavior is clearly visible, i.e., the farther away the target resistivity is from that of the outer medium, the larger the deviation. If the DC resistivity is close to , the data are less sensitive to errors, as can be seen in the top panel. If the resistivities are different, i.e., with increasing distance from the red dashed line, the sensitivity to errors increases, and, statistically, the deviation also increases. The observation supports the idea that errors in estimation of resistivity, caused by assumptions on the outer medium resistivity, are a major source of error in the entire procedure.
Figure 11.
(a) The error caused in the dilution factor by an error of 6 Ωm in the assumption of the outer medium resistivity vs. resistivity contrast, obtained from numerical simulation. All other parameters are the same as those used in Figure 4. The horizontal scale at the top is the bulk resistivity corresponding to the resistivity contrast. (b) The RMS deviation of the estimated phase shift calculated with the dilution factor obtained by simulation vs. DC resistivity of the target. The red dotted line indicates the assumed value of the outer medium resistivity = 36 Ωm.
5.3. Other Sources of Error
The phase spectra of embedded samples can be estimated within an error of a few 10% with the procedure suggested herein. Although this error may be acceptable depending on the particular application, it is considerably above the measurement accuracy of direct laboratory measurements on cylindrical plugs, which are in the range of milliradians. Some of the uncertainties can be explained by the procedure itself, but there may be other effects that have not been considered to date.
First, we implicitly assumed that the current flow from the embedding medium into the mineral may be described by a series connection of impedances of the two materials. We ignored any contact impedance describing the processes at the mineral surface when the conduction mechanism changes from electrolytic to metallic or semi-conducting. However, in theories that describe the polarization of mineral grains in electrolytes (e.g., [21,22]), it is exactly this transfer between the two media that causes the polarization. It can be expected that these processes at the microscopic or mm-scale also take place at the plug scale, and should influence the impedance. The differences between the estimated phase spectra and the reference spectra might be taken as a first estimate of the magnitude of these effects.
The deviations of several 10% should also be put in relation to the accuracy at which the estimation of spectra is normally possible. First, the material, the massive sulfides, are inherently heterogeneous. The conductivity is carried by connected veins, and will depend on their connectivity and size. For small samples in particular, as is the case for the plugs, the electrical properties will vary from sample to sample, and statistical averages and upscaling procedures will be required to obtain a representative value of the medium. This is also reflected by the considerable scatter in our samples. Even samples originating from the same region with similar compositions may have differences in phase shifts of up to 100%. Therefore, the deviations obtained with our procedure are in a similar range as the uncertainties related to the representativeness of a small sample. Our method might even be advantageous in the sense that it allows measurements on larger volumes, as it does not require a sample holder exactly fitting the sample size.
6. Conclusions
We suggested a method to estimate the electrical spectra of rock samples from the spectra measured on the samples embedded in a non-polarizing material, in our case quartz sand saturated with an electrolyte. The method is based on the so-called dilution factor previously suggested by Guptasarma [17] and requires numerical simulation. The novel aspect is that we apply their theory to experimental data by a suitable definition of the physical quantities. Furthermore, we test our resulting theory with experimental data, which to our knowledge, has not been performed previously. In order to be able to evaluate the results, we used cylindrical plugs, at which direct measurements in a conventional sample holder are also possible. The assessment shows that the method is feasible, and the phase spectra can be estimated within an accuracy of approximately 35%.
Our data analysis and numerical simulation studies show that, in order to minimize errors, it is ideal if the resistivity of the embedding medium is similar to that of the sample. If the contrast becomes excessively small or large, the method becomes sensitive to measurement errors or violated assumptions. In particular, the resistivity of the embedding medium may be a critical value, since it may deviate from the value determined before due to dissolution processes in the minerals. Therefore, although the sample DC resistivity is one of the parameters that is determined during the procedure, some a priori information about it can be useful. In practice, this information might be obtained from measurements on similar samples, or, in the worst case, an iterative procedure involving several experiments with different fluids might be necessary.
In the most general form, our method requires a geometrical description and a numerical simulation run for each individual sample. However, since a detailed geometrical measurement of arbitrarily shaped samples can be cumbersome, we investigated whether simplified versions with less effort are also feasible. We found that, for our set of samples, simply using the relative volume of the target as dilution factor works almost as well as the full procedure.
Author Contributions
Conceptualization, A.H.; methodology, M.W.; software, M.W.; validation, M.W. and A.H.; formal analysis, M.W.; investigation, M.W.; resources, A.H.; data curation, M.W.;writing—original draft preparation, M.W.; writing—review and editing, M.W. and A.H.; visualization, M.W.; supervision, A.H.; funding acquisition, A.H. All authors have read and agreed to the published version of the manuscript.
Funding
This work was funded by Deutsche Forschungsgemeinschaft (DFG) under project 326799290.
Data Availability Statement
Data are available upon request from the authors.
Acknowledgments
The authors thank Marion Jegen-Kulcsar and Sven Petersen from GEOMAR Helmholtz Centre for Ocean Research Kiel for providing the measured samples.
Conflicts of Interest
The authors declare no conflict of interest. The funders had no role in the design of the study, in the collection, analyses, or interpretation of data, in the writing of the manuscript, or in the decision to publish the results.
Abbreviations
The following abbreviations are used in this manuscript:
| IP | Induced polarization |
| SIP | Spectral induced polarization |
| SMS | Seafloor massive sulfides |
Appendix A. Approximation for Cylindrical Targets
For cylindrical targets, the dilution factor B can be analytically calculated by considering the two limiting cases of a continuous disk and a continuous rod (Figure A1).
Figure A1.
Cylindrical target (brown) embedded in a medium (yellow). (a) The embedded body completely fills the cross-section. (b) The embedded body has the same length as the surrounding cylinder of the medium.
Figure A1.
Cylindrical target (brown) embedded in a medium (yellow). (a) The embedded body completely fills the cross-section. (b) The embedded body has the same length as the surrounding cylinder of the medium.

For simplicity, we denote the relative volume of the embedded target by
Appendix A.1. Continuous Disk
The embedded sample can be approximated as a continuous disk (Figure A1), so the configuration is described as a series circuit. Using Kirchhoff’s law [23], it can be shown that
Appendix A.2. Continuous Rod
Analogous to the continuous disc, the same procedure is used for the embedded sample approximated as a rod (Figure A1b), whereby the resistivity at the embedded target is described by a parallel circuit [23]:
Defining
we obtain
References
- Seigel, H.; Nabighian, M.; Parasnis, D.S.; Vozoff, K. The early history of the induced polarization method. Lead. Edge 2007, 26, 312–321. [Google Scholar] [CrossRef]
- Wait, J. (Ed.) The Variable-Frequency Method. In Overvoltage Research and Geophysical Applications; International Series of Monographs on Earth Sciences; Elsevier: Pergamon, Turkey, 1959; Chapter 4; pp. 29–49. [Google Scholar] [CrossRef]
- Kemna, A.; Binley, A.; Cassiani, G.; Niederleithinger, E.; Revil, A.; Slater, L.; Williams, K.H.; Orozco, A.F.; Haegel, F.H.; Hördt, A.; et al. An overview of the spectral induced polarization method for near-surface applications. Near Surf. Geophys. 2012, 10, 453–468. [Google Scholar] [CrossRef]
- Kessouri, P.; Furman, A.; Huisman, J.; Martin, T.; Mellage, A.; Ntarlagiannis, D.; Bücker, M.; Ehosioke, S.; Fernandez, P.; Flores-Orozco, A.; et al. Induced polarization applied to biogeophysics: Recent advances and future prospects. Near Surf. Geophys. 2019, 17, 595–621. [Google Scholar] [CrossRef]
- Revil, A.; Vaudelet, P.; Su, Z.; Chen, R. Induced Polarization as a Tool to Assess Mineral Deposits: A Review. Minerals 2022, 12, 571. [Google Scholar] [CrossRef]
- Seigel, H.O.; Vanhala, H.; Sheard, S.N. Some case histories of source discrimination using time-domain spectral IP. Geophysics 1997, 62, 1394–1408. [Google Scholar] [CrossRef]
- Pelton, W.H.; Ward, S.H.; Hallof, P.G.; Sill, W.R.; Nelson, P.H. Mineral discrimination and removal of inductive coupling with multifrequency IP. Geophysics 1978, 43, 588–609. [Google Scholar] [CrossRef]
- Nelson, P.H.; Voorhis, G.D.V. Estimation of sulfide content from induced polarization data. Geophysics 1983, 48, 62–75. [Google Scholar] [CrossRef]
- Vanhala, H.; Peltoniemi, M. Spectral IP studies of Finnish ore prospects. Geophysics 1992, 57, 1545–1555. [Google Scholar] [CrossRef]
- Hoagland, P.; Beaulieu, S.; Tivey, M.A.; Eggert, R.G.; German, C.; Glowka, L.; Lin, J. Deep-sea mining of seafloor massive sulfides. Mar. Policy 2010, 34, 728–732. [Google Scholar] [CrossRef]
- Iturrino, G.J.; Davis, E.; Johnson, J.; Gröschel-Becker, H.; Lewis, T.; Chapman, D.; Cermak, V. Permeability, Electrical, and Thermal Properties of Sulfide, Sedimentary, and Basaltic Units from the Bent Hill Area of Middle Valley, Juan de Fuca Ridge. Proc. Ocean. Drill. Program Sci. Results 2000, 169, 1–42. [Google Scholar] [CrossRef]
- Bartetzko, A.; Klitzsch, N.; Iturrino, G.; Kaufhold, S.; Arnold, J. Electrical properties of hydrothermally altered dacite from the PACMANUS hydrothermal field (ODP Leg 193). J. Volcanol. Geotherm. Res. 2006, 152, 109–120. [Google Scholar] [CrossRef]
- Spagnoli, G.; Hannington, M.; Bairlein, K.; Hördt, A.; Jegen, M.; Petersen, S.; Laurila, T. Electrical properties of seafloor massive sulfides. Geo Mar. Lett. 2016, 36, 235–245. [Google Scholar] [CrossRef]
- Revil, A.; Abdel Aal, G.Z.; Atekwana, E.A.; Mao, D.; Florsch, N. Induced polarization response of porous media with metallic particles—Part 2: Comparison with a broad database of experimental dataMetallic particle polarization: Part 2. Geophysics 2015, 80, D539. [Google Scholar] [CrossRef]
- Hupfer, S.; Martin, T.; Weller, A.; Günther, T.; Kuhn, K.; Ngninjio, V.D.N.; Noell, U. Polarization effects of unconsolidated sulphide-sand-mixtures. J. Appl. Geophys. 2015, 135, 456–465. [Google Scholar] [CrossRef]
- Wu, C.; Zou, C.; Wu, T.; Shen, L.; Zhou, J.; Tao, C. Experimental study on the detection of metal sulfide under seafloor environment using time domain induced polarization. Mar. Geophys. Res. 2021, 42, 17. [Google Scholar] [CrossRef]
- Guptasarma, D. True and apparent spectra of buried polarizable targets. Geophysics 1984, 49, 171. [Google Scholar] [CrossRef]
- Kruschwitz, S.F. Assessment of the Complex Resistivity Behaviour of Salt Affected Building Materials. Ph.D. Thesis, Bundesanstalt für Materialforschung und -prüfung (BAM), Berlin, Germany, 2008. [Google Scholar]
- Hördt, A.; Milde, S. Studies with gel-filled sandstone samples with implications for the origin of induced polarization. Near Surf. Geophys. 2012, 10, 469–478. [Google Scholar] [CrossRef]
- Bairlein, K.; Hördt, A.; Nordsiek, S. The influence on sample preparation on spectral induced polarization of unconsolidated sediments. Near Surf. Geophys. 2014, 12, 667–678. [Google Scholar] [CrossRef]
- Wong, J. An electrochemical model of the induced-polarization phenomenon in disseminated sulfide ores. Geophysics 1979, 44, 1245–1265. [Google Scholar] [CrossRef]
- Bücker, M.; Orozco, A.F.; Kemna, A. Electrochemical polarization around metallic particles—Part 1: The role of diffuse-layer and volume-diffusion relaxation. Geophysics 2018, 83, E203–E217. [Google Scholar] [CrossRef]
- Mendieta, A.; Jougnot, D.; Leroy, P.; Maineult, A. Spectral Induced Polarization Characterization of Non-Consolidated Clays for Varying Salinities—An Experimental Study. J. Geophys. Res. Solid Earth 2021, 126, e2020JB021125. [Google Scholar] [CrossRef]
Disclaimer/Publisher’s Note: The statements, opinions and data contained in all publications are solely those of the individual author(s) and contributor(s) and not of MDPI and/or the editor(s). MDPI and/or the editor(s) disclaim responsibility for any injury to people or property resulting from any ideas, methods, instructions or products referred to in the content. |
© 2023 by the authors. Licensee MDPI, Basel, Switzerland. This article is an open access article distributed under the terms and conditions of the Creative Commons Attribution (CC BY) license (https://creativecommons.org/licenses/by/4.0/).










