Characteristics and Influencing Factors of Multi-Scale Pore Structure Heterogeneity of Lacustrine Shale in the Gaoyou Sag, Eastern China
Abstract
1. Introduction
2. Geological Setting and Samples
3. Experiments
3.1. TOC, Mineralogy, and Lithofacies Division
3.2. N2 Adsorption and MIP
3.3. Fractal Dimension
4. Results
4.1. TOC, Mineralogy, and Lithofacies Division
4.2. Types and Morphology of Pores
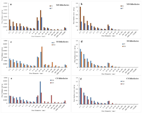
4.3. Pore Structure from N2 Adsorption and MIP
4.4. Fractal Dimension
4.4.1. Fractal Dimension Based on N2 Adsorption
4.4.2. Fractal Dimension Based on MIP
5. Discussions
5.1. Relationship between Fractal Dimensions and Pore Structure
5.2. Control Factors of Heterogeneity of Pore Structure
5.2.1. Impact of TOC on the Heterogeneity of Pore Structure
5.2.2. Impact of Lithofacies on the Heterogeneity of Pore Structure
6. Conclusions
Author Contributions
Funding
Data Availability Statement
Acknowledgments
Conflicts of Interest
References
- Zou, C.; Pan, S.; Jing, Z.; Gao, J.; Yang, Z.; Wu, S.; Zhao, Q. Shale oil and gas revolution and its impact. Acta Pet. Sin. 2020, 41, 1–12. [Google Scholar]
- Jin, Z.; Bai, Z.; Gao, B.; Li, M. Has China ushered in the shale oil and gas revolution? Oil Gas Geol. 2019, 40, 451–458. [Google Scholar]
- Zhang, T.S.; Hu, S.Y.; Bu, Q.Y.; Bai, B.; Tao, S.Z.; Chen, Y.Y.; Pan, Z.J.; Lin, S.H.; Pang, Z.L.; Xu, W.L.; et al. Effects of lacustrine depositional sequences on organic matter enrichment in the Chang 7 Shale, Ordos Basin, China. Mar. Pet. Geol. 2021, 124, 104778. [Google Scholar] [CrossRef]
- Xie, X.M.; Li, M.W.; Littke, R.; Huang, Z.K.; Ma, X.X.; Jiang, Q.G.; Snowdon, L.R. Petrographic and geochemical characterization of microfacies in a lacustrine shale oil system in the Dongying Sag, Jiyang Depression, Bohai Bay Basin, eastern China. Int. J. Coal Geol. 2016, 165, 49–63. [Google Scholar] [CrossRef]
- Wang, M.; Guo, Z.Q.; Jiao, C.X.; Lu, S.F.; Li, J.B.; Xue, H.T.; Li, J.J.; Li, J.Q.; Chen, G.H. Exploration progress and geochemical features of lacustrine shale oils in China. J. Pet. Sci. Eng. 2019, 178, 975–986. [Google Scholar] [CrossRef]
- Larue, D.; Smithard, M.; Mercer, M. Three deep resource plays in the San Joaquin Valley compared with the Bakken Formation. AAPG Bull. 2018, 102, 195–243. [Google Scholar] [CrossRef]
- Furmann, A.; Mastalerz, M.; Schimmelmann, A.; Pedersen, P.K.; Bish, D. Relationships between porosity, organic matter, and mineral matter in mature organic-rich marine mudstones of the Belle Fourche and Second White Specks formations in Alberta, Canada. Mar. Pet. Geol. 2014, 54, 65–81. [Google Scholar] [CrossRef]
- Katz, B.; Lin, F. Lacustrine basin unconventional resource plays: Key differences. Mar. Pet. Geol. 2014, 56, 255–265. [Google Scholar] [CrossRef]
- Zhang, L.; Bao, Y.; Li, J.; Li, Z.; Zhu, R.; Zhang, J. Movability of lacustrine shale oil: A case study of Dongying Sag, Jiyang Depression, Bohai Bay Basin. Pet. Explor. Dev. 2014, 41, 641–649. [Google Scholar] [CrossRef]
- Hu, Q.H.; Zhang, Y.X.; Meng, X.H.; Li, Z.; Xie, Z.H.; Li, M.W. Characterization of micro-nano pore networks in shale oil reservoirs of Paleogene Shahejie Formation in Dongying Sag of Bohai Bay Basin, East China. Pet. Explor. Dev. 2017, 44, 720–730. [Google Scholar] [CrossRef]
- Zhao, X.; Zhou, L.; Pu, X.; Jin, F.; Shi, Z.; Xiao, D.; Han, W.; Jiang, W.; Zhang, W.; Wang, H. Favorable formation conditions and enrichment characteristics of lacustrine facies shale oil in faulted lake basin: A case study of Member 2 of Kongdian Formation in Cangdong sag, Bohai Bay Basin. Acta Pet. Sin. 2019, 40, 1013–1029. [Google Scholar]
- Zhao, X.; Zhou, L.; Pu, X.; Jin, F.; Han, W.; Xiao, D.; Chen, S.; Shi, Z.; Zhang, W.; Yang, F. Geological characteristics of shale rock system and shale oil exploration in a lacustrine basin: A case study from the Paleogene 1st sub-member of Kong 2 Member in Cangdong sag, Bohai Bay Basin, China. Pet. Explor. Dev. 2018, 45, 361–372. [Google Scholar] [CrossRef]
- Du, J.; Hu, S.; Pang, Z.; Lin, S.; Hou, L.; Zhu, R. The types, potentials and prospects of continental shale oil in China. China Pet. Explor. 2019, 24, 560–568. [Google Scholar]
- Zhou, L.; Pu, X.; Chen, C.; Yang, F.; Xia, J.; Guan, Q.; Huang, C. Concept,Characteristics and Prospecting Significance of Fine-Grained Sedimentary Oil Gas in Terrestrial Lake Basin: A Case from the Second Member of Paleogene Kongdian Formation of Cangdong Sag, Bohai Bay Basin. Earth Sci. 2018, 43, 3625–3639. [Google Scholar]
- Zhou, L.; Zhao, X.; Chai, G.; Jiang, W.; Pu, X.; Wang, X.; Han, W.; Guan, Q.; Feng, J.; Liu, X. Key exploration & development technologies and engineering practice of continental shale oil:A case study of Member 2 of Paleogene Kongdian Formation in Cangdong Sag, Bohai Bay Basin, East China. Pet. Explor. Dev. 2020, 47, 1059–1066. [Google Scholar]
- Hu, S.; Zhao, W.; Hou, L.; Yang, Z.; Zhu, R.; Wu, S.; Bai, B.; Jin, X. Development potential and technical strategy of continental shale oil in China. Pet. Explor. Dev. 2020, 47, 819–828. [Google Scholar] [CrossRef]
- Jin, Z.; Wang, G.; Liu, G.; Gao, B.; Liu, Q.; Wang, H.; Liang, X.; Wang, R. Research progress and key scientific issues of continental shale oil in China. Acta Pet. Sin. 2021, 42, 821–835. [Google Scholar]
- Deng, Y.; Pu, X.; Chen, S.; Yan, J.; Shi, Z.; Zhang, W.; Han, W. Characteristics and controlling factors of fine-grained mixed sedimentary rocks reservoir: A case study of the 2~(nd) member of Kongdian formation in Cangdong depression, Bohai Bay basin. J. China Univ. Min. Technol. 2019, 48, 1301–1316. [Google Scholar]
- Zhang, Q.; Liang, F.; Liang, P.; Zhou, S.; Guo, W.; Guo, W.; Lu, B.; Liu, W. Investigation of fractal characteristics and its main controlling factors of shale reservoir: A case study of the Longmaxi shale in Weiyuan shale gas field. J. China Univ. Min. Technol. 2020, 49, 110–122. [Google Scholar]
- Yang, F.; Ning, Z.; Wang, Q.; Kong, D.; Peng, K.; Xiao, L. Fractal Characteristics of Nanopore in Shales. Nat. Gas Geosci. 2014, 25, 618–623. [Google Scholar]
- Li, Z.; Liang, Z.K.; Jiang, Z.X.; Gao, F.L.; Zhang, Y.H.; Yu, H.L.; Xiao, L.; Yang, Y.D. The Impacts of Matrix Compositions on Nanopore Structure and Fractal Characteristics of Lacustrine Shales from the Changling Fault Depression, Songliao Basin, China. Minerals 2019, 9, 127. [Google Scholar] [CrossRef]
- Zhang, F.; Jiang, Z.X.; Sun, W.; Zhang, X.; Zhu, L.; Li, X.H.; Zhao, W. Effect of Microscopic Pore-Throat Heterogeneity on Gas-Phase Percolation Capacity of Tight Sandstone Reservoirs. Energy Fuels 2020, 34, 12399–12416. [Google Scholar] [CrossRef]
- Dou, W.C.; Liu, L.F.; Jia, L.B.; Xu, Z.J.; Wang, M.Y.; Du, C.J. Pore structure, fractal characteristics and permeability prediction of tight sandstones: A case study from Yanchang Formation, Ordos Basin, China. Mar. Pet. Geol. 2021, 123, 104737. [Google Scholar] [CrossRef]
- Liu, B.; Nakhaei-Kohani, R.; Bai, L.H.; Wen, Z.G.; Gao, Y.F.; Tian, W.C.; Yang, L.; Liu, K.Q.; Hemmati-Sarapardeh, A.; Ostadhassan, M. Integrating advanced soft computing techniques with experimental studies for pore structure analysis of Qingshankou shale in Southern Songliao Basin, NE China. Int. J. Coal Geol. 2022, 257, 103998. [Google Scholar] [CrossRef]
- Ma, B.Y.; Hu, Q.H.; Yang, S.Y.; Zhang, T.; Qiao, H.G.; Meng, M.M.; Zhu, X.C.; Sun, X.H. Pore structure typing and fractal characteristics of lacustrine shale from Kongdian Formation in East China. J. Nat. Gas Sci. Eng. 2021, 85, 103709. [Google Scholar] [CrossRef]
- Li, X.; Wang, Y.; Lin, W.; Ma, L.; Liu, D.; Liu, J.; Zhang, Y. Micro-pore structure and fractal characteristics of deep shale from Wufeng Formation to Longmaxi Formation in Jingmen exploration area,Hubei Province. Nat. Gas Geosci. 2022, 33, 629–641. [Google Scholar] [CrossRef]
- Liang, Z.; Jiang, Z.; Li, Z.; Gao, F.; Liu, X. Investigation into the Pore Structure and Multifractal Characteristics of Shale Reservoirs through N2 Adsorption: An Application in the Triassic Yanchang Formation, Ordos Basin, China. Geofluids 2021, 2021, 9949379. [Google Scholar] [CrossRef]
- Liang, Z.; Jiang, Z.; Li, Z.; Song, Y.; Gao, F.; Liu, X.; Xiang, S. Nanopores structure and multifractal characterization of bulk shale and isolated kerogen—An application in Songliao Basin, China. Energy Fuels 2021, 35, 5818–5842. [Google Scholar] [CrossRef]
- Ma, X.; Guo, S.B.; Shi, D.S.; Zhou, Z.; Liu, G.H. Investigation of pore structure and fractal characteristics of marine-continental transitional shales from Longtan Formation using MICP, gas adsorption, and NMR (Guizhou, China). Mar. Pet. Geol. 2019, 107, 555–571. [Google Scholar] [CrossRef]
- Zhang, S.; Liu, H.; Wu, C.; Jin, Z. Influence of particle size on pore structure and multifractal characteristics in coal using low-pressure gas adsorption. J. Pet. Sci. Eng. 2022, 212, 110273. [Google Scholar] [CrossRef]
- Chen, L.Q. Estimation of the amount of erosion at unconformities in the last stage of the Eocene Sanduo period in the Subei Basin, China. Pet. Sci. 2009, 6, 383–388. [Google Scholar] [CrossRef]
- Cheng, Q.S.; Zhang, M.; Li, H.B. Anomalous distribution of steranes in deep lacustrine facies low maturity-maturity source rocks and oil of Funing formation in Subei Basin. J. Pet. Sci. Eng. 2019, 181, 106190. [Google Scholar] [CrossRef]
- Qiao, X.J.; Li, G.M.; Li, M.; Wang, Z.M. CO2 storage capacity assessment of deep saline aquifers in the Subei Basin, East China. Int. J. Greenh. Gas Control 2012, 11, 52–63. [Google Scholar] [CrossRef]
- Liu, X.P.; Lai, J.; Fan, X.C.; Shu, H.L.; Wang, G.C.; Ma, X.Q.; Liu, M.C.; Guan, M.; Luo, Y.F. Insights in the pore structure, fluid mobility and oiliness in oil shales of Paleogene Funing Formation in Subei Basin, China. Mar. Pet. Geol. 2020, 114, 104228. [Google Scholar] [CrossRef]
- Peters, K.E. Guidelines for evaluating petroleum source rock using programmed pyrolysis. AAPG Bull. 1986, 70, 318–329. [Google Scholar]
- Taylor, G.; Teichmüller, M.; Davis, A.; Diessel, C.; Littke, R.; Robert, P. Organic Petrology; Gebrüder Borntraeger: Berlin/Stuttgart, Germany, 1998; p. 704. [Google Scholar]
- Metwally, Y.M.; Chesnokov, E.M. Clay mineral transformation as a major source for authigenic quartz in thermo-mature gas shale. Appl. Clay Sci. 2012, 55, 138–150. [Google Scholar] [CrossRef]
- de Kamp, P.C.V. Smectite-illite-muscovite transformations, quartz dissolution, and silica release in shales. Clays Clay Miner. 2008, 56, 66–81. [Google Scholar] [CrossRef]
- Wang, P.F.; Jiang, Z.X.; Chen, L.; Yin, L.S.; Li, Z.; Zhang, C.; Tang, X.L.; Wang, G.Z. Pore structure characterization for the Longmaxi and Niutitang shales in the Upper Yangtze Platform, South China: Evidence from focused ion beam He ion microscopy, nano-computerized tomography and gas adsorption analysis. Mar. Pet. Geol. 2016, 77, 1323–1337. [Google Scholar] [CrossRef]
- Loucks, R.G.; Reed, R.M.; Ruppel, S.C.; Hammes, U. Spectrum of pore types and networks in mudrocks and a descriptive classification for matrix-related mudrock pores. AAPG Bull. 2012, 96, 1071–1098. [Google Scholar] [CrossRef]
- Jiao, S.; Han, H.; Weng, Q.; Yang, F.; Jiang, D.; Cui, L. Scanning electron microscope analysis of porosity in shale. J. Chin. Electron. Microsc. Soc. 2012, 31, 432–436. [Google Scholar]
- Yuan, Y.J.; Rezaee, R.; Yu, H.Y.; Zou, J.; Liu, K.Q.; Zhang, Y.H. Compositional controls on nanopore structure in different shale lithofacies: A comparison with pure clays and isolated kerogens. Fuel 2021, 303, 121079. [Google Scholar] [CrossRef]
- Li, T.W.; Jiang, Z.X.; Xu, C.L.; Yuan, Y.; Wang, P.F.; Liu, G.H.; Zhang, B.; Ning, C.X.; Wang, Z. Effect of sedimentary environment on shale lithofacies in the lower third member of the Shahejie Formation, Zhanhua Sag, eastern China. Interpret. J. Subsurf. Charact. 2017, 5, T487–T501. [Google Scholar] [CrossRef]
- Li, T.W.; Jiang, Z.X.; Li, Z.; Wang, P.F.; Xu, C.L.; Liu, G.H.; Su, S.Y.; Ning, C.X. Continental shale pore structure characteristics and their controlling factors: A case study from the lower third member of the Shahejie Formation, Zhanhua Sag, Eastern China. J. Nat. Gas Sci. Eng. 2017, 45, 670–692. [Google Scholar] [CrossRef]
- Li, K.W. Analytical derivation of Brooks-Corey type capillary pressure models using fractal geometry and evaluation of rock heterogeneity. J. Pet. Sci. Eng. 2010, 73, 20–26. [Google Scholar] [CrossRef]
- Zhang, P.F.; Lu, S.F.; Li, J.Q.; Xue, H.T.; Li, W.H.; Zhang, P. Characterization of shale pore system: A case study of Paleogene Xin’gouzui Formation in the Jianghan basin, China. Mar. Pet. Geol. 2017, 79, 321–334. [Google Scholar] [CrossRef]
- Daigle, H.; Johnson, A.; Thomas, B. Determining fractal dimension from nuclear magnetic resonance data in rocks with internal magnetic field gradients. Geophysics 2014, 79, D425–D431. [Google Scholar] [CrossRef]
- Lai, J.; Wang, G.W.; Fan, Z.Y.; Chen, J.; Wang, S.C.; Zhou, Z.L.; Fan, X.Q. Insight into the Pore Structure of Tight Sandstones Using NMR and HPMI Measurements. Energy Fuels 2016, 30, 10200–10214. [Google Scholar] [CrossRef]
- Mandelbrot, B.B.; Mandelbrot, B.B. The Fractal Geometry of Nature; WH Freeman: New York, NY, USA, 1982; Volume 1. [Google Scholar]
- Thommes, M.; Kaneko, K.; Neimark, A.V.; Olivier, J.P.; Rodriguez-Reinoso, F.; Rouquerol, J.; Sing, K.S.W. Physisorption of gases, with special reference to the evaluation of surface area and pore size distribution (IUPAC Technical Report). Pure Appl. Chem. 2015, 87, 1051–1069. [Google Scholar] [CrossRef]
- Yang, R.; He, S.; Yi, J.Z.; Hu, Q.H. Nano-scale pore structure and fractal dimension of organic-rich Wufeng-Longmaxi shale from Jiaoshiba area, Sichuan Basin: Investigations using FE-SEM, gas adsorption and helium pycnometry. Mar. Pet. Geol. 2016, 70, 27–45. [Google Scholar] [CrossRef]
- Jia, A.Q.; Hu, D.F.; He, S.; Guo, X.W.; Hou, Y.G.; Wang, T.; Yang, R. Variations of Pore Structure in Organic-Rich Shales with Different Lithofacies from the Jiangdong Block, Fuling Shale Gas Field, SW China: Insights into Gas Storage and Pore Evolution. Energy Fuels 2020, 34, 12457–12475. [Google Scholar] [CrossRef]
- Pfeifer, P.; Obert, M.; Cole, M. Fractal BET and FHH theories of adsorption: A comparative study. Proc. R. Soc. London. A. Math. Phys. Sci. 1989, 423, 169–188. [Google Scholar]
- Mendhe, V.A.; Bannerjee, M.; Varma, A.K.; Kamble, A.D.; Mishra, S.; Singh, B.D. Fractal and pore dispositions of coal seams with significance to coalbed methane plays of East Bokaro, Jharkhand, India. J. Nat. Gas Sci. Eng. 2017, 38, 412–433. [Google Scholar] [CrossRef]
- Yao, Y.; Liu, D.; Tang, D.; Tang, S.; Huang, W. Fractal characterization of adsorption-pores of coals from North China: An investigation on CH4 adsorption capacity of coals. Int. J. Coal Geol. 2008, 73, 27–42. [Google Scholar] [CrossRef]
- Ismail, I.M.; Pfeifer, P. Fractal analysis and surface roughness of nonporous carbon fibers and carbon blacks. Langmuir 1994, 10, 1532–1538. [Google Scholar] [CrossRef]
- Pfeifer, P.; Avnir, D. Chemistry in noninteger dimensions between two and three. I. Fractal theory of heterogeneous surfaces. J. Chem. Phys. 1983, 79, 3558–3565. [Google Scholar] [CrossRef]
- Li, X.; Xue, H.; Chen, L.; Shen, Z.; Xu, M.; Xu, S. Micropore structure of outburst coal seam in Guizhou Area and its effect on gas flow. Coal Sci. Technol. 2020, 48, 67–74. [Google Scholar]
- Sing, K.S. Reporting physisorption data for gas/solid systems with special reference to the determination of surface area and porosity (Recommendations 1984). Pure Appl. Chem. 1985, 57, 603–619. [Google Scholar] [CrossRef]
- Budaeva, A.D.; Zoltoev, E.V. Porous structure and sorption properties of nitrogen-containing activated carbon. Fuel 2010, 89, 2623–2627. [Google Scholar] [CrossRef]
- Pyun, S.I.; Rhee, C.K. An investigation of fractal characteristics of mesoporous carbon electrodes with various pore structures. Electrochim. Acta 2004, 49, 4171–4180. [Google Scholar] [CrossRef]
- Song, Y.; Jiang, B.; Li, F.; Yan, G.; Yao, Y. Applicability of Fractal Models and Nanopores’fractal Characteristics for Low-Middle Rank Tectonic Deformed Coals. Earth Sci. 2018, 43, 1611–1622. [Google Scholar]
- Chang, J.Q.; Fan, X.D.; Jiang, Z.X.; Wang, X.M.; Chen, L.; Li, J.T.; Zhu, L.; Wan, C.X.; Chen, Z.X. Differential impact of clay minerals and organic matter on pore structure and its fractal characteristics of marine and continental shales in China. Appl. Clay Sci. 2022, 216, 106334. [Google Scholar] [CrossRef]
- Curtis, M.E.; Cardott, B.J.; Sondergeld, C.H.; Rai, C.S. Development of organic porosity in the Woodford Shale with increasing thermal maturity. Int. J. Coal Geol. 2012, 103, 26–31. [Google Scholar] [CrossRef]














| Sample ID | Depth (m) | Lithofacies | Feldspar (wt.%) | Quartz (wt.%) | Calcite (wt.%) | Dolomite (wt.%) | Clay (wt.%) | TOC (wt.%) | Ro (%) |
|---|---|---|---|---|---|---|---|---|---|
| F1 | 3469.55 | MS | 13.66 | 29.04 | 29.64 | 0.85 | 25.35 | 3.02 | 0.79 |
| F2 | 3474.05 | MS | 13.46 | 29.96 | 32.72 | 0.30 | 21.12 | 2.84 | 0.82 |
| F3 | 3474.91 | MS | 12.89 | 27.40 | 34.99 | 0.61 | 20.42 | 2.23 | 0.81 |
| F4 | 3588.30 | MS | 9.81 | 20.84 | 10.69 | 33.22 | 20.23 | 1.12 | 0.84 |
| F5 | 3591.23 | SS | 16.02 | 34.04 | 8.78 | 11.17 | 23.37 | 0.93 | 0.83 |
| F6 | 3591.51 | SS | 22.69 | 27.74 | 8.90 | 11.82 | 23.49 | 0.90 | 0.84 |
| F7 | 3657.20 | MS | 11.32 | 24.05 | 17.30 | 18.87 | 22.82 | 0.69 | 0.85 |
| F8 | 3659.47 | MS | 10.70 | 32.08 | 11.57 | 16.49 | 22.78 | 0.52 | 0.84 |
| F9 | 3663.20 | MS | 14.53 | 30.88 | 4.50 | 25.71 | 21.82 | 1.85 | 0.86 |
| F10 | 3666.00 | CS | 11.49 | 24.43 | 41.49 | 13.25 | 6.08 | 1.40 | 0.86 |
| F11 | 3667.00 | MS | 9.41 | 25.44 | 12.17 | 24.72 | 22.16 | 0.34 | 0.88 |
| F12 | 3676.81 | SS | 16.10 | 34.21 | 3.01 | 3.53 | 39.43 | 1.79 | 0.87 |
| F13 | 3679.10 | SS | 18.62 | 31.70 | 18.87 | 0.67 | 24.84 | 1.95 | 0.90 |
| F14 | 3679.60 | MS | 10.15 | 21.57 | 0.06 | 39.34 | 25.13 | 1.23 | 0.86 |
| F15 | 3680.35 | CS | 9.53 | 20.25 | 0.50 | 49.60 | 17.56 | 0.89 | 0.89 |
| F16 | 3684.92 | SS | 16.88 | 35.87 | 14.32 | 4.30 | 24.13 | 1.86 | 0.91 |
| F17 | 3687.20 | MS | 13.13 | 27.91 | 6.71 | 14.63 | 31.51 | 1.25 | 0.88 |
| Lithofacies | Sample ID | Pore Volume (cm3/g) | Specific Surface Area (m2/g) | MWE (%) | ||||
|---|---|---|---|---|---|---|---|---|
| Total | D < 50 nm | D > 50 nm | Total | D < 50 nm | D > 50 nm | |||
| MS | F1 | 0.0076 | 0.0069 | 0.0007 | 0.6454 | 0.6445 | 0.0009 | 72.57 |
| F2 | 0.0053 | 0.0048 | 0.0005 | 0.3833 | 0.3827 | 0.0007 | 71.78 | |
| F3 | 0.0056 | 0.0052 | 0.0004 | 0.6800 | 0.6799 | 0.0002 | 74.16 | |
| F4 | 0.0130 | 0.0121 | 0.0009 | 3.6429 | 3.6412 | 0.0017 | 43.97 | |
| F7 | 0.0078 | 0.0074 | 0.0005 | 1.8651 | 1.8648 | 0.0003 | 21.58 | |
| F8 | 0.0119 | 0.0113 | 0.0007 | 3.2159 | 3.2155 | 0.0004 | 48.34 | |
| F9 | 0.0066 | 0.0063 | 0.0002 | 0.9128 | 0.9126 | 0.0002 | 21.18 | |
| F11 | 0.0118 | 0.0107 | 0.0011 | 3.0495 | 3.0482 | 0.0013 | 28.96 | |
| F14 | 0.0055 | 0.0053 | 0.0001 | 1.0445 | 1.0443 | 0.0002 | 58.69 | |
| F17 | 0.0119 | 0.0112 | 0.0006 | 2.8309 | 2.8304 | 0.0005 | 18.12 | |
| Mean | 0.0087 | 0.0081 | 0.0006 | 1.8270 | 1.8264 | 0.0006 | 45.94 | |
| SS | F5 | 0.0112 | 0.0104 | 0.0007 | 3.1888 | 3.1879 | 0.0008 | 41.23 |
| F6 | 0.0086 | 0.0075 | 0.0011 | 1.8836 | 1.8822 | 0.0014 | 27.87 | |
| F12 | 0.0087 | 0.0049 | 0.0038 | 0.8741 | 0.8671 | 0.0070 | 24.11 | |
| F13 | 0.0110 | 0.0095 | 0.0015 | 2.3951 | 2.3935 | 0.0017 | 69.18 | |
| F16 | 0.0091 | 0.0077 | 0.0014 | 1.6641 | 1.6618 | 0.0023 | 77.15 | |
| Mean | 0.0097 | 0.0080 | 0.0017 | 2.0012 | 1.9985 | 0.0027 | 47.91 | |
| CS | F10 | 0.0104 | 0.0101 | 0.0003 | 2.8540 | 2.8538 | 0.0002 | 11.80 |
| F15 | 0.0093 | 0.0072 | 0.0021 | 2.2467 | 2.2454 | 0.0013 | 39.73 | |
| Mean | 0.0099 | 0.0087 | 0.0012 | 2.5504 | 2.5496 | 0.0008 | 25.76 | |
| Lithofacies | Sample ID | D1 | D2 | Dc1 | Dc2 | D3 |
|---|---|---|---|---|---|---|
| MS | F1 | 2.4977 | 2.6053 | 2.8196 | 2.9949 | 2.9370 |
| F2 | 2.5220 | 2.5952 | 2.8437 | 2.9930 | 2.9346 | |
| F3 | 2.5155 | 2.6971 | 2.5562 | 2.9951 | 2.7634 | |
| F4 | 2.5584 | 2.8513 | 2.8420 | 2.9955 | 2.9706 | |
| F7 | 2.5167 | 2.7831 | 2.6519 | 2.9985 | 2.9423 | |
| F8 | 2.5483 | 2.8335 | 2.7811 | 2.9984 | 2.9406 | |
| F9 | 2.4948 | 2.6911 | 2.7082 | 2.9976 | 2.9721 | |
| F11 | 2.5399 | 2.8394 | 2.8570 | 2.9960 | 2.9563 | |
| F14 | 2.5296 | 2.7311 | 2.5031 | 2.9944 | 2.8741 | |
| F17 | 2.5681 | 2.8230 | 2.8048 | 2.9974 | 2.9325 | |
| Mean | 2.5291 | 2.7450 | 2.7368 | 2.9961 | 2.9224 | |
| SS | F5 | 2.5649 | 2.8364 | 2.8977 | 2.9957 | 2.9858 |
| F6 | 2.5519 | 2.7982 | 2.7535 | 2.9910 | 2.9390 | |
| F12 | 2.5129 | 2.7374 | 2.9158 | 2.9741 | 2.9576 | |
| F13 | 2.5182 | 2.8146 | 2.5550 | 2.9733 | 2.7697 | |
| F16 | 2.4955 | 2.7702 | 2.8023 | 2.9777 | 2.9240 | |
| Mean | 2.5287 | 2.7913 | 2.7849 | 2.9877 | 2.9152 | |
| CS | F10 | 2.5412 | 2.8292 | 2.7096 | 2.9980 | 2.9750 |
| F15 | 2.5467 | 2.8064 | 2.7623 | 2.9951 | 2.8560 | |
| Mean | 2.5439 | 2.8178 | 2.7359 | 2.9965 | 2.9155 |
Disclaimer/Publisher’s Note: The statements, opinions and data contained in all publications are solely those of the individual author(s) and contributor(s) and not of MDPI and/or the editor(s). MDPI and/or the editor(s) disclaim responsibility for any injury to people or property resulting from any ideas, methods, instructions or products referred to in the content. |
© 2023 by the authors. Licensee MDPI, Basel, Switzerland. This article is an open access article distributed under the terms and conditions of the Creative Commons Attribution (CC BY) license (https://creativecommons.org/licenses/by/4.0/).
Share and Cite
Li, P.; Gong, H.; Jiang, Z.; Zhang, F.; Liang, Z.; Wang, Z.; Wu, Y.; Shao, X. Characteristics and Influencing Factors of Multi-Scale Pore Structure Heterogeneity of Lacustrine Shale in the Gaoyou Sag, Eastern China. Minerals 2023, 13, 359. https://doi.org/10.3390/min13030359
Li P, Gong H, Jiang Z, Zhang F, Liang Z, Wang Z, Wu Y, Shao X. Characteristics and Influencing Factors of Multi-Scale Pore Structure Heterogeneity of Lacustrine Shale in the Gaoyou Sag, Eastern China. Minerals. 2023; 13(3):359. https://doi.org/10.3390/min13030359
Chicago/Turabian StyleLi, Peng, Houjian Gong, Zhenxue Jiang, Fan Zhang, Zhikai Liang, Zipeng Wang, Yonghui Wu, and Xindi Shao. 2023. "Characteristics and Influencing Factors of Multi-Scale Pore Structure Heterogeneity of Lacustrine Shale in the Gaoyou Sag, Eastern China" Minerals 13, no. 3: 359. https://doi.org/10.3390/min13030359
APA StyleLi, P., Gong, H., Jiang, Z., Zhang, F., Liang, Z., Wang, Z., Wu, Y., & Shao, X. (2023). Characteristics and Influencing Factors of Multi-Scale Pore Structure Heterogeneity of Lacustrine Shale in the Gaoyou Sag, Eastern China. Minerals, 13(3), 359. https://doi.org/10.3390/min13030359
