Study on the Application of a Reflux Classifier in the Classification of Ultrafine Ilmenite
Abstract
1. Introduction
2. Theory
3. Experiment
3.1. Equipment
3.2. Materials
3.3. Experimental Design
3.4. Experimental Operation
4. Results and Discussion
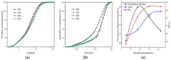
4.1. Ore Pulp Concentration Results
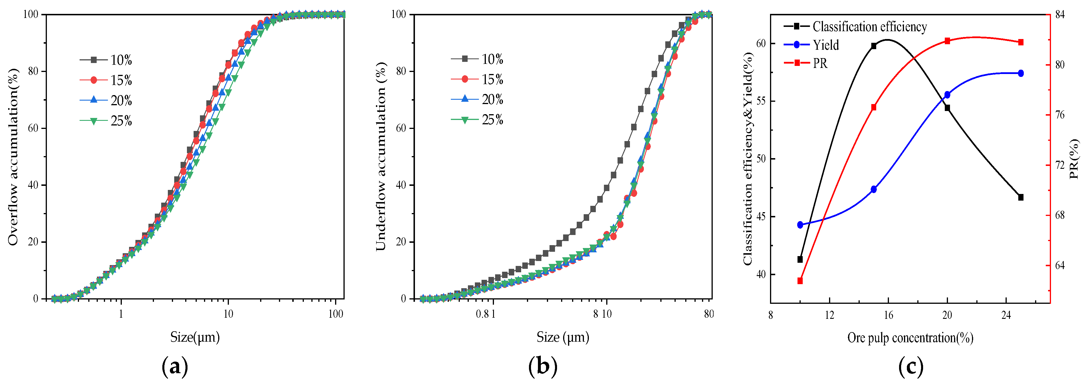
4.2. Agitation Speed Results
4.3. Feed Flux Results
4.4. Underflow Flux Results
4.5. Fluidization Water Flux Results
4.6. Discussion on Experimental Products
5. Conclusions
Author Contributions
Funding
Data Availability Statement
Conflicts of Interest
References
- Kun, W.; Huan, D.; Liu, R. Genesis of giant Fe-Ti oxide deposits in the Panxi region, SW China: A review. Geol. J. 2020, 55, 3782–3795. [Google Scholar]
- Raiymbekov, Y.; Besterekov, U.; Abdurazova, P.; Nazarbek, U. Review of methods and technologies for the enrichment of low-grade phosphorites. Rev. Inorg. Chem. 2022, 42, 385–395. [Google Scholar] [CrossRef]
- Nguyentranlam, G.; Galvin, K.P. The development of an innovative classifier. In Proceedings of the 28th Australasian Chemical Engineering Conference, Perth, Australia, 9–12 July 2000; pp. 290–296. [Google Scholar]
- Galvin, K.P.; Doroodchi, E.; Callen, A.M. Pilot plant trial of the reflux classifier. Miner. Eng. 2002, 15, 19–25. [Google Scholar] [CrossRef]
- Galvin, K.P.; Zhou, J.; Dickinson, J.E. Desliming of dense minerals in fluidized beds. Miner. Eng. 2012, 39, 9–18. [Google Scholar] [CrossRef]
- Galvin, K.P.; Callen, A.M.; Spear, S. Gravity separation of coarse particles using the Reflux Classifier. Miner. Eng. 2010, 23, 339–349. [Google Scholar] [CrossRef]
- Liu, Z.Q.; Lu, D.F.; Wang, Y.H.; Chu, H.R.; Zheng, X.Y.; Chen, F.L. Application of reflux classifier with closely spaced inclined channels in pre-concentrate process of fine antimony oxide particles. J. Cent. South Univ. 2020, 27, 3290–3301. [Google Scholar] [CrossRef]
- Chu, H.R.; Wang, Y.H.; Lu, D.F.; Liu, Z.Q.; Zheng, X.Y. Pre-concentration of fine antimony oxide tailings using an agitated reflux classifier. Powder Technol. 2020, 376, 565–572. [Google Scholar] [CrossRef]
- Iveson, S.M.; Sutherland, J.L.; Cole, M.J.; Borrow, D.J.; Zhou, J.; Galvin, K.P. Full-Scale trial of the REFLUX(TM) flotation cell. Miner. Eng. 2022, 179, 107447. [Google Scholar] [CrossRef]
- Chen, J.R.; Chimonyo, W.; Peng, Y.J. Flotation behavior in reflux flotation cell–A critical review. Miner. Eng. 2022, 181, 107519. [Google Scholar] [CrossRef]
- Zhou, X.L.; Wang, X.; Zhang, X.M. The Efficiency Change of Spiral Classifier with Different Overflow Discharge Methods. Adv. Mater. Res. 2011, 412, 453–458. [Google Scholar] [CrossRef]
- Piazza, R. Settled and unsettled issues in particle settling. Rep. Prog. Phys. Phys. Soc. 2014, 77, 056602. [Google Scholar] [CrossRef] [PubMed]
- Richardson, J.F.; Zaki, W.N. Sedimentation and fluidisation Part I. Chem. Eng. Res. Des. 1997, 75, s82–s100. [Google Scholar] [CrossRef]
- Galvin, K.P.; Pratten, S.; Lam, G.N.T. A generalized empirical description for particle slip velocities in liquid fluidized beds. Chem. Eng. Sci. 1999, 54, 1045–1052. [Google Scholar] [CrossRef]
- Hunter, D.M.; Iveson, S.M.; Galvin, K.P. Gravity Separation of Ultra-fine Iron Ore in the Reflux Classifier. In Proceedings of the Iron Ore Conference, Perth, Australia, 13–15 July 2015. [Google Scholar]
- Boycott, A.E. Sedimentation of blood corpuscles. Nature 1920, 104, 152. [Google Scholar] [CrossRef]
- Nguyentranlam, G.; Galvin, K.P. Applications of the Reflux Classifier in solid–liquid operations. Int. J. Miner. Process. 2004, 73, 83–89. [Google Scholar] [CrossRef]
- Nakamura, H.; Kuroda, K. The cause of the accelerated sedimentation rate of suspensions in inclined channel. Keijo J. Med. 1973, 8, 256–296. [Google Scholar]
- Chu, H.R.; Liu, Z.Q.; Wang, Y.H.; Lu, D.F.; Zheng, X.Y. Agitation effect on particle dispersion and separation in an agitated reflux classifier. Miner. Eng. 2022, 187, 107804. [Google Scholar] [CrossRef]
- Li, J.; Agarwal, A.; Lveson, S.M.; Kiani, A.; Dickinson, J.; Zhou, J. Recovery and concentration of buoyant cenospheres using an Inverted Reflux Classifier. Fuel Process. Technol. 2014, 123, 127–139. [Google Scholar] [CrossRef]
- Zhou, J.; Walton, K.; Laskovski, D.; Duncan, P.; Galvin, K.P. Enhanced separation of mineral sands using the Reflux Classifier. Miner. Eng. 2006, 19, 1573–1579. [Google Scholar] [CrossRef]










| Element | Content (%) | Element | Content (%) |
|---|---|---|---|
| Si | 26.34 | Mn | 0.1665 |
| Fe | 15.82 | Sr | 0.0311 |
| Al | 6.12 | Cu | 0.0281 |
| Mg | 5.65 | Zn | 0.0170 |
| Ca | 5.62 | Ni | 0.0147 |
| Ti | 4.71 | Sn | 0.0090 |
| Experimental Conditions | Conditional Variables | |||
|---|---|---|---|---|
| Ore pulp concentration (%) | 10 | 15 | 20 | 25 |
| Agitation speed (r/min) | 0 | 150 | 350 | 450 |
| Feed flux (ml/min) | 100 | 200 | 300 | 400 |
| Underflow flux (ml/min) | 12 | 16 | 20 | 24 |
| Fluidization water flux (ml/min) | 75 | 100 | 125 | 150 |
| Product | −10 μm Accumulation (%) | d(10) | d(50) | d(90) |
|---|---|---|---|---|
| Feed | 55.22 | 1.401 | 9.455 | 33.947 |
| Overflow | 84.21 | 1.157 | 4.402 | 14.220 |
| Underflow | 15.37 | 5.082 | 25.902 | 49.617 |
| Product (Ti) | Yield (%) | Grade (%) | Recovery (%) |
|---|---|---|---|
| Overflow | 59.36 | 4.028 | 51.08 |
| Underflow | 40.64 | 5.635 | 48.92 |
| Total | 100.00 | 4.681 | 100.00 |
Disclaimer/Publisher’s Note: The statements, opinions and data contained in all publications are solely those of the individual author(s) and contributor(s) and not of MDPI and/or the editor(s). MDPI and/or the editor(s) disclaim responsibility for any injury to people or property resulting from any ideas, methods, instructions or products referred to in the content. |
© 2023 by the authors. Licensee MDPI, Basel, Switzerland. This article is an open access article distributed under the terms and conditions of the Creative Commons Attribution (CC BY) license (https://creativecommons.org/licenses/by/4.0/).
Share and Cite
Chen, F.; Gao, Y.; Lu, D.; Liu, Z.; Zhao, Y. Study on the Application of a Reflux Classifier in the Classification of Ultrafine Ilmenite. Minerals 2023, 13, 304. https://doi.org/10.3390/min13030304
Chen F, Gao Y, Lu D, Liu Z, Zhao Y. Study on the Application of a Reflux Classifier in the Classification of Ultrafine Ilmenite. Minerals. 2023; 13(3):304. https://doi.org/10.3390/min13030304
Chicago/Turabian StyleChen, Fulin, Yu Gao, Dongfang Lu, Zhenqiang Liu, and Yan Zhao. 2023. "Study on the Application of a Reflux Classifier in the Classification of Ultrafine Ilmenite" Minerals 13, no. 3: 304. https://doi.org/10.3390/min13030304
APA StyleChen, F., Gao, Y., Lu, D., Liu, Z., & Zhao, Y. (2023). Study on the Application of a Reflux Classifier in the Classification of Ultrafine Ilmenite. Minerals, 13(3), 304. https://doi.org/10.3390/min13030304
