Recognizing Geochemical Anomalies Associated with Mineral Resources Using Singularity Analysis and Random Forest Models in the Torud-Chahshirin Belt, Northeast Iran
Abstract
:1. Introduction
2. Study Area and Dataset Used
3. Methodology
3.1. Singularity Mapping
3.2. Random Forest
3.3. Success-Rate Curves
4. Results and Discussion
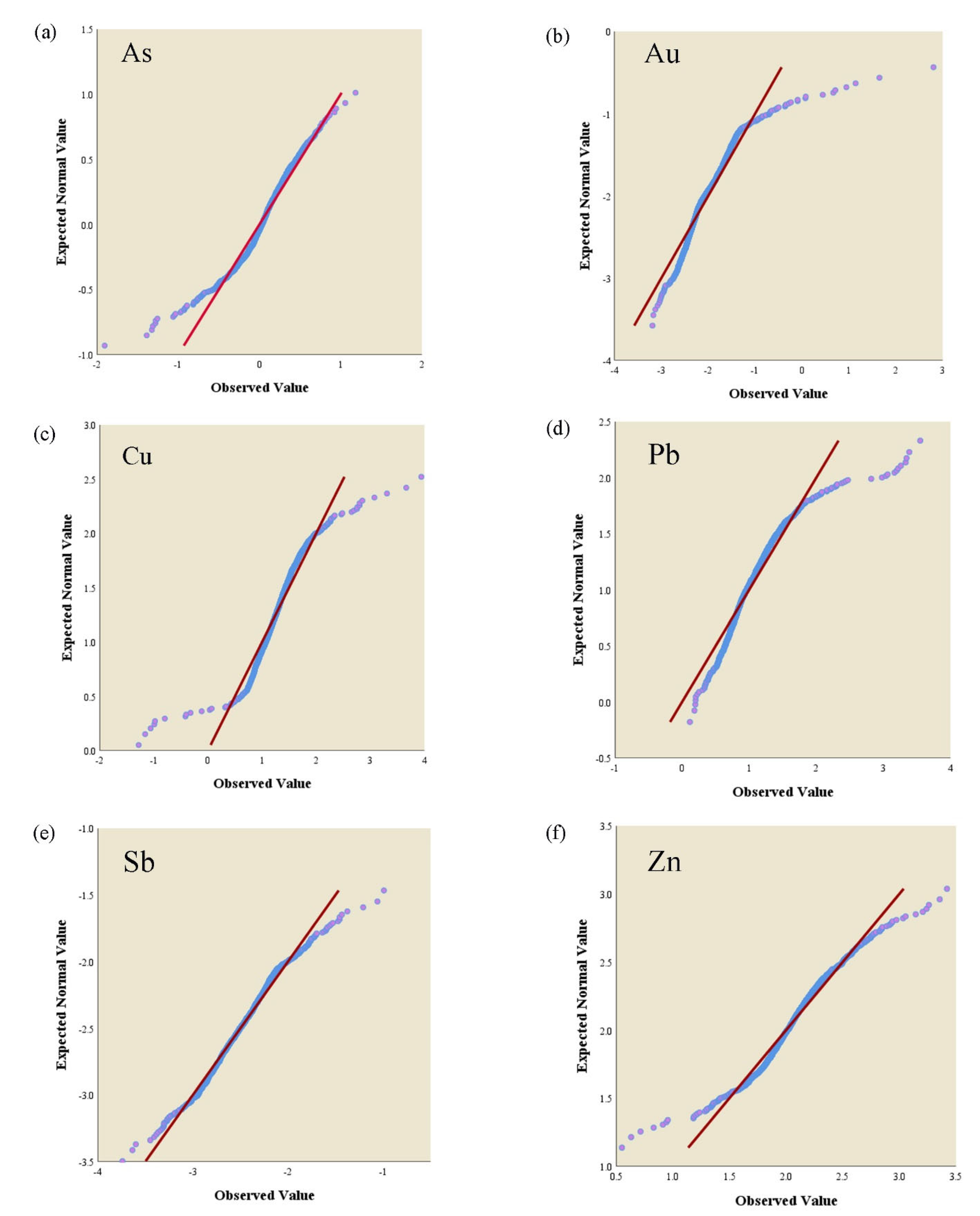
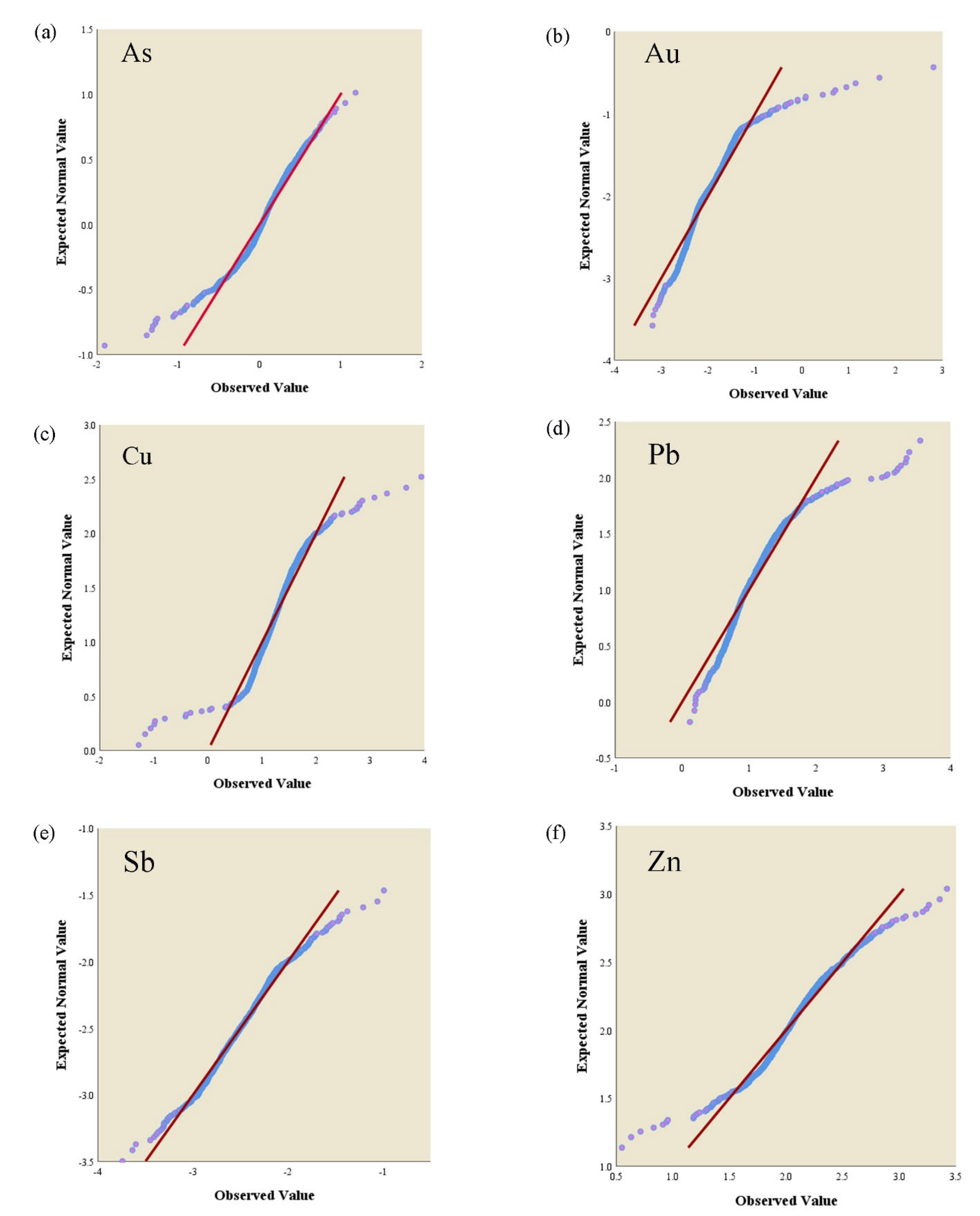
4.1. Preprocessing of Selected Elements
4.2. Extracting the Most Efficient of Single-Element Geochemical Footprints
4.3. Singularity Mapping for Detecting the Local Geochemical Anomalies
4.4. Delineating of Efficient Structural Controlling Factors
4.5. Random Forest Model
- (1)
- The number of non-prospect sites must be equal to the number of prospect sites to improve the accuracy of models (here, prospect sites = 31).
- (2)
- In order to differentiate the multiattribute dataset, the non-prospect sites should be selected far from the prospect sites (the selection of the non-prospect locations is conducted based on the point pattern analysis introduced by Carranza et al., 2008 [1], which demonstrated that the non-deposit sites must be selected at least 3 km away from the deposit sites).
- (3)
- Unlike the prospect sites, which have been regularly clustered, the non-prospect sites should have an arbitrary nature.
4.6. Assessment of Prospectivity Model
4.7. Delineation of Exploration Targets by Applying Student’s t Method
5. Conclusions
- (1)
- The singularity mapping as a filtering method is significantly successful in outlining the high-favorable geochemical anomalies in the TCB.
- (2)
- The prediction of high-favorable mineralized areas with highly accurate classification (Accuracy = 98.85%) indicates the robustness and effectiveness of the RF model in portraying geochemical anomalies.
- (3)
- The prospectivity model of RF (derived from t-Student method) represents the geochemical anomalous areas closely coinciding with Cu ± Au mineral deposits/occurrences.
Author Contributions
Funding
Data Availability Statement
Conflicts of Interest
References
- Carranza, E.J.M. Geochemical Anomaly and Mineral Prospectivity Mapping in GIS; Elsevier: Amsterdam, The Netherlands, 2008. [Google Scholar]
- Zuo, R.; Xia, Q. Application fractal and multifractal methods to mapping prospectivity for metamorphosed sedimentary iron deposits using stream sediment geochemical data in eastern Hebei province, China. Geochim. Cosmochim. Acta Suppl. 2009, 73, A1540. [Google Scholar]
- Grunsky, E.C. The interpretation of geochemical survey data. Geochem. Explor. Environ. Anal. 2010, 10, 27–74. [Google Scholar] [CrossRef]
- Yousefi, M.; Kamkar-Rouhani, A.; Carranza, E.J.M. Geochemical mineralization probability index (GMPI): A new approach to generate enhanced stream sediment geochemical evidential map for increasing probability of success in mineral potential mapping. J. Geochem. Explor. 2012, 115, 24–35. [Google Scholar] [CrossRef]
- Bigdeli, A.; Maghsoudi, A.; Ghezelbash, R. Application of self-organizing map (SOM) and K-means clustering algorithms for portraying geochemical anomaly patterns in Moalleman district, NE Iran. J. Geochem. Explor. 2022, 233, 106923. [Google Scholar] [CrossRef]
- Ghezelbash, R.; Maghsoudi, A.; Carranza, E.J.M. Mapping of single-and multi-element geochemical indicators based on catchment basin analysis: Application of fractal method and unsupervised clustering models. J. Geochem. Explor. 2019, 199, 90–104. [Google Scholar] [CrossRef]
- Stanley, C.R.; Sinclair, A.J. Comparison of probability plots and the gap statistic in the selection of thresholds for exploration geochemistry data. J. Geochem. Explor. 1989, 32, 355–357. [Google Scholar] [CrossRef]
- Luz, F.; Mateus, A.; Matos, J.X.; Goncalves, M.A. Cu-and Zn-soil anomalies in the NE border of the South Portuguese Zone (Iberian Variscides, Portugal) identified by multifractal and geostatistical analyses. Nat. Resour. Res. 2014, 23, 195–215. [Google Scholar] [CrossRef]
- Cheng, Q. Mapping singularities with stream sediment geochemical data for prediction of undiscovered mineral deposits in Gejiu, Yunnan Province, China. Ore Geol. Rev. 2007, 32, 314–324. [Google Scholar] [CrossRef]
- Carranza, E.J.M. Analysis and mapping of geochemical anomalies using logratio-transformed stream sediment data with censored values. J. Geochem. Explor. 2011, 110, 167–185. [Google Scholar] [CrossRef]
- Cheng, Q.; Xu, Y.; Grunsky, E. Integrated spatial and spectral analysis for geochemical anomaly separation. In Proceedings of the Fifth Annual Conference of the International Association for Mathematical Geology, Trondheim, Norway, 6–11 August 1999. [Google Scholar]
- Zuo, R.; Cheng, Q.; Agterberg, F.P.; Xia, Q. Application of singularity mapping technique to identify local anomalies using stream sediment geochemical data, a case study from Gangdese, Tibet, western China. J. Geochem. Explor. 2009, 101, 225–235. [Google Scholar] [CrossRef]
- Ghezelbash, R.; Maghsoudi, A.; Daviran, M. Combination of multifractal geostatistical interpolation and spectrum–area (S–A) fractal model for Cu–Au geochemical prospects in Feizabad district, NE Iran. Arab. J. Geosci. 2019, 12, 152. [Google Scholar] [CrossRef]
- Liu, Y.; Cheng, Q.; Zhou, K. New insights into element distribution patterns in geochemistry: A perspective from fractal density. Nat. Resour. Res. 2019, 28, 5–29. [Google Scholar] [CrossRef]
- Cheng, Q.; Harris, J. GIS-based multifractal anomaly analysis for prediction of mineralization and mineral deposits. In GIS Applications in Earth Sciences, Geological Association of Canada Special Paper; Geological Association of Canada: St. John’s, NL, Canada, 2006; pp. 289–300. [Google Scholar]
- Yu, C. Complexity of earth systems—Fundamental issues of earth sciences (I). J. China Univ. Geosci. 2002, 27, 509–519. [Google Scholar]
- Cox, S.; Etheridge, M.; Wall, V. The role of fluids in syntectonic mass transport, and the localization of metamorphic vein-type ore deposists. Ore Geol. Rev. 1987, 2, 65–86. [Google Scholar] [CrossRef]
- Carranza, E.J.M.; Laborte, A.G. Data-driven predictive modeling of mineral prospectivity using random forests: A case study in Catanduanes Island (Philippines). Nat. Resour. Res. 2016, 25, 35–50. [Google Scholar] [CrossRef]
- Yousefi, M.; Kreuzer, O.P.; Nykänen, V.; Hronsky, J.M. Exploration information systems—A proposal for the future use of GIS in mineral exploration targeting. Ore Geol. Rev. 2019, 111, 103005. [Google Scholar] [CrossRef]
- Daviran, M.; Maghsoudi, A.; Ghezelbash, R.; Pradhan, B. A new strategy for spatial predictive mapping of mineral prospectivity: Automated hyperparameter tuning of random forest approach. Comput. Geosci. 2021, 148, 104688. [Google Scholar] [CrossRef]
- Yousefi, M.; Carranza, E.J.M.; Kreuzer, O.P.; Nykänen, V.; Hronsky, J.M.; Mihalasky, M.J. Data analysis methods for prospectivity modelling as applied to mineral exploration targeting: State-of-the-art and outlook. J. Geochem. Explor. 2021, 229, 106839. [Google Scholar] [CrossRef]
- Kotsiantis, S.B.; Zaharakis, I.; Pintelas, P. Supervised machine learning: A review of classification techniques. Emerg. Artif. Intell. Appl. Comput. Eng. 2007, 160, 3–24. [Google Scholar]
- Ghezelbash, R.; Maghsoudi, A.; Carranza, E.J.M. Optimization of geochemical anomaly detection using a novel genetic K-means clustering (GKMC) algorithm. Comput. Geosci. 2020, 134, 104335. [Google Scholar] [CrossRef]
- Daviran, M.; Maghsoudi, A.; Cohen, D.R.; Ghezelbash, R.; Yilmaz, H. Assessment of various fuzzy c-mean clustering validation indices for mapping mineral prospectivity: Combination of multifractal geochemical model and mineralization processes. Nat. Resour. Res. 2020, 29, 229–246. [Google Scholar] [CrossRef]
- Ford, A. Practical implementation of random forest-based mineral potential mapping for porphyry Cu–Au mineralization in the Eastern Lachlan Orogen, NSW, Australia. Nat. Resour. Res. 2020, 29, 267–283. [Google Scholar] [CrossRef]
- Zhao, J.; Chen, S.; Zuo, R. Identifying geochemical anomalies associated with Au–Cu mineralization using multifractal and artificial neural network models in the Ningqiang district, Shaanxi, China. J. Geochem. Explor. 2016, 164, 54–64. [Google Scholar] [CrossRef]
- Zuo, R.; Xiong, Y.; Wang, J.; Carranza, E.J.M. Deep learning and its application in geochemical mapping. Earth-Sci. Rev. 2019, 192, 1–14. [Google Scholar] [CrossRef]
- Ghezelbash, R.; Maghsoudi, A.; Bigdeli, A.; Carranza, E.J.M. Regional-scale mineral prospectivity mapping: Support vector machines and an improved data-driven multi-criteria decision-making technique. Nat. Resour. Res. 2021, 30, 1977–2005. [Google Scholar] [CrossRef]
- Wang, Z.; Zuo, R.; Dong, Y. Mapping geochemical anomalies through integrating random forest and metric learning methods. Nat. Resour. Res. 2019, 28, 1285–1298. [Google Scholar] [CrossRef]
- Gonbadi, A.M.; Tabatabaei, S.H.; Carranza, E.J.M. Supervised geochemical anomaly detection by pattern recognition. J. Geochem. Explor. 2015, 157, 81–91. [Google Scholar] [CrossRef]
- Eshraghi, S.A.; Jalali, A. Geological Map of Moalleman; Geological Survey of Iran: Tehran, Iran, 2006. [Google Scholar]
- TaleFazel, E.; Mehrabi, B.; GhasemiSiani, M. Epithermal systems of the Torud–Chah Shirin district, northern Iran: Ore-fluid evolution and geodynamic setting. Ore Geol. Rev. 2019, 109, 253–275. [Google Scholar] [CrossRef]
- Niroomand, S.; Lentz, D.R.; Sepidbar, F.; Tajeddin, H.A.; Hassanzadeh, J.; Mirnejad, H. Geochemical characteristics of igneous rocks associated with Baghu gold deposit in the Neotethyan Torud-Chah Shirin segment, Northern Iran. Geol. J. 2020, 55, 299–316. [Google Scholar] [CrossRef]
- Hushmandzadeh, A.R.; Naini, M.A.; Haghipour, A.A. Evolution of geological phenomenon in Torud area. In Geological Survey of Iran; Geological Survey of Iran: Tehran, Iran, 1978; p. 136. [Google Scholar]
- Rashid Nezhad Omran, N. Investigation of Lithological and Magmatic Developments and Its Relationship with Baghu Gold Mineralization. Master’s Thesis, Tarbiat Moalem University, Tehran, Iran, 1991. [Google Scholar]
- Fard, M.; Rastad, E.; Ghaderi, M. Epithermal gold and base metal mineralization at Gandy deposit, north of Central Iran and the role of rhyolitic intrusions. J. Sci. Islam. Repub. Iran 2006, 7, 327–335. [Google Scholar]
- Mehrabi, B.; Ghasemi, S.; Tale, F. Structural control on epithermal mineralization in the Troud-Chah Shirin belt using point pattern and Fry analyses, north of Iran. Geotectonics 2015, 49, 320–331. [Google Scholar] [CrossRef]
- Shamanian, G.H.; Hedenquist, J.W.; Hattori, K.H.; Hassanzadeh, J. The Gandy and Abolhassani epithermal prospects in the Alborz magmatic arc, Semnan province, Northern Iran. Econ. Geol. 2004, 99, 691–712. [Google Scholar] [CrossRef]
- Akerdi, M.M.; Shafaroudi, A.M.; Karimpour, M.H.; Rahimi, B.; Santos, J.F. Evidence of iron oxide-copper–gold mineralization in the Torud-Chahshirin Magmatic Belt, northern Iran: Insight from the Robaie area. Ore Geol. Rev. 2021, 129, 103937. [Google Scholar] [CrossRef]
- Shuguang, Z.; Kefa, Z.; Yao, C.; Jinlin, W.; Jianli, D. Exploratory data analysis and singularity mapping in geochemical anomaly identification in Karamay, Xinjiang, China. J. Geochem. Explor. 2015, 154, 171–179. [Google Scholar] [CrossRef]
- Liu, Y.; Zhou, K.; Cheng, Q. A new method for geochemical anomaly separation based on the distribution patterns of singularity indices. Comput. Geosci. 2017, 105, 139–147. [Google Scholar] [CrossRef]
- Ersoy, A.; Yunsel, T.Y. Geochemical modelling and mapping of Cu and Fe anomalies in soil using combining sequential Gaussian co-simulation and local singularity analysis: A case study from Dedeyazı (Malatya) region, SE Turkey. Geochem. Explor. Environ. Anal. 2019, 19, 331–342. [Google Scholar] [CrossRef]
- Tan, Q.P.; Wang, X.; Xia, Y.; Liu, Q.; Zhou, J. Identifying ore-related anomalies using singularity mapping of stream sediment geochemical data, a case study of Pb mineralization in the Qinling region, China. Geochem. Explor. Environ. Anal. 2018, 18, 177–184. [Google Scholar] [CrossRef]
- Breiman, L. Random forests. Mach. Learn. 2001, 45, 5–32. [Google Scholar] [CrossRef]
- Efron, B. Bootstrap methods: Another look at the jackknife. In Breakthroughs in Statistics: Methodology and Distribution; Springer: Berlin/Heidelberg, Germany, 1992; pp. 569–593. [Google Scholar]
- Zhang, S.; Xiao, K.; Carranza, E.J.M.; Yang, F. Maximum entropy and random forest modeling of mineral potential: Analysis of gold prospectivity in the Hezuo–Meiwu district, west Qinling Orogen, China. Nat. Resour. Res. 2019, 28, 645–664. [Google Scholar] [CrossRef]
- Liaw, A.; Wiener, M. Classification and regression by randomforest. R News 2002, 2, 18–22. [Google Scholar]
- Ghezelbash, R.; Maghsoudi, A.; Carranza, E.J.M. Sensitivity analysis of prospectivity modeling to evidence maps: Enhancing success of targeting for epithermal gold, Takab district, NW Iran. Ore Geol. Rev. 2020, 120, 103394. [Google Scholar] [CrossRef]
- Carranza, E.J.M. Controls on mineral deposit occurrence inferred from analysis of their spatial pattern and spatial association with geological features. Ore Geol. Rev. 2009, 35, 383–400. [Google Scholar] [CrossRef]
- Bonham-Carter, G.F. Geographic information systems for geoscientists-modeling with GIS. Comput. Methods Geosci. 1994, 13, 398. [Google Scholar]
- Carranza, E.J.M.; Laborte, A.G. Data-driven predictive mapping of gold prospectivity, Baguio district, Philippines: Application of Random Forests algorithm. Ore Geol. Rev. 2015, 71, 777–787. [Google Scholar] [CrossRef]
- Zhao, J.; Wang, W.; Cheng, Q.; Agterberg, F. Mapping of Fe mineral potential by spatially weighted principal component analysis in the eastern Tianshan mineral district, China. J. Geochem. Explor. 2016, 164, 107–121. [Google Scholar] [CrossRef]
- Reimann, C.; Filzmoser, P.; Garrett, R.G. Factor analysis applied to regional geochemical data: Problems and possibilities. Appl. Geochem. 2002, 17, 185–206. [Google Scholar] [CrossRef]
- Filzmoser, P.; Hron, K.; Reimann, C. Principal component analysis for compositional data with outliers. Environmetrics Off. J. Int. Environmetrics Soc. 2009, 20, 621–632. [Google Scholar] [CrossRef]
- Aitchison, J.; Barceló-Vidal, C.; Martín-Fernández, J.A.; Pawlowsky-Glahn, V. Logratio analysis and compositional distance. Math. Geol. 2000, 32, 271–275. [Google Scholar] [CrossRef]
- Wang, H.; Zuo, R. A comparative study of trend surface analysis and spectrum–area multifractal model to identify geochemical anomalies. J. Geochem. Explor. 2015, 155, 84–90. [Google Scholar] [CrossRef]
- Zuo, R. Identifying geochemical anomalies associated with Cu and Pb–Zn skarn mineralization using principal component analysis and spectrum–area fractal modeling in the Gangdese Belt, Tibet (China). J. Geochem. Explor. 2011, 111, 13–22. [Google Scholar] [CrossRef]
- Xiao, F.; Chen, J.; Zhang, Z.; Wang, C.; Wu, G.; Agterberg, F.P. Singularity mapping and spatially weighted principal component analysis to identify geochemical anomalies associated with Ag and Pb-Zn polymetallic mineralization in Northwest Zhejiang, China. J. Geochem. Explor. 2012, 122, 90–100. [Google Scholar] [CrossRef]
- Buccianti, A.; Grunsky, E. Compositional Data Analysis in Geochemistry: Are We Sure to See What Really Occurs during Natural Processes? Elsevier: Amsterdam, The Netherlands, 2014; pp. 1–5. [Google Scholar]
- Carranza, E.J.M.; Hale, M. A catchment basin approach to the analysis of reconnaissance geochemical-geological data from Albay Province, Philippines. J. Geochem. Explor. 1997, 60, 157–171. [Google Scholar] [CrossRef]
- Bai, J.; Porwal, A.; Hart, C.; Ford, A.; Yu, L. Mapping geochemical singularity using multifractal analysis: Application to anomaly definition on stream sediments data from Funin Sheet, Yunnan, China. J. Geochem. Explor. 2010, 104, 1–11. [Google Scholar] [CrossRef]
- Zuo, R. Exploring the effects of cell size in geochemical mapping. J. Geochem. Explor. 2012, 112, 357–367. [Google Scholar] [CrossRef]
- Wyborn, L.; Heinrich, C.; Jaques, A. Australian Proterozoic mineral systems: Essential ingredients and mappable criteria. In Proceedings of the AusIMM Annual Conference, Darwin, Australia, 5–9 August 1994; AusIMM Darwin: Darwin, Australia, 1994. [Google Scholar]
- Carranza, E.J.M.; Sadeghi, M. Predictive mapping of prospectivity and quantitative estimation of undiscovered VMS deposits in Skellefte district (Sweden). Ore Geol. Rev. 2010, 38, 219–241. [Google Scholar] [CrossRef]
- Yousefi, M.; Hronsky, J.M. Translation of the function of hydrothermal mineralization-related focused fluid flux into a mappable exploration criterion for mineral exploration targeting. Appl. Geochem. 2023, 149, 105561. [Google Scholar] [CrossRef]
- Kreuzer, O.P.; Blenkinsop, T.G.; Morrison, R.J.; Peters, S.G. Ore controls in the Charters Towers goldfield, NE Australia: Constraints from geological, geophysical and numerical analyses. Ore Geol. Rev. 2007, 32, 37–80. [Google Scholar] [CrossRef]
- Pirajno, F. Intracontinental strike-slip faults, associated magmatism, mineral systems and mantle dynamics: Examples from NW China and Altay-Sayan (Siberia). J. Geodyn. 2010, 50, 325–346. [Google Scholar] [CrossRef]
- Xiao, F.; Chen, J.; Agterberg, F.; Wang, C. Element behavior analysis and its implications for geochemical anomaly identification: A case study for porphyry Cu–Mo deposits in Eastern Tianshan, China. J. Geochem. Explor. 2014, 145, 1–11. [Google Scholar] [CrossRef]












| As | Au | Cu | Pb | Sb | Zn | |
|---|---|---|---|---|---|---|
| N. of samples, valid | 1625 | 1625 | 1625 | 1625 | 1625 | 1625 |
| Maximum | 85.4 | 604 | 1353 | 6637 | 24 | 5171 |
| Minimum | 4.3 | 0.3 | 10.71 | 8.86 | 0.21 | 36.63 |
| Std. deviation | 6.19 | 19.18 | 51.6 | 249.87 | 1.18 | 198.76 |
| Skewness | 4.6 | 25.98 | 15.37 | 18.83 | 10.9 | 18.25 |
| Kurtosis | 36.67 | 737.44 | 327.22 | 412.11 | 162.79 | 377.74 |
| RF via Singularity Values | |
|---|---|
| OBB error | 1.15% |
| Model accuracy | 98.85% |
| Error for the classification of deposit sites | 1.13% |
| Error for the classification of non-deposit sites | 3.03% |
Disclaimer/Publisher’s Note: The statements, opinions and data contained in all publications are solely those of the individual author(s) and contributor(s) and not of MDPI and/or the editor(s). MDPI and/or the editor(s) disclaim responsibility for any injury to people or property resulting from any ideas, methods, instructions or products referred to in the content. |
© 2023 by the authors. Licensee MDPI, Basel, Switzerland. This article is an open access article distributed under the terms and conditions of the Creative Commons Attribution (CC BY) license (https://creativecommons.org/licenses/by/4.0/).
Share and Cite
Bigdeli, A.; Maghsoudi, A.; Ghezelbash, R. Recognizing Geochemical Anomalies Associated with Mineral Resources Using Singularity Analysis and Random Forest Models in the Torud-Chahshirin Belt, Northeast Iran. Minerals 2023, 13, 1399. https://doi.org/10.3390/min13111399
Bigdeli A, Maghsoudi A, Ghezelbash R. Recognizing Geochemical Anomalies Associated with Mineral Resources Using Singularity Analysis and Random Forest Models in the Torud-Chahshirin Belt, Northeast Iran. Minerals. 2023; 13(11):1399. https://doi.org/10.3390/min13111399
Chicago/Turabian StyleBigdeli, Amirreza, Abbas Maghsoudi, and Reza Ghezelbash. 2023. "Recognizing Geochemical Anomalies Associated with Mineral Resources Using Singularity Analysis and Random Forest Models in the Torud-Chahshirin Belt, Northeast Iran" Minerals 13, no. 11: 1399. https://doi.org/10.3390/min13111399
APA StyleBigdeli, A., Maghsoudi, A., & Ghezelbash, R. (2023). Recognizing Geochemical Anomalies Associated with Mineral Resources Using Singularity Analysis and Random Forest Models in the Torud-Chahshirin Belt, Northeast Iran. Minerals, 13(11), 1399. https://doi.org/10.3390/min13111399
