Pore Structure and Geochemical Characteristics of Alkaline Lacustrine Shale: The Fengcheng Formation of Mahu Sag, Junggar Basin
Abstract
:1. Introduction
2. Geological Setting
3. Samples and Methods
3.1. Geochemical and Mineral Analysis
3.2. Field-Emission Scanning Electron Microscopy (FE-SEM)
3.3. Low-Temperature Gas Adsorption (LTGA)
3.4. Mercury Injection Capillary Pressure (MICP)
3.5. X-ray Computed Tomography (CT) Scanning
4. Results
4.1. Organic Geochemistry
4.1.1. Organic Matter Abundance
4.1.2. Organic Matter Type
4.1.3. Thermal Maturity
4.2. Mineral Composition
4.3. Pore Types
4.3.1. Intra-P
4.3.2. Inter-P
4.3.3. OM Pores
4.3.4. Fractures
4.4. Pore Structure Characteristics
4.4.1. MICP
4.4.2. Low-Temperature CO2 Adsorption (LTCO2A)
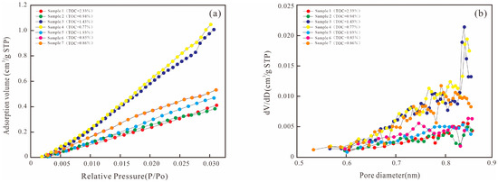
4.4.3. Low-Temperature Nitrogen Adsorption (LTN2A)
4.4.4. Full-Scale Pore Size Distribution
4.5. Pore Connectivity
5. Discussion
5.1. Pore Networks of Alkaline Lacustrine Shales
5.2. Influence of Different Factors on Shale Pore Development
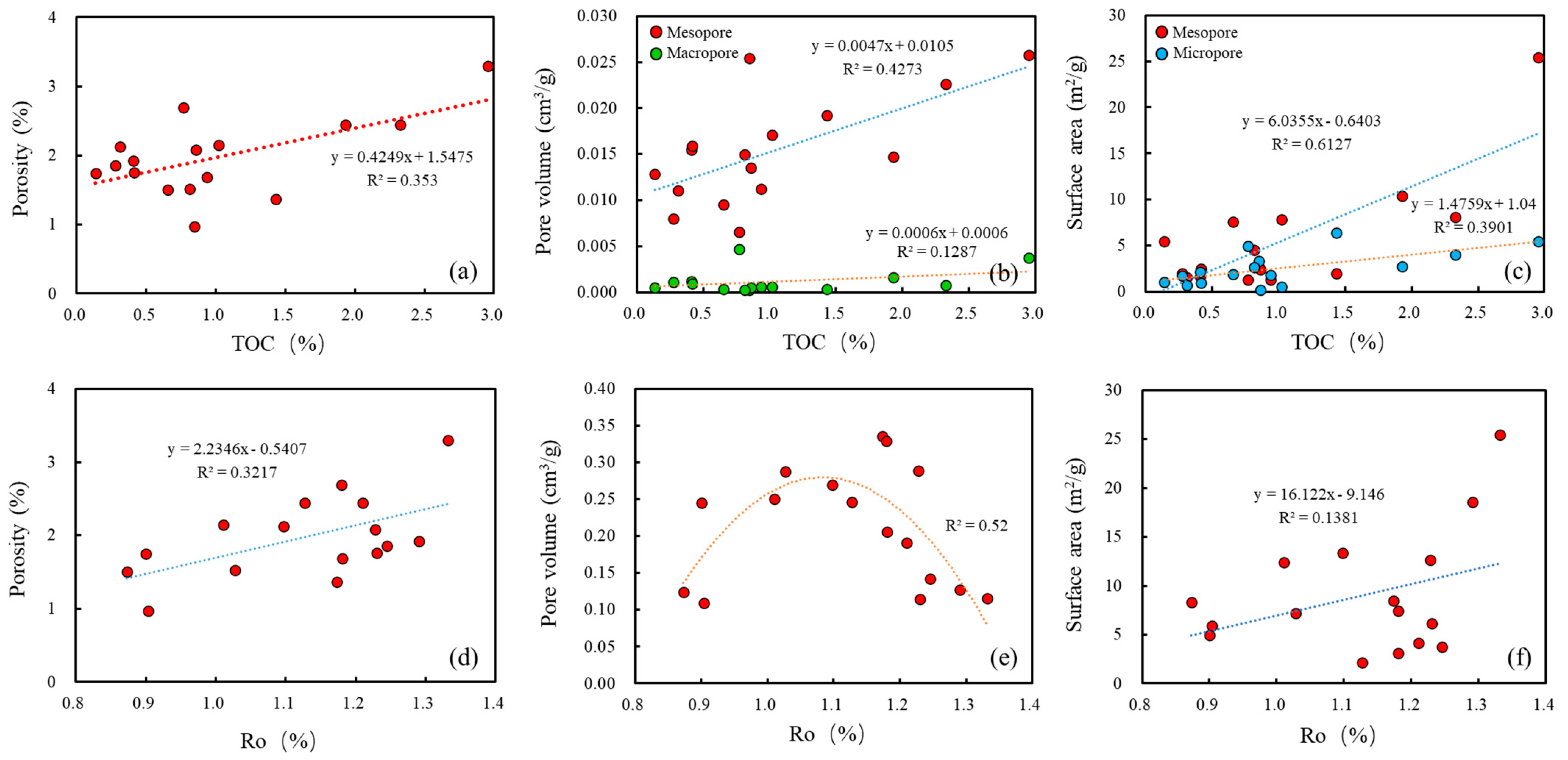
5.2.1. Influence of OM on Pore Development
5.2.2. Influence of Mineral Composition on Shale Pore Development
5.3. Implications for Shale Oil Exploration and Development
6. Conclusions
- (1)
- The alkaline lacustrine shale of FF presents a complex mineral composition, which primarily consists of quartz, feldspar, dolomite, calcite, pyrite, etc.; however, the content of clay minerals is extremely low. Shale organic matter content is moderate, and the organic matter type is dominated by Type II kerogen, which is currently at the peak of oil generation, with greater hydrocarbon potential. It has great potential for shale oil exploration and development.
- (2)
- Four pore types, i.e., inter-P, intra-P, OM pores, and fractures, were observed in the shale of FF, but inter-P and intra-P were the most developed. The pore space is contributed predominantly by micropores of 0.5–1.2 nm and mesopores of 10–50 nm, and macropores are underdeveloped. The pore shapes are mostly ink bottle- and slit-shaped, and the pore connectivity is relatively poor. The pore network is composed of large pores and their connected throats in the shale, and the small pores predominantly present as isolated pores.
- (3)
- The pore development of shale in the FF is influenced by organic matter abundance, thermal maturity, mineral composition, etc. Organic matter content, thermal maturity, and carbonate minerals have a positive effect on pore development, and the PV increases with TOC, Ro, and carbonate minerals. While clay minerals show a negative effect, the PV decreases with clay minerals.
Author Contributions
Funding
Data Availability Statement
Acknowledgments
Conflicts of Interest
References
- Zou, C.N.; Yang, Z.; Cui, J.W.; Zhu, R.K.; Hou, L.H.; Tao, S.Z.; Yuan, X.J.; Wu, S.T.; Lin, S.H.; Wang, L.; et al. Formation mechanism, geological characteristics and development strategy of nonmarine shale oil in China. Petrol. Explor. Dev. 2013, 2013. 40, 15–27. [Google Scholar] [CrossRef]
- Kokkinos, N.C.; Nkagbu, D.C.; Marmanis, D.I.; Dermentzis, K.I.; Maliaris, G. Evolution of Unconventional Hydrocarbons: Past, Present, Future and Environmental FootPrint. J. Eng. Sci. Technol. Rev. 2022, 15, 15–24. [Google Scholar] [CrossRef]
- Jarvie, D.M. Shale resource systems for oil and gas: Part 2—Shale-oil resource systems. In Shale Reservoirs-Giant Resources for the 21st Century; Breyer, J.A., Ed.; AAPG Memoir: Tulsa, OK, USA, 2012; Volume 97, pp. 89–119. [Google Scholar]
- Shi, K.Y.; Chen, J.Q.; Pang, X.Q.; Jiang, F.J.; Hui, S.S.; Zhang, S.J.; Pang, H.; Wang, Y.Y.; Chen, D.; Yang, X.B.; et al. Average molecular structure model of shale kerogen: Experimental characterization, structural reconstruction, and pyrolysis analysis. Fuel. 2024, 355, 129474. [Google Scholar] [CrossRef]
- Zou, C.N.; Pan, S.Q.; Jing, Z.H.; Gao, J.L.; Yang, Z.; Wu, S.; Zhao, Q. Shale oil and gas revolution and its implications. Acta Pet. Sin. 2020, 41, 1–12. [Google Scholar]
- Wu, Y.P.; Liu, C.L.; Jiang, F.J.; Hu, T.; Lv, J.H.; Zhang, C.X.; Guo, X.G.; Huang, L.L.; Hu, M.L.; Huang, R.D.; et al. Geological characteristics and shale oil potential of alkaline lacustrine source rock in Fengcheng Formation of the Mahu Sag, Junggar Basin, Western China. J. Pet. Sci. Eng. 2022, 216, 110823. [Google Scholar] [CrossRef]
- Zhao, W.Z.; Hu, S.Y.; Hou, L.H.; Yang, T.; Li, X.; Guo, B.C.; Yang, Z. Types, resource potential and boundary with tight oil in Chinese continental shale oil. Pet. Explor. Dev. 2020, 47, 1–10. [Google Scholar] [CrossRef]
- Du, J.H.; Hu, S.Y.; Pang, Z.L.; Lin, S.H.; Hou, L.H.; Zhu, R.K. Types, potentials, and prospects of continental shale oil in China. China Oil Explor. 2019, 24, 560–568. [Google Scholar]
- Liu, B.; Wang, H.L.; Fu, X.F.; Bai, Y.F.; Bai, L.H.; Jia, M.C.; He, B. Lithofacies and depositional setting of a highly prospective lacustrine shale oil succession from the Upper Cretaceous Qingshankou Formation in the Gulong sag, northern Songliao Basin, northeast China. AAPG Bull. 2019, 103, 405–432. [Google Scholar] [CrossRef]
- Chen, D.; Pang, X.Q.; Jiang, F.J.; Liu, G.Y.; Pan, Z.H.; Liu, Y. Shale oil potential and mobility of low-maturity lacustrine shales: Implications from NMR analysis in the Bohai bay basin. Energy Fuels 2021, 35, 2209–2223. [Google Scholar] [CrossRef]
- Wang, X.N.; Li, J.R.; Jiang, W.Q.; Zhang, H.; Feng, Y.L.; Yang, Z. Characteristics, current exploration practices, and prospects of continental shale oil in China. Adv. Geo-Energy Res. 2022, 6, 454–459. [Google Scholar] [CrossRef]
- Zou, C.N.; Dong, D.Z.; Wang, S.J.; Li, J.Z.; Li, X.J.; Wang, Y.M.; Li, D.H.; Chen, K.M. Mechanism, geological characteristics and resource potential of shale gas in China. Pet. Explor. Dev. 2010, 37, 641–653. [Google Scholar] [CrossRef]
- Ross, D.J.K.; Bustin, R.M. Characterizing the shale gas resource potential of Devonian-Mississippian strata in the Western Canada sedimentary basin: Application of an integrated formation evaluation. AAPG Bull. 2008, 92, 87–125. [Google Scholar] [CrossRef]
- Gao, Z.Y.; Fan, Y.P.; Xuan, Q.X.; Zheng, G.W. A review of shale pore structure evolution characteristics with increasing thermal maturities. Adv. Geo-Energy Res. 2020, 4, 247–259. [Google Scholar]
- Gao, Z.Y.; Xuan, Q.X.; Hu, Q.H.; Jiang, Z.X.; Liu, X.X. Pore structure evolution characteristics of continental shale in China as indicated from thermal simulation experiments. AAPG Bull. 2021, 105, 2159–2180. [Google Scholar] [CrossRef]
- Lai, J.; Wang, G.W.; Wang, Z.Y.; Chen, J.; Pang, X.J.; Wang, S.C.; Zhou, Z.L.; He, Z.B.; Qin, Z.Q.; Fan, X.Q. A review on pore structure characterization in tight sandstones. Earth Sci. Rev. 2018, 177, 436–457. [Google Scholar] [CrossRef]
- Jiang, F.J.; Huo, L.N.; Chen, D.; Cao, L.; Zhao, R.J.; Li, Y.; Guo, T. The controlling factors and prediction model of pore structure in global shale sediments based on random forest machine learning. Earth Sci. Rev. 2023, 241, 104442. [Google Scholar] [CrossRef]
- Zou, C.N.; Zhu, R.K.; Wu, S.T.; Yang, Z.; Tao, S.Z.; Yuan, X.J.; Hou, L.H.; Yang, H.; Xu, C.C.; Li, D.H.; et al. Types, characteristics, genesis and prospects of conventional and unconventional hydrocarbon accumulations: Taking tight oil and tight gas in China as an instance. Acta Pet. Sin. 2012, 33, 173–187. [Google Scholar]
- Li, J.J.; Yin, J.X.; Zhang, Y.N.; Lu, S.F.; Wang, W.M.; Li, J.B.; Chen, F.W.; Meng, Y.L. A comparison of experimental methods for describing shale pore features-A case study in the Bohai Bay Basin of eastern China. Int. J. Coal Geol. 2015, 152, 39–49. [Google Scholar] [CrossRef]
- Chen, Y.F.; Jiang, C.B.; Leung, J.Y.; Wojtanowicz, A.K.; Zhang, D.M. Multiscale characterization of shale pore-fracture system: Geological controls on gas transport and pore size classification in shale reservoirs. J. Pet. Sci. Eng. 2021, 202, 108442. [Google Scholar] [CrossRef]
- Lawal, L.O.; Adebayo, A.R.; Mahmoud, M.; Dia, B.; Sultan, A.S. A novel NMR surface relaxivity measurements on rock cuttings for conventional and unconventional reservoirs. Int. J. Coal Geol. 2020, 231, 103605. [Google Scholar] [CrossRef]
- Hu, T.; Pang, X.Q.; Yu, S.; Wang, X.L.; Pang, H.; Guo, J.G.; Jiang, F.J.; Shen, W.B.; Wang, Q.F.; Xu, J. Hydrocarbon generation and expulsion characteristics of Lower Permian P1f source rocks in the Fengcheng area, northwest margin, Junggar Basin, NW China: Implications for tight oil accumulation potential assessment. Geol. J. 2016, 51, 880–900. [Google Scholar] [CrossRef]
- Lei, D.W.; Chen, G.Q.; Liu, H.L.; Li, X.; Abilimit; Tao, K.Y.; Cao, J. Research on the formation conditions and exploration direction of the large oil(gas) zones in the Mahu Sag of Junggar Basin. Acta Geol. Sin. 2017, 91, 1604–1619. [Google Scholar]
- Li, G.X.; Qin, J.H.; Xian, C.G.; Fan, X.B.; Zhang, J.; Ding, Y. Theoretical understanding, key technology, and practice of high-efficient development of tight conglomerate oilfields—The case of Mahu oilfield in Junggar Basin. Pet. Explor. Dev. 2020, 47, 1185–1197. [Google Scholar] [CrossRef]
- Zhi, D.M.; Tang, Y.; He, W.J.; Guo, X.G.; Zheng, M.L.; Huang, L.L. Orderly coexistence and accumulation models of conventional and unconventional hydrocarbons in Lower Permian Fengcheng Formation, Mahu sag, Junggar Basin. Pet. Explor. Dev. 2021, 48, 38–51. [Google Scholar] [CrossRef]
- Song, Y.; Yang, Z.F.; He, W.J.; Gan, R.Z.; Zhang, R.; Huang, L.L.; Xu, P.; Zhao, X.M.; Chen, Z.X. Exploration progress of alkaline lake type shale oil of the Permian Fengcheng Formation in Mahu Sag, Junggar Basin. China Oil Explor. 2022, 27, 60–72. [Google Scholar]
- Tang, Y.; He, W.J.; Bai, Y.N.; Zhang, X.; Zhao, J.Z.; Yang, S.; Wu, H.Y.; Zou, Y.; Wu, W.T. Source rock evaluation and hydrocarbon generation model of a Permian alkaline lakes—A case study of the Fengcheng Formation in the Mahu Sag, Junggar Basin. Minerals 2021, 11, 644. [Google Scholar] [CrossRef]
- Zhang, Z.J.; He, D.F.; Wu, X.X.; Shi, X.; Luo, J.N.; Wang, B.Y.; Yang, G.; Guan, S.W.; Zhao, X. Formation and Evolution of Multicycle Superimposed Basins in Junggar Basin. China Pet. Explor. 2006, 1, 47–58. [Google Scholar]
- Zhang, Y.J.; Cao, J.; Hu, W.X. Timing of petroleum accumulation and the division of reservoir-forming assemblages, Junggar Basin, NW China. Pet. Explor. Dev. 2010, 37, 257–262. [Google Scholar]
- Wang, X.J.; Song, Y.; Zheng, M.L.; Ren, H.J.; Wu, H.S.; He, W.J.; Wang, T.; Wang, X.X.; Zhao, C.Y.; Guo, J.C. Composite petroleum system and multi-stage hydrocarbon accumulation in Junggar Basin. China Pet. Explor. 2021, 26, 29–43. [Google Scholar]
- He, D.F.; Zhang, L.; Wu, S.T.; Li, T.; Zhen, Y. Tectonic evolution stages and features of the Junggar Basin. Oil Gas Geol. 2018, 39, 845–861. [Google Scholar]
- Chen, Y.Q.; Wang, W.F. Structural evolution and pool-forming in Junggar Basin. J. China Univ. Pet. (Ed. Nat. Sci.) 2004, 3, 4–8. [Google Scholar]
- Feng, C.; Li, T.; He, W.J.; Zheng, M.L. Organic geochemical traits and paleo-depositional conditions of source rocks from the Carboniferous to Permian sediments of the Northern Mahu Sag, Junggar Basin, China. J. Pet. Sci. Eng. 2020, 191, 107–117. [Google Scholar] [CrossRef]
- Cao, J.; Lei, D.W.; Li, Y.W.; Tang, Y.; Abulimit; Chang, Q.S.; Wang, T.T. Ancient high-quality alkaline lacustrine source rocks discovered in the Lower Permian Fengcheng Formation, Junggar Basin. Acta Pet. Sin. 2015, 36, 781–790. [Google Scholar]
- Chalmers, G.R.L.; Bustin, R.M. Lower Cretaceous gas shales in Northeastern British Columbia, part I: Geological controls on methane sorption capacity. Bull. Can. Pet. Geol. 2008, 56, 1–21. [Google Scholar] [CrossRef]
- Brunauer, S.; Emmet, P.H.; Teller, E. Adsorption of gases in multimolecular layers. J. Am. Chem. Soc. 1938, 60, 309–319. [Google Scholar] [CrossRef]
- Barrett, E.P.; Johner, L.S.; Halenda, P.P. The determination of pore volume and area distribution in porous substances. I. Computations from nitrogen isotherms. J. Am. Chem. Soc. 1951, 73, 373–380. [Google Scholar] [CrossRef]
- Neimark, A.V.; Lin, Y.; RaviKovich, P.I.; Thommes, M. Quenched solid density functional theory and pore size analysis of micro-mesoporous carbons. Caroon 2009, 47, 1617–1628. [Google Scholar] [CrossRef]
- IUPAC (International Union of Pure and Applied Chemistry). Physical Chemistry Division Commission on Colloid and Surface Chemistry, Subcommittee on Characterization of Porous Solids. Recommendations for the characterization of porous solids (Technical Report). Pure Appl. Chem. 1994, 66, 1739–1758. [Google Scholar]
- Bustin, R.M.; Bustin, A.M.M.; Cui, X.; Ross, D.J.K.; Pathi, V.S.M. Impact of shale properties on pore structure and storage characteristics. In Proceedings of the SPE Shale Gas Production Conference, Fort Worth, TX, USA, 16–18 November 2008; SPE: Richardson, TX, USA, 2008; p. 119892. [Google Scholar]
- Clarkson, C.R.; Solano, N.; Bustin, R.M.; Bustin, A.M.M.; Chalmers, G.R.L.; He, L.; Melnichenko, Y.B.; Radli’nski, A.P.; Blach, T.P. Pore structure characterization of North American shale gas reservoirs using USANS/SANS, gas adsorption, and mercury intrusion. Fuel 2013, 103, 606–616. [Google Scholar] [CrossRef]
- Dorsch, J. Determination of Effective Porosity of Mudrocks: A Feasibility Study; Oak Ridge National Lab: Oak Ridge, TN, USA, 1995. [Google Scholar]
- Wang, Y.; Zhu, Y.M.; Wang, H.Y.; Feng, G.J. Nanoscale pore morphology and distribution of lacustrine shale reservoirs: Examples from the Upper Triassic Yanchang Formation. Ordos Basin. J. Energy Chem. 2015, 24, 512–519. [Google Scholar] [CrossRef]
- Mastalerz, M.; Schimmelmann, A.; Drobniak, A.; Chen, Y. Porosity of Devonian and Mississippian New Albany Shale across a maturation gradient: Insights from organic petrology, gas adsorption, and mercury intrusion. AAPG Bull. 2013, 97, 1621–1643. [Google Scholar] [CrossRef]
- Zhao, R.X.; Xue, H.T.; Lu, S.F.; Li, J.Q.; Tian, S.S.; Wang, M.; Dong, Z.T. Multi-scale pore structure characterization of lacustrine shale and its coupling relationship with material composition: An integrated study of multiple experiments. Mar. Pet. Geol. 2022, 140, 105648. [Google Scholar] [CrossRef]
- Davudov, D.; Moghanloo, R.G.; Zhang, Y.X. Interplay between pore connectivity and permeability in shale sample. Int. J. Coal Geol. 2020, 220, 103427. [Google Scholar] [CrossRef]
- Jiang, X.F.; Deng, S.C.; Li, H.B.; Zuo, H. Characterization of 3D pore nanostructure and stress-dependent permeability of organic-rich shales in northern Guizhou Depression, China. J. Rock Mech. Geotech. Eng. 2022, 14, 407–422. [Google Scholar] [CrossRef]
- SY/T 5735; Geochemical Evaluation Methods of Terrestrial Source Rocks. CNPC: Petroleum and Natural Gas Industry Standards of the People's Republic of China: Beijing, China, 8 November 1995.
- Tissot, B.; Welte, D.H. Petroleum Formation and Occurrence; Springer: New York, NY, USA, 1984. [Google Scholar]
- Peters, K.; Cassa, M. Applied source rock geochemistry. In The Petroleum System from Source to Trap; Magoon, L.B., Dow, W.G., Eds.; AAPG Memoir: Tulsa, OK, USA, 1994; Volume 60, pp. 93–117. [Google Scholar]
- Langford, F.F.; Blanc-Valleron, M.M. Interpreting Rock-Eval pyrolysis data using graphs of pyrolizable hydrocarbons vs. total organic carbon (1). AAPG Bull. 1990, 74, 799–804. [Google Scholar]
- Chen, Z.; Jiang, W. Organic matter, mineral composition, pore size, and gas sorption capacity of lacustrine mudstones: Implications for the shale oil and gas exploration in the Dongying Depression, eastern China. AAPG Bull. 2018, 102, 1565–1600. [Google Scholar] [CrossRef]
- Lv, J.H.; Jiang, F.J.; Hu, T.; Zhang, C.X.; Huang, R.D.; Hu, M.L.; Xue, J.; Huang, L.L.; Wu, Y.P. Control of complex lithofacies on the shale oil potential in ancient alkaline lacustrine basins: The Fengcheng Formation, Mahu Sag, Junggar basin. Geoenergy Sci. Eng. 2023, 224, 211501. [Google Scholar] [CrossRef]
- Peters, K.E.; Walters, C.C.; Moldowan, J.M. The Biomarker Guide, 2nd ed.; Cambridge University Press: Cambridge, UK, 2005; p. 1155. [Google Scholar]
- Durand, B.; Alpern, B.; Pittion, J.L.; Pradier, B. Reflectance of vitrinite as a control of thermal history of sediments. In Thermal Modeling in Sedimentary Basins; Burrus, J., Ed.; IAEA: Vienna, Austria, 1986; pp. 441–474. [Google Scholar]
- Rippen, D.; Littke, R.; Bruns, B.; Mahlstedt, N. Organic geochemistry and petrography of Lower Cretaceous Wealden black shales of the Lower Saxony Basin: The transition from lacustrine oil shales to gas shales. Org. Geochem. 2013, 63, 18–36. [Google Scholar] [CrossRef]
- Yu, K.H.; Cao, Y.L.; Qiu, L.W.; Sun, P.P. The hydrocarbon generation potential and migration in an alkaline evaporite basin: The early Permian Fengcheng formation in the Junggar Basin, northwestern China. Mar. Petrol. Geol. 2018, 98, 12–32. [Google Scholar] [CrossRef]
- Li, W.W.; Cao, J.; Zhi, D.M.; Tang, Y.; He, W.J.; Wang, T.T.; Xia, L.X. Controls on shale oil accumulation in alkaline lacustrine settings: Late Paleozoic Fengcheng Formation, northwestern Junggar Basin. Mar. Petrol. Geol. 2021, 129, 105107. [Google Scholar] [CrossRef]
- Slatt, R.M.; O’Brien, N.R. Pore types in the Barnett and Woodford gas shales: Contribution to understanding gas storage and migration pathways in fine-grained rocks. AAPG Bull. 2011, 95, 2017–2030. [Google Scholar] [CrossRef]
- Ibad, S.M.; Padmanabhan, E. Lithofacies, mineralogy, and pore types in Paleozoic gas shales from Western Peninsular Malaysia. J. Pet. Sci. Eng. 2022, 212, 110239. [Google Scholar] [CrossRef]
- Dow, W.G. Kerogen studies and geological interpretations. J. Geochem. Explor. 1977, 7, 79–99. [Google Scholar] [CrossRef]
- Milliken, K.L.; Rudnicki, M.; Awwiller, D.N.; Zhang, T. Organic matter-hosted pore system, Marcellus Formation (Devonian), Pennsylvania. AAPG Bull. 2013, 97, 177–200. [Google Scholar] [CrossRef]
- Curtis, M.E. Structural characterization of gas shales on the micro- and nano-scales. In Proceedings of the Canadian Unconventional Resources and International Petroleum Conference, Calgary, AB, Canada, 19–21 October 2010; SPE: Richardson, TX, USA, 2010; p. 137693. [Google Scholar]
- Li, Y.J.; Song, L.H.; Tang, Y.J.; Zuo, J.P.; Xue, D.J. Evaluating the mechanical properties of anisotropic shale containing bedding and natural fractures with discrete element modeling. Int. J. Coal Sci. Technol. 2022, 9, 18. [Google Scholar] [CrossRef]
- Chen, Y.B.; Cheng, X.G.; Zhang, H.; Li, C.Y.; Ma, Y.P.; Wang, G.D. Fault characteristics and control on hydrocarbon accumulation of middle-shallow layers in the slope zone of Mahu sag, Junggar Basin, NW China. Pet. Explor. Dev. 2018, 45, 1050–1060. [Google Scholar] [CrossRef]
- Huang, Y.Y.; Wang, G.W.; Song, L.T.; Wang, S.; Zhang, Y.X.; Huang, L.L.; Lai, J. Fracture logging identification and effectiveness analysis of shale reservoir of the Permian Fengcheng Formation in Mahu Sag, Junggar Basin. J. Palaeogeogr. 2022, 24, 540–555. [Google Scholar]
- Liu, H.M.; Wang, X.J.; Du, Z.J.; Tong, D.; Li, J.; Wang, H. Study on pore structure characteristics of tight sandstone in Block 4 of the central Junggar Basin. J. Geomech. 2020, 26, 96–105. [Google Scholar]
- Boruah, A.; Ganapathi, S. Microstructure and pore system analysis of Barren Measures shale of Raniganj field, India. J. Nat. Gas Sci. Eng. 2015, 26, 427–437. [Google Scholar] [CrossRef]
- Fu, H.J.; Wang, X.Z.; Zhang, L.X.; Gao, R.M.; Li, Z.T.; Xu, T.; Zhu, X.L.; Xu, W.; Li, Q. Investigation of the factors that control the development of pore structure in lacustrine shale: A case study of block X in the Ordos Basin, China. J. Nat. Gas Sci. Eng. 2015, 26, 1422–1432. [Google Scholar] [CrossRef]
- Jiang, F.J.; Hu, M.L.; Hu, T.; Lv, J.H.; Huang, L.L.; Liu, C.L.; Jiang, Z.X.; Huang, R.D.; Zhang, C.X.; Wu, G.Y.; et al. Controlling factors and models of shale oil enrichment in Lower Permian Fengcheng Formation, Mahu Sag, Junggar Basin, NW China. Pet Explor Dev. 2023, 50, 812–825. [Google Scholar] [CrossRef]
- Yang, F.; Meng, X.; Wang, X.H.; Yu, P.R.; Shao, G.H.; Chen, H.H. Micro-Pore Characteristics and Influencing Factors of Fengcheng Formation Shale in Well Maye-1. Xinjiang Pet. Geol. 2022, 43, 1–10. [Google Scholar]
- Li, X.H.; Jiang, Z.X.; Huang, L.L.; He, W.J.; Gao, Z.Y.; Chen, Z.X.; Song, J.N.; Zheng, G.W.; Duan, L.F.; Zhang, Y.H. Main controlling factors of shale oil enrichment and optimization of favorable enrichment intervals of Fengcheng Formation in Mahu Sag. J. Northeast. Pet. Univ. 2022, 46, 33–44. [Google Scholar]
- Li, Z.F.; Tang, X.L.; Huang, L.L.; Chang, Q.S.; Yang, L.L.; Yang, Z.Q. Lithofacies development characteristics of Fengcheng Formation shale in Mahu Sag, Junggar Basin. China Energy Environ. Prot. 2021, 43, 108–114. [Google Scholar]
- Shao, G.H.; Gao, Y.W.; Lin, J.Q.; Wu, W.; Yang, F.; Xiao, H.; Wang, X.H.; Peng, Y.; Zeng, R. The fine characterization of micro-pore structure of shale oil reservoir in Permian Fengcheng Formation of Mahu Sag. J. Chang. Univ. (Nat. Sci. Ed.) 2023, 20, 48–55. [Google Scholar]
- Yang, C.; Zhang, J.C.; Tang, X. Microscopic pore types and its impact on the storage and permeability of continental shale gas, Ordos Basin. Earth Sci. Front. 2013, 20, 240–250. [Google Scholar]
- Zheng, Y.J.; Liao, Y.H.; Wang, Y.P.; Xiong, Y.Q.; Peng, P.A. Organic geochemical characteristics, mineralogy, petrophysical properties, and shale gas prospects of the Wufeng-Longmaxi shales in Sanquan Town of the Nanchuan District, Chongqing. AAPG Bull. 2018, 102, 2239–2265. [Google Scholar] [CrossRef]
- Cavelan, A.; Boussafir, M.; Mathieu, N.; Laggoun-Defarge, F. Impact of thermal maturity on the concomitant evolution of the ultrafine structure and porosity of marine mudstones organic matter; contributions of electronic imaging and new spectroscopic investigations. Int. J. Coal Geol. 2020, 231, 103622. [Google Scholar] [CrossRef]
- Knapp, L.J.; Ardakani, O.H.; Uchida, S.; Nanjo, T.; Otomo, C.; Hattori, T. The influence of rigid matrix minerals on organic porosity and pore size in shale reservoirs: Upper Devonian Duvernay Formation, Alberta, Canada. Int. J. Coal Geol. 2020, 227, 103525. [Google Scholar] [CrossRef]
- Liu, B.; Mastalerz, M.; Schieber, J. SEM petrography of dispersed organic matter in black shales: A review. Earth Sci. Rev. 2022, 224, 103874. [Google Scholar] [CrossRef]
- Chen, S.B.; Zhang, C.; Li, X.Y.; Zhang, Y.K.; Wang, X.Q. Simulation of methane adsorption in diverse organic pores in shale reservoirs with multi-period geological evolution. Int. J. Coal Sci. Technol. 2021, 8, 844–855. [Google Scholar] [CrossRef]
- Milliken, K.L.; Esch, W.L.; Reed, R.M.; Zhang, T.W. Grain assemblages and strong diagenetic overprinting in siliceous mudrocks, Barnett Shale (Mississippian), Fort Worth Basin, Texas. AAPG Bull. 2012, 96, 1553–1578. [Google Scholar] [CrossRef]
- Wang, G.P.; Jin, Z.J.; Zhang, Q.; Zhu, R.K.; Tang, X.; Liu, K.Q.; Dong, L. Effects of clay minerals and organic matter on pore evolution of the early mature lacustrine shale in the Ordos Basin, China. J. Asian Earth Sci. 2023, 246, 105516. [Google Scholar] [CrossRef]
- Hui, S.S.; Pang, X.Q.; Chen, Z.H.; Hu, T.; Shi, K.Y.; Di, G.D.; Li, M.; Mei, S.X.; Li, M.W. Quantifying the relative contribution and evolution of pore types to shale reservoir space: Constraints from over-mature marine shale in the Sichuan Basin, SW China. J. Asian Earth Sci. 2023, 249, 105625. [Google Scholar] [CrossRef]
- Kuila, U.; Prasad, M. Specific surface area and pore-size distribution in clays and shale. Geophys. Prospect. 2013, 61, 341–362. [Google Scholar] [CrossRef]
- Song, L.S.; Carr, T.R. The pore structural evolution of the Marcellus and Mahantango shales, Appalachian Basin. Mar. Pet. Geol. 2020, 114, 104226. [Google Scholar] [CrossRef]
- Xu, Y.; Lun, Z.M.; Pan, Z.J.; Wang, H.Y.; Zhou, X.; Zhao, C.P.; Zhang, D.F. Occurrence space and state of shale oil: A review. J. Pet. Sci. Eng. 2022, 211, 110183. [Google Scholar] [CrossRef]
- Sang, Q.; Zhang, S.J.; Li, Y.J.; Dong, M.Z.; Bryant, S. Determination of organic and inorganic hydrocarbon saturations and effective porosities in shale using vacuum- imbibition method. Int. J. Coal Geol. 2018, 200, 123–134. [Google Scholar] [CrossRef]
















| Type of Source Rocks | Organic Geochemistry Evaluation Indexes | ||
|---|---|---|---|
| TOC (%) | S1 + S2 (mg HC/g Rock) | Chloroform Bitumen ‘A’ (ppm) | |
| Excellent | >2 | >20 | >2000 |
| Good | 1.0–2.0 | 6.0–20.0 | 1000–2000 |
| Fair | 0.6–1.0 | 2.0–6.0 | 500–1000 |
| Poor | 0.4–0.6 | 0.5–2.0 | 150–500 |
| Non | <0.4 | <0.5 | <150 |
| Sample ID | MIP | N2 Adsorption | CO2 Adsorption | Mico-CT | |||||||||
|---|---|---|---|---|---|---|---|---|---|---|---|---|---|
| Mercury Intrusion Amount (cm3/g) | Porosity (%) | Pore Volume (cm3/g) | Surface Area (m2/g) | Adsorption Amount (cm3/g) | BJH Pore Volume (cm3/g) | BET Surface Area (m2/g) | Adsorption Amount (cm3/g) | DFT Pore Volume (cm3/g) | DFT Surface Area (m2/g) | Porosity (%) | Pore Radius (μm) | Number of Pore | |
| 1 | 0.0097 | 2.45 | 0.0037 | 0.1168 | 1.54 | 0.0208 | 2.01 | 0.41 | 0.0010 | 0.02 | 1.01 | 8.69 | 18098 |
| 2 | 0.0056 | 1.69 | 0.0032 | 0.1085 | 0.63 | 0.0105 | 1.29 | 0.38 | 0.0009 | 1.77 | / | / | / |
| 3 | 0.0050 | 1.37 | 0.0021 | 0.0792 | 0.99 | 0.0179 | 1.96 | 1.01 | 0.0033 | 6.43 | 1.26 | 9.20 | 15373 |
| 4 | 0.0091 | 2.70 | 0.0338 | 1.7608 | 0.51 | 0.0062 | 1.25 | 1.05 | 0.0031 | 5.92 | / | / | / |
| 5 | 0.0095 | 2.45 | 0.0105 | 0.4794 | 0.75 | 0.0137 | 1.34 | 0.47 | 0.0014 | 2.74 | 2.96 | 7.94 | 77028 |
| 6 | 0.0028 | 0.97 | 0.0013 | 0.0409 | 0.99 | 0.0241 | 2.72 | 0.53 | 0.0016 | 3.34 | / | / | / |
| 7 | 0.0067 | 2.08 | 0.0024 | 0.0703 | 0.66 | 0.0128 | 2.37 | 0.53 | 0.0001 | 0.18 | / | / | / |
Disclaimer/Publisher’s Note: The statements, opinions and data contained in all publications are solely those of the individual author(s) and contributor(s) and not of MDPI and/or the editor(s). MDPI and/or the editor(s) disclaim responsibility for any injury to people or property resulting from any ideas, methods, instructions or products referred to in the content. |
© 2023 by the authors. Licensee MDPI, Basel, Switzerland. This article is an open access article distributed under the terms and conditions of the Creative Commons Attribution (CC BY) license (https://creativecommons.org/licenses/by/4.0/).
Share and Cite
Li, C.; Hu, T.; Cao, T.; Pang, X.; Xiong, Z.; Lin, X.; Xiao, H.; Chen, Y.; Yang, F.; Jiang, L.; et al. Pore Structure and Geochemical Characteristics of Alkaline Lacustrine Shale: The Fengcheng Formation of Mahu Sag, Junggar Basin. Minerals 2023, 13, 1248. https://doi.org/10.3390/min13101248
Li C, Hu T, Cao T, Pang X, Xiong Z, Lin X, Xiao H, Chen Y, Yang F, Jiang L, et al. Pore Structure and Geochemical Characteristics of Alkaline Lacustrine Shale: The Fengcheng Formation of Mahu Sag, Junggar Basin. Minerals. 2023; 13(10):1248. https://doi.org/10.3390/min13101248
Chicago/Turabian StyleLi, Caijun, Tao Hu, Tingting Cao, Xiongqi Pang, Zhiming Xiong, Xiaofei Lin, Huiyi Xiao, Yuxuan Chen, Fan Yang, Liwei Jiang, and et al. 2023. "Pore Structure and Geochemical Characteristics of Alkaline Lacustrine Shale: The Fengcheng Formation of Mahu Sag, Junggar Basin" Minerals 13, no. 10: 1248. https://doi.org/10.3390/min13101248
APA StyleLi, C., Hu, T., Cao, T., Pang, X., Xiong, Z., Lin, X., Xiao, H., Chen, Y., Yang, F., Jiang, L., & Jiang, F. (2023). Pore Structure and Geochemical Characteristics of Alkaline Lacustrine Shale: The Fengcheng Formation of Mahu Sag, Junggar Basin. Minerals, 13(10), 1248. https://doi.org/10.3390/min13101248
