Uranium in Source Rocks: Role of Redox Conditions and Correlation with Productivity in the Example of the Bazhenov Formation
Abstract
:1. Introduction
2. Regional Settings
3. Methods
4. Results and Discussions
4.1. Role of Redox Conditions in Uranium Accumulation in Source Rocks
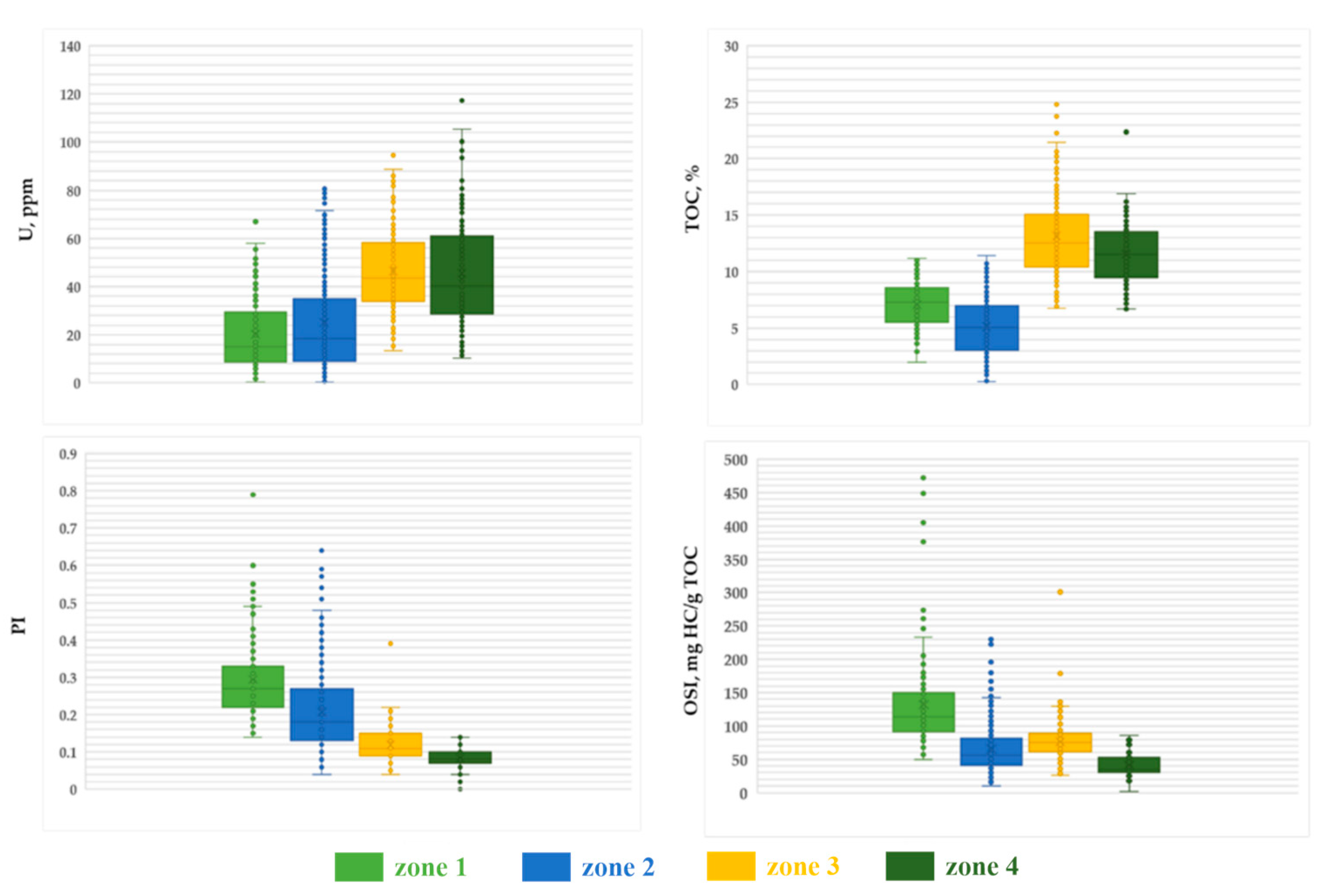
4.2. Relationship of Uranium Content, Total Organic Carbon, Mineral Composition, and Productivity of Source Rocks
4.3. Classification of Productive Intervals by Uranium Content and U/TOC Ratio
5. Conclusions
Author Contributions
Funding
Acknowledgments
Conflicts of Interest
References
- Fertl, W.H. Gamma ray spectral evaluation techniques identify fractured shale reservoirs and source-rock characteristics. J. Pet. Technol. 1980, 32, 11. [Google Scholar] [CrossRef]
- Gudok, N.S.; Bogdanovich, N.N.; Martynov, V.G. Opredelenie Fizicheskih Svojstv Neftevodosoderzhashchih Porod; Nedra: Moscow, Russia, 2007. [Google Scholar]
- Parfenova, T.M.; Melenevskij, V.N.; Moskvin, V.I. Ispol’zovanie gamma-karotazha dlya opredeleniya soderzhaniya organicheskogo veshchestva v vysokouglerodistyh osadochnyh formaciyah (na primere Bazhenovskoj svity). Neftyanaya Gazov. Promyshlennost’. Geol. Geofiz. Razrab. Neftyanyh Mestorozhdenij 1999, 11, 29–34. [Google Scholar]
- Dudaev, S.A. Petrophysical background of the study of the clay collectors of the caucasus with gamma spectrometry data. Logger 2011, 6, 12–25. [Google Scholar]
- Kulyapin, P.S. Development of Interpretative and Petroelastic Models of Reservoir Rocks of Multicomponent Composition and Complex Structure of Capacitive Space. Ph.D. Thesis, National University of Oil and Gas “Gubkin University”, Moscow, Russia, 2016. [Google Scholar]
- Mann, U.; Müller, P.J. Source rock evaluation by well log analysis (Lower Toarcian, Hils syncline). In Organic Geochemistry in Petroleum Exploration: Proceedings of the 13th International Meeting on Organic Geochemistry, Venice, Italy 21–25 September 1987; Elsevier: Amsterdam, The Netherlands, 1988; pp. 109–119. [Google Scholar]
- Swanson, V.E. Geology and Geochemistry of Uranium in Marine Black Shales: A Review; Geology Survey Professional Paper 356-C; United States Government Printing Office: Washington, DA, USA, 1961; pp. 1–110.
- Lüning, S.; Kolonic, S. Uranium spectral gamma-ray response as a proxy for organic richness in black shales: Applicability and limitations. J. Pet. Geol. 2003, 26, 153–174. [Google Scholar] [CrossRef]
- Zubkov, M.Y. Peculiarities of uranium distribution in bituminous deposits of the Bazhenov formation (Western Siberia). Logger 2015, 5, 3–32. [Google Scholar]
- Bastrakov, E.; Boreham, C.; Edwards, D.; Jarrett, A. Uranium in organic-rich shales as a tool for predicting hydrocarbon potential: Proterozoic to Cretaceous examples from Australia. In Proceedings of the 20th Australian Organic Geochemistry Conference: Origins of Oil, Old Organics and Organisms, Canberra, Australia, 3–7 December 2018. [Google Scholar]
- Khaustova, N. U/Corg Ratio within Unconventional Reservoirs: Indicator of Oil Generation Processes and Criteria for Productive Intervals Determination During the Bazhenov Formation Investigation. In Proceedings of the EAGE/SPE Workshop on Shale Science, Moscow, Russia, 8–9 April 2019. [Google Scholar]
- Partin, C.A.; Bekker, A.; Planavsky, N.J.; Scott, C.T.; Gill, B.C.; Li, C.; Podkovyrov, V.; Maslov, A.; Konhauser, K.O.; Lalonde, S.V.; et al. Large-scale fluctuations in Precambrian atmospheric and oceanic oxygen levels from the record of U in shales. Earth Planet. Sci. Lett. 2013, 369, 284–293. [Google Scholar] [CrossRef]
- Kizil’shtejn, L.Y.; Chernikov, B.A. Rol’ Organicheskogo Veshchestva Zemnoj Kory v Obrazovanii Mestorozhdenij Urana; Izdvo Rostovskogo Universiteta: Rostov-na-Donu, Russia, 1999. [Google Scholar]
- Cumberland, S.A.; Douglas, G.; Grice, K.; Moreau, J.W. Uranium mobility in organic matter-rich sediments: A review of geological and geochemical processes. Earth-Sci. Rev. 2016, 159, 160–185. [Google Scholar] [CrossRef] [Green Version]
- Swanson, V.E. Oil Yield and Uranium Content of Black Shales; Geology Survey Professional Paper 356-A; United States Government Printing Office: Washington, DA, USA, 1960.
- Ulmishek, G.F. Petroleum Geology and Resources of the West Siberian Basin, Russia; Version 1; United States Geological Survey (USGS): Reston, VA, USA, 2003.
- Braduchan, Y.V.; Gurari, F.G.; Zakharov, V.A. Bazhenovskij Gorizont Zapadnoj Sibiri (Stratigrafija, Ekosistema, Neftenosnost); Vyshemiskij, V.S., Ed.; The Bazhenov Horizon of the Western Siberia (Stratigraphy, Ecosystem, Oil Content); Nauka: Novosibirsk, Russia, 1986. [Google Scholar]
- Zanin, Y.N.; Zamirailova, A.G.; Eder, V.G. Some aspects of the Bazhenov Formation genesis in the Central parts of the West-Siberian sedimentary Basin. Lithosphera 2005, 4, 118–135. [Google Scholar]
- Kontorovich, A.E.; Yan, P.A.; Zamirailova, A.G.; Kostyreva, E.A.; Eder, V.G. Classification of rocks of the Bazhenov Formation. Russ. Geol. Geophys. 2016, 57, 1606–1612. [Google Scholar] [CrossRef]
- Nemova, V.D.; Panchenko, I.V. The factors of productivity of Bazhenov Horizon in Frolov Megadepression. Neftegazov. Geologiya. Teor. Pract. 2017, T.12, 4. [Google Scholar] [CrossRef]
- Kontorovich, A.E.; Bogorodskaya, L.I.; Borisova, L.S.; Burshtein, L.M.; Ismagilov, Z.R.; Efimova, O.S.; Kostyreva, E.A.; Lemina, N.M.; Ryzhkova, S.V.; Sozinov, S.A.; et al. Geochemistry and catagenetic transformation of kerogen from the bazhenov horizon. Geoshemistry 2019, 64, 585–593. [Google Scholar] [CrossRef]
- Goncharov, I.V.; Samoilenko, V.V.; van Graas, G.W.; Trushkov, P.V.; Oblasov, N.V.; Fadeeva, S.V.; Veklich, M.A.; Kashapov, R.S.; Sidorov, D.A. Petroleum generation and migration in the southern Tyumen region, Western Siberia Basin, Russia. Org. Geochem. 2021, 152, 104178. [Google Scholar] [CrossRef]
- Kozlova, E.V.; Fadeeva, N.P.; Kalmykov, G.A.; Balushkina, N.S.; Pronina, N.V.; Poludetkina, E.N.; Kostenko, O.V.; Yurchenko, A.Y.; Borisov, R.S.; Bychkov, A.Y.; et al. Technology for studying the geochemical parameters of organic matter in kerogen-saturated sediments (by the example of the Bazhenov formation, Western Siberia). Vestn. MGU Geol. 2015, 5, 44–54. [Google Scholar]
- Panchenko, I.V.; Nemova, V.D.; Smirnova, M.E.; Ilyina, M.V.; Baraboshkin, E.Y.; Ilyin, V.S. Stratification and detailed correlation of bazhenov horizon in the central part of the western siberia according to lithological and paleontological core analysis and well logging. Geol. Nefti Gaza 2016, 6, 22–34. [Google Scholar]
- Zanin, Y.N.; Zamirajlova, A.G.; Eder, V.G. Uran, torij i kalij v chernyh slancah bazhenovskoj svity Zapadno-Sibirskogo morskogo bassejna. Litol. Polezn. Iskop. 2016, 1, 82. [Google Scholar]
- Spasennykh, M.; Maglevannaia, P.; Kozlova, E.; Bulatov, T.; Leushina, E.; Morozov, N. Geochemical Trends Reflecting Hydrocarbon Generation, Migration and Accumulation in Unconventional Reservoirs Based on Pyrolysis Data (on the Example of the Bazhenov Formation). Geosciences 2021, 11, 307. [Google Scholar] [CrossRef]
- Fomin, A.N. Tectonic Scheme: Scheme of Catagenesis of Organic Matter in the Top of the Upper Jurassic Deposits of the West Siberian Megabasin, Scale: 1:2500000. 2004. Available online: https://www.geokniga.org/maps/14136 (accessed on 25 July 2022).
- Coretest Systems, Inc. EGL-255 Profil’nyj Gamma-Registrator (Spektral’nyj); Rukovodstvo Pol’zovatelya: Moscow, Russia, 2012. [Google Scholar]
- Lopatin, N.V.; Emets, T.P. Pyrolysis in Oil and Gas Geochemistry; Nauka: Moscow, Russia, 1987. [Google Scholar]
- Espitalie, J.; Marquis, F.; Barsony, I. Geochemical logging. In Analytical Pyrolysis—Techniques and Applications; Voorhees, K.J., Ed.; Butterworth-Heinemann: Boston, MA, USA, 1984; pp. 276–304. [Google Scholar]
- Maende, A.; Weldon, W.D. Pyrolysis and TOC Identification of Tight Oil Sweet Spots. In Proceedings of the Unconventional Resources Technology Conference, Denver, CO, USA, 12–14 August 2013; pp. 2573–2583. [Google Scholar] [CrossRef]
- Langford, F.F.; Blanc-Valleron, M.M. Interpreting Rock-Eval pyrolysis data using graphs of pyrolyzable hydrocarbons vs total organic carbon. AAPG Bull. 1990, 74, 799–804. [Google Scholar]
- Jarvie, D.M. Shale resource systems for oil and gas: Part 1—Shale-gas resource systems. In AAPG Memoir 97, Shale Reservoirs—Giant Resources for the 21st Century; Breyer, J.A., Laubach, S.E., Eds.; AAPG: Tulsa, OK, USA, 2012; pp. 69–87. [Google Scholar] [CrossRef]
- Behar, F.; Beaumont, V.; Penteado, H.L.D.B. Rock-Eval 6 Technology: Performances and Developments. Oil Gas Sci. Technol.—Rev. IFP 2001, 562, 111–134. [Google Scholar] [CrossRef]
- Coplen, T.B.; Hopple, J.A.; Böhlke, J.K.; Peiser, H.S.; Rieder, S.E.; Krouse, H.R.; Rosman, K.J.R.; Ding, T.; Vocke, R.D., Jr.; Révész, K.M.; et al. Compilation of Minimum and Maximum Isotope Ratios of Selected Elements in Naturally Occurring Terrestrial Materials and Reagents; Water-Resources Investigations Report 01-4222; United States Geological Survey (USGS): Reston, VA, USA, 2002.
- Leushina, E.; Bulatov, T.; Kozlova, E.; Panchenko, I.; Voropaev, A.; Karamov, T.; Yermakov, Y.; Bogdanovich, N.; Spasennykh, M. Upper Jurassic–Lower Cretaceous Source Rocks in the North of Western Siberia: Comprehensive Geochemical Characterization and Reconstruction of Paleo-Sedimentation Conditions. Geosciences 2021, 11, 320. [Google Scholar] [CrossRef]
- Baioumy, H.; Lehmann, B. Anomalous enrichment of redox-sensitive trace elements in the marine black shales from the Duwi Formation, Egypt: Evidence for the late Cretaceous Tethys anoxia. J. Afr. Earth Sci. 2017, 133, 7–14. [Google Scholar] [CrossRef]
- Elbaz-Poulichet, F.; Seidel, J.L.; Jézéquel, D.; Metzger, E.; Prévot, F.; Simonucci, C.; Sarazin, G.; Viollier, E.; Etcheber, H.; Jouanneau, J.M.; et al. Sedimentary record of redox-sensitive elements (U, Mn, Mo) in a transitory anoxic basin (the Thau lagoon, France). Mar. Chem. 2005, 95, 271–281. [Google Scholar] [CrossRef]
- Zanin, Y.N.; Zamirajlova, A.G.; Eder, V.G. Nikel’, molibden, kobal’t v chernyh slancah bazhenovskoj svity Zapadno-Sibirskogo morskogo bassejna. Geohimiya 2017, 2, 161–170. [Google Scholar]
- Idrisova, E.; Gabitov, R.; Karamov, T.; Voropaev, A.; Liu, M.-C.; Bogdanovich, N.; Spasennykh, M. Pyrite Morphology and δ34S as Indicators of Deposition Environment in Organic-Rich Shales. Geosciences 2021, 11, 355. [Google Scholar] [CrossRef]
- Newton, R.; Bottrell, S. Stable isotopes of carbon and sulphur as indicators of environmental change: Past and present. J. Geol. Soc. 2007, 164, 691–708. [Google Scholar] [CrossRef]
- Melenevskii, V.N.; Tolstokorov, S.V.; Klimin, M.A. Diagenesis of organic matter in peat: Rock–eval pyrolysis data. Geochem. Int. 2019, 57, 227–231. [Google Scholar] [CrossRef]
- Khaustova, N.; Tikhomirova, Y.; Korost, S.; Poludetkina, E.; Voropaev, A.; Mironenko, M.; Spasennykh, M. The Study of Uranium Accumulation in Marine Bottom Sediments: Effect of Redox Conditions at the Time of Sedimentation. Geosciences 2021, 11, 332. [Google Scholar] [CrossRef]
- Dakhnova, M.V.; Mozhegova, S.V.; Nazarova, E.S.; Paizanskaya, I.L. Evaluation of reserves of shale oil using geochemical parameters. Geol. Nefti Gaza 2015, 4, 55–61. [Google Scholar]
- Kalmykov, A.G.; Karpov, Y.A.; Topchy, M.S.; Fomina, M.M.; Manuilova, E.A.; Sheremetyeva, E.V.; Tretyakova, I.O.; Pronina, N.V.; Shishkov, V.A.; Balushkina, N.S.; et al. Vliyanie katageneticheskoj zrelosti na formirovanie kollektorov s organicheskoj poristost’yu v bazhenovskoj svite i osobennosti ih rasprostraneniya. Georesursy 2019, 21. [Google Scholar]
- Karpov, Y.A.; Balushkina, N.S.; Stupakova, A.V.; Fomina, M.M.; Topchy, M.S.; Miftakhova, A.A.; Kalmykov, A.G.; Kalmykov, G.A. Kriterii rasprostraneniya nefteproduktivnyh porod bazhenovskoj vysokouglerodistoj formacii s razvitoj sistemoj porovoj emkosti v kerogene. Vestn. Mosk. Univ. Ser. 4 Geol. 2019, 2. [Google Scholar]
- Kalmykov, A.G.; Manuilova, E.A.; Kalmykov, G.A.; Belokhin, V.S.; Korobova, N.I.; Makarova, O.M.; Kozlova, E.V.; Khamidullin, R.A.; Shishkov, V.A.; Ivanova, A.G. Fosfatsoderzhashchie prosloi bazhenovskoj svity kak vozmozhnyj kollektor. Vestn. Mosk. Univ. Ser. 4 Geol. 2016, 5, 60–66. [Google Scholar]
- Kozlova, E.V.; Spasennyh, M.Y.; Kalmykov, G.A.; Gutman, I.S.; Potemkin, G.N.; Alekseev, A.D. Balans uglevodorodnyh soedinenij neftyanogo ryada v pirolizuemom organicheskom veshchestve bazhenovskoj svity. Neftyanoe Hozyajstvo 2017, 3, 18–21. [Google Scholar] [CrossRef]



















| № Layer with Phosphate | U, ppm | TOC, % | U/TOC | PI | OSI | S0 + S1, mg HC/g Rock | HI, mg HC/g TOC | P2O5, % |
|---|---|---|---|---|---|---|---|---|
| 1 | 82 | 1.8 | 46 | 0.27 | 70 | 1.3 | 188 | 9.37 |
| 2 | 55 | 3.5 | 16 | 0.3 | 115 | 4.3 | 271 | 0.28 |
| 3 | 50 | 5.7 | 9 | 0.17 | 66 | 6.1 | 329 | 0.25 |
| 4 | 40 | 3.2 | 12 | 0.32 | 196 | 6.4 | 379 | 8.33 |
| 5 | 34 | 2.5 | 13 | 0.24 | 59 | 1.9 | 185 | 0.3 |
| 6 | 28 | 5.0 | 6 | 0.24 | 94 | 6.4 | 297 | 0.32 |
| 7 | 24 | 6.6 | 4 | 0.3 | 153 | 12.6 | 358 | 1.4 |
| № Layer with Pyrolusite | U, ppm | TOC, % | U/TOC | PI | OSI | S0 + S1, mg HC/g Rock | HI, mg HC/g TOC | MnO, % |
|---|---|---|---|---|---|---|---|---|
| 1 | 77 | 4.6 | 17 | 0.35 | 124 | 6.2 | 235 | 0.19–0.22 |
| 2 | 68 | 5.9 | 12 | 0.36 | 130 | 8.0 | 233 | 1.05 |
| 3 | 50 | 4.4 | 12 | 0.24 | 79 | 4.1 | 252 | 0.84 |
| 4 | 44 | 4.2 | 10 | 0.35 | 111 | 5.1 | 211 | 0.24–0.33 |
| 5 | 42 | 4.4 | 10 | 0.31 | 99 | 4.9 | 219 | 0.24–0.33 |
| 6 | 40 | 3.6 | 11 | 0.38 | 102 | 3.9 | 170 | 0.17 |
| 7 | 40 | 3.0 | 14 | 0.36 | 117 | 3.8 | 209 | 0.23 |
| 8 | 40 | 5.0 | 8 | 0.28 | 91 | 5.1 | 232 | 0.33 |
| 9 | 38 | 5.0 | 8 | 0.33 | 74 | 4.1 | 153 | 0.24 |
| 10 | 31 | 4.0 | 8 | 0.39 | 69 | 3.0 | 110 | 0.24–0.29 |
| 11 | 34 | 4.4 | 8 | 0.55 | 178 | 8.3 | 146 | 0.24–0.29 |
| 12 | 32 | 4.4 | 7 | 0.29 | 64 | 3.0 | 156 | 0.24–0.29 |
| 13 | 23 | 3.6 | 6 | 0.42 | 161 | 6.6 | 225 | 0.29 |
| 14 | 22 | 4.2 | 5 | 0.16 | 54 | 2.5 | 293 | 0.24 |
| № | Interval Type | Average Values of U, TOC, U/TOC with Standard Deviations | Comments | ||
|---|---|---|---|---|---|
| I | Intervals with increased oil saturation and improved reservoir properties. In terms of productivity, they are similar to tight oil reservoirs, for which hydraulic fracturing and multi-stage hydraulic fracturing technologies can be efficiently applied. | U = 20 ± 14 ppm | TOC = 7 ± 2% | U/TOC = 3 ± 2 ppm U/%TOC | U < 25 ppm for more than 60% of intervals. |
| II | Conditionally productive intervals. Differ from the intervals of Quadrant I by lower oil saturation (S1), which may be associated with partial loss of fluid during sample extraction and storage. | U = 26 ± 21 ppm | TOC = 5 ± 3% | U/TOC = 6 ± 5 ppm U/%TOC | U < 20 ppm for more than 50% of intervals. Phosphorite intervals. |
| III | Oil-saturated source rocks with high potential for HC production using thermal EOR, promoting the conversion of kerogen and high-viscosity hydrocarbons into mobile hydrocarbons. The closer the point is to the upright position, the more promising the interval is under thermal treatment. | U = 46 ± 17 ppm | TOC = 13 ± 4% | U/TOC = 4 ± 1 ppm U/%TOC | 20 < U < 60 ppm for the 75% of intervals. |
| IV | Intervals with decreased oil saturation, and moderate potential for HC production using thermal EOR. | U = 46 ± 22 ppm | TOC = 12 ± 3% | U/TOC = 4 ± 2 ppm U/%TOC | 20 < U < 60 ppm for the ≈60% of intervals. |
Publisher’s Note: MDPI stays neutral with regard to jurisdictional claims in published maps and institutional affiliations. |
© 2022 by the authors. Licensee MDPI, Basel, Switzerland. This article is an open access article distributed under the terms and conditions of the Creative Commons Attribution (CC BY) license (https://creativecommons.org/licenses/by/4.0/).
Share and Cite
Khaustova, N.; Kozlova, E.; Maglevannaia, P.; Voropaev, A.; Leushina, E.; Spasennykh, M. Uranium in Source Rocks: Role of Redox Conditions and Correlation with Productivity in the Example of the Bazhenov Formation. Minerals 2022, 12, 976. https://doi.org/10.3390/min12080976
Khaustova N, Kozlova E, Maglevannaia P, Voropaev A, Leushina E, Spasennykh M. Uranium in Source Rocks: Role of Redox Conditions and Correlation with Productivity in the Example of the Bazhenov Formation. Minerals. 2022; 12(8):976. https://doi.org/10.3390/min12080976
Chicago/Turabian StyleKhaustova, Nadezhda, Elena Kozlova, Polina Maglevannaia, Andrey Voropaev, Evgenia Leushina, and Mikhail Spasennykh. 2022. "Uranium in Source Rocks: Role of Redox Conditions and Correlation with Productivity in the Example of the Bazhenov Formation" Minerals 12, no. 8: 976. https://doi.org/10.3390/min12080976
APA StyleKhaustova, N., Kozlova, E., Maglevannaia, P., Voropaev, A., Leushina, E., & Spasennykh, M. (2022). Uranium in Source Rocks: Role of Redox Conditions and Correlation with Productivity in the Example of the Bazhenov Formation. Minerals, 12(8), 976. https://doi.org/10.3390/min12080976

