A Comprehensive Recovery Process for Selective Separation and Enrichment of Copper, Zinc and Iron Minerals from a Polymetallic Ore and the Adsorption Mechanism of Collector Z-200
Abstract
:1. Introduction
2. Experimental Work
2.1. Materials and Reagents
2.2. Experiment and Analysis Methods
2.2.1. Flotation Experiment
2.2.2. Magnetic Separation Experiment
2.2.3. Simulating Calculation Method
2.2.4. FTIR Spectrum Analysis
3. Results and Discussion
3.1. Process Mineralogy of the Polymetallic Ore
3.1.1. Mineralogical Composition
3.1.2. Phase Distribution of Main Elements
3.1.3. Dissemination Characteristics
3.1.4. Monomer Dissociation of the Main Valuable Minerals
3.2. Beneficiation Experiments
3.2.1. Reagent Regime of Copper and Zinc Flotations
3.2.2. Numbers of Cleaning Cycles for Copper and Zinc Flotations
3.2.3. Magnetic Field Intensity of Iron Magnetic Separation
3.2.4. Closed-Circuit Experiment
3.2.5. Reuse of Return Water
3.3. Mechanism of Z-200 Adsorption
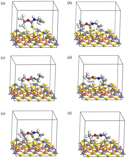
3.3.1. Adsorption Configuration Analysis
3.3.2. Bond Length and Mulliken Charge Population Analyses
3.3.3. FTIR Spectrum Analysis
4. Conclusions
Author Contributions
Funding
Acknowledgments
Conflicts of Interest
References
- Dong, Z.L.; Jiang, T.; Xu, B.; Yang, Y.B.; Li, Q. An eco-friendly and efficient process of low potential thiosulfate leaching-resin adsorption recovery for extracting gold from a roasted gold concentrate. Cleaner Prod. 2019, 229, 387–398. [Google Scholar] [CrossRef]
- Dong, Z.L.; Jiang, T.; Xu, B.; Yang, J.K.; Chen, Y.Z.; Yang, Y.B.; Li, Q. Comprehensive recoveries of selenium, copper, gold, silver and lead from a copper anode slime with a clean and economical hydrometallurgical process. Chem. Eng. 2020, 393, 124762. [Google Scholar] [CrossRef]
- Liu, G.; Jiang, K.; Zhang, B.; Dong, Z.; Zhang, F.; Wang, F.; Jiang, T.; Xu, B. Selective Flotation of Elemental Sulfur from Pressure Acid Leaching Residue of Zinc Sulfide. Minerals 2021, 11, 89. [Google Scholar] [CrossRef]
- Wei, D.Z. Solid Materials Separation; Metallurgical Industry Press: Beijing, China, 2009. [Google Scholar]
- Zhang, X.L.; Qin, Y.H.; Han, Y.X.; Li, Y.J.; Gao, P.; Li, G.F.; Wang, S.X. A potential ceramic ball grinding medium for optimizing flotation separation of chalcopyrite and pyrite. Powder Technol. 2021, 392, 167–178. [Google Scholar] [CrossRef]
- Li, L.; Pan, D.; Li, B.; Wu, Y.; Wang, H.; Gu, Y.; Zuo, T. Patterns and challenges in the copper industry in China. Resour. Conserv. Recycl. 2017, 127, 1–7. [Google Scholar] [CrossRef]
- Kuchar, D.; Fukuta, T.; Onyango, M.S.; Matsuda, H. Sulfidation treatment of copper-containing plating sludge towards copper resource recovery. J. Hazard. Mater. 2006, 138, 86–94. [Google Scholar] [CrossRef]
- Spuerk, S.; Drobe, M.; Lottermoser, B.G. Evaluating resource efficiency at major copper mines. Miner. Eng. 2017, 107, 27–33. [Google Scholar] [CrossRef]
- Singer, D.A. Future copper resources. Ore Geol. Rev. 2017, 86, 271–279. [Google Scholar] [CrossRef]
- Zhang, L.; Chen, T.; Yang, J.; Cai, Z.; Sheng, H.; Yuan, Z.; Wu, H. Characterizing copper flows in international trade of China, 1975–2015. Sci. Total Environ. 2017, 601–602, 1238–1246. [Google Scholar] [CrossRef]
- Hu, H.; Li, M.; Li, L.; Tao, X. Improving bubble-particle attachment during the flotation of low rank coal by surface modification. Int. J. Min. Sci. Technol. 2020, 30, 217–223. [Google Scholar] [CrossRef]
- Nasirimoghaddam, S.; Mohebbi, A.; Karimi, M.; Yarahmadi, M.R. Assessment of pH responsive nanoparticles performance on laboratory column flotation cell applying a real ore feed. Int. J. Min. Sci. Technol. 2020, 30, 197–205. [Google Scholar] [CrossRef]
- Wang, L.M.; Yin, S.H.; Wu, A.X. Ore agglomeration behavior and its key controlling factors in heap leaching of low-grade copper minerals. J. Clean. Prod. 2021, 279, 123705. [Google Scholar] [CrossRef]
- Wang, Z.J.; Wu, H.Q.; Xu, Y.B.; Shu, K.Q.; Yang, J.; Luo, L.P.; Xu, L.H. Effect of dissolved fluorite and barite species on the flotation and adsorption behavior of bastnaesite. Sep. Purif. Technol. 2020, 237, 116387. [Google Scholar] [CrossRef]
- Shu, K.Q.; Xu, L.H.; Wu, H.Q.; Xu, Y.B.; Luo, L.P.; Yang, J.; Tang, Z.; Wang, Z.J. In situ adsorption of mixed anionic/cationic collectors in a spodumene–feldspar flotation system: Implications for collector design. Langmuir 2020, 36, 8086–8099. [Google Scholar] [CrossRef] [PubMed]
- Fuerstenau, D.W.; Herrera-Urbina, R.; Mc Glashan, D.W. Studies on the applicability of chelating agents as universal collectors for copper minerals. Int. J. Miner. Processing 2000, 58, 15–33. [Google Scholar] [CrossRef]
- Barzyk, W.; Malysa, K.; Pomianowski, A. The influence of surface oxidation of chalcocite on its floatability and ethyl xanthate sorption. Int. J. Miner. Processing 1981, 8, 17–29. [Google Scholar] [CrossRef]
- Newell, A.; Skinner, W.M.; Bradshaw, D.J. Restoring the floatability of oxidised sulfides using sulfidisation. Int. J. Miner. Processing 2007, 84, 108–117. [Google Scholar] [CrossRef]
- Rashchi, F.; Sui, C.; Finch, J.A. Sphalerite activation and surface Pb ion concentration. Int. J. Miner. Processing 2002, 67, 43–58. [Google Scholar] [CrossRef]
- Gerson, A.R.; Lange, A.G.; Prince, K.E.; Smart, R.S.C. The mechanism of copper activation of sphalerite. Appl. Surf. Sci. 1999, 137, 207–223. [Google Scholar] [CrossRef]
- Finkelstein, N.P. The activation of sulphide minerals for flotation: A review. Int. J. Miner. Processing 1997, 52, 81–120. [Google Scholar] [CrossRef]
- Kartio, I.J.; Basilio, C.I.; Yoon, R.-H. An XPS Study of Sphalerite Activation by Copper. Langmuir 1998, 14, 5274–5278. [Google Scholar] [CrossRef]
- Majima, H. How oxidation affects selective flotation of complex sulphide ores. Can. Metall. Q. 1969, 8, 269–273. [Google Scholar] [CrossRef]
- Hampton, M.A.; Plackowski, C.; Nguyen, A.V. Physical and chemical analysis of elemental sulfur formation during galena surface oxidation. Langmuir 2011, 27, 4190–4201. [Google Scholar] [CrossRef] [PubMed]
- Nowak, P.; Laajalehto, K. Oxidation of galena surface—An XPS study of the formation of sulfoxy species. Appl. Surf. Sci. 2000, 157, 101–111. [Google Scholar] [CrossRef]
- Du, C.H. Experimental Study on Flotation Separation of Copper-Lead-Zinc Sulfide Mixed Concentrate; Wuhan University of Technology: Wuhan, China, 2019. [Google Scholar]
- Zhou, Y.C. Study on the mineral processing technology of a refractory low grade copper sulfide ore. Non-Ferr. Min. Metall. 2013, 29, 31–34. [Google Scholar]
- Liu, S.; Liu, W.; Sun, Z.; Tian, W.; Wang, L.; Ye, Y.; Zeng, K. Study on ISO-flotation and differential-flotation flow sheet technology of copper-pyrite ore. China Min. Mag. 2014, 23, 225–234. [Google Scholar]
- Wang, Y.J.; Yin, Z.G.; Wang, H.B. Study on differential flotation process for Cu-S ore. Conserv. Util. Miner. Resour. 2011, 3, 15–18. [Google Scholar]
- Xu, H.F.; Zhong, H.; Tang, Q.; Wang, S.; Zhao, G.; Liu, G.Y. A novel collector 2-ethyl-2-hexenoic hydroxamic acid: Flotation performance and adsorption mechanism to ilmenite. Appl. Surf. Sci. 2015, 353, 882–889. [Google Scholar] [CrossRef]
- Nuri, O.S.; Irannajad, M.; Mehdilo, A. Reagent adsorption on modified mineral surfaces: Iso-therm, kinetic and thermodynamic aspects. J. Mol. Liq. 2019, 291, 111311. [Google Scholar] [CrossRef]
- Huang, Z.Q.; Zhong, H.; Wang, S.; Xia, L.Y.; Zou, W.B.; Liu, G.Y. Investigations on reverse cationic flotation of iron ore by using a Gemini surfactant: Ethane-1,2-bis (di-methyl-dodecyl-ammonium bromide). Chem. Eng. J. 2014, 257, 218–228. [Google Scholar] [CrossRef]
- Liu, G.Y.; Zhong, H.; Xia, L.Y.; Wang, S.; Xu, Z.H. Improving copper flotation recovery from a refractory copper porphyry ore by using ethoxycarbonyl thiourea as a collector. Miner. Eng. 2011, 24, 817–824. [Google Scholar]
- Liu, G.Y.; Zeng, H.B.; Lu, Q.Y.; Zhong, H.P.; Choi Xu, Z.H. Adsorption of mercaptobenzoheterocyclic compounds on sulfide mineral surfaces: A density functional theory study of structure–reactivity relations. Colloids Surf. A Physicochem. Eng. Asp. 2012, 409, 1–9. [Google Scholar] [CrossRef]
- Liu, G.Y.; Xiao, J.J.; Zhou, D.W.; Zhong, H.; PChoi Xu, Z.H. A DFT study on the structure-reactivity relationship of thiophosphorus acids as flotation collectors with sulfide minerals: Implication of surface adsorption. Colloids Surf. A Physicochem. Eng. Asp. 2013, 434, 243–252. [Google Scholar] [CrossRef]
- Chen, J.H.; Lan, L.H.; Chen, Y. Computational simulation of adsorption and thermodynamic study of xanthate, dithiophosphate and dithiocarbamate on galena and pyrite surfaces. Miner. Eng. 2013, 46–47, 136–143. [Google Scholar] [CrossRef]
- Baldwin, D.A.; Manton, M.R.; Pratt, J.M.; Storey, M.J. Studies on the flotation of sulphides. I. The effect of Cu(II) ions on the flotation of zinc sulphide. Int. J. Miner. Processing 1979, 6, 173–192. [Google Scholar] [CrossRef]
- Liu, G.Y.; Zhong, H.; Dai, T.G. Separation of chalcopyrite from pyrite at slightly alkaline conditions using ethoxylcarbonyl thionocarbamate as collector. Chin. J. Nonferrous Met. 2006, 16, 1108–1114. [Google Scholar]
- Ding, J. Study on the Performance of Ionic Nano-Collectors and Its Mechanism of Reaction with Micro Fine Chalcopyrite; Jiangxi University of Technology: Jiangxi, China, 2018. [Google Scholar]
- Zhang, X.Z. Study of Flotation New Collector in Anhui Copper Mine; Wuhan University of Technology: Wuhan, China, 2013. [Google Scholar]
- Li, T.S. Study on Application of New Collector in Wushan Copper Mine; Wuhan University of Technology: Wuhan, China, 2013. [Google Scholar]
- Xu, B.; Wu, J.T.; Dong, Z.L.; Jiang, T.; Li, Q.; Yang, Y.B. Flotation performance, structure–activity relationship and adsorption mechanism of a newly-synthesized collector for copper sulfide minerals in Gacun polymetallic ore. Appl. Surf. Sci. 2021, 551, 149420. [Google Scholar] [CrossRef]
- Xu, B. The Study of the New Flotation Reagent and the New Comprehensive Recovery Process of Tetrahedrite Type Copper-Lead-Zinc Sulfide Ore; Central South University: Changsha, China, 2013. [Google Scholar]




















| Element | Fe | Cu | Zn | SiO2 | Al2O3 | CaO | MgO |
|---|---|---|---|---|---|---|---|
| Content | 14.17 | 0.61 | 1.68 | 18.16 | 4.75 | 19.48 | 9.04 |
| Element | K2O | Na2O | TiO2 | P2O5 | C | S | Others |
| Content | 0.40 | 0.34 | 0.10 | 0.05 | 1.88 | 4.74 | 8.93 |
| Mineral | Chalcopyrite | Sphalerite | Magnetite | Diopside | Chlorite | Calcite |
|---|---|---|---|---|---|---|
| Content | 1.38 | 2.41 | 13.40 | 19.24 | 16.56 | 15.60 |
| Mineral | Gypsum | Tremolite | Quartz | Limonite | Pyrite | Others |
| Content | 13.62 | 11.13 | 2.15 | 0.92 | 0.52 | 3.07 |
| Phase | Chalcopyrite | Bornite | Covellite | Cuprite | Total Copper |
|---|---|---|---|---|---|
| Cu Content | 0.48 | 0.11 | 0.012 | 0.006 | 0.608 |
| Distribution | 78.95 | 18.09 | 1.97 | 0.99 | 100.00 |
| Phase | Sphalerite | Silicate | Zinc Oxide | Total Zinc |
|---|---|---|---|---|
| Zn Content | 1.61 | 0.05 | 0.02 | 1.68 |
| Distribution | 95.83 | 2.98 | 1.19 | 100.00 |
| Phase | Magnetite | Silicate | Hematite + Limonite | Chalcopyrite |
|---|---|---|---|---|
| Fe Content | 9.63 | 3.01 | 0.66 | 0.42 |
| Distribution | 67.96 | 21.24 | 4.66 | 2.97 |
| Phase | Pyrite | Carbonate | Pyrrhotite | Total iron |
| Fe Content | 0.24 | 0.18 | 0.03 | 14.17 |
| Distribution | 1.69 | 1.27 | 0.21 | 100.00 |
| Grade (Mesh) | Productivity (%) | Cu (%) | Chalcopyrite Monomer (%) | Conjuncture (%) | ||||||
|---|---|---|---|---|---|---|---|---|---|---|
| Sphalerite | Magnetite | Quartz | Pyroxene-Hornblende | Chlorite-Sericite | Calcite | Others | ||||
| +200 | 11.5 | 0.41 | 27.12 | 14.07 | 6.97 | 12.55 | 22.43 | 12.17 | 2.92 | 1.77 |
| −200~+250 | 5.0 | 0.54 | 61.67 | 12.65 | 1.16 | 11.28 | 6.73 | 4.75 | 1.16 | 0.58 |
| −250~+325 | 17.5 | 0.57 | 78.22 | 6.74 | 0.59 | 4.48 | 4.54 | 3.76 | 1.10 | 0.57 |
| −325~+400 | 7.6 | 0.66 | 81.69 | 6.50 | 0.58 | 4.40 | 2.11 | 3.70 | 0.82 | 0.20 |
| −400 | 58.4 | 0.65 | 89.22 | 3.85 | 0.48 | 4.35 | 0.96 | 0.56 | 0.48 | 0.10 |
| Total | 100 | 0.61 | ||||||||
| Grade (Mesh) | Productivity (%) | Zn (%) | Sphalerite Monomer (%) | Conjuncture (%) | ||||||
|---|---|---|---|---|---|---|---|---|---|---|
| Chalcopyrite | Magnetite | Quartz | Pyroxene-Hornblende | Chlorite-Sericite | Calcite | Others | ||||
| +200 | 11.5 | 1.33 | 60.37 | 15.55 | 4.07 | 3.34 | 8.70 | 5.18 | 1.90 | 0.89 |
| −200~+250 | 5.0 | 1.78 | 65.00 | 13.93 | 3.25 | 3.74 | 7.49 | 4.24 | 1.75 | 0.60 |
| −250~+325 | 17.5 | 1.76 | 76.85 | 6.12 | 1.24 | 2.93 | 7.02 | 3.93 | 1.58 | 0.33 |
| −325~+400 | 7.6 | 1.88 | 83.16 | 5.51 | 0.15 | 2.68 | 3.13 | 0.45 | 0.44 | 0.30 |
| −400 | 58.4 | 1.69 | 93.94 | 1.14 | 0.10 | 2.57 | 1.50 | 0.30 | 0.20 | 0.25 |
| Total | 100 | 1.68 | ||||||||
| Grade (Mesh) | Productivity (%) | Fe (%) | Magnetite Monomer (%) | Conjuncture (%) | ||||||
|---|---|---|---|---|---|---|---|---|---|---|
| Chalcopyrite | Sphalerite | Quartz | Pyroxene-Hornblende | Chlorite-Sericite | Calcite | Others | ||||
| +200 | 11.5 | 11.45 | 24.40 | 8.66 | 1.60 | 37.43 | 18.93 | 5.13 | 3.21 | 0.64 |
| −200~+250 | 5.0 | 14.98 | 61.39 | 6.11 | 0.17 | 16.17 | 7.59 | 6.27 | 1.97 | 0.33 |
| −250~+325 | 17.5 | 16.47 | 83.23 | 1.63 | 0.10 | 7.75 | 2.71 | 2.80 | 1.50 | 0.28 |
| −325~+400 | 7.6 | 19.24 | 90.93 | 1.31 | 0.08 | 2.96 | 1.97 | 2.23 | 0.26 | 0.26 |
| −400 | 58.4 | 13.30 | 94.42 | 0.05 | 0.03 | 2.67 | 1.14 | 1.29 | 0.20 | 0.20 |
| Total | 100 | 14.17 | ||||||||
| Product | Yield/% | Grade/% | Recovery/% | ||||||
|---|---|---|---|---|---|---|---|---|---|
| Copper | Zinc | Iron | Silver * | Copper | Zinc | Iron | Silver | ||
| Copper concentrate | 2.6 | 20.31 | 4.78 | 10.18 | 532 | 86.1 | 7.4 | 1.9 | 79.5 |
| Zinc concentrate | 3.2 | 1.59 | 45.97 | 10.21 | 42 | 8.3 | 87.6 | 2.3 | 7.7 |
| Iron concentrate | 17.4 | 0.02 | 0.09 | 63.39 | 4 | 0.6 | 0.9 | 77.8 | 4.0 |
| Tailing | 76.8 | 0.04 | 0.09 | 3.32 | 2 | 5.0 | 4.1 | 18.0 | 8.8 |
| Raw ore | 100.0 | 0.61 | 1.68 | 14.17 | 17.4 | 100 | 100 | 100 | 100 |
| Adsorption Configuration | Adsorption Energy (kJ/mol) | ||
|---|---|---|---|
| Chalcopyrite (112) Plane | Sphalerite (110) Plane | Magnetite (110) Plane | |
| Adsorption of carbonyl S | −19.45 | −16.11 | 6.27 |
| Adsorption of N | −9.79 | −7.13 | 12.69 |
| Adsorption of O | −15.90 | −13.67 | 9.38 |
| Simultaneous adsorption of carbonyl S together with N | −10.39 | −9.94 | 10.38 |
| Simultaneous adsorption of carbonyl S together with O | −21.89 | −18.21 | 2.67 |
| Simultaneous adsorption of N and O | −5.47 | −4.22 | 14.39 |
| Bonding Atom | Adsorption State | Electron Charge (e) | Charge Population | ||
|---|---|---|---|---|---|
| s | p | d | |||
| Carbonyl S | Before adsorption | 1.82 | 4.41 | 0.00 | −0.23 |
| After adsorption | 1.82 | 4.35 | 0.00 | −0.17 | |
| Cu(S-Cu) | Before adsorption | 0.61 | 0.43 | 9.74 | 0.23 |
| After adsorption | 0.61 | 0.43 | 9.78 | 0.19 | |
| O Atom | Before adsorption | 1.77 | 4.66 | 0.00 | −0.44 |
| After adsorption | 1.77 | 4.69 | 0.00 | −0.47 | |
| Cu(O-Cu) | Before adsorption | 0.61 | 0.43 | 9.74 | 0.23 |
| After adsorption | 0.60 | 0.42 | 9.67 | 0.32 | |
Publisher’s Note: MDPI stays neutral with regard to jurisdictional claims in published maps and institutional affiliations. |
© 2022 by the authors. Licensee MDPI, Basel, Switzerland. This article is an open access article distributed under the terms and conditions of the Creative Commons Attribution (CC BY) license (https://creativecommons.org/licenses/by/4.0/).
Share and Cite
Xu, B.; Zhong, S.; Wu, J.; Zhou, Y.; Yang, Y.; Li, Q.; Jiang, T. A Comprehensive Recovery Process for Selective Separation and Enrichment of Copper, Zinc and Iron Minerals from a Polymetallic Ore and the Adsorption Mechanism of Collector Z-200. Minerals 2022, 12, 384. https://doi.org/10.3390/min12030384
Xu B, Zhong S, Wu J, Zhou Y, Yang Y, Li Q, Jiang T. A Comprehensive Recovery Process for Selective Separation and Enrichment of Copper, Zinc and Iron Minerals from a Polymetallic Ore and the Adsorption Mechanism of Collector Z-200. Minerals. 2022; 12(3):384. https://doi.org/10.3390/min12030384
Chicago/Turabian StyleXu, Bin, Shouguo Zhong, Jintian Wu, Yujuan Zhou, Yongbin Yang, Qian Li, and Tao Jiang. 2022. "A Comprehensive Recovery Process for Selective Separation and Enrichment of Copper, Zinc and Iron Minerals from a Polymetallic Ore and the Adsorption Mechanism of Collector Z-200" Minerals 12, no. 3: 384. https://doi.org/10.3390/min12030384
APA StyleXu, B., Zhong, S., Wu, J., Zhou, Y., Yang, Y., Li, Q., & Jiang, T. (2022). A Comprehensive Recovery Process for Selective Separation and Enrichment of Copper, Zinc and Iron Minerals from a Polymetallic Ore and the Adsorption Mechanism of Collector Z-200. Minerals, 12(3), 384. https://doi.org/10.3390/min12030384
