The Features of Distribution of Chemical Elements, including Heavy Metals and Cs-137, in Surface Sediments of the Barents, Kara, Laptev and East Siberian Seas
Abstract
:1. Introduction
2. Materials and Methods
2.1. Some Geochemical Features of the Studied Areas
2.2. Sampling Location and Processing
2.3. Analytical Methods
2.3.1. Grain-Size and Elemental Analysis of Sediment Samples
2.3.2. The Radionuclide Analysis
2.4. Statistical Data Processing
2.5. Enrichment and Contamination Assessment of Sediments
3. Results
3.1. The Grain Size Composition, Total Organic/Inorganic Carbon and Cs-137 Content
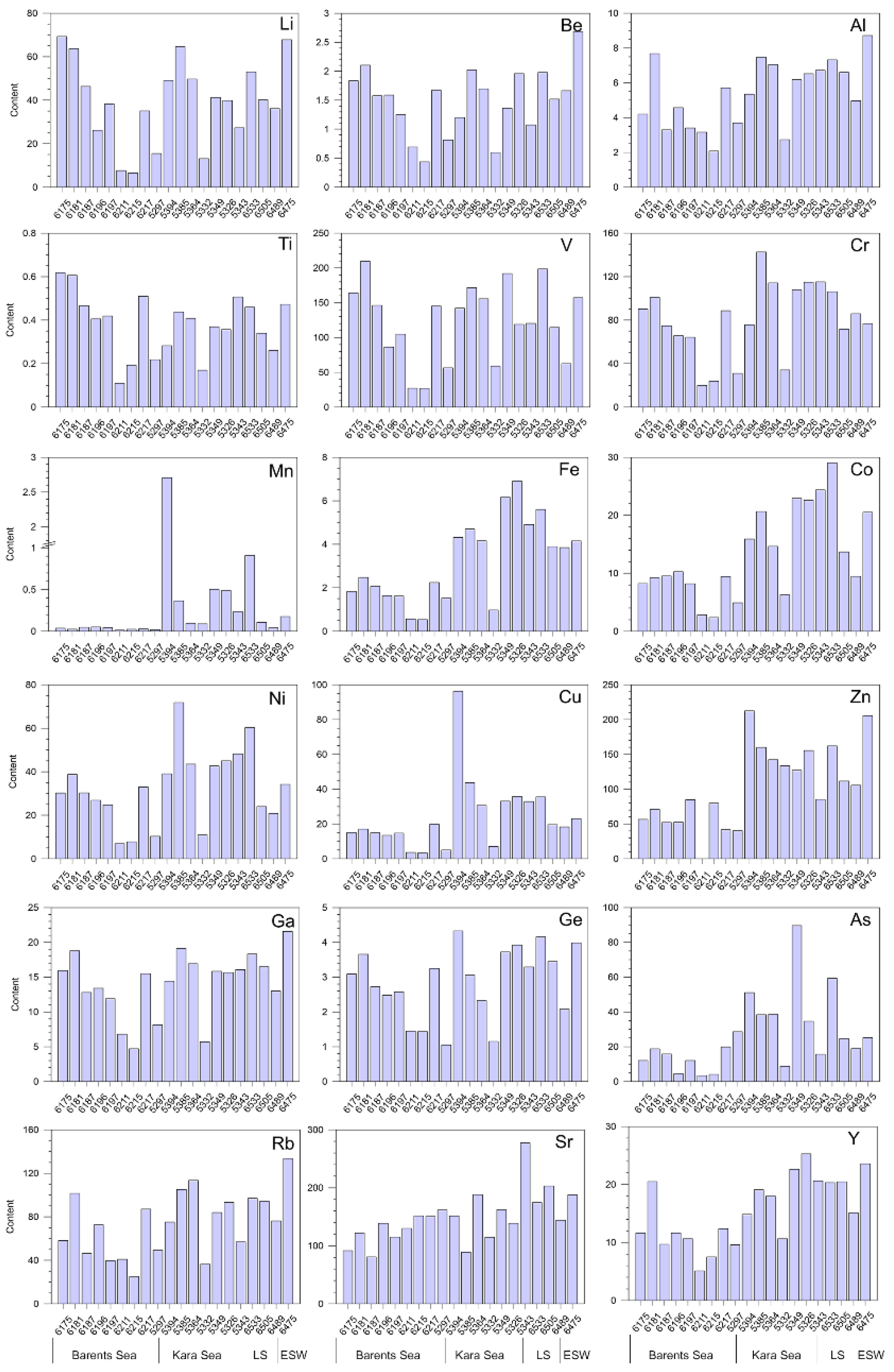
3.2. The Total Element Contents’ Distribution
3.3. Level of Contamination and Potential Ecological Risk
4. Discussion
4.1. Controlling Factors of Elements Distribution
4.2. Contamination and Ecological Risks
4.3. Cs-137 in the Arctic Seas’ Sediments
5. Conclusions
Supplementary Materials
Author Contributions
Funding
Data Availability Statement
Acknowledgments
Conflicts of Interest
References
- Contaminated Sediment Management Strategy Forum; Environmental Protection Agency, Office of Water: Washington, DC, USA, 1992; p. 215.
- Flint, M.V.; Poyarkov, S.G. Comprehensive research on the Kara Sea ecosystem (128th cruise of research vessel Professor Shtokman). Oceanology 2015, 4, 657–659. [Google Scholar] [CrossRef]
- Aarkrog, A. Radioactivity in Polar Regions—Main Sources. J. Environ. Radioact. 1994, 25, 21–35. [Google Scholar] [CrossRef]
- Kershaw, P.J.; McCubbin, D.; Leonard, K.S. Continuing contamination of north Atlantic and Arctic waters by Sellafield radionuclides. Sci. Total Environ. 1999, 237–238, 119–132. [Google Scholar] [CrossRef]
- Vakulovsky, S.M.; Kryshev, I.I.; Nikitin, A.I. Radioactive contamination of the Yenisei River. J. Environ. Radioact. 1995, 29, 225–236. [Google Scholar] [CrossRef]
- Pavlidis, M.Y. Features of surface sediment distribution of the eastern part of the Barents Sea. Oceanology 1995, 35, 614–622, (In Russian with English Abstract). [Google Scholar]
- Loring, D.H.; Naes, K.; Dahle, S.; Matishov, G.G.; Illin, G. Arsenic, trace metals, and organic micro contaminants in sediments from the Pechora Sea, Russia. Mar. Geol. 1995, 128, 153–167. [Google Scholar] [CrossRef]
- Gurvich, E.G.; Vlasova, I.E.; Gordeev, V.Y.; Isaeva, A.B. Chemical composition of bottom sediments of the Barents Sea. In Experience of System Oceanologic Studies in the Arctic; Lisitsyn, A.P., Vinogradov, M.E., Romankevich, E.A., Eds.; Science World: Moscow, Russia, 2001; pp. 616–635, (In Russian with English Abstract). [Google Scholar]
- Dai, M.-H.; Martin, J.-M. First data on trace metal level and behavior in two major Arctic river-estuarine systems (Ob and Yenisey) and in the adjacent Kara Sea, Russia. Earth Planet Sci. Lett. 1995, 131, 127–141. [Google Scholar] [CrossRef]
- Loring, D.H.; Dahle, S.; Naes, K.; Dos Santos, J.; Skei, J.M.; Matishov, G.G. Arsenic and other Trace Metals in Sediments from the Kara Sea and the Ob and Yenisey Estuaries, Russia. Aquat. Geochem. 1998, 4, 233–252. [Google Scholar] [CrossRef]
- Gurvich, E.G.; Isaeva, A.B.; Demina, L.L.; Levitan, M.A.; Muraviev, K.G. The chemical composition of bottom sediments from the Kara Sea and Estuaries of Ob and Yenisei Rivers. Oceanology 1994, 34, 766–775, (In Russian with English Abstract). [Google Scholar]
- Nolting, R.F.; van Dalen, M.; Helder, W. Distribution of trace and major elements in sediment and pore waters of the Lena Delta and Laptev Sea. Mar. Chem. 1996, 53, 285–299. [Google Scholar] [CrossRef]
- Garnier, J.-M.; Martin, J.-M.; Mouchel, J.-M.; Sioud, K. Partitioning of trace metals between the dissolved and particulate phases and particulate surface reactivity in the Lena River estuary and the Laptev Sea (Russia). Mar. Chem. 1996, 53, 269–283. [Google Scholar] [CrossRef]
- Holemann, J.A.; Schirmacher, M.; Prange, A. Transport anddistribution of trace elements in the Laptev Sea: First results of the Transdrift expeditions. Rep. Polar Res. 1995, 176, 297–302. [Google Scholar]
- Holemann, J.A.; Schirmacher, M.; Kassens, H.; Prange, A. Geochemistry of surficial and ice-rafted sediments from the Laptev Sea (Siberia). Estuar. Coast. Shelf Sci. 1999, 49, 45–59. [Google Scholar] [CrossRef]
- Asadulin, E.E.; Miroshnikov, A.Y.; Velichkin, V.I. Geochemical signature of bottom sediments in the mixing zones of Ob and Yenisei waters with Kara Sea water. Geochem. Int. 2013, 51, 1005–1018. [Google Scholar] [CrossRef]
- Rusakov, V.Y.; Kuzmina, T.G.; Levitan, M.A.; Toropchenova, E.S.; Zhilkina, A.V. Heavy metals distribution in the surface layer of bottom sediments of the Kara Sea. Geochem. Int. 2017, 55, 1079–1089. [Google Scholar] [CrossRef]
- Rusakov, V.Y.; Kuzmina, T.G.; Toropchenova, E.S.; Zhilkina, A.V. Modern sedimentation in the Kara Sea: Evidence from the lithological–geochemical investigation of surface bottom sediments. Geochem. Int. 2018, 56, 1189–1208. [Google Scholar] [CrossRef]
- Rozanov, A.G. Geochemistry of the bottom sediments in the Kara Sea west of the Yamal Peninsula. Oceanology 2015, 55, 263–272. [Google Scholar] [CrossRef]
- Rozanov, A.G. Geochemical features of the deepwater sediments of the Kara Sea (Novaya Zemlya Basin and St. Anna Trench). Oceanology 2015, 55, 644–656. [Google Scholar] [CrossRef]
- Novikov, M.A.; Zhilin, A.Y. Distribution of heavy metals in bottom sediments of the Barents Sea based on the results of statistical analysis. Vestn. KRAUNZ Earth Sci. 2016, 1, 78–88. (In Russian) [Google Scholar]
- Demina, L.L.; Dara, O.M.; Aliev, R.A.; Alekseeva, T.; Budko, D.F.; Novichkova, E.; Politova, N.; Solomatina, A.; Bulokhov, A. Elemental and mineral composition of the Barents Sea recent and late Pleistocene Holocene sediments: A correlation with environmental conditions. Minerals 2020, 10, 593. [Google Scholar] [CrossRef]
- Sattarova, V.; Aksentov, K.; Astakhov, A.; Shi, X.; Hu, L.; Alatortsev, A.; Mariash, A.; Yaroshchuk, E. Trace metals in surface sediments from the Laptev and East Siberian Seas: Levels, enrichment, contamination assessment, and sources. Mar. Pollut. Bull. 2021, 173, 112997. [Google Scholar] [CrossRef] [PubMed]
- Laukert, G.; Makhotin, M.; Petrova, M.V.; Frank, M.; Hathorne, E.C.; Bauch, D.; Böning, P.; Kassens, H. Water mass transformation in the Barents Sea inferred from radiogenic neodymium isotopes, rare earth elements and stable oxygen isotopes. Chem. Geol. 2019, 511, 416–430. [Google Scholar] [CrossRef]
- Oziel, L.; Sirven, J.; Gascard, J.C. The Barents Sea frontal zones and water masses variability (1980–2011). Ocean Sci. 2016, 12, 169–184. [Google Scholar] [CrossRef] [Green Version]
- Polyakov, I.V.; Pnyushkov, A.V.; Alkire, M.B.; Ashik, I.M.; Baumann, T.M.; Carmack, E.; Goszczko, I.; Guthrie, J.; Ivanov, V.V.; Kanzow, T.; et al. Greater role for Atlantic inflows on sea-ice loss in the Eurasian Basin of the Arctic Ocean. Science 2017, 356, 285–291. [Google Scholar] [CrossRef] [PubMed] [Green Version]
- Shevchenko, V.; Lisitzin, A.; Vinogradova, A.; Stein, R. Heavy metals in aerosols over the seas of the Russian Arctic. Sci. Total Environ. 2003, 306, 11–25. [Google Scholar] [CrossRef] [Green Version]
- Flint, M.V.; Poyarkov, S.G.; Rimsky-Korsako, N.A.; Miroshnilov, A.Y. Ecosystems of Siberian Arctic seas: Spring processes in the Kara Sea (Cruise 76 of the R/V Akademik Mstislav Keldysh). Oceanology 2020, 60, 135–137. [Google Scholar] [CrossRef]
- Lisitzin, A.P. Sea-Ice and Iceberg Sedimentation in the World Ocean: Present and Past; Springer: Berlin/Heidelberg, Germany, 2002; p. 563. [Google Scholar]
- Eicken, H.; Reimnitz, E.; Alexandrov, V.; Martin, T.; Kassens, H.; Viehoff, T. Sea-ice processes in the Laptev Sea and their importance for sediment export. Cont. Shelf Res. 1996, 12, 205–233. [Google Scholar] [CrossRef] [Green Version]
- Dobrovolsky, A.D.; Zalogin, B.S. Seas of the USSR; Publishing House of the Moscow University: Moscow, Russia, 1982; p. 192. (In Russian) [Google Scholar]
- Miroshnikov, A.Y.; Asadulin, E.E.; Usacheva, A.A.; Komarov, V.B.; Flint, M.V.; Kravchishina, M.D.; Luksha, V.L.; Ryabchuk, D.V. Ecological state and mineral-geochemical characteristics of the bottom sediments of the East Siberian Sea. Oceanology 2020, 60, 518–531. [Google Scholar] [CrossRef]
- Pavlidis, Y.A.; Shcherbakov, F.A. Resent bottom sediments of the eurasian Arctic seas. Oceanology 2000, 40, 129–138. [Google Scholar]
- Petelin, V.P. Granulometrical Analysis of Marine Sediments; Nauka: Moscow, Russia, 1967; p. 218. (In Russian) [Google Scholar]
- Nikolaeva, I.Y.; Fyazullina, R.V.; Bychkova, Y.V.; Bychkov, A.Y.; Bychkov, D.A. Methods of Geochemical Research; Publishers Book-Memoir: Moscow, Russia, 2019; p. 94. (In Russian) [Google Scholar]
- Travkina, A.V.; Goryachenkova, T.A.; Borisov, A.P.; Ligaev, A.N.; Novikov, A.P. Monitoring the environmental contamination of Kara Sea and shallow bays of Novaya Zemlya. J. Radioanal. Nucl. Chem. 2017, 311, 1673–1680. [Google Scholar] [CrossRef]
- Salomons, W.; Forstner, U. Metals in the Hydrocycle; Springer: Berlin/Heidelberg, Germany, 1984; p. 349. [Google Scholar]
- Rudnick, R.L.; Gao, S. Composition of the continental crust. Treatise Geochem. 2003, 3, 1–64. [Google Scholar]
- Sutherland, R.A. Bed sediment associated trace metals in an urban stream Oahu, Hawaii. Environ. Geol. 2000, 39, 611–627. [Google Scholar] [CrossRef]
- Turekian, K.K.; Wedepohl, K.H. Distribution of the elements in some major units of the earth’s crust. Geol. Soc. Am. Bull. 1961, 72, 175–182. [Google Scholar] [CrossRef]
- Muller, G. Index of geoaccumulation in sediments of the Rhine river. Geojournal 1969, 2, 108–118. [Google Scholar]
- Hakanson, L. An ecological risk index for aquatic pollution control a sedimentological approach. Water Res. 1980, 14, 975–1001. [Google Scholar] [CrossRef]
- Astakhov, A.S.; Gusev, E.A.; Kolesnik, A.N.; Shakirov, P.B. Conditions of the organic matter and metal accumulation in the Chukchi Sea bottom sediments. Geol. Geophisics 2013, 54, 1348–1365. [Google Scholar] [CrossRef]
- Reykhard, L.Y.; Shulga, N.A. Fe-Mn nodule morphotypes from the NE Clarion-Clipperton Fracture Zone, Pacific Ocean: Comparison of mineralogy, geochemistry and genesis. Ore Geol. Rev. 2019, 110, 102933. [Google Scholar] [CrossRef]
- Achab, M.; Gutierrez-Mas, J.M. Heavy minerals in modern sediments of the bay of Cadiz and the adjacent continental shelf (southwestern Spain): Nature and origin. Thalassas 2009, 25, 27–40. [Google Scholar]
- Li, Y.-H.; Bischoff, J.; Mathieu, G. Migration of manganese in Arctic Basin sediments. Earth Planet. Sci. Lett. 1969, 7, 265–270. [Google Scholar]
- Murray, J.W.; Dillard, J.G.; Giovanoli, R.; Moers, H.; Stumm, W. Oxidation of Mn(II): Initial mineralogy, oxidation state and ageing. Geochim. Cosmochim. Acta 1985, 49, 463–470. [Google Scholar] [CrossRef]
- Marz, C.; Stratmann, A.; Matthiessen, J.; Meinhardt, A.-K.; Eckert, S.; Schnetger, B.; Vogt, C.; Stein, R.; Brumsack, H.-J. Manganese-rich brown layers in Arctic Ocean sediments: Composition, formation mechanisms, and diagenetic overprint. Geochim. Cosmochim. Acta 2011, 75, 7668–7687. [Google Scholar] [CrossRef]
- Löwemark, L.; Jakobsson, M.; Mörth, M.; Backman, J. Arctic Ocean manganese contents and sediment colour cycles. Polar Res. 2008, 27, 105–113. [Google Scholar] [CrossRef]
- Fischer, K.; Dymond, J.; Lyle, M. The benthic cycle of copper: Evidence from sediment trap experiments in the eastern tropical North Pacific Ocean. Geochim. Cosmochim. Acta 1986, 50, 1535–1543. [Google Scholar] [CrossRef]
- Shaw, T.J.; Gieskes, J.M.; Jahnke, R.A. Early diagenesis in differing depositional environments: The response of transition metals in pore water. Geochim. Cosmochim. Acta 1990, 54, 1233–1246. [Google Scholar] [CrossRef]
- Piotrowicz, S.R.; Harvey, G.R.; Boran, D.A.; Weisel, C.P.; Springer-Young, M. Cadmium, copper, and zinc interactions with marine humus as a function of ligand structure. Mar. Chem. 1984, 14, 333–346. [Google Scholar] [CrossRef]
- Grotti, M.; Soggia, F.; Ianni, C.; Magi, E.; Udisti, R. Bioavailability of trace elements in surface sediments from Kongsfjorden, Svalbard. Mar. Pollut. Bull. 2013, 77, 367–374. [Google Scholar] [CrossRef]
- Davis, N. The Arctic wasteland: A perspective on Arctic pollution. Polar Rec. 1996, 32, 237–248. [Google Scholar] [CrossRef]
- Evans, L.K.; Nishioka, J. Accumulation processes of trace metals into Arctic Sea ice: Distribution of Fe, Mn and Cd associated with ice structure. Mar. Chem. 2019, 209, 36–47. [Google Scholar] [CrossRef]
- Martin, J.H.; Knauer, G.A. The elemental composition of plankton. Geochim. Cosmochim. Acta 1973, 37, 1639–1653. [Google Scholar] [CrossRef]
- Fisher, N.S.; Fowler, S.W. The role of biogenic debris in the vertical transport of heavy and transuranic elements. In Oceanic Processes of Marine Pollution; O’Connor, T.P., Burt, W.V., Eds.; Kriegel: Malabar, FL, USA, 1987; p. 197. [Google Scholar]
- Morel, F.M.M.; Lam, P.J.; Saito, M.A. Trace metal substitution in marine phytoplankton. Annu. Rev. Earth Planet. Sci. 2020, 48, 491–517. [Google Scholar] [CrossRef] [Green Version]
- Linnik, P.N.; Nabivanets, B.I. Forms of Metal Migration in Fresh Surface Waters; Gidrometeoizdat: Leningrad, Russia, 1986; p. 272, (In Russian with English Abstract). [Google Scholar]
- Fedotov, P.S.; Kördel, W.; Miró, M.; Peijnenburg, W.J.G.M.; Wennrich, R.; Huang, P.-M. Extraction and fractionation methods for exposure assessment of trace metals, metalloids, and hazardous organic compounds in terrestrial environments. Crit. Rev. Environ. Sci. Technol. 2012, 42, 1117–1171. [Google Scholar] [CrossRef]
- Knight, L.J.; Turner, A. Particle-water interactions of bismuth under simulated estuarine conditions. Chemosphere 2020, 251, 126400. [Google Scholar] [CrossRef] [PubMed]
- Lisitsyn, A.P.; Shevchenko, V.P.; Vinogradov, M.E.; Severina, O.V.; Vavilova, V.V.; Mitskevich, I.N. Particle fluxes in the Kara Sea and Ob and Yenisey estuaries. Oceanology 1995, 34, 683–693. [Google Scholar]
- Budko, D.F.; Demina, L.L.; Lisitzin, A.P.; Kravchishina, M.D.; Politova, N.V. Occurrence forms of trace metals in recent bottom sediments from the White and Barents Seas. Dokl. Earth Sci. 2017, 474, 552–556. [Google Scholar] [CrossRef]
- Siegel, F.R.; Kravitz, J.H.; Galasso, J.J. Arsenic and mercury contamination in 31 cores taken in 1965, St. Anna Trough, Kara Sea, Arctic Ocean. Environ. Geol. 2001, 40, 528–542. [Google Scholar] [CrossRef]
- Krickov, I.V.; Lim, A.G.; Manasypov, R.M.; Loiko, S.V.; Vorobyev, S.N.; Shevchenko, V.P.; Dara, O.M.; Gordeev, V.V.; Pokrovsky, O.S. Major and trace elements in suspended matter of western Siberian rivers: First assessment across permafrost zones and landscape parameters of watersheds. Geochim. Cosmochim. Acta 2020, 269, 429–450. [Google Scholar] [CrossRef]
- Gordeev, V.V.; Rachold, V.; Vlasova, I.E. Geochemical behaviour of major and trace elements in suspended particulate material of the Irtysh river, the main tributary of the Ob river, Siberia. Appl. Geochem. 2004, 19, 593–610. [Google Scholar] [CrossRef] [Green Version]
- Makkaveev, P.N.; Stunzhas, P.A.; Melnikova, Z.G.; Khlebopashev, P.V.; Yakubov, S.K. Hydrochemical characteristics of the waters in the western part of the Kara Sea. Oceanology 2010, 50, 688–697. [Google Scholar] [CrossRef]
- Tribovillard, N. Arsenic in marine sediments: How robust a redox proxy? Palaeogeogr. Palaeoclimatol. Palaeoecol. 2020, 550, 109745. [Google Scholar] [CrossRef]
- Imai, N.; Ando, A.; Takeda, E. Minor elements in Japanese coal (II). Bull. Geol. Surv. Jpn. 1984, 35, 287–314. [Google Scholar]
- Yudovich, Y.E.; Ketris, M.P. Arsenic in coal: A review. Int. J. Coal Geol. 2005, 61, 141–196. [Google Scholar] [CrossRef]
- Pavlotskaya, F.I.; Tyuryukanova, E.B.; Baranov, V.I. Global Distribution of Radioactive Strontium over the Earth’s Surface; Nauka: Moscow, Russia, 1970; p. 160. (In Russian) [Google Scholar]
- Pavlotskaya, F.I. Migration of Radioactive Products of Global Deposition in Soils; Atomizdat: Moscow, Russia, 1974; p. 215. [Google Scholar]
- Johnson-Pyrtle, A.; Scott, M.R. Distribution of Cs in the Lena River Estuary–Laptev Sea System. Mar. Pollut. Bull. 2001, 42, 912–926. [Google Scholar] [CrossRef]
- Matishov, G.G.; Kasatkina, N.E.; Usyagina, I.S. Technogenic radioactivity of waters in the central Arctic basin and adjacent water areas. Dokl. Earth Sci. 2019, 485, 288–292. [Google Scholar] [CrossRef]
- Lisitzin, A.P. Marginal filter of the oceans. Oceanology 1994, 34, 735–747, (In Russian with English Abstract). [Google Scholar]
- Von Gunten, H.R.; Benes, P. Speciation of Radionuclides in the Environment. PSI Ber. 1994, 94, 63. [Google Scholar] [CrossRef] [Green Version]
- Kuzmenkova, N.V.; Krupskaya, V.V.; Duriagina, E.V.; Semenkov, I.N.; Vinokurov, S.E. Radionuclides distribution and its sorption behavior in the surface layer of the Kara Sea bottom sediments. Geochem. Int. 2019, 57, 1213–1220. [Google Scholar] [CrossRef]







| Сruise’s Number and Year | Station | Latitude, N | Longitude, E | Area | Depth, m |
|---|---|---|---|---|---|
| No 66, 2016 | 5297 | 70°11.7′ | 057°32.9′ | Kara Gate Strait | 124 |
| 5302 | 73°06.1′ | 061°19.1′ | Kara Sea | 87 | |
| 5326 | 72°09.9′ | 074°17.7′ | Ob River Estuary | 13 | |
| 5332 | 74°15.9′ | 075°29.2′ | Kara Sea, central part | 30 | |
| 5343 | 72°05.6′ | 081°28.9′ | Yenisei Bay | 11 | |
| 5349 | 74°17.9′ | 078°38.0′ | Kara Sea, central part | 34 | |
| 5364 | 75°38.3′ | 063°37.4′ | Novaya Zemlya, Blagopoluchiya Bay | 85 | |
| 5379 | 74°38.5′ | 059°53.7′ | Novaya Zemlya, Sedov Bay | 51 | |
| 5385 | 74°30.8′ | 059°24.0′ | Novaya Zemlya, Oga Bay | 100 | |
| 5394 | 72°20.8′ | 057°52.7′ | Novaya Zemlya Trough | 330 | |
| No 69, 2017 | 5591 | 75°41.2′ | 115°45.5′ | Laptev Sea | 45 |
| 5596 | 74°25.0′ | 130°49.8′ | Laptev Sea | 22 | |
| No 75, 2019 | 6175 | 75°50.451′ | 16°35.624′ | Barents Sea | 360 |
| 6181 | 75°26.157′ | 26°48.459′ | Barents Sea | 199 | |
| 6187 | 74°53.936′ | 27°31.685′ | Barents Sea | 351 | |
| 6196 | 71°49.95′ | 27°30.111′ | Barents Sea | 329 | |
| 6197 | 73°9.899′ | 32°59.965′ | Barents Sea | 209 | |
| 6211 | 70°19.979′ | 40°0.222′ | Barents Sea | 168 | |
| 6215 | 71°35.219′ | 46°50.598′ | Barents Sea | 53 | |
| 6217 | 71°13.527′ | 45°2.444′ | Barents Sea | 240 | |
| No 78, 2019 | 6475 | 74°55.4′ | 160°56.5′ | East Siberian Sea | 45 |
| 6489 | 73°07.1′ | 130°23.8′ | Lena River delta | 24 | |
| 6505 | 75°12.0′ | 129°08.6′ | Laptev Sea | 41 | |
| 6533 | 77°57.1′ | 104°19.2′ | Vilkitsky Strait | 228 |
| Criteria | Equation | Category | Description |
|---|---|---|---|
| Contamination Factor (CF) | , where —mean content of elements from at list five sampling sites; —concentration of elements in the Earth’s crust | CF < 1 | Low |
| 1 < CF < 3 | Moderate | ||
| 3 < CF < 6 | Considerable | ||
| CF > 6 | Very high contamination | ||
| Potential Ecological Risk Factor (ER) | , where —toxic response factor of element; —Contamination Factor | ER < 40 | Low |
| 40 < ER ≤ 80 | Moderate | ||
| 80 < ER ≤ 160 | Considerable | ||
| 160 < ER ≤ 320 | High | ||
| ER > 320 | Very high risk | ||
| Degree of Contamination (DC) | DC = , where —Contamination Factor | DC < 6 | Low |
| 6 < DC ≤ 12 | Moderate | ||
| 12 < DC ≤ 24 | Considerable | ||
| DC > 24 | Very high degree | ||
| Risk Index (RI) | RI = , where —Potential Ecological Risk Factor | RI < 40 | Low |
| 80 < RI ≤ 160 | Moderate | ||
| 160 < RI ≤ 320 | Considerable | ||
| RI > 320 | High risk |
| Station, Sea | Cs-137 Activity, Bk kg−1 | TOC, % | TIC, % | Gravel | Sand | Silt | Pelite |
|---|---|---|---|---|---|---|---|
| 6175, Barents Sea | ND | 2.36 | 0.11 | 0 | <1 | 15 | 85 |
| 6181, Barents Sea | ND | 2.34 | 0.11 | 56 | 7 | 8 | 29 |
| 6187, Barents Sea | ND | 2.35 | 0.07 | <1 | 5 | 19 | 76 |
| 6196, Barents Sea | ND | 1.38 | 0.08 | 1 | 9 | 30 | 60 |
| 6197, Barents Sea | ND | 2.75 | 0.22 | 28 | 24 | 20 | 28 |
| 6211, Barents Sea | ND | 0.25 | 0.06 | <1 | 66 | 24 | 10 |
| 6215, Barents Sea | ND | 0.28 | 0.03 | <1 | 97 | 2 | <1 |
| 6217, Barents Sea | ND | 2.26 | 0.72 | 0 | <1 | 16 | 84 |
| 5297, Kara Gate Strait | 1.2 ± 0.1 | ND | ND | 3 | 55 | 15 | 27 |
| 5302, Kara Sea | ND | 1.18 | 0.12 | ND | ND | ND | ND |
| 5326, Kara Sea | 7.7 ± 0.6 | ND | ND | 0 | <1 | <1 | 99 |
| 5332, Kara Sea | 0.5 ± 0.1 | ND | ND | 0 | 67 | 12 | 21 |
| 5343, Kara Sea | 18.0 ± 0.2 | ND | ND | 0 | <1 | 24 | 75 |
| 5349, Kara Sea | 10.5 ± 0.1 | ND | ND | 0 | <1 | 3 | 96 |
| 5364, Kara Sea | 4.6 ± 0.2 | ND | ND | 6 | 3 | 12 | 78 |
| 5379, Kara Sea | ND | 0.94 | 0.07 | ND | ND | ND | ND |
| 5385, Kara Sea | 2.1 ± 0.2 | ND | ND | <1 | <1 | 5 | 94 |
| 5394, Kara Sea | 5.3 ± 0.6 | ND | ND | 0 | 5 | 5 | 90 |
| 5591, Laptev Sea | ND | 0.200 | 0.18 | ND | ND | ND | ND |
| 5596, Laptev Sea | ND | 0.66 | 0.28 | ND | ND | ND | ND |
| 6475, East Siberian Sea | 1.58 ± 0.5 | ND | ND | 0 | <1 | 17 | 83 |
| 6489, Laptev Sea | 5.93 ± 0.48 | ND | ND | 0 | 1 | 16 | 83 |
| 6505, Laptev Sea | 4.23 ± 0.41 | ND | ND | 0 | 1 | 16 | 83 |
| 6533, Vilkitsky Strait | 6.70 ± 0.68 | ND | ND | 0 | <1 | 14 | 85 |
Publisher’s Note: MDPI stays neutral with regard to jurisdictional claims in published maps and institutional affiliations. |
© 2022 by the authors. Licensee MDPI, Basel, Switzerland. This article is an open access article distributed under the terms and conditions of the Creative Commons Attribution (CC BY) license (https://creativecommons.org/licenses/by/4.0/).
Share and Cite
Budko, D.F.; Demina, L.L.; Travkina, A.V.; Starodymova, D.P.; Alekseeva, T.N. The Features of Distribution of Chemical Elements, including Heavy Metals and Cs-137, in Surface Sediments of the Barents, Kara, Laptev and East Siberian Seas. Minerals 2022, 12, 328. https://doi.org/10.3390/min12030328
Budko DF, Demina LL, Travkina AV, Starodymova DP, Alekseeva TN. The Features of Distribution of Chemical Elements, including Heavy Metals and Cs-137, in Surface Sediments of the Barents, Kara, Laptev and East Siberian Seas. Minerals. 2022; 12(3):328. https://doi.org/10.3390/min12030328
Chicago/Turabian StyleBudko, Dmitry F., Liudmila L. Demina, Anna V. Travkina, Dina P. Starodymova, and Tatiyana N. Alekseeva. 2022. "The Features of Distribution of Chemical Elements, including Heavy Metals and Cs-137, in Surface Sediments of the Barents, Kara, Laptev and East Siberian Seas" Minerals 12, no. 3: 328. https://doi.org/10.3390/min12030328
APA StyleBudko, D. F., Demina, L. L., Travkina, A. V., Starodymova, D. P., & Alekseeva, T. N. (2022). The Features of Distribution of Chemical Elements, including Heavy Metals and Cs-137, in Surface Sediments of the Barents, Kara, Laptev and East Siberian Seas. Minerals, 12(3), 328. https://doi.org/10.3390/min12030328

