Spatial Variability of Metals in Coastal Sediments of Ełckie Lake (Poland)
Abstract
:1. Introduction
2. Materials and Methods
2.1. Study Area
2.2. Sample Collection and Preparation
2.3. Assessment of Sediment Contamination
2.4. Statistical Analysis
3. Results
3.1. Selected Parameters Shaping Metal Content in Coastal Sediment
3.2. Concentrations of Major Elements and Five Potentially Toxic Elements (PTE) in Sediments
- urbanized: Ca > Mg > Fe > Na > K > Mn > Zn > Cr > Cu > Pb > Co,
 - agricultural and forest: Ca > Mg > Fe > Na > K > Mn > Cr > Zn > Pb > Cu > Co,
 - beach A: Ca > Mg > Fe > Na > K > Mn > Cr > Zn > Pb > Cu > Co,
 - beach B: Ca > Mg > Fe > Na > K > Mn > Cr > Zn > Pb > Co > Cu.
 
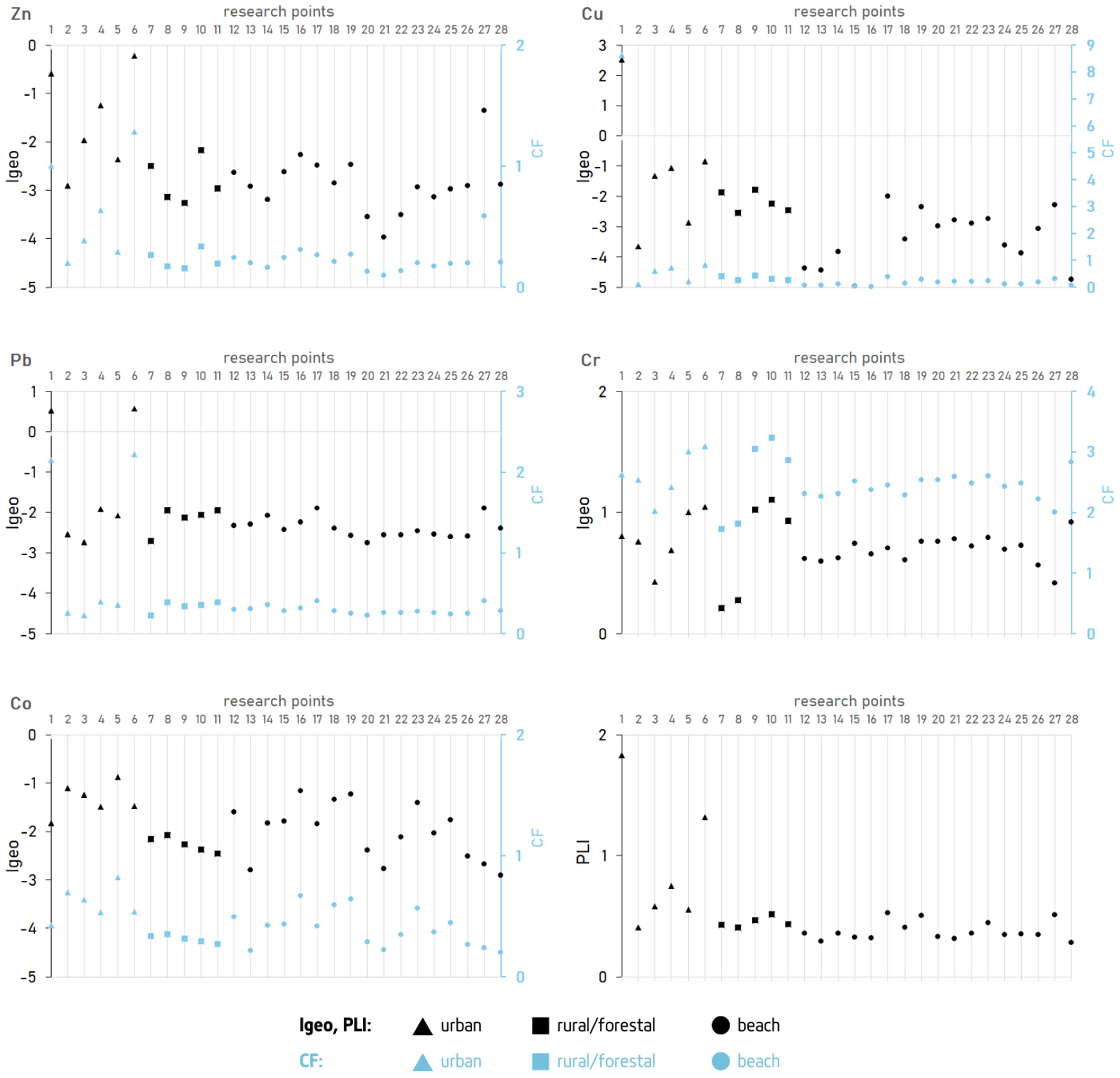
3.3. Contamination Indices (Igeo, CF, PLI)
3.4. Spatial Distribution of Metals
4. Discussion
Identification of Pollution Sources Using Statistical Analyses
5. Conclusions
Author Contributions
Funding
Conflicts of Interest
References
- Petrosyan, V.; Pirumyan, G.; Perikhanyan, Y. Determination of heavy metal background concentration in bottom sediment and risk assessment of sediment pollution by heavy metals in the Hrazdan River (Armenia). Appl. Water Sci. 2019, 9, 102. [Google Scholar] [CrossRef] [Green Version]
 - Ramírez-Pérez, A.M.; Álvarez-Vázquez, M.A.; De Uña-Álvarez, E.; de Blas, E. Environmental assessment of trace metals in San Simon bay sediments (NW Iberian Peninsula). Minerals 2020, 10, 826. [Google Scholar] [CrossRef]
 - Kurilenko, V.V.; Osmolovskaya, N.G. Ecological-biogeochemical role of macrophytes in aquatic ecosystems of urbanized territories (An example of small water bodies of St. Petersburg). Russ. J. Ecol. 2006, 37, 147–151. [Google Scholar] [CrossRef]
 - Alonso Castillo, M.L.; Sánchez Trujillo, I.; Vereda Alonso, E.; García de Torres, A.; Cano Pavón, J.M. Bioavailability of heavy metals in water and sediments from a typical Mediterranean Bay (Málaga Bay, Region of Andalucía, Southern Spain). Mar. Pollut. Bull. 2013, 76, 427–434. [Google Scholar] [CrossRef] [PubMed]
 - Superville, P.J.; Prygiel, E.; Magnier, A.; Lesven, L.; Gao, Y.; Baeyens, W.; Ouddane, B.; Dumoulin, D.; Billon, G. Daily variations of Zn and Pb concentrations in the DeÛle River in relation to the resuspension of heavily polluted sediments. Sci. Total Environ. 2014, 470–471, 600–607. [Google Scholar] [CrossRef] [PubMed]
 - Valiev, V.S.; Ivanov, D.V.; Ziganshin, I.I.; Aleksandrova, A.B.; Khasanov, R.R.; Shamaev, D.E.; Malanin, V.V. Adapted methodology for comprehensive contamination assessment of bottom sediments on the content of various forms of heavy metals. IOP Conf. Ser. Mater. Sci. Eng. 2019, 663, 012059. [Google Scholar] [CrossRef] [Green Version]
 - Ali, Z.; Malik, R.N.; Qadir, A. Heavy metals distribution and risk assessment in soils affected by tannery effluents. Chem. Ecol. 2013, 29, 676–692. [Google Scholar] [CrossRef]
 - Wang, J.; Liu, G.; Lu, L.; Zhang, J.; Liu, H. Geochemical normalization and assessment of heavy metals (Cu, Pb, Zn, and Ni) in sediments from the Huaihe River, Anhui, China. Catena 2015, 129, 30–38. [Google Scholar] [CrossRef]
 - Jernström, J.; Lehto, J.; Dauvalter, V.A.; Hatakka, A.; Leskinen, A.; Paatero, J. Heavy metals in bottom sediments of Lake Umbozero in Murmansk Region, Russia. Environ. Monit. Assess. 2010, 161, 93–105. [Google Scholar] [CrossRef]
 - Nazeer, S.; Hashmi, M.Z.; Malik, R.N. Heavy metals distribution, risk assessment and water quality characterization by water quality index of the River Soan, Pakistan. Ecol. Indic. 2014, 43, 262–270. [Google Scholar] [CrossRef]
 - Lone, A.M.; Achyuthan, H.; Shah, R.A.; Sangode, S.J. Environmental Magnetism and Heavy Metal Assemblages in Lake Bottom Sediments, Anchar Lake, Srinagar, NW Himalaya, India. Int. J. Environ. Res. 2018, 12, 489–502. [Google Scholar] [CrossRef]
 - Landre, A.L.; Winter, J.G.; Helm, P.; Hiriart-Baer, V.; Young, J. Metals in Lake Simcoe sediments and tributaries: Do recent trends indicate changing sources? J. Great Lakes Res. 2011, 37, 124–131. [Google Scholar] [CrossRef]
 - Baek, Y.-W.; An, Y.-J. Assessment of toxic heavy metals in urban lake sediments as related to urban stressor and bioavailability. Environ. Monit. Assess. 2010, 171, 529–537. [Google Scholar] [CrossRef] [PubMed]
 - Zhu, Y.G.; Ioannidis, J.P.A.; Li, H.; Jones, K.C.; Martin, F.L. Understanding and harnessing the health effects of rapid urbanization in China. Environ. Sci. Technol. 2011, 45, 5099–5104. [Google Scholar] [CrossRef]
 - Bhattacharya, T.; Chakraborty, S.; Tuteja, D.; Patel, M. Zinc and Chromium Load in Road Dust, Suspended Particulate Matter and Foliar Dust Deposits of Anand City, Gujarat. Open J. Met. 2013, 3, 42–50. [Google Scholar] [CrossRef] [Green Version]
 - Adamiec, E.; Jarosz-Krzemińska, E.; Wieszała, R. Heavy metals from non-exhaust vehicle emissions in urban and motorway road dusts. Environ. Monit. Assess. 2016, 188, 369. [Google Scholar] [CrossRef] [Green Version]
 - Zhao, H.; Li, X.; Wang, X.; Tian, D. Grain size distribution of road-deposited sediment and its contribution to heavy metal pollution in urban runoff in Beijing, China. J. Hazard. Mater. 2010, 183, 203–210. [Google Scholar] [CrossRef]
 - Dunalska, J.A. Rekultywacja Jezior—Teoria i Praktyka; Polska Akademia Nauk: Warsaw, Poland, 2019; ISBN 978-83-63714-47-5. [Google Scholar]
 - Górniak, A. Klimat i termika wód powierzchniowych. In Kotlina Biebrzańska i Biebrzański Park Narodowy. Aktualny Stan, Walory, Zagrożenia i Potrzeby Czynnej Ochrony Środowiska; Monografia przyrodnicza; Banaszuk, H., Ed.; Wydawnictwo Ekonomia i Środowisko: Białystok, Poland, 2004; pp. 345–362. ISBN 978-3-030-12122-8. [Google Scholar]
 - Li, H.B.; Yu, S.; Li, G.L.; Liu, Y.; Bin Yu, G.; Deng, H.; Wu, S.C.; Wong, M.H. Urbanization increased metal levels in lake surface sediment and catchment topsoil of waterscape parks. Sci. Total Environ. 2012, 432, 202–209. [Google Scholar] [CrossRef]
 - Ekengele, L.N.; Blaise, A.; Jung, M.C. Accumulation of heavy metals in surface sediments of Lere Lake, Chad. Geosci. J. 2017, 21, 305–315. [Google Scholar] [CrossRef]
 - Unda-Calvo, J.; Ruiz-Romera, E.; Fdez-Ortiz de Vallejuelo, S.; Martínez-Santos, M.; Gredilla, A. Evaluating the role of particle size on urban environmental geochemistry of metals in surface sediments. Sci. Total Environ. 2019, 646, 121–133. [Google Scholar] [CrossRef]
 - Bojakowska, I.; Sokołowska, G. Geochemiczne klasy czystości osadów wodnych. Prz. Geol. 1998, 46, 49–54. [Google Scholar]
 - Turekian, K.K.; Wedepohl, K.H. Distribution of the Elements in Some Major Units of the Earth’s Crust. Geol. Soc. Am. Bull. 1961, 72, 175–192. [Google Scholar] [CrossRef]
 - Kowalska, J.B.; Mazurek, R.; Gąsiorek, M.; Zaleski, T. Pollution indices as useful tools for the comprehensive evaluation of the degree of soil contamination—A review. Environ. Geochem. Health 2018, 40, 2395–2420. [Google Scholar] [CrossRef] [PubMed] [Green Version]
 - Müller, G. Index of geoaccumulation in sediments of the Rhine River. Geol. J. 1969, 2, 108–118. [Google Scholar]
 - Hakanson, L. An ecological risk index for aquatic pollution control: A sedimentological approach. Water Res. 1980, 14, 975–1001. [Google Scholar] [CrossRef]
 - Tomlinson, D.L.; Wilson, J.G.; Harris, C.R.; Jeffrey, D.W. Problems in the assessment of heavy-metal levels in estuaries and the formation of a pollution index. Helgoländer Meeresunters. 1980, 33, 566–575. [Google Scholar] [CrossRef] [Green Version]
 - Caeiro, S.; Costa, M.H.; Ramos, T.B.; Fernandes, F.; Silveira, N.; Coimbra, A.; Medeiros, G.; Painho, M. Assessing heavy metal contamination in Sado Estuary sediment: An index analysis approach. Ecol. Indic. 2005, 5, 151–169. [Google Scholar] [CrossRef]
 - Fernandes, C.; Fontaínhas-Fernandes, A.; Cabral, D.; Salgado, M.A. Heavy metals in water, sediment and tissues of Liza saliens from Esmoriz-Paramos lagoon, Portugal. Environ. Monit. Assess. 2008, 136, 267–275. [Google Scholar] [CrossRef]
 - Kucuksezgin, F.; Uluturhan, E.; Batki, H. Distribution of heavy metals in water, particulate matter and sediments of Gediz River (Eastern Aegean). Environ. Monit. Assess. 2008, 141, 213–225. [Google Scholar] [CrossRef]
 - Huo, S.; Xi, B.; Yu, X.; Su, J.; Zan, F.; Zhao, G. Application of equilibrium partitioning approach to derive sediment quality criteria for heavy metals in a shallow eutrophic lake, Lake Chaohu, China. Environ. Earth Sci. 2013, 69, 2275–2285. [Google Scholar] [CrossRef]
 - Amin, B.; Ismail, A.; Arshad, A.; Yap, C.K.; Kamarudin, M.S. Anthropogenic impacts on heavy metal concentrations in the coastal sediments of Dumai, Indonesia. Environ. Monit. Assess. 2009, 148, 291–305. [Google Scholar] [CrossRef] [PubMed]
 - Zahra, A.; Hashmi, M.Z.; Malik, R.N.; Ahmed, Z. Enrichment and geo-accumulation of heavy metals and risk assessment of sediments of the Kurang Nallah-Feeding tributary of the Rawal Lake Reservoir, Pakistan. Sci. Total Environ. 2014, 470–471, 925–933. [Google Scholar] [CrossRef] [PubMed]
 - Zheng, N.; Wang, Q.; Liang, Z.; Zheng, D. Characterization of heavy metal concentrations in the sediments of three freshwater rivers in Huludao City, Northeast China. Environ. Pollut. 2008, 154, 135–142. [Google Scholar] [CrossRef] [PubMed]
 - Belzile, N.; Chen, Y.W.; Gunn, J.M.; Dixit, S.S. Sediment trace metal profiles in lakes of Killarney Park, Canada: From regional to continental influence. Environ. Pollut. 2004, 130, 239–248. [Google Scholar] [CrossRef]
 - Guven, D.E.; Akinci, G. Effect of sediment size on bioleaching of heavy metals from contaminated sediments of Izmir Inner Bay. J. Environ. Sci. 2013, 25, 1784–1794. [Google Scholar] [CrossRef]
 - Hacısalihoğlu, S.; Karaer, F. Relationships of Heavy Metals in Waterand Surface Sediment with Different ChemicalFractions in Lake Uluabat, Turkey. Pol. J. Environ. Stud. 2016, 25, 1937–1946. [Google Scholar] [CrossRef]
 - Hong, S.W.; Kim, H.S.; Chung, T.H. Alteration of sediment organic matter in sediment microbial fuel cells. Environ. Pollut. 2010, 158, 185–191. [Google Scholar] [CrossRef]
 - He, Z.; Li, F.; Dominech, S.; Wen, X.; Yang, S. Heavy metals of surface sediments in the Changjiang (Yangtze River) Estuary: Distribution, speciation and environmental risks. J. Geochem. Explor. 2019, 198, 18–28. [Google Scholar] [CrossRef]
 - Fernandes, L.; Nayak, G.N.; Ilangovan, D.; Borole, D.V. Accumulation of sediment, organic matter and trace metals with space and time, in a creek along Mumbai coast, India. Estuar. Coast. Shelf Sci. 2011, 91, 388–399. [Google Scholar] [CrossRef]
 - Sutherland, T.F.; Petersen, S.A.; Levings, C.D.; Martin, A.J. Distinguishing between natural and aquaculture-derived sediment concentrations of heavy metals in the Broughton Archipelago, British Columbia. Mar. Pollut. Bull. 2007, 54, 1451–1460. [Google Scholar] [CrossRef]
 - Zhang, C.; Yu, Z.; Zeng, G.; Jiang, M.; Yang, Z.; Cui, F.; Zhu, M.; Shen, L.; Hu, L. Effects of sediment geochemical properties on heavy metal bioavailability. Environ. Int. 2014, 73, 270–281. [Google Scholar] [CrossRef] [PubMed]
 - Skorbiłowicz, E.; Skorbiłowicz, M. Metals in grain fractions of bottom sediments from selected rivers in north-eastern Poland. Phys. Chem. Earth 2011, 36, 567–578. [Google Scholar] [CrossRef]
 - Skorbiłowicz, E.; Skorbiłowicz, M.; Misztal, W. Distribution of Nickel, Copper and Cobalt in the Grain Fractions of Bottom Sediments of the Sokolda River and its Tributaries (Poland). J. Ecol. Eng. 2020, 21, 88–96. [Google Scholar] [CrossRef]
 - Förstner, U.; Wittmann, G.T.W. Metal Pollution in the Aquatic Environment; Springer: Berlin/Heidelberg, Germany, 1979. [Google Scholar]
 - de Andrade, L.C.; Tiecher, T.; de Oliveira, J.S.; Andreazza, R.; Inda, A.V.; de Oliveira Camargo, F.A. Sediment pollution in margins of the Lake Guaíba, Southern Brazil. Environ. Monit. Assess. 2018, 190, 3. [Google Scholar] [CrossRef] [PubMed]
 - Chen, C.W.; Kao, C.M.; Chen, C.F.; Dong, C.D. Distribution and accumulation of heavy metals in the sediments of Kaohsiung Harbor, Taiwan. Chemosphere 2007, 66, 1431–1440. [Google Scholar] [CrossRef] [PubMed]
 - Skorbiłowicz, E. Studia nad Rozmieszczeniem Niektórych Metali w Środowisku Wodnym Zlewni Górnej Narwi; Oficyna Wydawnicza Politechniki Białostockiej: Białystok, Poland, 2012. [Google Scholar]
 - Yongming, H.; Peixuan, D.; Junji, C.; Posmentier, E.S. Multivariate analysis of heavy metal contamination in urban dusts of Xi’an, Central China. Sci. Total Environ. 2006, 355, 176–186. [Google Scholar] [CrossRef] [PubMed]
 - Bardelli, F.; Cattaruzza, E.; Gonella, F.; Rampazzo, G.; Valotto, G. Characterization of road dust collected in Traforo del San Bernardo highway tunnel: Fe and Mn speciation. Atmos. Environ. 2011, 45, 6459–6468. [Google Scholar] [CrossRef]
 - Han, N.M.M.; Latif, M.T.; Othman, M.; Dominick, D.; Mohamad, N.; Juahir, H.; Tahir, N.M. Composition of selected heavy metals in road dust from Kuala Lumpur city centre. Environ. Earth Sci. 2014, 72, 849–859. [Google Scholar] [CrossRef]
 - Hernández-Pellón, A.; Fernández-Olmo, I. Using multi-site data to apportion PM-bound metal(loid)s: Impact of a manganese alloy plant in an urban area. Sci. Total Environ. 2019, 651, 1476–1488. [Google Scholar] [CrossRef]
 - Karar, K.; Gupta, A.K.; Kumar, A.; Biswas, A.K. Characterization and identification of the sources of chromium, zinc, lead, cadmium, nickel, manganese and Iron in PM10 particulates at the two sites of Kolkata, India. Environ. Monit. Assess. 2006, 120, 347–360. [Google Scholar] [CrossRef]
 - Davis, H.T.; Marjorie Aelion, C.; McDermott, S.; Lawson, A.B. Identifying natural and anthropogenic sources of metals in urban and rural soils using GIS-based data, PCA, and spatial interpolation. Environ. Pollut. 2009, 157, 2378–2385. [Google Scholar] [CrossRef] [PubMed] [Green Version]
 - Swarnalatha, K.; Nair, A.G. Assessment of sediment quality of a tropical lake using sediment quality standards. Lakes Reserv. Res. Manag. 2017, 22, 65–73. [Google Scholar] [CrossRef]
 - Schauer, J.J.; Lough, G.C.; Shafer, M.M.; Christensen, W.F.; Arndt, M.F.; DeMinter, J.T.; Park, J.S. Characterization of Metals Emitted from Motor Vehicles; Health Effects Institute: Boston, MA, USA, 2006. [Google Scholar]
 - Ozaki, H.; Watanabe, I.; Kuno, K. Investigation of the heavy metal sources in relation to automobiles. Water. Air. Soil Pollut. 2004, 157, 209–223. [Google Scholar] [CrossRef]
 - Smolders, E.; Degryse, F. Fate and effect of zinc from tire debris in soil. Environ. Sci. Technol. 2002, 36, 3706–3710. [Google Scholar] [CrossRef] [PubMed]
 - Chatterjee, M.; Massolo, S.; Sarkar, S.K.; Bhattacharya, A.K.; Bhattacharya, B.D.; Satpathy, K.K.; Saha, S. An assessment of trace element contamination in intertidal sediment cores of Sunderban mangrove wetland, India for evaluating sediment quality guidelines. Environ. Monit. Assess. 2009, 150, 307–322. [Google Scholar] [CrossRef]
 - Rajaram, B.S.; Suryawanshi, P.V.; Bhanarkar, A.D.; Rao, C.V.C. Heavy metals contamination in road dust in Delhi city, India. Environ. Earth Sci. 2014, 72, 3929–3938. [Google Scholar] [CrossRef]
 - Adamiec, E. Road environments: Impact of metals on human health in heavily congested cities of Poland. Int. J. Environ. Res. Public Health 2017, 14, 697. [Google Scholar] [CrossRef] [Green Version]
 - Kahkha, M.R.R.; Bagheri, S.; Noori, R.; Piri, J.; Javan, S. Examining total concentration and sequential extraction of heavy metals in agricultural soil and wheat. Pol. J. Environ. Stud. 2017, 26, 2021–2028. [Google Scholar] [CrossRef]
 - Wei, B.; Yang, L. A review of heavy metal contaminations in urban soils, urban road dusts and agricultural soils from China. Microchem. J. 2010, 94, 99–107. [Google Scholar] [CrossRef]
 - Hahladakis, J.; Smaragdaki, E.; Vasilaki, G.; Gidarakos, E. Use of Sediment Quality Guidelines and pollution indicators for the assessment of heavy metal and PAH contamination in Greek surficial sea and lake sediments. Environ. Monit. Assess. 2013, 185, 2843–2853. [Google Scholar] [CrossRef]
 - Duman, F.; Aksoy, A.; Demirezen, D. Seasonal variability of heavy metals in surface sediment of Lake Sapanca, Turkey. Environ. Monit. Assess. 2007, 133, 277–283. [Google Scholar] [CrossRef] [PubMed]
 - Rabajczyk, A. Reservoir recultivation versus forms of heavy metals in sediments: The case of the Kielce City Lake. Cent. Eur. J. Chem. 2011, 9, 357–366. [Google Scholar] [CrossRef]
 - Alemdaroğlu, T.; Onur, E.; Erkakan, F.; Tu, T.; Alemdaro, T.; Glu, G.; Fu, F.; Erkakan, F. Trace Metal Levels In Surficial Sediments Of Lake Manyas, Turkey and Tributary. Int. J. Environ. Stud. 2003, 60, 287–298. [Google Scholar] [CrossRef]
 - Natesan, U.; Madan Kumar, M.; Deepthi, K. Mangrove sediments a sink for heavy metals? An assessment of Muthupet mangroves of Tamil Nadu, southeast coast of India. Environ. Earth Sci. 2014, 72, 1255–1270. [Google Scholar] [CrossRef]
 - Gopal, V.; Krishnakumar, S.; Simon Peter, T.; Nethaji, S.; Suresh Kumar, K.; Jayaprakash, M.; Magesh, N.S. Assessment of trace element accumulation in surface sediments off Chennai coast after a major flood event. Mar. Pollut. Bull. 2017, 114, 1063–1071. [Google Scholar] [CrossRef] [PubMed]
 - Gopal, V.; Kalpana, G.; Nethaji, S.; Jayaprakash, M. Geochemical study of core sediments from Ennore Creek, North of Chennai, Tamil Nadu, India. Arab. J. Geosci. 2016, 9, 141. [Google Scholar] [CrossRef]
 - Bhuiyan, M.A.H.; Parvez, L.; Islam, M.A.; Dampare, S.B.; Suzuki, S. Heavy metal pollution of coal mine-affected agricultural soils in the northern part of Bangladesh. J. Hazard. Mater. 2010, 173, 384–392. [Google Scholar] [CrossRef] [PubMed]
 - Robertson, D.J.; Taylor, K.G.; Hoon, S.R. Geochemical and mineral magnetic characterisation of urban sediment particulates, Manchester, UK. Appl. Geochem. 2003, 18, 269–282. [Google Scholar] [CrossRef]
 - Crosby, C.J.; Booth, C.A.; Worsley, A.T.; Fullen, M.A.; Searle, D.E.; Khatib, J.M.; Winspear, C.M. Application of mineral magnetic concentration measurements as a particle size proxy for urban road deposited sediments. WIT Trans. Ecol. Environ. 2009, 123, 153–162. [Google Scholar] [CrossRef] [Green Version]
 - Fianko, J.R.; Laar, C.; Osei, J.; Anim, A.K.; Gibrilla, A.; Adomako, D. Evaluation of some heavy metal loading in the Kpeshi lagoon, Ghana. Appl. Water Sci. 2013, 3, 311–319. [Google Scholar] [CrossRef] [Green Version]
 - Paneer Selvam, A.; Laxmi Priya, S.; Banerjee, K.; Hariharan, G.; Purvaja, R.; Ramesh, R. Heavy metal assessment using geochemical and statistical tools in the surface sediments of Vembanad Lake, Southwest Coast of India. Environ. Monit. Assess. 2012, 184, 5899–5915. [Google Scholar] [CrossRef] [PubMed]
 - Hlavay, J.; Prohaska, T.; Weisz, M.; Wenzel, W.W.; Stingeder, G.J. Determination of trace elements bound to soils and sediment fractions: (IUPAC Technical Report). Pure Appl. Chem. 2004, 76, 415–442. [Google Scholar] [CrossRef]
 - Kargar, M.; Jutras, P.; Clark, O.G.; Hendershot, W.H.; Prasher, S.O. Trace Metal Contamination Influenced by Land Use, Soil Age, and Organic Matter in Montreal Tree Pit Soil. J. Environ. Qual. 2013, 42, 1527–1533. [Google Scholar] [CrossRef] [PubMed]
 



| Geoaccumulation Index (Igeo) | Contamination Factor (CF) | Pollution Load Index (PLI) | |||
|---|---|---|---|---|---|
| Value | Sediment Quality | Value | Sediment Contamination | Value | Pollution Status | 
| Igeo ≤ 0 | uncontaminated | CF < 1 | low | PLI = 0 | denote perfection | 
| 0 < Igeo < 1 | uncontaminated to moderately contaminated | ||||
| 1 < Igeo < 2 | moderately contaminated | 1 ≤ CF < 3 | moderate | 0 < PLI ≤ 1 | only baseline levels of pollution | 
| 2 < Igeo < 3 | moderately to strongly contaminated | 3 ≤ CF< 6 | considerable | PLI > 1 | deterioration of sediment quality | 
| 3 < Igeo < 4 | strongly contaminated | CF ≥ 6 | very high | ||
| 4 < Igeo < 5 | strongly to extremely contaminated | ||||
| Igeo ≥ 5 | extremely contaminated | ||||
| Urban Areas (n = 6)  | Rural/Forest Areas (n =5 )  | Beach A (n = 10)  | Beach B (n = 7)  | |
|---|---|---|---|---|
| pH (-) | 7.9–8.1 | 7.8–8.1 | 7.9–8.2 | 8.0–8.3 | 
| OM (%) | 0.4–2.2 | 0.7–1.9 | 0.4–1.4 | 0.3–1.0 | 
| granulometric fractions (%) | ||||
| >2.0 mm | 15.91 | 28.81 | 10.01 | 12.23 | 
| 1.0–2.0 mm | 15.76 | 6.81 | 13.82 | 10.48 | 
| 0.2–1.0 mm | 61.23 | 50.94 | 50.43 | 55.79 | 
| 0.1–0.2 mm | 6.11 | 12.05 | 22.16 | 19.22 | 
| 0.063–0.1 mm | 0.72 | 1.04 | 2.83 | 1.67 | 
| <0.063 mm | 0.27 | 0.35 | 0.75 | 0.61 | 
| Ca | Mg | Fe | Na | K | Mn | Zn | Cr | Cu | Pb | Co | |
|---|---|---|---|---|---|---|---|---|---|---|---|
| GGB [24] | 22,100 | 15,000 | 47,200 | 9600 | 26,600 | 850 | 95 | 90 | 45 | 20 | 19 | 
| LGB [23] | n.a. | n.a. | n.a. | n.a. | n.a. | n.a. | 48 | 5 | 6 | 10 | 2 | 
| Urban Area | |||||||||||
| min | 15,841.8 | 1506.9 | 1931.8 | 283.1 | 160.9 | 68.7 | 9.6 | 10.1 | 0.7 | 2.3 | 0.8 | 
| max | 47,718.1 | 4772.3 | 3659.0 | 747.3 | 436.1 | 120.9 | 61.6 | 15.5 | 51.7 | 22.2 | 1.6 | 
| average | 28,633.1 | 2697.4 | 2609.5 | 560.0 | 302.4 | 97.8 | 30.4 a | 13.1 | 11.1 b | 9.3 | 1.2 de | 
| SD | 11,584.9 f | 1207.5 | 590.7 | 200.6 | 109.3 | 20.2 | 20.6 | 2.0 | 20.0 | 9.7 | 0.3 | 
| Rural/Forest Area | |||||||||||
| min | 23,774.7 | 973.1 | 1169.4 | 328.0 | 92.9 | 18.4 | 7.5 | 8.7 | 1.6 | 2.3 | 0.5 | 
| max | 50,447.3 | 4412.8 | 3767.0 | 864.7 | 210.0 | 136.4 | 16.0 | 16.2 | 2.6 | 3.9 | 0.7 | 
| average | 31,415.4 | 2292.5 h | 1922.0 | 523.2 | 132.4 | 94.3 | 10.8 | 12.7 | 2.0c | 3.4 | 0.6 d | 
| SD | 11,123.8 | 1383.5 | 1055.7 | 237.5 | 48.4 | 46.4 | 3.6 | 3.6 | 0.5 | 0.7 | 0.1 | 
| Beach A | |||||||||||
| min | 21,153.9 | 2619.1 | 1706.2 | 291.2 | 59.7 | 60.1 | 4.6 | 10.0 | 0.3 | 2.2 | 0.4 | 
| max | 42,402.2 | 8814.0 | 3953.9 | 370.8 | 568.5 | 109.3 | 28.1 | 14.2 | 1.9 | 4.0 | 1.3 | 
| average | 27,400.3 fg | 4410.2 | 2182.9 | 320.7 | 217.7 | 89.9 | 10.4 a | 12.4 | 1.1 | 2.7 | 0.7 e | 
| SD | 6468.5 | 1801.9 | 679.9 | 28.2 | 147.6 | 15.5 | 6.6 | 1.1 | 0.5 | 0.5 | 0.3 | 
| Beach B | |||||||||||
| min | 23,198.5 | 3792.3 | 2026.8 | 339.6 | 190.9 | 47.8 | 7.9 | 11.3 | 0.1 | 2.8 | 0.4 | 
| max | 35,672.2 | 5998.3 | 2999.3 | 697.6 | 276.1 | 72.8 | 14.9 | 12.9 | 2.3 | 4.0 | 1.3 | 
| average | 28,946.2 g | 4865.2 h | 2457.2 | 468.8 | 234.6 | 65.1 | 11.2 | 11.8 | 0.7bc | 3.2 | 0.9 | 
| SD | 4078.8 | 910.2 | 392.9 | 150.7 | 33.6 | 8.4 | 2.3 | 0.5 | 0.7 | 0.4 | 0.3 | 
| Lake, Localisation | Zn | Cu | Pb | Co | Cr | Mn | Fe | Ca | Na | Mg | K | Ref. | 
|---|---|---|---|---|---|---|---|---|---|---|---|---|
| Rural/Forest Areas | ||||||||||||
| Lere Lake, Chad | 29.0 | 13.5 | 5.1 | 1.4 | 20.5 | - | 14,410 | - | - | - | - | [21] | 
| Lake Guaíba, Brazil | 33.6 | 1.9 | 4.7 | - | 3.4 | 600 | 12,200 | 850 | 330 | 560 | 260 | [47] | 
| Ełckie Lake, Poland | 30.4 | 11.1 | 9.3 | 1.2 | 13.1 | 97.8 | 2609.5 | 28,633.1 | 560 | 2697.4 | 302.4 | this study | 
| Urban Areas | ||||||||||||
| Lake Koumoundourou, Greece | 91.7 | 24.6 | 46.1 | - | 76.1 | - | - | - | - | - | - | [65] | 
| Lake Guaíba, Brazil | 9.3–34.58 | 1.7–10.9 | 2.2–14.6 | - | 1.5–5.7 | 30–270 | 3300–6500 | 160–870 | 220–370 | 90–570 | 70–250 | [47] | 
| Sapanca Lake, Turkey | 62.0 | 26.7 | 15.2 | - | 19.1 | 337.8 | - | - | - | - | - | [66] | 
| Kielce City Lake, Poland | 11–98 | 1.4–35 | 56–324 | - | 3.7–168 | 122–940 | 2500–18,320 | - | - | - | - | [67] | 
| Ełckie Lake, Poland | 10.8 | 2.0 | 3.4 | 0.6 | 12.7 | 94.3 | 1922.0 | 31,415.4 | 523.2 | 2292.5 | 132.4 | this study | 
| Beaches | ||||||||||||
| Lake Manyas, Turkey | 224.7 | 33.6 | 119.1 | - | - | 760.7 | 23,419 | - | - | - | - | [68] | 
| Lake Guaíba, Ipanema Beach, Brazil | 11.9 | 1.8 | 4.3 | - | 2.7 | 60 | 3600 | 250 | 300 | 300 | 170 | [47] | 
| Lake Guaíba, Itapuã Beach, Brazil | 8.1 | 0.9 | 3.0 | - | 2.1 | 100 | 4100 | 290 | 290 | 160 | 60 | [47] | 
| Ełckie Lake, beach A, Poland | 10.4 | 1.1 | 2.7 | 0.7 | 12.4 | 89.9 | 2182.9 | 27,400.3 | 320.7 | 4410.2 | 217.7 | this study | 
| Ełckie Lake, beach B, Poland | 11.2 | 0.7 | 3.2 | 0.9 | 11.8 | 65.1 | 2457.1 | 28,946.2 | 468.8 | 4865.2 | 234.6 | this study | 
| Zn | Cu | Pb | Co | Cr | Mn | Fe | Ca | Na | Mg | K | OM | pH | |
|---|---|---|---|---|---|---|---|---|---|---|---|---|---|
| Zn | 1.00 | ||||||||||||
| Cu | 0.58 | 1.00 | |||||||||||
| Pb | 0.90 | 0.72 | 1.00 | ||||||||||
| Co | 0.19 | 0.01 | 0.08 | 1.00 | |||||||||
| Cr | 0.21 | 0.09 | 0.31 | 0.07 | 1.00 | ||||||||
| Mn | 0.12 | 0.02 | 0.13 | 0.03 | 0.35 | 1.00 | |||||||
| Fe | 0.40 | 0.08 | 0.32 | 0.31 | 0.16 | −0.57 | 1.00 | ||||||
| Ca | 0.03 | −0.17 | −0.20 | −0.03 | −0.27 | −0.55 | 0.47 | 1.00 | |||||
| Na | 0.17 | 0.29 | 0.09 | 0.07 | −0.57 | −0.13 | −0.09 | 0.17 | 1.00 | ||||
| Mg | −0.21 | −0.08 | −0.25 | 0.18 | −0.44 | −0.54 | 0.39 | 0.24 | −0.02 | 1.00 | |||
| K | 0.33 | 0.37 | 0.26 | 0.53 | −0.18 | −0.27 | 0.60 | 0.15 | 0.28 | 0.58 | 1.00 | ||
| OM | 0.06 | 0.28 | 0.14 | −0.31 | −0.12 | 0.25 | −0.34 | −0.16 | −0.07 | −0.04 | −0.15 | 1.00 | |
| pH | −0.10 | 0.02 | 0.05 | −0.04 | −0.08 | −0.32 | 0.11 | −0.35 | −0.12 | 0.42 | 0.08 | −0.03 | 1.00 | 
| Factor 1 | Factor 2 | Factor 3 | |
|---|---|---|---|
| Zn | 0.01 | 0.91 | −0.07 | 
| Cu | 0.13 | 0.81 | 0.27 | 
| Pb | 0.14 | 0.93 | −0.10 | 
| Co | −0.40 | 0.27 | −0.27 | 
| Cr | 0.29 | 0.23 | −0.69 | 
| Mn | 0.77 | 0.11 | −0.20 | 
| Fe | −0.69 | 0.39 | −0.32 | 
| Ca | −0.56 | −0.11 | 0.17 | 
| Na | −0.10 | 0.25 | 0.74 | 
| Mg | −0.68 | −0.14 | 0.23 | 
| K | −0.66 | 0.51 | 0.13 | 
| OM | 0.46 | 0.12 | 0.40 | 
| pH | −0.25 | −0.05 | −0.01 | 
| % of total variance | 25 | 23 | 14 | 
Publisher’s Note: MDPI stays neutral with regard to jurisdictional claims in published maps and institutional affiliations.  | 
© 2022 by the authors. Licensee MDPI, Basel, Switzerland. This article is an open access article distributed under the terms and conditions of the Creative Commons Attribution (CC BY) license (https://creativecommons.org/licenses/by/4.0/).
Share and Cite
Skorbiłowicz, E.; Rogowska, W.; Skorbiłowicz, M.; Ofman, P. Spatial Variability of Metals in Coastal Sediments of Ełckie Lake (Poland). Minerals 2022, 12, 173. https://doi.org/10.3390/min12020173
Skorbiłowicz E, Rogowska W, Skorbiłowicz M, Ofman P. Spatial Variability of Metals in Coastal Sediments of Ełckie Lake (Poland). Minerals. 2022; 12(2):173. https://doi.org/10.3390/min12020173
Chicago/Turabian StyleSkorbiłowicz, Elżbieta, Weronika Rogowska, Mirosław Skorbiłowicz, and Piotr Ofman. 2022. "Spatial Variability of Metals in Coastal Sediments of Ełckie Lake (Poland)" Minerals 12, no. 2: 173. https://doi.org/10.3390/min12020173
APA StyleSkorbiłowicz, E., Rogowska, W., Skorbiłowicz, M., & Ofman, P. (2022). Spatial Variability of Metals in Coastal Sediments of Ełckie Lake (Poland). Minerals, 12(2), 173. https://doi.org/10.3390/min12020173
        
                                                
