National-Scale Cobalt Geochemical Mapping of Exposed Crust in China
Abstract
:1. Introduction
2. Methods
2.1. Sampling and Analytical Methods
2.1.1. Collection of Sedimentary Rock Samples
2.1.2. Collection of Intrusive Rock Samples
2.1.3. Collection of Metamorphic Rock Samples
2.1.4. Sample Preparation and Analytical Methods
2.2. Map Producing
2.2.1. Data Preparation
2.2.2. Data Processing and Drawing of the Petrogeochemical Map of Cobalt
3. Results and Discussion
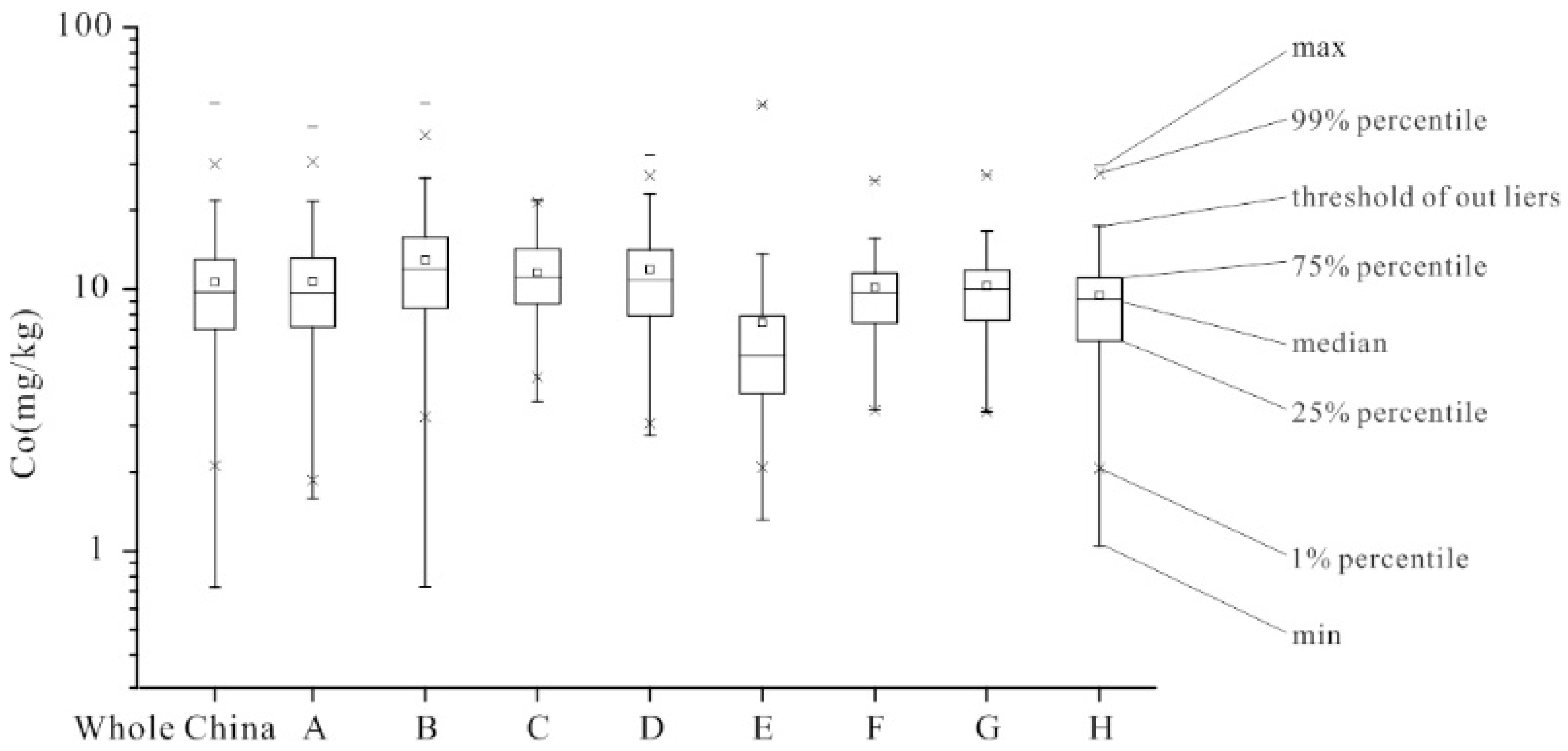
3.1. Cobalt Abundance of China’s Exposed Crust
3.2. Spatial Variation of Cobalt Abundance in the Exposed Crust
3.3. Cobalt Distribution in Relation to China’s Tectonic Framework
3.4. Verification of Cobalt Abundance of Exposed Crust
4. Conclusions
Author Contributions
Funding
Acknowledgments
Conflicts of Interest
References
- Dung, T.T.T.; Cappuyns, V.; Swennen, R.; Phung, N.K. From geochemical background determination to pollution assessment of heavy metals in sediments and soils. Rev. Environ. Sci. Bio/Technol. 2013, 12, 335–353. [Google Scholar] [CrossRef]
- Matschullat, J.; Ottenstein, R.; Reimann, C. Geochemical background–can we calculate it? Environ. Geol. 2000, 39, 990–1000. [Google Scholar] [CrossRef]
- Yang, F.; Xie, S.; Carranza, E.J.M.; Yao, L.; Tian, H.; Chen, Z. Vertical distribution of major ore-forming elements and the speciation in the semiarid system above the concealed Baiyinnuoer Pb-Zn deposit in inner Mongolia, China. Geochem. Explor. Environ. Anal. 2019, 19, 46–57. [Google Scholar] [CrossRef]
- da Conceição, F.T.; Vasconcelos, P.M.; Godoy, L.H.; Navarro, G.R.B.; Montibeller, C.C.; Sardinha, D.S. Water/rock interactions, chemical weathering and erosion, and supergene enrichment in the Tapira and Catalão I alkaline-carbonatite complexes, Brazil. J. Geochem. Explor. 2022, 237, 106999. [Google Scholar] [CrossRef]
- Li, J.; Gong, Q.; Yan, T.; Li, R.; Liu, N.; Cen, K. Quantitative description of geochemical backgrounds of gold due to rock weathering in Jiaodong peninsula, China. J. Geochem. Explor. 2018, 192, 155–162. [Google Scholar] [CrossRef]
- Zuo, R.; Wang, J.; Xiong, Y.; Wang, Z. The processing methods of geochemical exploration data: Past, present, and future. Appl. Geochem. 2021, 132, 105072. [Google Scholar] [CrossRef]
- Reimann, C.; Garrett, R.G. Geochemical background--concept and reality. Sci. Total Environ. 2005, 350, 12–27. [Google Scholar] [CrossRef] [PubMed]
- National Academies of Sciences, Engineering, and Medicine. A Vision for NSF Earth Sciences 2020–2030: Earth in Time; National Academies Press: Washington, DC, USA, 2020; p. 25. ISBN 9780309676007. [Google Scholar]
- Song, C.; Ji, H.; Beckford, H.O.; Chang, C.; Wang, S. Assessment of chemical weathering and physical erosion along a hillslope, southwest China. Catena 2019, 182, 104133. [Google Scholar] [CrossRef]
- Wilton, D.H.; Thompson, G.M.; Evans-Lamswood, D. MLA-SEM Characterization of Sulphide Weathering, Erosion, and Transport at the Voisey’s Bay Orthomagmatic Ni-Cu-Co Sulphide Mineralization, Labrador, Canada. Minerals 2021, 11, 1224. [Google Scholar] [CrossRef]
- Chi, Q.; Yan, M. Lithogeochemical map in the eastern part of China. Geochimica 2005, 34, 97–108. [Google Scholar]
- Liu, D.; Wang, X.; Zhou, J.; Liu, H.; Zhang, B.; Nie, L.; Wang, W.; Chi, Q.; Xu, S. Characteristics of China’s cobalt geochemical baselines and their influence factors. Acta Geosci. Sin. 2020, 41, 807–817. [Google Scholar]
- Chi, Q.; Yan, M. Handbook of Elemental Aboundace for Applied Geochemistry; Geological Publishing House: Beijing, China, 2007. [Google Scholar]
- Carr, M.H.; Turekian, K. The geochemistry of cobalt. Geochim. Cosmochim. Acta 1961, 23, 9–60. [Google Scholar] [CrossRef]
- Alves Dias, P.; Blagoeva, D.; Pavel, C.; Arvanitidis, N. Cobalt: Demand-Supply Balances in the Transition to Electric Mobility; Publications Office of the European Union: Luxembourg, 2018; p. 97710. [Google Scholar]
- Ren, J.; Wang, Z.; Chen, B.; Jiang, C.; Niu, B.; Li, J.; Xie, L.; He, Z.; Liu, Z. The Tectonics of China from a Global View—A Guide to the Tectonic Map of China and Adjacent Regions; Geological Publishing House: Beijing, China, 1999. [Google Scholar]
- Sustainability, D.; et Minières, B.D.R.G. Study on the Review of the List of Critical Raw Materials; Publications Office of the European Union: Luxembourg, 2017. [Google Scholar]
- Schulz, K.J.; DeYoung, J.H.; Seal, R.R.; Bradley, D.C. Critical Mineral Resources of the United States: Economic and Environmental Geology and Prospects for Future Supply; Geological Survey: Reston, VA, USA, 2017. [Google Scholar]
- Sun, X.; Hao, H.; Liu, Z.; Zhao, F.; Song, J. Tracing global cobalt flow: 1995–2015. Resour. Conserv. Recycl. 2019, 149, 45–55. [Google Scholar] [CrossRef]
- Chen, Z.; Zhang, L.; Xu, Z. Tracking and quantifying the cobalt flows in mainland China during 1994-2016: Insights into use, trade and prospective demand. Sci. Total Environ. 2019, 672, 752–762. [Google Scholar] [CrossRef] [PubMed]
- Mistikawy, J.A.; Mackowiak, T.J.; Butler, M.J.; Mischenko, I.C.; Cernak, R.S.; Richardson, J.B. Chromium, manganese, nickel, and cobalt mobility and bioavailability from mafic-to-ultramafic mine spoil weathering in western Massachusetts, USA. Environ. Geochem. Health 2020, 42, 3263–3279. [Google Scholar] [CrossRef] [PubMed]
- Friedland, G.; Grüneberg, B.; Hupfer, M. Geochemical signatures of lignite mining products in sediments downstream a fluvial-lacustrine system. Sci. Total Environ. 2021, 760, 143942. [Google Scholar] [CrossRef]
- Yan, M.; Chi, Q. The Chemical Compositions of Crust and Rocks in the Eastern Part of China; Science Press: Beijing, China, 1997. [Google Scholar]
- Liu, X.; Wang, X. A comparison of global-scale geochemical mapping projects. Earth Sci. Front. 2014, 21, 275–285. [Google Scholar] [CrossRef]
- Ye, T.; Huang, C.; Deng, Z. Spatial database of 1:2500000 digital geologic map of People’s Republic of China. Glob. Geol. Data 2017, 44, 19–24. [Google Scholar] [CrossRef]
- Liu, D.; Chi, Q.; Wang, X.; Nie, L.; Zhou, J.; Liu, H.; Zhang, B.; Wang, W.; Xu, S. Assessment of influence factors of cobalt in stream sediments from South China-West Qinling Geochemical transect. Acta Geol. Sin. 2022, 9, 1–15. [Google Scholar] [CrossRef]
- Chao, T.T.; Theobald, P. The significance of secondary iron and manganese oxides in geochemical exploration. Econ. Geol. 1976, 71, 1560–1569. [Google Scholar] [CrossRef]
- Philippe, A.; Schaumann, G.E. Interactions of dissolved organic matter with natural and engineered inorganic colloids: A review. Environ. Sci. Technol. 2014, 48, 8946–8962. [Google Scholar] [CrossRef]
- Rudnick, R.L.; Gao, S. The Composition of the Continental Crust; Elsevier Pergamon: Amsterdam, The Netherlands, 2003. [Google Scholar]
- McLennan, S.M.; Taylor, S.R. The Continental Crust: Its Composition and Evolution: An Examination of the Geochemical Record Preserved in Sedimentary Rocks; Blackwell Scientific: Oxford, UK, 1985. [Google Scholar]
- Wedepohl, K.H. The composition of the continental crust. Geochim. Cosmochim. Acta 1995, 59, 1217–1232. [Google Scholar] [CrossRef]
- Yan, M.; Chi, Q. The Chemical Composition of the Continental Crust and Rocks in the Eastern Part of China; Science Press: Beijing, China, 2005. [Google Scholar]
- Shaw, D.M.; Cramer, J.J.; Higgins, M.D.; Truscott, M.G. Composition of the Canadian Precambrian Shield and the Continental Crust of the Earth; Geological Society Special Publication: London, UK, 1986. [Google Scholar]
- Condie, K.C. Chemical composition and evolution of the upper continental crust: Contrasting results from surface samples and shales. Chem. Geol. 1993, 104, 1–37. [Google Scholar] [CrossRef]
- Sun, T. A new map sbowing the distribution of granites in South China and its explanatory notes. Geol. Bull. China 2006, 25, 332–335. [Google Scholar]
- Wang, X.; Shao, L.; Eriksson, K.A.; Yan, Z.; Wang, J.; Li, H.; Zhou, R.; Lu, J. Evolution of a plume-influenced source-to-sink system: An example from the coupled central Emeishan large igneous province and adjacent western Yangtze cratonic basin in the Late Permian, SW China. Earth-Sci. Rev. 2020, 207, 103224. [Google Scholar] [CrossRef]
- Zhang, Q.; Wang, C.Y.; Liu, D.; Jian, P.; Qian, Q.; Zhou, G.; Robinson, P.T. A brief review of ophiolites in China. J. Asian Earth Sci. 2008, 32, 308–324. [Google Scholar] [CrossRef]
- Xu, Y.; Li, H.; Hong, L.; Ma, L.; Ma, Q.; Sun, M. Generation of Cenozoic intraplate basalts in the big mantle wedge under eastern Asia. Sci. China Earth Sci. 2018, 61, 869–886. [Google Scholar] [CrossRef]
- Yakubchuk, A. Architecture and mineral deposit settings of the Altaid orogenic collage: A revised model. J. Asian Earth Sci. 2004, 23, 761–779. [Google Scholar] [CrossRef]
- Şengör, A.; Natal’In, B.; Burtman, V. Evolution of the Altaid tectonic collage and Palaeozoic crustal growth in Eurasia. Nature 1993, 364, 299–307. [Google Scholar] [CrossRef]
- Xiao, W.; Han, C.; Yuan, C.; Sun, M.; Lin, S.; Chen, H.; Li, Z.; Li, J.; Sun, S. Middle Cambrian to Permian subduction-related accretionary orogenesis of Northern Xinjiang, NW China: Implications for the tectonic evolution of central Asia. J. Asian Earth Sci. 2008, 32, 102–117. [Google Scholar] [CrossRef]
- Kovalenko, V.; Yarmolyuk, V.; Kovach, V.; Kotov, A.; Kozakov, I.; Salnikova, E.; Larin, A. Isotope provinces, mechanisms of generation and sources of the continental crust in the Central Asian mobile belt: Geological and isotopic evidence. J. Asian Earth Sci. 2004, 23, 605–627. [Google Scholar] [CrossRef]
- Zhai, M.-G.; Santosh, M. The early Precambrian odyssey of the North China Craton: A synoptic overview. Gondwana Res. 2011, 20, 6–25. [Google Scholar] [CrossRef]
- Zheng, Y.; Xiao, W.; Zhao, G. Introduction to Tectonics of China; Elsevier: Amsterdam, The Netherlands, 2013; Volume 23, pp. 1189–1206. [Google Scholar]
- Zhao, G.; Cawood, P.A. Precambrian geology of China. Precambrian Res. 2012, 222, 13–54. [Google Scholar] [CrossRef]
- Shu, L. An analysis of principal features of tectonic evolution in South China Block. Geol. Bull. China 2012, 31, 1035–1053. [Google Scholar]
- Song, S.; Zhang, L.; Niu, Y.; Su, L.; Song, B.; Liu, D. Evolution from oceanic subduction to continental collision: A case study from the Northern Tibetan Plateau based on geochemical and geochronological data. J. Pet. 2006, 47, 435–455. [Google Scholar] [CrossRef]
- Zhong, Y.; Luo, Z.; Mundil, R.; Wei, X.; Liu, H.; He, B.; Huang, X.; Tian, W.; Xu, Y. Constraining the duration of the Tarim flood basalts (northwestern China): CA-TIMS zircon U-Pb dating of tuffs. GSA Bull. 2022, 134, 325–334. [Google Scholar] [CrossRef]
- Chang, E.Z. Geology and tectonics of the Songpan-Ganzi fold belt, southwestern China. Int. Geol. Rev. 2000, 42, 813–831. [Google Scholar] [CrossRef]
- Enkelmann, E.; Weislogel, A.; Ratschbacher, L.; Eide, E.; Renno, A.; Wooden, J. How was the Triassic Songpan-Ganzi basin filled? A provenance study. Tectonics 2007, 26, n/a–n/a. [Google Scholar] [CrossRef]
- Metcalfe, I. Palaeozoic and Mesozoic tectonic evolution and palaeogeography of East Asian crustal fragments: The Korean Peninsula in context. Gondwana Res. 2006, 9, 24–46. [Google Scholar] [CrossRef]
- Qiu, K.; Yang, L. Genetic feature of monazite and its U-Th-Pb dating: Critical considerations on the tectonic evolution of Sanjiang Tethys. Acta Petrol. Sin. 2011, 27, 2721–2732. [Google Scholar]
- Tapponnier, P.; Zhiqin, X.; Roger, F.; Meyer, B.; Arnaud, N.; Wittlinger, G.; Jingsui, Y. Oblique stepwise rise and growth of the Tibet Plateau. Science 2001, 294, 1671–1677. [Google Scholar] [CrossRef]
- Mo, X.; Niu, Y.; Dong, G.; Zhao, Z.; Hou, Z.; Zhou, S.; Ke, S. Contribution of syncollisional felsic magmatism to continental crust growth: A case study of the Paleogene Linzizong volcanic succession in southern Tibet. Chem. Geol. 2008, 250, 49–67. [Google Scholar] [CrossRef]
- Brown, M. The generation, segregation, ascent and emplacement of granite magma: The migmatite-to-crustally-derived granite connection in thickened orogens. Earth-Sci. Rev. 1994, 36, 83–130. [Google Scholar] [CrossRef]
- Brown, M.; Solar, G.S. Granite ascent and emplacement during contractional deformation in convergent orogens. J. Struct. Geol. 1998, 20, 1365–1393. [Google Scholar] [CrossRef]
- Xiao, Q.; Qui, R.; Deng, J.; Li, T.; Mo, X.; Hong, D.; Lu, X.; Wang, T.; Wu, F.; Xie, C. Granitoids and continental crustal growth modes in China. China Geol. 2013, 32, 343–352. [Google Scholar]
- Shao, J.a.; Liu, F.; Chen, H.; Han, Q. Relationship between Mesozoic magmatism and subduction in the Da Hinggan-Yanshan area. Acta Geol. Sin. 2001, 75, 1–9. [Google Scholar]
- Ling, W.; Zhang, B.; Zhang, H.; Luo, T. The Nd isotopic geochemical constrain on the continental lithosphere relationship in the early history between Yangtz and Northern China cratons. J. Mineral. Petrol. 1996, 16, 74–80. [Google Scholar]
- Lu, S.; Zhao, G.; Wang, H.; Hao, G. Precambrian metamorphic basement and sedimentary cover of the North China Craton: A review. Precambrian Res. 2008, 160, 77–93. [Google Scholar] [CrossRef]
- Zhu, R.; Zhou, Z.; Meng, Q. Destruction of the North China Craton and its influence on surface geology and terrestrial biotas. Chin. Sci. Bull. 2020, 65, 2954–2965. [Google Scholar] [CrossRef]
- Gao, S.; Zhang, J.; Xu, W.; Liu, Y. Delamination and destruction of the North China Craton. Chin. Sci. Bull. 2009, 54, 3367–3378. [Google Scholar] [CrossRef]
- Xie, X.; Ren, T. National geochemical mapping and environmental geochemistry—Progress in China. J. Geochem. Explor. 1993, 49, 15–34. [Google Scholar]
- Xie, X.; Ren, T.; Sun, H. Geochemical Atlas of China; Geological Publishing House: Beijing, China, 2012. [Google Scholar]
- Xie, X.; Cheng, H. Sixty years of exploration geochemistry in China. J. Geochem. Explor. 2014, 139, 4–8. [Google Scholar] [CrossRef]
- Guo, Z.; Kong, M.; Zhang, H.; Yang, F.; Xu, R.; Wang, C.; Song, Y.; Han, W. Landscape division suitable for geochemical exploration. Geophys. Geochem. Explor. 2015, 39, 12–15. [Google Scholar]









| Ultrabasic Rocks | Argillaceous Rocks | ||
|---|---|---|---|
| Peridotite | 110 | Common Mudstone | 14.5 |
| Pyroxene peridotite | 105 | Silty mudstone | 12.4 |
| Basic rocks | Calcareous mudstone | 12.5 | |
| Diabase | 41 | Carbonaceous mudstone | 11 |
| Gabbro | 46 | Aluminiferous mudstone | 12 |
| Basalt | 47 | Ferroaluminiferous mudstone | 13 |
| Basic granulite | 57 | Tuffaceous mudstone | 8 |
| Amphibolite | 49 | Slates | 13 |
| Greenschist | 46 | Phyllites | 16 |
| Intermediate rocks | Schist | 14 | |
| Diorite | 21 | Arenaceous rocks | |
| Andesite | 26 | Arkose | 9 |
| Monzonite | 26 | Silty sandstone | 11 |
| Trachyandesite | 23 | Greywacke | 9.5 |
| Intermediate granulite | 28 | Calcareous Sandstone | 7 |
| Dioritic gneisses | 24 | Tuffaceous sandstone | 8.3 |
| Intermediate-acidic rocks | Metasandstone | 10 | |
| Granodiorite | 12 | Carbonate | |
| Tonalite | 15 | Limestone | 0.8 |
| Dacite | 8.7 | Argillaceous limestone | 2.9 |
| Intermediate-acidic granulite | 12 | Dolomite | 1.1 |
| Intermediate-acidic gneiss | 16 | Argillaceous dolomite | 1.6 |
| Acidic rocks | |||
| Granite | 3 | ||
| Rhyolite | 2.2 | ||
| Alkali granite | 1.2 | ||
| Monzonitic granite | 4.6 | ||
| Trondhjemite | 5.3 | ||
| N | Min. | P2.5 | P25 | P50 | P75 | P85 | P97.5 | Max. | Mean | Geometric Mean | |
|---|---|---|---|---|---|---|---|---|---|---|---|
| Exposed crust | 1421 | 0.73 | 2.97 | 7.01 | 9.74 | 12.99 | 15.58 | 25.23 | 51.29 | 10.67 | 9.33 |
| Soil | 3380 | 0.91 | 2.92 | 7.34 | 10.62 | 14.26 | 16.30 | 25.49 | 80.79 | 11.42 | 9.95 |
| Sample Quantity | Min | 2.50% | 25% | 50% | 75% | 85% | 98% | Max | Mean | Geometric Mean | |
|---|---|---|---|---|---|---|---|---|---|---|---|
| Whole China | 1421 | 0.7 | 3 | 7 | 9.7 | 13 | 15.6 | 25.2 | 51.3 | 10.7 | 9.3 |
| Orogens | 982 | 1 | 2.8 | 6.3 | 9.3 | 12.3 | 14.3 | 23.4 | 50.7 | 10 | 8.7 |
| Altay–Mongolia– Hinggan Orogens | 375 | 1.6 | 2.9 | 7.2 | 9.6 | 13.2 | 15.6 | 25.8 | 41.8 | 10.7 | 9.3 |
| Qin–Qi–Kun Orogens | 150 | 3.7 | 5.6 | 8.8 | 11.1 | 14.3 | 15.8 | 18.9 | 21.9 | 11.6 | 11 |
| Cathaysia Foldbelt | 159 | 1.3 | 2.3 | 4 | 5.5 | 7.9 | 9.9 | 23.7 | 50.7 | 7.4 | 6 |
| Songpan–Ganzi Terrane | 88 | 3.4 | 3.8 | 7.6 | 10 | 11.8 | 13.4 | 19.4 | 27.1 | 10.3 | 9.5 |
| Tibet–Sanjiang Orogens | 210 | 1 | 2.8 | 6.4 | 9.1 | 11.1 | 12.4 | 23 | 29.7 | 9.5 | 8.4 |
| Cratons | 439 | 0.7 | 3.9 | 8.2 | 11.2 | 14.6 | 17.2 | 26.4 | 51.3 | 12.2 | 10.9 |
| North China Craton | 230 | 0.7 | 3.7 | 8.5 | 12 | 15.8 | 17.5 | 29.6 | 51.3 | 12.9 | 11.3 |
| Yangtze Craton | 151 | 2.8 | 4.2 | 7.9 | 10.8 | 14 | 17.2 | 25.1 | 32.5 | 11.9 | 10.7 |
| Tarim Craton | 58 | 3.5 | 4.4 | 7.5 | 9.7 | 11.5 | 12.3 | 19.9 | 25.9 | 10.1 | 9.5 |
| Landscape | Number of Grids | Coefficient of Correlation | Co of Exposed Crust (mg/kg) | Co of Stream Sediments (mg/kg) | Enrichment Coefficient |
|---|---|---|---|---|---|
| All | 1051 | 0.31 | 10.49 | 12.08 | 1.15 |
| Humid hill | 233 | 0.66 | 9.87 | 13.00 | 1.32 |
| Karst | 67 | 0.61 | 8.28 | 20.03 | 2.42 |
| Tropical rainforest | 34 | 0.59 | 9.10 | 12.41 | 1.36 |
| Canyon | 65 | 0.57 | 12.53 | 15.74 | 1.26 |
| Arid Hill | 58 | 0.55 | 11.75 | 10.99 | 0.94 |
| Humid cold mountain | 57 | 0.41 | 9.69 | 11.37 | 1.17 |
| Swamp and forest | 127 | 0.34 | 11.44 | 12.91 | 1.13 |
| Cold swamp | 39 | 0.30 | 8.50 | 8.11 | 0.95 |
| Loess | 37 | 0.28 | 11.53 | 11.45 | 0.99 |
| Arid cold mountain | 197 | 0.26 | 10.01 | 10.29 | 1.03 |
| Gobi Desert | 137 | 0.14 | 11.40 | 9.15 | 0.80 |
Publisher’s Note: MDPI stays neutral with regard to jurisdictional claims in published maps and institutional affiliations. |
© 2022 by the authors. Licensee MDPI, Basel, Switzerland. This article is an open access article distributed under the terms and conditions of the Creative Commons Attribution (CC BY) license (https://creativecommons.org/licenses/by/4.0/).
Share and Cite
Liu, D.; Chi, Q.; Wang, X.; Chen, Y.; Nie, L.; Yang, F. National-Scale Cobalt Geochemical Mapping of Exposed Crust in China. Minerals 2022, 12, 1220. https://doi.org/10.3390/min12101220
Liu D, Chi Q, Wang X, Chen Y, Nie L, Yang F. National-Scale Cobalt Geochemical Mapping of Exposed Crust in China. Minerals. 2022; 12(10):1220. https://doi.org/10.3390/min12101220
Chicago/Turabian StyleLiu, Dongsheng, Qinghua Chi, Xueqiu Wang, Yuanyuan Chen, Lanshi Nie, and Fan Yang. 2022. "National-Scale Cobalt Geochemical Mapping of Exposed Crust in China" Minerals 12, no. 10: 1220. https://doi.org/10.3390/min12101220
APA StyleLiu, D., Chi, Q., Wang, X., Chen, Y., Nie, L., & Yang, F. (2022). National-Scale Cobalt Geochemical Mapping of Exposed Crust in China. Minerals, 12(10), 1220. https://doi.org/10.3390/min12101220
