Axial Segregation of Polydisperse Granular Mixtures in Rotating Drum Flows
Abstract
:1. Introduction
2. Model Derivation
- (a)
- band coarsening can be achieved by introducing a second order binomial expansion to the axial gradient operator; and
- (b)
- to extend the theory to less than half full drums, a Bagnoldian shear stress assumption was required.
2.1. Three Species Mixture
2.2. Four Species Mixture
3. Generalization to n-Species Mixture
- The number of the equations is given by where n is the number of the species of different types used in the mixture. The reduction to () equations results from:
- The corresponding set of differential equations is given by:
4. Results and Discussion
- (i)
- Binary case: and
- (ii)
- Ternary case: and
- (iii)
- Quaternary case: , and
4.1. Inferring Band Height
- IV.A(1)
- Bands with higher concentrations of higher frictional species (species with higher values of ) are physically higher in height than bands with higher concentrations of lower frictional species (species with lower values of ).
- IV.A(2)
- A direct consequence of Section 4.1 is that the average friction coefficient is directly proportional to the concentration distribution of frictional species within a band.
- IV.A(3)
- Bands with equal (or similar) concentrations of frictional species have the same (or similar) physical band height.
- IV.A(4)
- If two adjacent bands, initially with different concentrations of frictional species, evolve over time to have equal (or similar) concentrations of frictional species, the bands are assumed to have evolved to equal (or similar) physical heights and are therefore assumed to have merged into a larger band. We will use this criteria as the basis for band coarsening.
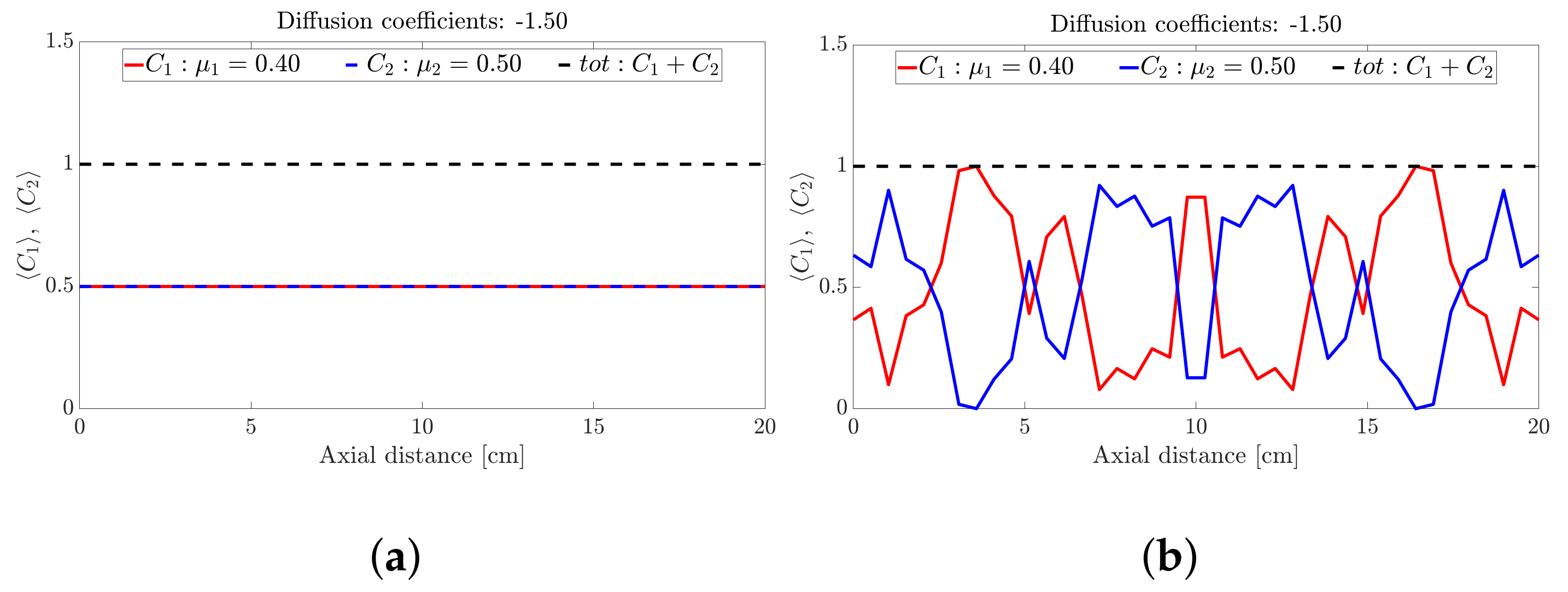
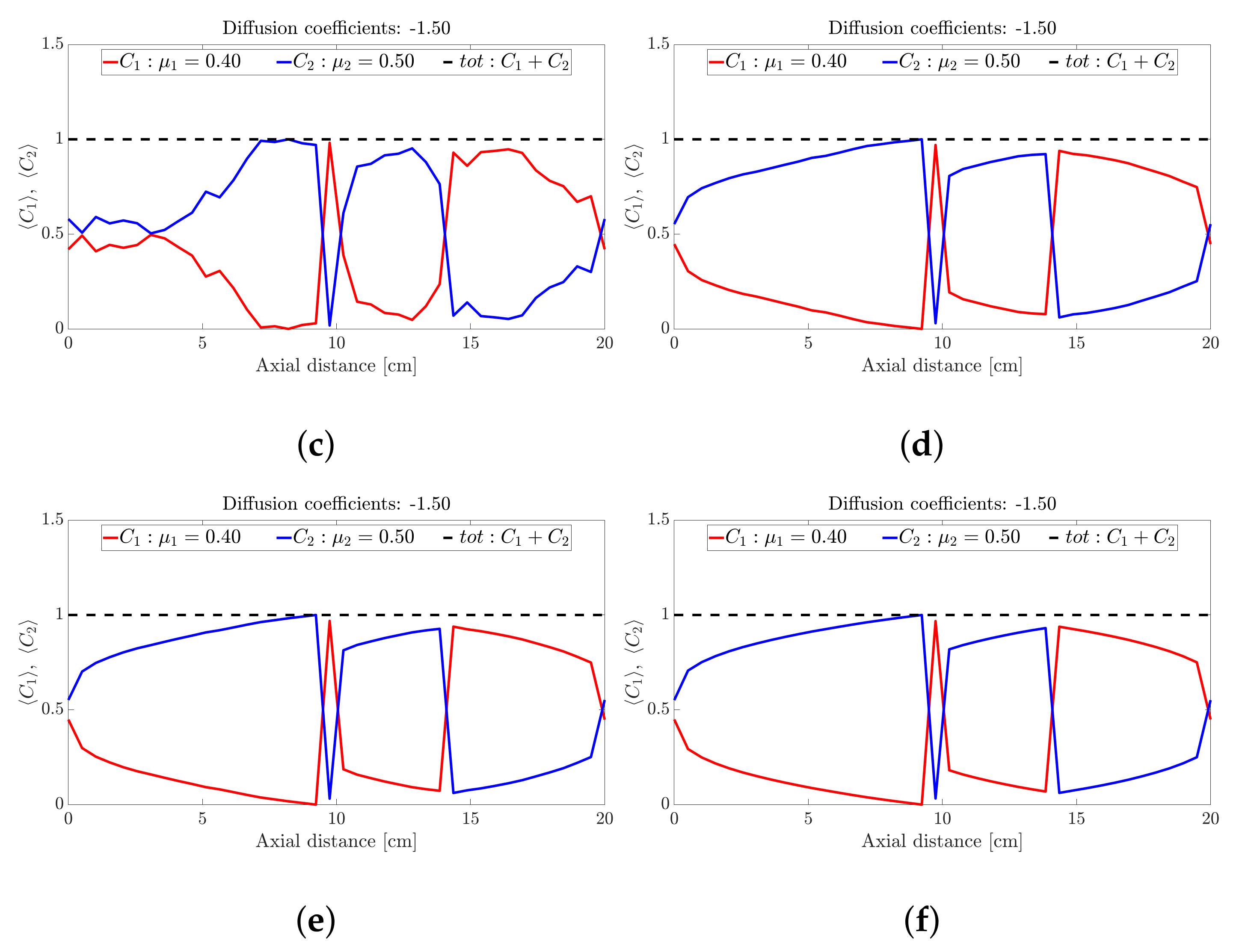
4.2. Binary Mixture
4.3. Ternary Mixture
4.4. Quaternary Mixture
5. Conclusions
Author Contributions
Funding
Data Availability Statement
Conflicts of Interest
References
- Hill, K. Handbook of Granular Materials, Chapter 10: Segregation in Dense Sheared Systems; Taylor and Francis: New York, NY, USA; CRC Press: Boca Raton, FL, USA, 2016. [Google Scholar]
- Wills, B.; Napier-Munn, T. Mineral Processing Technology, 7th ed.; Butterworth-Heinemann: Oxford, UK, 2006; pp. 573–580. [Google Scholar]
- Nordell, L.; Potapov, A. Novel comminution machine may vastly improve crushing-grinding efficiency. In Proceedings of the International Conference on Autogeneous and Semiautogeneous Grinding Technology, Vancouver, BC, Canada, 24–28 September 2012; Flintoff, B., Ed.; CIM: Montreal, QC, Canada, 2012. [Google Scholar]
- Gupta, S.D.; Khakhar, D.; Bhatia, S. Axial segregation of particles in a horizontal rotating drum. Chem. Eng. Sci. 1991, 46, 1513–1517. [Google Scholar] [CrossRef]
- Donald, M.; Roseman, B. Mixing and demixing of solid particles, part i, mechanisms in horizontal drum mixer. Br. Chem. Eng. 1962, 7, 749–753. [Google Scholar]
- Hardin, M.T.; Howes, T.; Mitchell, D.A.; Whittaker, A.K. Axial mixing in rotating drums using magnetic resonance imaging using bran as a model for solid state fermentations. Biotechnol. Lett. 2002, 24, 521–525. [Google Scholar] [CrossRef]
- Sherritt, R.G.; Chaouki, J.; Mehrotra, A.K.; Behie, L.A. Axial dispersion in the three-dimensional mixing of particles in a rotating drum reactor. Chem. Eng. Sci. 2003, 58, 401–415. [Google Scholar] [CrossRef]
- Yu, F.; Zhou, G.; Xu, J.; Ge, W. Enhanced axial mixing of rotating drums with alternately arranged baffles. Powder Technol. 2015, 286, 276–287. [Google Scholar] [CrossRef]
- Hajra, S.K.; Khakhar, D.V. Radial mixing of granular materials in a rotating cylinder: Experimental determination of particle self-diffusivity. Phys. Fluids 2005, 17, 013101. [Google Scholar] [CrossRef]
- Khakhar, D.V.; McCarthy, J.J.; Shinbrot, T.; Ottino, J.M. Transverse flow and mixing of granular materials in a rotating cylinder. Phys. Fluids 1997, 9, 1. [Google Scholar] [CrossRef]
- Lehmberg, J.; Hehl, M.; Schügerl, K. Transverse mixing and heat transfer in a horizontal drum mixer. Powder Technol. 1977, 18, 149. [Google Scholar] [CrossRef]
- Oyama, Y.; Ayaki, K. Studies on the mixing of particulate solids. Kaguku Kikai 1956, 20, 6–13. [Google Scholar]
- Weidenbaum, S. Mixing of solids. Adv. Chem. Eng. 1958, 2, 209–324. [Google Scholar]
- Hill, K.M.; Caprihan, A.; Kakalios, J. Bulk segregation in rotated granular material measured by magnetic resonance imaging. Phys. Rev. Lett. 1997, 78, 50–53. [Google Scholar] [CrossRef]
- Jain, N.; Khakhar, D.V.; Lueptow, R.M.; Ottino, J.M. Self-organization in granular slurries. Phys. Rev. Lett. 2001, 86, 3771–3774. [Google Scholar] [CrossRef] [Green Version]
- Nakagawa, M. Axial segregation of granular flows in a horizontal rotating cylinder. Chem. Eng. Sci. 1994, 49, 2540–2544. [Google Scholar] [CrossRef]
- Taberlet, N.; Newey, M.; Richard, P.; Losert, W. On axial segregation in a tumbler: An experimental and numerical study. Stat. Mech. Theory Exp. 2006, 2006, 041302. [Google Scholar] [CrossRef]
- Zik, O.; Levine, D.; Lipson, S.G.; Shtrikman, S.; Stavans, J. Rotationally induced segregation of granular materials. Phys. Rev. Lett. 1994, 73, 644–648. [Google Scholar] [CrossRef] [PubMed]
- Choo, K.; Molteno, T.C.A.; Morris, S.W. Traveling granular segregation patterns in a long drum mixer. Phys. Rev. Lett. 1997, 79, 2975–2978. [Google Scholar] [CrossRef] [Green Version]
- Frette, V.; Stavans, J. Avalanche-mediated transport in a rotated granular mixture. Phys. Rev. E 1997, 56, 6981–6990. [Google Scholar] [CrossRef]
- Khan, Z.S.; Tokaruk, W.A.; Morris, S.W. Oscillatory granular segregation in a long drum mixer. Europhys. Lett. 2004, 66, 212. [Google Scholar] [CrossRef]
- Bertr, F.; Leclaire, L.A.; Levecque, G. Dem-based models for the mixing of granular materials. Chem. Eng. Sci. 2005, 60, 2517–2531. [Google Scholar] [CrossRef]
- Ch, R.; Khaskheli, M.A.; Qadir, A.; Ge, B.; Shi, Q. Discrete particle simulation of radial segregation in horizontally rotating drum: Effects of drum-length and non-rotating end-plates. Physica A 2012, 391, 4590–4596. [Google Scholar]
- Cundall, P.; Strack, O. A discrete numerical model for granular assemblies. Geotechnique 1979, 29, 47–65. [Google Scholar] [CrossRef]
- Matuttis, H.G.; Luding, S.; Herrmann, H.J. Discrete element methods for the simulation of dense packings and heaps made of spherical and non-spherical particles. Powder Technol. 2000, 109, 278–292. [Google Scholar] [CrossRef]
- Newey, M.; Ozik, J.; van der Meer, S.M.; Ott, E.; Losert, W. Band-in-band segregation of multidisperse granular mixtures. Europhys. Lett. 2004, 66, 205. [Google Scholar] [CrossRef]
- Rapaport, D.C. Simulated three-component granular segregation in a rotating drum. Phys. Rev. E. 2007, 76, 041302. [Google Scholar] [CrossRef] [PubMed] [Green Version]
- Taberlet, N.; Losert, W.; Richard, P. Understanding the dynamics of segregation bands of simulated granular material in a rotating drum. Europhys. Lett. 2004, 68, 522–528. [Google Scholar] [CrossRef] [Green Version]
- Govender, I.; Ahmed, E. A mechanistic model of axial charge segregation in rotating drums. In Proceedings of the XXVIII International Mineral Processing Congress (IMPC 2016), Quebec City, QC, Canada, 11–15 September 2016. [Google Scholar]
- Losert, W. Segregation Summer School: Granular Materials from Simulations to Astrophysical Applications; CSCAMM and the University of Maryland-Burgers Program in Fluid Dynamics: College Park, MD, USA, 2011. [Google Scholar]







Publisher’s Note: MDPI stays neutral with regard to jurisdictional claims in published maps and institutional affiliations. |
© 2021 by the authors. Licensee MDPI, Basel, Switzerland. This article is an open access article distributed under the terms and conditions of the Creative Commons Attribution (CC BY) license (https://creativecommons.org/licenses/by/4.0/).
Share and Cite
Ahmed, E.M.E.; Govender, I.; Mainza, A.N. Axial Segregation of Polydisperse Granular Mixtures in Rotating Drum Flows. Minerals 2021, 11, 915. https://doi.org/10.3390/min11090915
Ahmed EME, Govender I, Mainza AN. Axial Segregation of Polydisperse Granular Mixtures in Rotating Drum Flows. Minerals. 2021; 11(9):915. https://doi.org/10.3390/min11090915
Chicago/Turabian StyleAhmed, Elbasher Mohamed Elbasher, Indresan Govender, and Aubrey Njema Mainza. 2021. "Axial Segregation of Polydisperse Granular Mixtures in Rotating Drum Flows" Minerals 11, no. 9: 915. https://doi.org/10.3390/min11090915
APA StyleAhmed, E. M. E., Govender, I., & Mainza, A. N. (2021). Axial Segregation of Polydisperse Granular Mixtures in Rotating Drum Flows. Minerals, 11(9), 915. https://doi.org/10.3390/min11090915

