Molecular Dynamics Study of Structural Properties of Refining Slag with Various CaO/Al2O3 Ratios
Abstract
1. Introduction
2. Simulation Method
3. Results and Discussion
3.1. Pair Distribution Function and Coordination Number
3.2. Evolution of Oxygen Units
3.3. Distribution of n-Coordinated Al and Qn
3.4. Analysis of Bond Angle
3.5. The Variation of Slag Transport Properties
4. Conclusions
- (1)
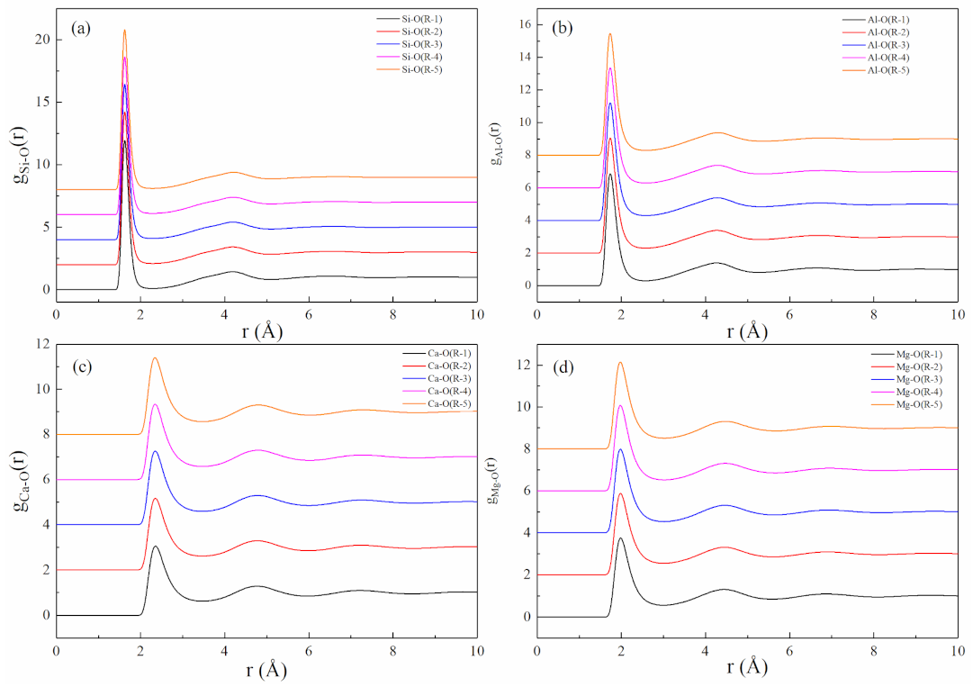
- The micro-structure of refining slag is composed of micro network structure of Si-O and Al-O covalent bonds, with Ca-O ang Mg-O ionic bonds. The bond lengths of Si-O, Al-O, Ca-O, and Mg-O in the refining slag system were 1.619Å, 1.731Å, 2.344Å, and 1.969Å, respectively. An increase in the CaO/Al2O3 ratio did not affect the bond length.
- (2)
- At higher CaO/Al2O3 ratios, more charge compensating Ca2+ ions entered the slag, which provided sufficient charge compensation for Al3+. Therefore, more Al3+ acted as a network former in the slag, which promotes conversion of FO and NBO to TO and BO, thereby increasing the degree of polymerization of the system.
- (3)
- A higher CaO/Al2O3 ratio induced more 2- and 3-coordinate Al to convert to 4- and 5-coordinate Al. The introduction of more CaO provided a charge compensator for Al3+ ions, which increased the 4- and 5-coordinate Al content.
- (4)
- In the micro-structure of refining slag system, the bond angles of O-Si-O, O-Al-O, Al-O-Al, and Al-O-Si are approximately 105.5°, 73.5°, 88.5°, and 96.5°, respectively. The CaO/Al2O3 ratio did not affect the bond angle.
- (5)
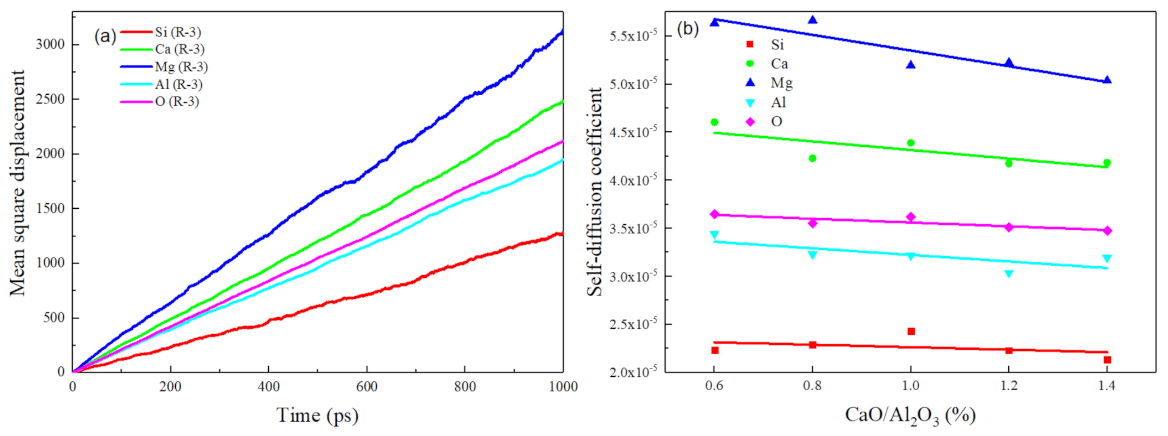
- Through analysis of the mean square distribution of various atoms, the self-diffusion capacities of different atoms decreased in the order: Mg > Ca > O > Al > Si. A higher CaO/Al2O3 ratio led to the conversion of the simple microstructure to a more complex microstructure (such as, FO and NBO to TO and BO), thereby causing a decrease of the diffusion capacity in the refining slag system.
Supplementary Materials
Author Contributions
Funding
Data Availability Statement
Conflicts of Interest
References
- Iwasaki, M.; Matsuo, M. Change and Development of Steel-Making Technology. Nippon Steel Tech. Rep. 2011, 391, 88–93. [Google Scholar]
- Yin, X.; Chen, W. Trends and Development of Steel Demand in China: A Bottom–Up Analysis. Resour. Policy 2013, 38, 407–415. [Google Scholar] [CrossRef]
- Zhou, Y.; Wu, L.; Wang, J.; Wang, H.; Dong, Y. Alumina Extraction from High-Alumina Ladle Furnace Refining Slag. Hydrometallurgy 2013, 140, 14–19. [Google Scholar] [CrossRef]
- Varanasi, S.S.; Pathak, R.; Sahoo, K.; More, V.M.R.; Santanu, D.; Alli, S.R. Effect of CaO–Al2O3-Based Synthetic Slag Additions on Desulphurisation Kinetics of Ladle Furnace Refining. Trans. Indian Inst. Met. 2019, 72, 1447–1452. [Google Scholar] [CrossRef]
- Wcisło, Z.; Michaliszyn, A.; Baka, A. Role of Slag in the Steel Refining Process in the Ladle. J. Achiev. Mater. Manuf. Eng. 2012, 55, 390–395. [Google Scholar]
- Dou, Z.; Zhang, T.-A.; Yao, J.-M.; Niu, L.-P.; Jiang, X.-L.; He, J.-C. Research on Properties of CaF2-CaO-Al2O3-MgO-SiO2 Refining Slag. Chin. J. Process. Eng. 2009, 9, 132–136. [Google Scholar]
- Hao, X.; Wang, X.-H.; Wang, W.-J. Effect of Slag Composition on Desulfurization and Inclusion Modification During Ladle Furnace Refining. Rev. Métall. Int. J. Metall. 2014, 111, 239–245. [Google Scholar] [CrossRef]
- Zhang, H.; Liu, C.; Lin, Q.; Wang, B.; Liu, X.; Fang, Q. Formation of Plastic Inclusions in U71Mnk High-Speed Heavy-Rail Steel Refined by CaO-SiO2-Al2O3-MgO Slag. Metall. Mater. Trans. B 2019, 50, 459–470. [Google Scholar] [CrossRef]
- Yu, H.-X.; Wang, X.-H.; Wang, M.; Wang, W.-J. Desulfurization Ability of Refining Slag with Medium Basicity. Int. J. Miner. Metall. Mater. 2014, 21, 1160–1166. [Google Scholar] [CrossRef]
- Jun, Y.; Wang, X.-H.; Jiang, M.; Wang, W.-J. Effect of Calcium Treatment on Non-Metallic Inclusions in Ultra-Low Oxygen Steel Refined by High Basicity High Al2O3 slag. J. Iron Steel Res. Int. 2011, 18, 8–14. [Google Scholar]
- Yu, H.; Xu, J.; Zhang, J.; Wang, X. Effect of Al2O3 Content on Metallurgical Characteristics of Refining Slag. Ironmak. Steelmak. 2016, 43, 607–615. [Google Scholar] [CrossRef]
- Thomas, B.G.; Zhang, L. Mathematical Modeling of Fluid Flow in Continuous Casting. ISIJ Int. 2001, 41, 1181–1193. [Google Scholar] [CrossRef]
- Zhang, L.; Thomas, B.G. State of the Art in Evaluation and Control of Steel Cleanliness. ISIJ Int. 2003, 43, 271–291. [Google Scholar] [CrossRef]
- Zhang, L.; Taniguchi, S. Fundamentals of Inclusion Removal from Liquid Steel by Bubble Flotation. Int. Mater. Rev. 2000, 45, 59–82. [Google Scholar] [CrossRef]
- Bouris, D.; Bergeles, G. Investigation of Inclusion Re-Entrainment from the Steel-Slag Interface. Metall. Mater. Trans. B 1998, 29, 641–649. [Google Scholar] [CrossRef]
- Boneva, M.P.; Christov, N.C.; Danov, K.D.; Kralchevsky, P.A. Effect of Electric-Field-Induced Capillary Attraction on the Motion of Particles at an Oil–Water Interface. Phys. Chem. Chem. Phys. 2007, 9, 6371–6384. [Google Scholar] [CrossRef]
- Valdez, M.; Shannon, G.S.; Sridhar, S. The ability of Slags to Absorb Solid Oxide Inclusions. ISIJ Int. 2006, 46, 450–457. [Google Scholar] [CrossRef]
- Choi, J.-Y.; Lee, H.-G.; Kim, J.-S. Dissolution Rate of Al2O3 Into Molten CaO-SiO2-Al2O3 Slags. ISIJ Int. 2002, 42, 852–860. [Google Scholar] [CrossRef]
- Shahbazian, F.; Sichen, D.; Seetharaman, S. The Effect of Addition of Al2O3 on the Viscosity of CaO–FeO–SiO2–CaF2 Slags. ISIJ Int. 2002, 42, 155–162. [Google Scholar] [CrossRef]
- Jiang, C.; Li, K.; Zhang, J.; Qin, Q.; Liu, Z.; Liang, W.; Sun, M.; Wang, Z. The effect of CaO (MgO) on the Structure and Properties of Aluminosilicate System by Molecular Dynamics Simulation. J. Mol. Liq. 2018, 268, 762–769. [Google Scholar] [CrossRef]
- Bi, Z.; Li, K.; Jiang, C.; Zhang, J.; Ma, S.; Sun, M.; Wang, Z.; Li, H. Effects of B2O3 on the Structure and Properties of Blast Furnace Slag by Molecular Dynamics Simulation. J. Non-Cryst. Solids 2021, 551, 120412. [Google Scholar] [CrossRef]
- Bi, Z.; Li, K.; Jiang, C.; Zhang, J.; Ma, S.; Sun, M.; Wang, Z.; Li, H. Performance and Transition Mechanism from Acidity to Basicity of Amphoteric Oxides (Al2O3 and B2O3) in SiO2–CaO–Al2O3–B2O3 System: A Molecular Dynamics Study. Ceram. Int. 2021, 47, 12252–12260. [Google Scholar] [CrossRef]
- Ma, S.; Li, K.; Zhang, J.; Jiang, C.; Sun, M.; Li, H.; Wang, Z.; Bi, Z. Structural Characteristics of CaO-SiO2-Al2O3-FeO Slag with Various FeO Contents Based on Molecular Dynamics Simulations. JOM-Us 2021, 1–9. [Google Scholar] [CrossRef]
- Jiang, C.; Li, K.; Zhang, J.; Qin, Q.; Liu, Z.; Liang, W.; Sun, M.; Wang, Z. Molecular Dynamics Simulation on the Effect of MgO/Al2O3 Ratio on Structure and Properties of Blast Furnace Slag Under Different Basicity Conditions. Metall. Mater. Trans. B 2019, 5, 367–375. [Google Scholar] [CrossRef]
- Jiang, C.; Li, K.; Zhang, J.; Liu, Z.; Niu, L.; Liang, W.; Sun, M.; Ma, H.; Wang, Z. The Effect of CaO and MgO on the Structure and Properties of Coal Ash in the Blast Furnace: A Molecular Dynamics Simulation and Thermodynamic Calculation. Chem. Eng. Sci. 2019, 210, 115226. [Google Scholar] [CrossRef]
- Jiang, C.; Li, K.; Zhang, J.; Qin, Q.; Liu, Z.; Sun, M.; Wang, Z.; Liang, W. Effect of MgO/Al2O3 Ratio on the Structure and Properties of Blast Furnace Slags: A Molecular Dynamics Simulation. J. Non-Cryst. Solids 2018, 502, 76–82. [Google Scholar] [CrossRef]
- Plimpton, S. Fast Parallel Algorithms for Short-Range Molecular Dynamics; Sandia National Labs: Albuquerque, NM, USA, 1993. [Google Scholar]
- Tosi, M.P.; Fumi, F.G. Ionic sizes and born repulsive parameters in the NaCl-type alkali halides—I: The Huggins-Mayer and Pauling forms. J. Phys. Chem. Solids 1964, 25, 45–52. [Google Scholar] [CrossRef]
- Matsui, M. Molecular Dynamics Study of the Structures and Bulk Moduli of Crystals in the System CaO-MgO-Al2O 3-SiO2. Phys. Chem. Miner. 1996, 23, 345–353. [Google Scholar] [CrossRef]
- Proffen, T.; Billinge, S. PDFFIT, a Program for Full Profile Structural Refinement of the Atomic Pair Distribution Function. J. Appl. Cryst. 1999, 32, 572–575. [Google Scholar] [CrossRef]
- Chupas, P.J.; Qiu, X.; Hanson, J.C.; Lee, P.L.; Grey, C.P.; Billinge, S.J. Rapid-Acquisition Pair Distribution Function (RA-PDF) Analysis. J. Appl. Cryst. 2003, 36, 1342–1347. [Google Scholar] [CrossRef]
- Benoit, M.; Ispas, S.; Tuckerman, M.E. Structural Properties of Molten Silicates from Ab Initio Molecular-Dynamics Simulations: Comparison Between CaO−A l2O3− SiO2 and SiO2. Phys. Rev. B 2001, 64, 224205. [Google Scholar] [CrossRef]
- Farnan, I. Oxygen Bridges in Molten Glass. Nature 1997, 390, 14–15. [Google Scholar] [CrossRef]
- Kim, J.R.; Lee, Y.S.; Min, D.J.; Jung, S.M.; Yi, S.H. Influence of MgO and Al2O3 contents on viscosity of blast furnace type slags containing FeO. ISIJ Int. 2004, 44, 1291–1297. [Google Scholar] [CrossRef]
- Seok, S.-H.; Jung, S.-M.; Lee, Y.-S.; Min, D.-J. Viscosity of highly basic slags. ISIJ Int. 2007, 47, 1090–1096. [Google Scholar] [CrossRef]










| Pair | Aij | ρ | σ | Cij |
|---|---|---|---|---|
| Si-Si | 3.198 × 10−12 | 0.046 | 1.44 | 2430.5 |
| Si-Ca | 4.379 × 10−12 | 0.063 | 1.89 | 2218.5 |
| Si-Mg | 4.379 × 10−12 | 0.063 | 1.61 | 1432.2 |
| Si-Al | 3.962 × 10−12 | 0.057 | 1.51 | 1815.2 |
| Si-O | 1.119 × 10−11 | 0.161 | 2.54 | 4467.1 |
| Ca-Ca | 5.561 × 10−12 | 0.080 | 2.34 | 2025.0 |
| Ca-Mg | 5.561 × 10−12 | 0.080 | 2.07 | 1307.3 |
| Ca-Al | 5.144 × 10−12 | 0.074 | 1.96 | 1656.9 |
| Ca-O | 1.237 × 10−11 | 0.178 | 2.99 | 4077.5 |
| Mg-Mg | 5.561 × 10−12 | 0.080 | 1.79 | 843.9 |
| Mg-Al | 5.144 × 10−12 | 0.074 | 1.68 | 1069.6 |
| Mg-O | 1.237 × 10−11 | 0.178 | 2.72 | 2632.2 |
| Al-Al | 4.727 × 10−12 | 0.068 | 1.57 | 1355.7 |
| Al-O | 1.196 × 10−11 | 0.172 | 2.61 | 3336.3 |
| O-O | 1.919 × 10−11 | 0.276 | 3.64 | 8210.2 |
| CaO | Al2O3 | SiO2 | MgO | CaO/Al2O3 Ratio | |
|---|---|---|---|---|---|
| R-1 | 31.88 | 53.13 | 5.00 | 10.00 | 0.6 |
| R-2 | 37.78 | 47.22 | 5.00 | 10.00 | 0.8 |
| R-3 | 42.50 | 42.50 | 5.00 | 10.00 | 1.0 |
| R-4 | 46.36 | 38.64 | 5.00 | 10.00 | 1.2 |
| R-5 | 49.58 | 35.42 | 5.00 | 10.00 | 1.4 |
Publisher’s Note: MDPI stays neutral with regard to jurisdictional claims in published maps and institutional affiliations. |
© 2021 by the authors. Licensee MDPI, Basel, Switzerland. This article is an open access article distributed under the terms and conditions of the Creative Commons Attribution (CC BY) license (https://creativecommons.org/licenses/by/4.0/).
Share and Cite
Zhao, H.; Li, J.; Yang, S.; Liu, J.; Liu, W. Molecular Dynamics Study of Structural Properties of Refining Slag with Various CaO/Al2O3 Ratios. Minerals 2021, 11, 398. https://doi.org/10.3390/min11040398
Zhao H, Li J, Yang S, Liu J, Liu W. Molecular Dynamics Study of Structural Properties of Refining Slag with Various CaO/Al2O3 Ratios. Minerals. 2021; 11(4):398. https://doi.org/10.3390/min11040398
Chicago/Turabian StyleZhao, Hongxuan, Jingshe Li, Shufeng Yang, Jie Liu, and Wei Liu. 2021. "Molecular Dynamics Study of Structural Properties of Refining Slag with Various CaO/Al2O3 Ratios" Minerals 11, no. 4: 398. https://doi.org/10.3390/min11040398
APA StyleZhao, H., Li, J., Yang, S., Liu, J., & Liu, W. (2021). Molecular Dynamics Study of Structural Properties of Refining Slag with Various CaO/Al2O3 Ratios. Minerals, 11(4), 398. https://doi.org/10.3390/min11040398

