Soil Biochemical Indicators and Biological Fertility in Agricultural Soils: A Case Study from Northern Italy
Abstract
1. Introduction
2. Materials and Methods
2.1. Study Areas and Experimental Layout
2.2. Soil and Tomato Plant Sampling
2.3. Soil and Tomato Plant Analyses
2.3.1. Soil Physicochemical Properties
2.3.2. Soil Biochemical Parameters
2.3.3. Macronutrient Content in Rhizosphere and Tomato
2.4. Data Treatment
3. Results
3.1. Soil Physicochemical Properties
3.2. Soil Biochemical Properties
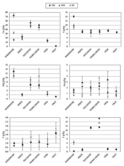
3.3. Nutrient Content into Rhizosphere and Tomato Organs
4. Discussion
4.1. Processing Tomato Cultivation Causes Higher Stress Conditions in Soils of MEZ and RA Study Sites Than in Those of MO Study Site
4.2. Crop Quality
5. Conclusions
Supplementary Materials
Author Contributions
Funding
Institutional Review Board Statement
Informed Consent Statement
Data Availability Statement
Acknowledgments
Conflicts of Interest
References
- FAO. ITPS Status of the World’s Soil Resources (SWSR)—Main report. In Food and Agriculture Organization of the United Nations and Intergovernmental Technical Panel on Soils; FAO: Rome, Italy, 2015; p. 608. [Google Scholar]
- Foley, J.A.; DeFries, R.; Asner, G.P.; Barford, C.; Bonan, G.; Carpenter, S.R.; Chapin, F.S.; Coe, M.T.; Daily, G.C.; Gibbs, H.K.; et al. Global consequences of land use. Science 2005, 309, 570–574. [Google Scholar] [CrossRef] [PubMed]
- Tsiafouli, M.A.; Thébault, E.; Sgardelis, S.P.; de Ruiter, P.C.; van der Putten, W.H.; Birkhofer, K.; Hemerik, L.; de Vries, F.T.; Bardgett, R.D.; Brady, M.V.; et al. Intensive agriculture reduces soil biodiversity across Europe. Glob. Chang. Biol. 2015, 21, 973–985. [Google Scholar] [CrossRef] [PubMed]
- Bender, S.F.; Wagg, C.; van der Heijden, M.G.A. An underground revolution: Biodiversity and soil ecological engineering for agricultural sustainability. Trends Ecol. Evol. 2016, 31, 440–452. [Google Scholar] [CrossRef] [PubMed]
- Vittori Antisari, L.; Speranza, M.; Ferronato, C.; De Feudis, M.; Vianello, G.; Falsone, G. Assessment of water quality and soil salinity in the agricultural coastal plain Ravenna, North Italy. Minerals 2020, 10, 369. [Google Scholar] [CrossRef]
- Dilly, O.; Pompili, L.; Benedetti, A. Soil micro-biological indicators separated land use practices in contrast to abiotic soil properties at the 50 km scale under summer warm Mediterranean climate in northern Italy. Ecol. Indic. 2018, 84, 298–303. [Google Scholar] [CrossRef]
- Lori, M.; Symnaczik, S.; Mäder, P.; De Deyn, G.; Gattinger, A. Organic farming enhances soil microbial abundance and activity—A meta-analysis and meta-Regression. PLoS ONE 2017, 12, e0180442. [Google Scholar] [CrossRef] [PubMed]
- Richter, A.; Huallacháin, D.; Doyle, E.; Clipson, N.; Van Leeuwen, J.P.; Heuvelink, G.B.; Creamer, R.E. Linking diagnostic features to soil microbial biomass and respiration in agricultural grassland soil: A large-scale study in Ireland. Eur. J. Soil Sci. 2018, 69, 414–428. [Google Scholar] [CrossRef]
- Urra, J.; Alkorta, I.; Lanzén, A.; Mijangos, I.; Garbisu, C. The application of fresh and composted horse and chicken manure affects soil quality, microbial composition and antibiotic resistance. Appl. Soil Ecol. 2019, 135, 73–84. [Google Scholar] [CrossRef]
- Ghosh, A.; Singh, A.B.; Kumar, R.V.; Manna, M.C.; Bhattacharyya, R.; Rahman, M.M.; Sharma, P.; Rajput, P.S.; Misra, S. Soil enzymes and microbial elemental stoichiometry as bio-indicators of soil quality in diverse cropping systems and nutrient management practices of Indian Vertisols. Appl. Soil Ecol. 2020, 145, 103304. [Google Scholar] [CrossRef]
- Kabiri, V.; Raiesi, F.; Ghazavi, M.A. Tillage effects on soil microbial biomass, SOM mineralization and enzyme activity in a semi-arid Calcixerepts. Agric. Ecosyst. Environ. 2016, 232, 73–84. [Google Scholar] [CrossRef]
- Schloter, M.; Nannipieri, P.; Sørensen, S.J.; van Elsas, J.D. Microbial indicators for soil quality. Biol. Fertil. Soils 2018, 54, 1–10. [Google Scholar] [CrossRef]
- Trivedi, P.; Delgado-Baquerizo, M.; Anderson, I.C.; Singh, B.K. Response of soil properties and microbial communities to agriculture: Implications for primary productivity and soil health indicators. Front. Plant Sci. 2016, 7, 990. [Google Scholar] [CrossRef] [PubMed]
- Guillaume, T.; Maranguit, D.; Murtilaksono, K.; Kuzyakov, Y. Sensitivity and resistance of soil fertility indicators to land-use changes: New concept and examples from conversion of Indonesian rainforest to plantations. Ecol. Indic. 2016, 67, 49–57. [Google Scholar] [CrossRef]
- Arif, M.S.; Riaz, M.; Shahzad, S.M.; Yasmeen, T.; Ashraf, M.; Siddique, M.; Mubarik, M.S.; Bragazza, L.; Buttler, A. Fresh and composted industrial sludge restore soil functions in surface soil of degraded agricultural land. Sci. Total Environ. 2018, 619, 517–527. [Google Scholar] [CrossRef] [PubMed]
- De Santiago, A.; Recena, R.; Perea-Torres, F.; Moreno, M.T.; Carmona, E.; Delgado, A. Relationship of soil fertility to biochemical properties under agricultural practices aimed at controlling land degradation. L. Degrad. Dev. 2019, 30, 1121–1129. [Google Scholar] [CrossRef]
- Widdig, M.; Schleuss, P.M.; Biederman, L.A.; Borer, E.T.; Crawley, M.J.; Kirkman, K.P.; Seabloom, E.W.; Wragg, P.D.; Spohn, M. Microbial carbon use efficiency in grassland soils subjected to nitrogen and phosphorus additions. Soil Biol. Biochem. 2020, 146, 107815. [Google Scholar] [CrossRef]
- Nunes, J.S.; Araujo, A.S.F.; Nunes, L.A.P.L.; Lima, L.M.; Carneiro, R.F.V.; Salviano, A.A.C.; Tsai, S.M. Impact of land degradation on soil microbial biomass and activity in Northeast Brazil. Pedosphere 2012, 22, 88–95. [Google Scholar] [CrossRef]
- Kumar, A.; Maurya, B.R.; Raghuwanshi, R. Isolation and characterization of PGPR and their effect on growth, yield and nutrient content in wheat (Triticum aestivum L.). Biocatal. Agric. Biotechnol. 2014, 3, 121–128. [Google Scholar] [CrossRef]
- Plenchette, C.; Clermont-Dauphin, C.; Meynard, J.M.; Fortin, J.A. Managing arbuscular mycorrhizal fungi in cropping systems. Can. J. Plant Sci. 2005, 85, 31–40. [Google Scholar] [CrossRef]
- Singh, J.S.; Kumar, A.; Rai, A.N.; Singh, D.P. Cyanobacteria: A precious bio-resource in agriculture, ecosystem, and environmental sustainability. Front. Microbiol. 2016, 7, 529. [Google Scholar] [CrossRef]
- Vimal, S.R.; Singh, J.S.; Arora, N.K.; Singh, S. Soil-plant-microbe interactions in stressed agriculture management: A Review. Pedosphere 2017, 27, 177–192. [Google Scholar] [CrossRef]
- Regione Emilia Romagna. Cartografia dei Suoli della Regione Emilia Romagna 1:50,000 (1994 updates 2000). Available online: https://geo.regione.emilia-romagna.it/cartografia_sgss/user/viewer.jsp?service=pedologia&bookmark=1%22 (accessed on 10 October 2019).
- ARPAE, Regione Emilia Romagna. Tabelle Climatologiche. Servizio Idro-Meteo-Clima. Available online: https://www.arpae.it/sim/?osservazioni_e_dati/climatologia (accessed on 10 October 2019).
- Regione Emilia Romagna. Disciplinari di Produzione Integrata e Deroghe. Available online: https://agricoltura.regione.emilia-romagna.it/fitosanitario/temi/difesa-sostenibile-delle-produzioni/disciplinari-di-produzione-integrata/disciplinari-di-produzione-integrata-1 (accessed on 3 October 2020).
- Orsini, L.; Rémy, J. Utilisation du chlorure de cobaltihexamine pour la détermination simultanée de la capacité d’échange et des bases échangeables des sols. Bulletin de l’Association Française d’Etude du Sol. Bull. Association Française Etude Sol 1976, 4, 269–279. [Google Scholar]
- Loeppert, R.H.; Suarez, D.L. Carbonate and Gypsun; USDA-ARS/UNL Faculty: Lincoln, NE, USA, 1996. [Google Scholar]
- Gee, G.W.; Bauder, J.W. Methods of Soil Analysis: Part 1—Physical and Mineralogical Methods; SSSA Book Series; Soil Science Society of America, American Society of Agronomy: Madison, WI, USA, 1986; ISBN 978-0-89118-864-3. [Google Scholar]
- Vittori Antisari, L.; Carbone, S.; Gatti, A.; Vianello, G.; Nannipieri, P. Uptake and translocation of metals and nutrients in tomato grown in soil polluted with metal oxide (CeO2, Fe3O4, SnO2, TiO2) or metallic (Ag, Co, Ni) engineered nanoparticles. Environ. Sci. Pollut. Res. 2015, 22, 1841–1853. [Google Scholar] [CrossRef]
- Olsen, S.R.; Cole, C.V.; Watandbe, F.; Dean, L. Estimation of available phosphorus in soil by extraction with sodium bicarbonate. J. Chem. Inf. Model. 1954, 53, 1689–1699. [Google Scholar]
- Vance, E.D.; Brookes, P.C.; Jenkinson, D.S. An extraction method for measuring soil microbial biomass C. Soil Biol. Biochem. 1987, 19, 703–707. [Google Scholar] [CrossRef]
- De Feudis, M.; Falsone, G.; Vittori Antisari, L. Mid-term (30 years) changes of soil properties under chestnut stands due to organic residues management: An integrated study. Catena 2020, 198, 105021. [Google Scholar] [CrossRef]
- Anderson, T.H.; Domsch, K.H. The metabolic quotient for CO2 (qCO2) as a specific activity parameter to assess the effects of environmental conditions, such as ph, on the microbial biomass of forest soils. Soil Biol. Biochem. 1993, 25, 393–395. [Google Scholar] [CrossRef]
- Anderson, T.H. Microbial eco-physiological indicators to asses soil quality. Agric. Ecosyst. Environ. 2003, 98, 285–293. [Google Scholar] [CrossRef]
- Pompili, L.; Mellina, A.S.; Benedetti, A.; Bloem, J. Microbial indicators in three agricultural soils with different management. Fresenius Environ. Bull. 2008, 17, 1128–1136. [Google Scholar]
- Renzi, G.; Canfora, L.; Salvati, L.; Benedetti, A. Validation of the soil Biological Fertility Index (BFI) using a multidimensional statistical approach: A country-scale exercise. Catena 2017, 149, 294–299. [Google Scholar] [CrossRef]
- Francaviglia, R.; Renzi, G.; Ledda, L.; Benedetti, A. Organic carbon pools and soil biological fertility are affected by land use intensity in Mediterranean ecosystems of Sardinia, Italy. Sci. Total Environ. 2017, 599–600, 789–796. [Google Scholar] [CrossRef] [PubMed]
- Benedetti, A.; Mocali, S. Analisi a livello di suolo. In Indicatori di Biodiversità per la Sostenibilità in Agricoltura. Linee Guida, Strumenti e Metodi per la Valutazione della Qualità degli Agroecosistemi; Caporali, F., Vazzana, C., Benedetti, A., Calabrese, J., Mancinelli, R., Lazzerini, G., Mocali, S., Campiglia, E., et al., Eds.; ISPRA: Rome, Italy, 2008; pp. 159–208. [Google Scholar]
- Krüger, J.P.; Leifeld, J.; Alewell, C. Degradation changes stable carbon isotope depth profiles in palsa peatlands. Biogeosciences 2014, 11, 3369–3380. [Google Scholar] [CrossRef]
- Blagodatsky, S.; Blagodatskaya, E.; Yuyukina, T.; Kuzyakov, Y. Model of apparent and real priming effects: Linking microbial activity with soil organic matter decomposition. Soil Biol. Biochem. 2010, 42, 1275–1283. [Google Scholar] [CrossRef]
- Cookson, W.R.; Abaye, D.A.; Marschner, P.; Murphy, D.V.; Stockdale, E.A.; Goulding, K.W.T. The contribution of soil organic matter fractions to carbon and nitrogen mineralization and microbial community size and structure. Soil Biol. Biochem. 2005, 37, 1726–1737. [Google Scholar] [CrossRef]
- Rizinjirabake, F.; Tenenbaum, D.E.; Pilesjö, P. Sources of soil dissolved organic carbon in a mixed agricultural and forested watershed in Rwanda. Catena 2019, 181, 104085. [Google Scholar] [CrossRef]
- Breulmann, M.; Schulz, E.; Weißhuhn, K.; Buscot, F. Impact of the plant community composition on labile soil organic carbon, soil microbial activity and community structure in semi-natural grassland ecosystems of different productivity. Plant Soil 2012, 352, 253–265. [Google Scholar] [CrossRef]
- Eiland, F.; Klamer, M.; Lind, A.M.; Leth, M.; Bååth, E. Influence of initial C/N ratio on chemical and microbial composition during long term composting of straw. Microb. Ecol. 2001, 41, 272–280. [Google Scholar] [CrossRef]
- Rietz, D.N.; Haynes, R.J. Effects of irrigation-induced salinity and sodicity on soil microbial activity. Soil Biol. Biochem. 2003, 35, 845–854. [Google Scholar] [CrossRef]
- Okolo, C.C.; Dippold, M.A.; Gebresamuel, G.; Zenebe, A.; Haile, M.; Bore, E. Assessing the sustainability of land use management of northern Ethiopian drylands by various indicators for soil health. Ecol. Indic. 2020, 112, 106092. [Google Scholar] [CrossRef]
- Anderson, T.H.; Domsch, K.H. Ratios of microbial biomass carbon to total organic carbon in arable soils. Soil Biol. Biochem. 1989, 21, 471–479. [Google Scholar] [CrossRef]
- Pabst, H.; Gerschlauer, F.; Kiese, R.; Kuzyakov, Y. Land use and precipitation affect organic and microbial carbon stocks and the specific metabolic quotient in soils of eleven ecosystems of Mt. Kilimanjaro, Tanzania. L. Degrad. Dev. 2016, 27, 592–602. [Google Scholar] [CrossRef]
- Spohn, M.; Pötsch, E.M.; Eichorst, S.A.; Woebken, D.; Wanek, W.; Richter, A. Soil microbial carbon use efficiency and biomass turnover in a long-term fertilization experiment in a temperate grassland. Soil Biol. Biochem. 2016, 97, 168–175. [Google Scholar] [CrossRef]
- Ward, D.; Kirkman, K.; Hagenah, N.; Tsvuura, Z. Soil respiration declines with increasing nitrogen fertilization and is not related to productivity in long-term grassland experiments. Soil Biol. Biochem. 2017, 115, 415–422. [Google Scholar] [CrossRef]
- Bauhus, J.; Paré, D.; Côté, L. Effects of tree species, stand age and soil type on soil microbial biomass and its activity in a southern boreal forest. Soil Biol. Biochem. 1998, 30, 1077–1089. [Google Scholar] [CrossRef]
- Blanco-Moure, N.; Gracia, R.; Bielsa, A.C.; López, M.V. Soil organic matter fractions as affected by tillage and soil texture under semiarid Mediterranean conditions. Soil Tillage Res. 2016, 155, 381–389. [Google Scholar] [CrossRef]
- Dilly, O. Microbial energetics in soils. In Microorganisms in Soils: Roles in Genesis and Functions; Springer: Berlin/Heidelberg, Germany, 2005; pp. 123–138. [Google Scholar]
- Heeb, A.; Lundegårdh, B.; Savage, G.; Ericsson, T. Impact of organic and inorganic fertilizers on yield, taste, and nutritional quality of tomatoes. J. Plant Nutr. Soil Sci. 2006, 169, 535–541. [Google Scholar] [CrossRef]
- Fandi, M.; Muhtaseb, J.; Hussein, M. Effect of N, P, K concentrations on yield and fruit quality of (Solanum lycopersicum L.) in tuff culture. J. Cent. Eur. Agric. 2010, 11, 179–184. [Google Scholar]
- Wold, A.B.; Rosenfeld, H.J.; Baugerød, H.; Blomhoff, R. The effect of fertilization on antioxidant activity and chemical composition of tomato cultivars (Lycopersicon esculentum Mill.). Eur. J. Hortic. Sci. 2004, 69, 167–174. [Google Scholar]
- Jannoura, R.; Joergensen, R.G.; Bruns, C. Organic fertilizer effects on growth, crop yield, and soil microbial biomass indices in sole and intercropped peas and oats under organic farming conditions. Eur. J. Agron. 2014, 52, 259–270. [Google Scholar] [CrossRef]
- Tejada, M.; Gonzalez, J.L.; García-Martínez, A.M.; Parrado, J. Effects of different green manures on soil biological properties and maize yield. Bioresour. Technol. 2008, 99, 1758–1767. [Google Scholar] [CrossRef]



| Soil Depth | MO | MEZ | RA | |||||
|---|---|---|---|---|---|---|---|---|
| Mean | SE | Mean | SE | Mean | SE | |||
| 0–20 cm | pH | 8.3 a | 0.1 | 7.1 c | 0.2 | 7.7 b | 0.1 | |
| EC | μS cm−1 | 690 b | 158 | 1465 a | 221 | 975 b | 72 | |
| CaCO3 | g kg−1 | 21.1 a | 1 | 1.4 c | 0.2 | 7.1 b | 0.8 | |
| CEC | cmol(+) kg−1 | 21.5 b | 1.9 | 40.2 a | 5.3 | 5.5 c | 2.6 | |
| Ca | cmol(+) kg−1 | 17.1 b | 0.5 | 32.9 a | 0.9 | 3.5 c | 1.4 | |
| Mg | cmol(+) kg−1 | 2.3 a | 0.1 | 3.5 a | 0.1 | 0.2 b | <0.1 | |
| K | cmol(+) kg−1 | 1.4 a | 0.1 | 0.4 a | 0.1 | 0.1 b | <0.1 | |
| Na | cmol(+) kg−1 | 0.3 c | 0.05 | 2.5 a | 0.3 | 1.4 b | 0.2 | |
| 20–40 cm | pH | 8.4 a | 0.1 | 6.8 c | 0.3 | 7.8 b | 0.1 | |
| EC | μS cm−1 | 847 b | 216 | 2774 a | 598 | 931 b | 99 | |
| CaCO3 | g kg−1 | 22.1 a | 0.7 | 1.5 c | 0.2 | 7.7 b | 0.9 | |
| CEC | cmol(+) kg−1 | 20.8 b | 2.1 | 39.8 a | 4.7 | 8.5 c | 3.5 | |
| Ca | cmol(+) kg−1 | 17.4 b | 0.5 | 32.4 a | 2.9 | 3.1 c | 1.4 | |
| Mg | cmol(+) kg−1 | 2.4 a | 0.1 | 1.6 a | 0.7 | 0.2 b | 0.1 | |
| K | cmol(+) kg−1 | 0.4 a | 0.1 | 0.5 a | 0.1 | 0.1 b | <0.1 | |
| Na | cmol(+) kg−1 | 0.3 c | 0.1 | 4.5 a | 0.8 | 1.2 b | 0.2 | |
| Soil Depth | MO | MEZ | RA | |||||
|---|---|---|---|---|---|---|---|---|
| Mean | SE | Mean | SE | Mean | SE | |||
| 0–20 cm | OC | g kg−1 | 14.4 b | 0.5 | 99.1 a | 10.2 | 7.5 c | 0.6 |
| TN | g kg−1 | 2.1 b | 0.1 | 6.1 a | 0.6 | 1.1 c | 0.1 | |
| OC:TN | 6.8 b | 0.5 | 16.2 a | 0.2 | 6.8 b | 0.1 | ||
| δ 13C | ‰ | −26.2 b | 0.1 | −26.9 c | 0.1 | −25.7 a | 0.2 | |
| Ptot | g kg−1 | 1.2 a | 0.2 | 0.8 b | 0.1 | 0.7 b | 0.1 | |
| P Olsen | mg kg−1 | 4.6 a | 1.6 | 2.7 b | 0.2 | 2.9 ab | 0.9 | |
| K2SO4-C | mg kg−1 | 92 b | 3 | 378 a | 30 | 70 c | 4 | |
| K2SO4-N | mg kg−1 | 28 b | 5 | 67 a | 7 | 18 b | 1 | |
| BR | mg C-CO2 kg−1 | 15 b | 2 | 120 a | 5 | 13 b | 2 | |
| Ccum | mg C-CO2 kg−1 | 688 b | 57 | 2567 a | 125 | 125 b | 49 | |
| Cmic | mg kg−1 | 438 a | 18 | 143 b | 35 | 121 b | 19 | |
| Nmic | mg kg−1 | 21 | 2 | 25 | 5 | 15 | 3 | |
| 20–40 cm | OC | g kg−1 | 14.1 b | 0.7 | 95.6 a | 15.8 | 7.9 c | 0.6 |
| NT | g kg−1 | 2.1 b | 0.1 | 6.5 a | 0.6 | 1.1 c | 0.1 | |
| OC:TN | 6.7 b | 0.5 | 14.7 a | 0.2 | 7.2 b | 0.1 | ||
| δ 13C | ‰ | −26.5 ab | 0.6 | −26.8 b | 0.3 | −25.7 a | 0.2 | |
| Ptot | g kg−1 | 1.1 | 0.1 | 0.8 | 0 | 0.7 | 0.1 | |
| P Olsen | mg kg−1 | 3.8 a | 1.3 | 1.5 b | 0.3 | 4.3 a | 0.1 | |
| K2SO4-C | mg kg−1 | 96 b | 5 | 405 a | 35 | 80 c | 6 | |
| K2SO4-N | mg kg−1 | 23 b | 2 | 60 a | 5 | 31 b | 6 | |
| BR | mg C-CO2 kg−1 | 12 b | 3 | 58 a | 7 | 11 b | 3 | |
| Ccum | mg C-CO2 kg−1 | 443 b | 75 | 2843 a | 188 | 143 b | 88 | |
| Cmic | mg kg−1 | 208 | 17 | 146 | 31 | 132 | 20 | |
| Nmic | mg kg−1 | 17 | 2 | 25 | 6 | 15 | 3 | |
| OC | BR | Cum | Cmic | qCO2 | qM | |
|---|---|---|---|---|---|---|
| OC | 1 | |||||
| BR | 0.62 | 1 | ||||
| Ccum | 0.63 | 0.99 | 1 | |||
| Cmic | 0.19 | 0.06 | 0.06 | 1 | ||
| qCO2 | −0.29 | −0.09 | −0.09 | −0.63 | 1 | |
| qM | −0.69 | −0.32 | −0.32 | −0.32 | 0.68 | 1 |
| Scheme | Site | BFIs Score | BFIs Class |
|---|---|---|---|
| MO | 15 | IV (good) | |
| 0–20 cm | RA | 6 | II (pre-stress) |
| MEZ | 11 | III (intermediate) | |
| MO | 15 | IV (good) | |
| 20–40 cm | RA | 6 | II (pre-stress) |
| MEZ | 11 | III (intermediate) |
Publisher’s Note: MDPI stays neutral with regard to jurisdictional claims in published maps and institutional affiliations. |
© 2021 by the authors. Licensee MDPI, Basel, Switzerland. This article is an open access article distributed under the terms and conditions of the Creative Commons Attribution (CC BY) license (http://creativecommons.org/licenses/by/4.0/).
Share and Cite
Vittori Antisari, L.; Ferronato, C.; De Feudis, M.; Natali, C.; Bianchini, G.; Falsone, G. Soil Biochemical Indicators and Biological Fertility in Agricultural Soils: A Case Study from Northern Italy. Minerals 2021, 11, 219. https://doi.org/10.3390/min11020219
Vittori Antisari L, Ferronato C, De Feudis M, Natali C, Bianchini G, Falsone G. Soil Biochemical Indicators and Biological Fertility in Agricultural Soils: A Case Study from Northern Italy. Minerals. 2021; 11(2):219. https://doi.org/10.3390/min11020219
Chicago/Turabian StyleVittori Antisari, Livia, Chiara Ferronato, Mauro De Feudis, Claudio Natali, Gianluca Bianchini, and Gloria Falsone. 2021. "Soil Biochemical Indicators and Biological Fertility in Agricultural Soils: A Case Study from Northern Italy" Minerals 11, no. 2: 219. https://doi.org/10.3390/min11020219
APA StyleVittori Antisari, L., Ferronato, C., De Feudis, M., Natali, C., Bianchini, G., & Falsone, G. (2021). Soil Biochemical Indicators and Biological Fertility in Agricultural Soils: A Case Study from Northern Italy. Minerals, 11(2), 219. https://doi.org/10.3390/min11020219

