Abstract
Assessing the spatial distribution of soil heavy metals in urban areas in relation to land use, lithology and landform may provide insights for soil quality monitoring. This study evaluated the spatial distribution, the sources and the extent of heavy metal(loid)s in the topsoil of Fuzhou city, China. A combination of GIS and multivariate approaches was used to determine the spatial distribution and the sources of heavy metals. Additionally, analysis of variance was used to determine the variability of selected heavy metals across land use, landform, and lithology. The result show that the mean concentrations of Cd, Zn, As and Pb were higher than background values. Most of the heavy metals had significant correlations with each other. In particular, V and Fe (0.84 at p < 0.01) and Ni and Cr (0.74 at p < 0.01) had strong correlations, while Cu and Fe (0.68 at p < 0.01), Cu and V (0.63 at p < 0.01), Cu and Co (0.52 at p < 0.01), Zn and Ni (0.51 at p < 0.01), Co and Fe (0.54 at p < 0.01), and Cu and Zn (0.55 at p < 0.01) had moderate correlations. Arsenic, Cu, and Zn had significant positive correlations with total nitrogen (TN). Similarly, arsenic, Zn and Cr had positive correlations with total carbon (TC), while Co had negative correlations with TN and TC at p < 0.01. The peak values for Cr, Ni, Pb, Mn, and Zn were observed in the intensively urbanized central and eastern parts of the study area, suggesting that the main sources might be anthropogenic activities. Agricultural land use had the highest content of Cd, which may be attributed to the historical long-term application of agrochemicals in the area. Additionally, its content was significantly higher in agricultural land use with shale lithology, implying that shale lithology was a key geogenic source for Cd of soils in the study area. Pb content was affected by urban land use, which may be attributed to intensive human activities such as emissions from vehicles, industrial effluents, mining activities, and other discharges. The results show the high spatial variability of heavy metal(loid)s, implying that the soils in the study area were highly influenced by both geogenic variability and human activities. Moreover, land use and lithology had significant impacts on the variability of Cd, As and Pb. Sustainable agricultural practices and urban management are recommended to sustain the eco-environment of coastal city.
1. Introduction
Soil contamination by heavy metals is one of the biggest environmental threats affecting food, air, water, climate, human health, and the whole ecosystem [1]. In urban areas, intensive anthropogenic activities related to rapid urbanization and industrialization processes are the major drivers for the release of heavy metal elements into soils and the water system [2,3].
Studies reported that China′s reform in 1978 and open policies had great impact on rapid economic growth and prosperity [4,5]. However, intensive urbanization, industrialization and dynamic land use changes have increased soil pollution in the major cities [6].
Assessing the spatial distribution of heavy metal(loid) elements in urban areas as well as in urban proximities and identifying the sources is important, as currently, the majority of the population lives in urban areas.
Studies confirmed that soil contamination by heavy metal(loid) elements is highly variable, owing to the heterogeneity of natural and anthropogenic processes. The natural factors that contributed to the high spatial variability of soil heavy metals include volcanic eruptions, degradation of minerals, fires, pedogenic processes, climate, vegetation, and soil parent materials [7,8,9]. For instance, a study conducted by Li et al. (2013) confirmed that the concentrations of Cr and Mn were correlated with soil genesis [7]. Additionally, Hou et al. (2013) claimed that the acidic nature of soils in the tropical and subtropical regions of southeastern China, including the current study area, had contributed to the high accumulation of heavy metal(loid)s in the soils [10].
However, human activities play a major role in the increased release of heavy metals into the soil. In particular, urbanization and industrialization processes are widely reported factors in previous research [3,11,12,13]. Traffic and industrial emissions, domestic emissions, weathering of buildings and pavement surfaces, and atmospheric deposition were the main activities that enriched urban soils in China.
Many studies confirmed a high correlation between urbanization processes and the heavy metal(loid) pollution of soils in China. For instance, Yinget et al. (2010) determined the concentrations of As, Hg, Pb, Cd, Cr, and copper (Cu) in Huainan city, and reported a high correlation between Cu, Cr, Cd, and Pb and industrialization and urbanization processes [2]. Likewise, Liu et al. (2014) confirmed that industrialization and urbanization caused serious pollution in Taiyuan city [14]. In particular, human activities such as mining, fertilization, agrochemical application, sewage irrigation, sludge application, smelting, industrial wastes, and the combustion of fossil fuels were widely reported as being the main sources of soil heavy metal(loid)contamination in China [15,16,17].
Furthermore, China, as the world’s leading producer of rare earth elements, has many active mining sites. Due to an increasing population, economic growth and high demand for mining products, the country consumed about 50% of the global production of coal, 56% of iron, and 64% of copper products in 2014 [18]. The increased demand for mining products coupled with intensive human activities caused a release of more heavy metal(loid) contents through time. Additionally, studies confirmed increased soil contamination due to the mining of sand and stone, which is prevalent in the study area [19,20]. In particular, a high level of the extraction of sand, mainly through open pits in Minjiang estuary, was reported to negatively impact the eco-environment [21].
Fuzhou, as one of the ten fastest growing metropolitan cities in the world, has realized a rapid expansion of built-up areas [22]. In particular, the central and eastern parts of the city are characterized by intensive urbanization and industrialization activities. The city has an alarmingly increasing urban population and urban areas [23]. Since the launching of economic reform in 1978, Fuzhou has experienced extreme economic growth and land use dynamics, which have increased soil contamination and ecological fragility. For instance, Liu et al. (2014) reported increased soil quality loss due to an expansion of built-up areas in Fuzhou city. The dynamic land use change associated with the rapid expansion of heavy industrial concentration zones, economic and technological development zones, and hi-tech industry development zones and power plants may cause ecological fragility and wetland degradation.
Even though human activities have exerted huge pressure on already declining soil quality and pose a threat to urban agriculture, green areas and wetlands, only a few studies have comprehensively studied the distribution, sources and extent of contamination by heavy metal(loid)s.
Therefore, comprehensive assessment of the spatial distribution of soil heavy metal(loid)s, sources, and their variability across land-use, landform, and lithology may provide new insights for soil monitoring and proposing appropriate management strategies in the study area. Considering the complex topography and the importance of the location as it is situated in the estuary of Minjiang watershed, the results of this study may contribute information for the monitoring of the estuarine ecosystem.
Hence, this study was aimed at performing the comprehensive assessment of the spatial variability, level of contamination, and sources of selected heavy metals and determination of variability across land use, landform, and lithology in Fuzhou, a coastal city in China, using a combination of approaches. The study results may be used for future soil monitoring and the sustainable management of soil in the study area in particular, and in similar coastal areas in general.
2. Materials and Methods
2.1. Study Area Location and Description
Fuzhou city is located at 118°08′ E to 120°31′ E longitude and 25°15′ N to 26°29′ N latitude in the southeast of Fujian Province, China. Fuzhou is a prefecture-level city comprising six districts, one county-level city, and six counties. Our study site includes all regions except Pingtan County and smaller islets (Figure 1). It has an annual average temperature of 16–20 °C and precipitation of 900–1200 mm [24].
Figure 1.
Study area map: (A) Fujian province, China; (B) Fuzhou, Fujian; (C) sample points, Fuzhou.
The lithology of the study area is dominated by acidic volcanic rocks and Cretaceous sandstones from the Jurassic Period. The geological setting shows that it has a Nan Yuan formation that is predominantly covered the high mountains around the basins consisting of a suite of intermediate and acidic volcanic lavas and volcanoclastic rocks of upper Jurassic age [25]. The geological map of the study area also shows that the majority of the area is dominated by sand shale and gray rhyolite (Figure 2). The soil is dominated by ferralsols, red and yellow soils of the humid tropics which are known for their iron- and aluminum-rich mineralogy [14,26,27]. The silt and clay soils eroded from the high mountain areas are mainly transported by rivers causing sedimentation in the lower reaches of the Minjiang river basin [21]. The natural vegetation of the area is predominantly south subtropical monsoon rain forest and evergreen broad-leaved forest [28].
Figure 2.
Geological map of the study area, Fujian, Fuzhou, the key is added to the Appendix A.
2.2. Soil Sampling
The sampling strategy was designed to represent the main land uses, lithology and landform of the study area. The samples were collected from all counties of Fuzhou city, except for Pingtan County and some islets, based on the predefined sites. Multiple soil samples were collected from purposively selected sites and composited. Initially, 244 sampling sites were selected as predetermined sampling points, but topsoil (0–20 cm) samples were collected from a total of 121 sampling sites due to inaccessibility and other limitations. The soil sample was collected from purposively distributed sample points that represent the dominant land cover, lithology, and landform of the study area during March and April. The land use, topographic and lithological maps were superimposed using ArcGIS 10.3 to identify sample points. A hand-held global positioning system (GPS) receiver was used to capture the location information, while land use information was also captured.
2.3. Soil Laboratory Analysis
The collected soil samples were thoroughly mixed to obtain a representative sample for each site. The samples were transported to the laboratory, air-dried, ground, and sieved using a 200-mesh nylon sieve (0.074 mm) to remove gravel and residues. Then, 250 g of the soil was stored in a zipped polyethylene bag for chemical analysis, from which about 20 mg of the soil sample was mixed and digested with 0.6 mL of HCl (37%), 0.2 mL of HNO3 (65%), 1.2 mL of HF (65%), and 0.1 mL of HClO4(65%) to extract heavy metals using Method 3050B [29]. Then, the solution was digested using a microwave digestion instrument by heating it up to 120 °C for 8 min, then to 150 °C for 3 min and finally to 190 °C for 40 min [2]. Then, the digested solution was left to cool for 60 min and 2 mL of hydrogen peroxide was added to the mixture and heated to 140 °C until 1 mL of residue was left. It was then put into 50 mL volumetric flasks mixed with water, and the concentration of heavy metals was measured by inductively coupled plasma mass spectroscopy (ICP-MS).
The proper quality control and assurance procedures, including the use of duplicate samples, blank samples (one blank and one standard for 10 samples) and the national standard reference material for China (GSB 04-1767-2004, National Standard Reference Material of China) were used [2]. The precision was determined based on the variability in repeated analysis of samples, and hence it was less than 5% with respect to a reference material at a 95% confidence level. The detection limits of Mn, Ni, Cd, As, V, Pb, Cu, Cr, Co, and Zn were 0.34, 0.28, 0.03, 0.10, 0.05, 0.3, 0.04, 1.10, 0.06, and 0.80 mg/kg, respectively.
In addition to following the recommended national standard (GB 15618-1995), clean non-metallic apparatuses (with nitric acid and distilled water) were used to control the contamination of samples and the uncertainty throughout the analysis.
2.4. Extraction of Landscape and Land Use
The land use land cover of the study area was classified using the maximum likelihood classification method with high accuracy. Based on our land use land cover classification results, about 34.44 % of the area is covered by vegetation mainly consisting of forestland (34.44%), urban land (29.40%), agricultural land (21.80%) and water bodies (14.30%) of the study area. The topography of the study area was derived from a high resolution (10m) digital elevation model (DEM) and classified according to the FAO guidelines for soil description (FAO, 2006). The area has heterogeneous landforms including medium gradient hills (79.36%), high-gradient mountains (10.18%), and plains (7.61%). The remaining 1.50%, 0.89% and 0.46% of the area is covered by the plain, medium-gradient mountain and high-gradient hill landforms, respectively.
2.5. Pollution Analysis
2.5.1. Pollution Degree Analysis
The single pollution index (PI) was employed to obtain real quantitative information of key pollution elements and excessive multiples, which is a widely used method for evaluating soil pollution. The single factor index of heavy metals in each functional region was calculated using Equation (1) [30]:
where Pi is the single-factor index of each heavy metal in each region; Ci is the concentration of element i; and Bi is the background value of element i. The local background values for soil heavy metals in Fujian Province were used.
The single-factor index values were categorized into four different classes as stated in Muller, with consideration of the local and national environmental quality standards.
2.5.2. Geo-Accumulation Analysis (Igeo)
The soil contamination level was calculated using the geo-accumulation index (Igeo). The Igeo was calculated as stated in [30], expressed in Equation (2):
where Cn is the concentration of heavy metal elements in the soil, Bn is the background value in the soil, and 1.5 is the correction factor used to decrease the influence of variations in background values due to lithogenic effects [31].
2.6. Statistical Analysis, Spatial Modeling and Validation
The distribution of the datasets was checked for normality and the data transformation functions were applied for skewing distributions accordingly. The transformed data were used for statistical analysis in Statistical Package for the Social Sciences (SPSS) version 25.0 (IBM Corp., Armonk, NY, USA) and R-4.1.1 for Windows. The summary statistics was calculated using descriptive statistics. The coefficient of variation (CV) was used to measure the spread about the mean and calculated using Equation (3):
where S is the standard deviation and Z is the number of measured values.
The variability of heavy metal(loid)s across land use, lithology and landform was computed using analysis of variance (ANOVA). The summary statistics were calculated using descriptive statistics, while Pearson correlation was used to measure the linear dependence between heavy metal(loid)s and possible sources. The spatial variability of heavy metal(loid)s was determined using the semi-variogram. The theoretical fitting of the variogram, and the nugget, sill, lag, and the range were defined as stated in [32,33], while the nugget effect (NE)was calculated as stated in Equation (4):
where NE is the nugget effect, C0 is the nugget effect, and C1 is the contribution.
The spatial dependence was classified into strong (<25%), moderate (between 25% and 75%), and weak at >75% [34]. The variogram was computed as a proportion of sample variance, as stated in Equation (5):
where is the semi-variance for interval distance class h; is the measured sample value at point ; is the measured sample value at point ; N(h) is the total number of sample couples for the lag interval h; and zxi2 is the sample variance for all zs.
After fitting the semi-variogram, exponential, Gaussian, spherical, and linear models were used for each heavy metal(loid) to perform optimal and unbiased spatial interpolation in ArcGIS 10.3 (Redlands, CA, USA). The models were used as stated in Burgess and Webster (1980), using Equations (6)–(8):
where: h = offset, and a = range.
The performance of best-fitted theoretical semi-variogram model was determined using the mean error (ME), average standard error (ASE), mean standard error (MSE), root mean square standardized error (RMSSE), and root mean square standardized error (RMSE) (Equations (9)–(14)). A model with minimum error was selected as the best-fit model [35].
where ẑ(si) stands for the predicted values, z(si) is the observed values of the heavy metals, si is the control points, n is the number of data points, is a measured value, is a predicted value, is a mean measured value, and is a mean predicted value.
Moreover, principal component analysis (PCA) was used to assess the linkages between heavy metal(loid)s when the rotated (orthogonal varimax) and non-rotated factor loadings were applied to extract the variance [36]. PCA is a widely used multivariate statistical method to identify the sources of heavy metal elements and to explain the variability of the data. Additionally, a dendrogram was used to explain their association [37].
3. Results
3.1. Concentrations of Heavy Metal(loid)s in the Soil
Based on descriptive statistics results, Cd, Zn, As and Pb had higher concentrations than the local background values, while Mn, Fe, Cr, V, Ni, and Co had lower concentrations. The concentration of Cd ranged from undetected to 2.94 mg/kg, that of Pb ranged from 8.42 to 153.25 mg/kg, and that of As ranged from undetected to 83.60 mg/kg (Table 1). The skewnesswas1.09 for Mn and 5.99 for V, suggesting moderate to extremely high variation. Similarly, kurtosis significantly varied across variables, with its coefficient ranging from 1.02 (Mn) to 50.76 (V). Moreover, there was very strong variability of soil heavy metal concentration, with the coefficient of variation (CV) ranging from 53.34% (for Pb) to 91.14% (for Co).
Table 1.
Descriptive statistics of the soil heavy metal(loid) concentrations in Fuzhou city (mg/kg dry weight).
3.2. Heavy Metal(loid) Sources
3.2.1. Pearson Correlation Analysis
Most of the heavy metals had significant correlations with each other (Table 2). In particular, a strong correlation was observed between V and Fe (0.84 at p < 0.01) and Ni and Cr (0.74 at p < 0.01), while there was moderate correlation between Cu and Fe (0.68 at p < 0.01), Cu and V (0.63 at p < 0.01), Cu and Co (0.52 at p < 0.01), Zn and Ni (0.51 at p < 0.01), Co and Fe (0.54 at p < 0.01), and Cu and Zn (0.55 at p < 0.01).
Table 2.
Pearson correlation between soil heavy metal(loid)s.
As and Cu had significant positive correlations with total nitrogen (TN) at p < 0.05, while Zn had significant correlations at p < 0.01, with corresponding correlation coefficients of 0.20, 0.18, and 0.25, respectively. Similarly, total carbon (TC) had positive correlations with As and Zn at p < 0.01, while having a positive correlation with Cr at p < 0.05. However, Co had negative correlations at p < 0.01 with both TN and TC.
3.2.2. The Principal Component Analysis (PCA)
The PCA was used to assess the linkages between heavy metal(loid)s where the Eigen values, percentages of variance, and loadings were used. The eigenvalues show that the first four components explained about 72.54% of variation (Table 3). A component matrix after rotation with the orthogonal varimax demonstrated significant improvements to the explained variance (Table 4), with improved correlations with V, Fe, Co, and Cu with a proportion of 0.93, 0.90, 0.74 and 0.74, respectively.
Table 3.
Explained total variance with principal component analysis.
Table 4.
Comparisons of component matrix of the heavy metal(loid)s in soils before and after rotation.
The first PC explained 35.66% of the total variance and was dominated by Cu, Fe, V, Co, Ni, Zn and Cr elements with proportions of 0.84, 0.80, 0.74, 0.72, 0.71, 0.69, and 0.57, respectively (Table 4), for the non-rotated matrix. The second PC explained 14.28% of the total variance and was dominated by Cr, Ni, Cd, and Zn with values of 0.88, 0.81, 0.69 and 0.65, respectively. The third PC explained about 13.34% of the total variance. The rotated PCA was dominated by Pb and Mn with values of 0.81 and 0.73, respectively, and with negative loadings for Fe, Cr, and Ni. The fourth principal component explained 9.25% of the total variance and was dominated by As with a proportion of 0.96 and negative loadings for Mn, Ni, Co, and Zn. Likewise, the cluster analysis result shows that V, Fe, Co, and Cu were grouped into a similar cluster (Figure 3).
Figure 3.
Dendrogram using average linkage.
3.3. Spatial Distribution of Heavy Metal(loid)s in Relation to Important Features
The spatial distribution maps of Cr, Ni, Pb, Cd, and As contents in relation to urban land use, mine sites (old and new), coal plants, rock and stone deposits, chimneys, and lighthouses are presented in Figure 4A–E, respectively.


Figure 4.
Distribution of (A) Cr, (B) Ni, (C) Pb, (D) Cd, and (E) As (mg/kg) with respect to mining sites and urban land use.
The NE% results ranged from 4% (for V) to 72% (for Cd). The range of the semi-variogram models varied in decreasing order from Cd to Fe, Cu, Pb = Cr = Ni, Zn, Mn = As = Co, and V (Table 5).
Table 5.
Semi-variogram models and their parameters for heavy metal(loid)s.
The results indicate that the peak values for Cr, Ni, Pb, Mn, and Zn were observed in the central and eastern parts of the study area, where there were intensive anthropogenic activities. Accordingly, the Cangshan district and the surroundings were the hotspots for Pb, Cr, Ni and Zn following the pattern of urban land cover. However, the high contents of Fe, Cu, Co, and V were distributed in an irregular pattern throughout the study area.
Cr had peak values in the Cangshan, Gulou, Taijiang districts, northeastern Luoyuan county and southeastern Yongtai. For Ni, the peak values were mainly in the western parts of the Changle district and the surrounding areas. Additionally, moderate to high concentrations were observed in Cangshan, Minhou, and the southeastern parts of Yongtai county (Figure 4A,B).
Pb had peak values in Cangshan district and Minhou county, spreading towards the western regions of Minqing and Yongtai counties (Figure 4C).
The peak values of Cd were distributed in the southern parts of the study area, particularly in Yongtai County, where Yunshan volcanic rock mining is located. Moderate concentrations of Cd were distributed in parts of Minqing county and Changle district (Figure 4D).
As had peak values in the northern regions of the study area, particularly in Luoyuan county and Jin’an district. The peak values of As in Jin’an district are located in proximity to Emei, Shoushan, and Qishan stone mining areas. Similarly, in Fuqing satellite city and Minqing county, moderate levels of As were predicted close to the Zhuzhong and Dongzai mining areas, respectively (Figure 4E).
3.4. Variability across Land Use, Landform, and Lithology
The results of the variability of Cd with respect to land use show that agricultural land use had the highest content of Cd (0.74 mg/g), followed by forest, urban land and water bodies (Figure 5). Figure 5A shows the variability of Cd contents in land uses with their respective prediction intervals, as can be seen in the margin plot; some of the lower class limit values are negative. The contents of As in different land uses with 95% confidence intervals are shown in Figure 5B. The highest content of Pb (45.28 mg/g) is predicted in the urban land use, followed by forest, agricultural, and water bodies (Figure 5C).
Figure 5.
Impact of land use on (A) Cd, (B) As, and (C) Pb contents.
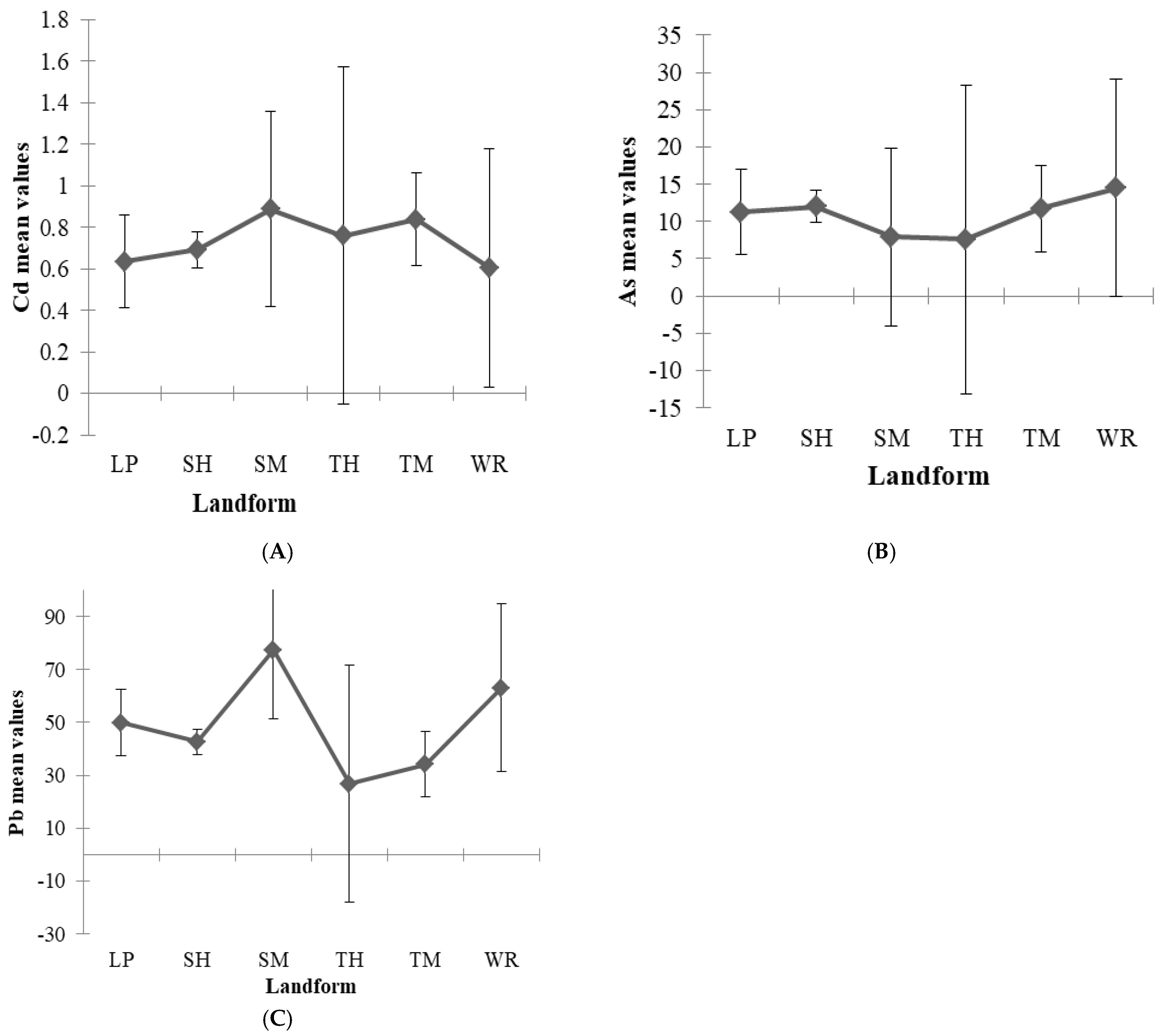
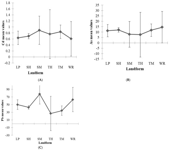
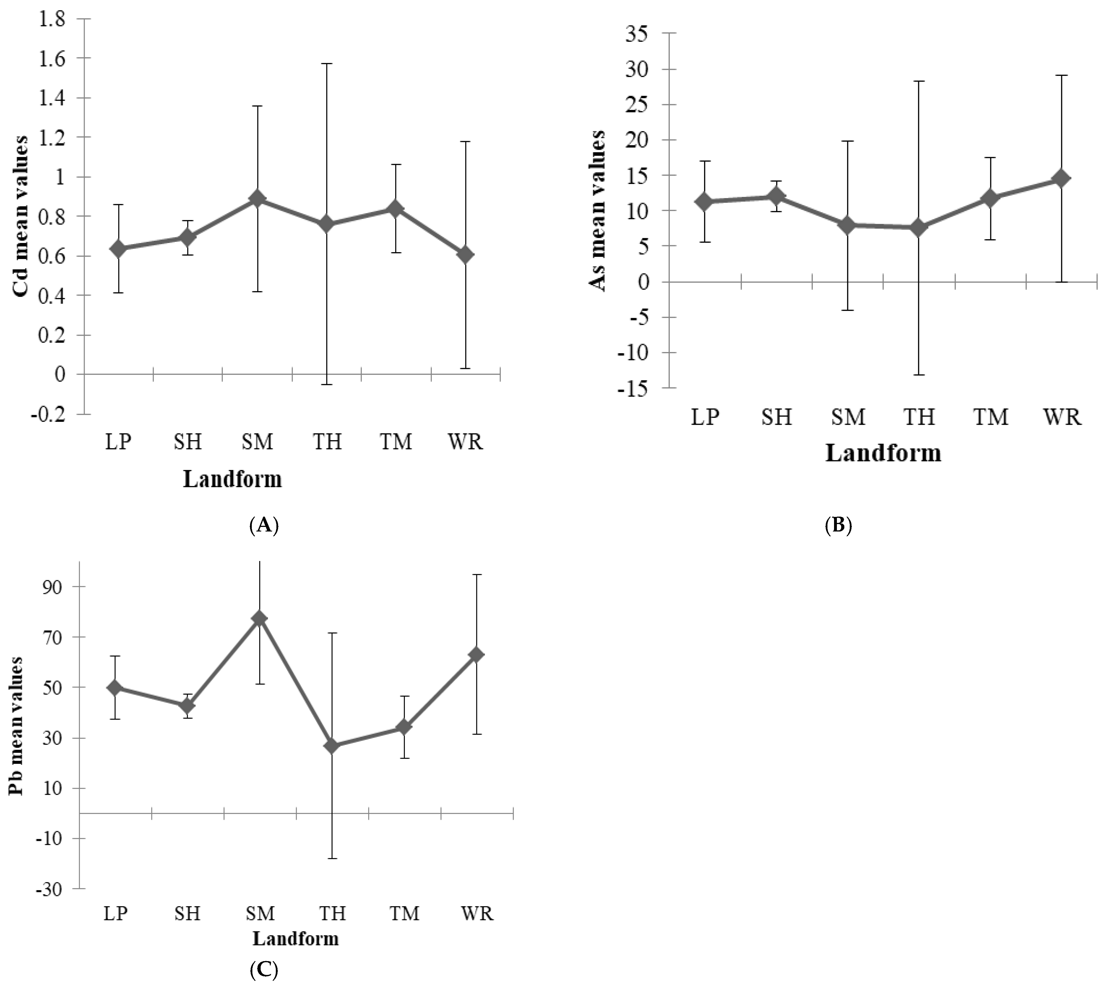
Likewise, the selected heavy metals content was variable across landforms, where Cd had maximum values (0.89 mg/g) in the medium-gradient mountain (SM) landform, followed by the high-gradient mountain (TM), high-gradient hill (TH), medium gradient hill (SH), plain (LP) and shoreline (WR) landforms (Figure 6A). The As content decreased in the order of medium gradient hill (SH), high-gradient mountains (TM), plain (LP), medium-gradient mountain (SM), and high-gradient hill (TH) landforms (Figure 6B). The Pb content was higher (77.35 mg/g) in the medium-gradient mountain (SM) landform, followed by shoreline (WR), plain (LP), medium gradient hill (SH), medium-gradient mountain (SM), and high-gradient hill (TH) landforms (Figure 6C). Landform variability had a significant impact on the spatial distribution of Pb at p < 0.01.
Figure 6.
The effect of landform on (A) Cd, (B) As, and (C) Pb contents.
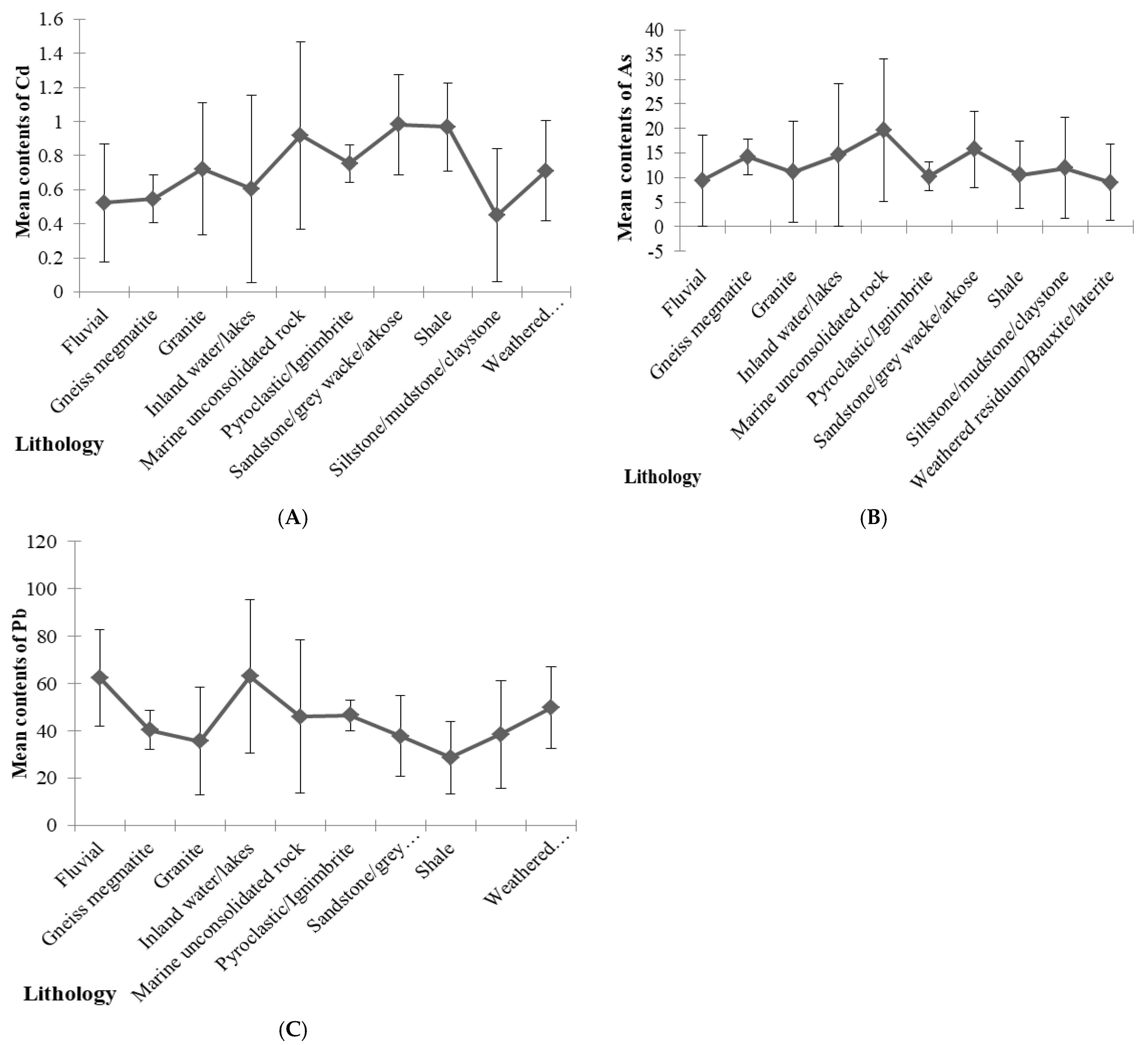
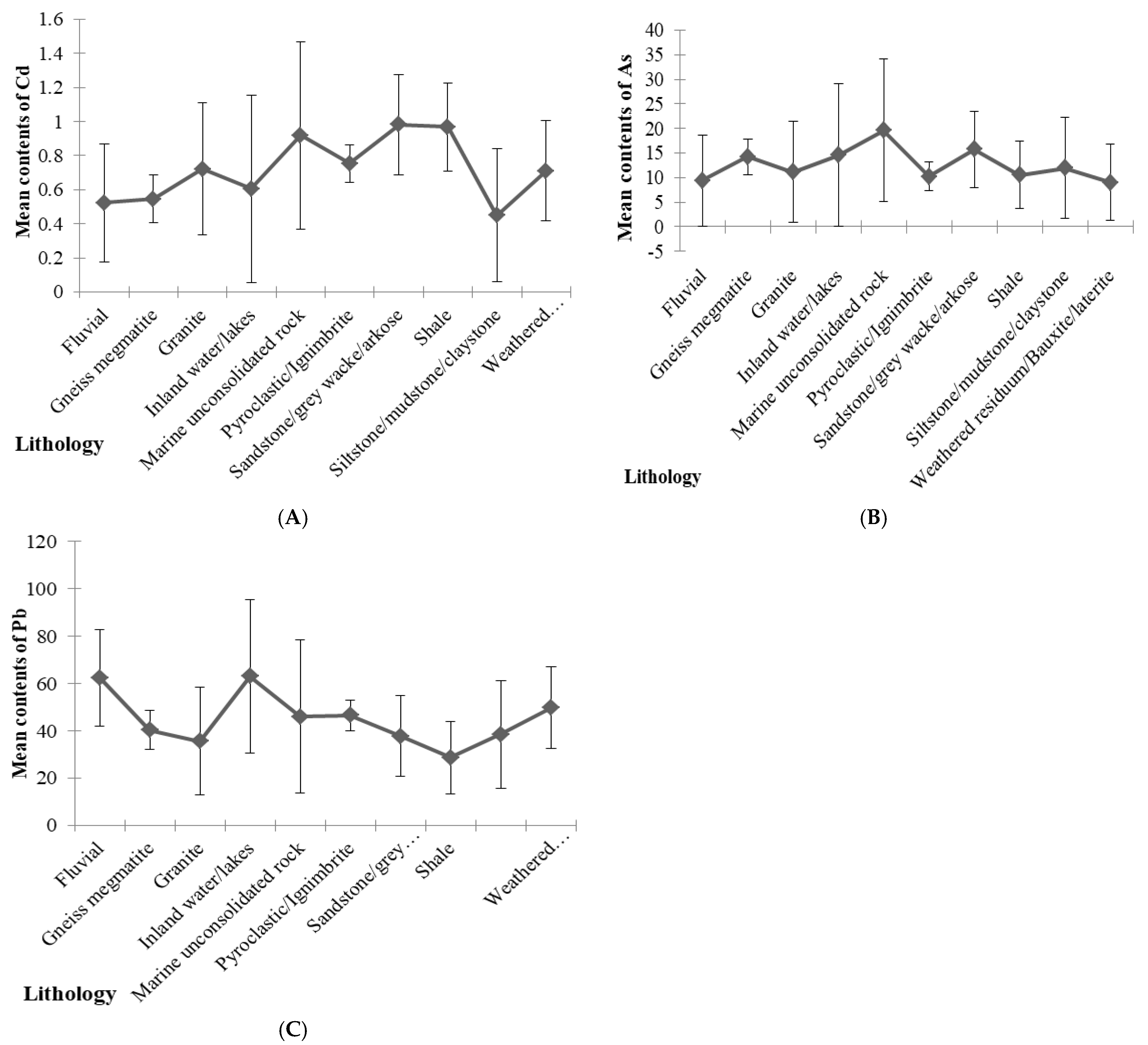
Additionally, sandstone and shale had increased Cd contents (0.98 ± 0.15 mg/g and 0.96 ± 0.08 mg/g) compared to other lithologies, followed by marine rock, ignimbrite, granite, bauxite, gneiss, fluvial, and siltstone (Figure 7A). Marine unconsolidated rock had the highest content of As (19.63 ± 0.45 mg/g), followed by, in decreasing order, sandstone, megmatite, siltstone, granite, shale, ignimbrite, fluvial, and finally weathered residuum lithology (Figure 7B). The inland water lithology had higher Pb contents with a proportion of 63.05 mg/g, followed by fluvial, bauxite, ignimbrite, marine unconsolidated rock, megmatite, claystone, sandstone, granite, and shale (Figure 7C).
Figure 7.
The effect of lithology on (A) Cd, (B) As, and (C) Pb contents.
The result shows that 34% of the variability of Cd is explained by land use and lithological factors. The Cd content was significantly influenced by lithology and land use/lithology interaction at a p < 0.05 significance level. The interaction plot depicting the least squares mean values of Cd across land use and lithology factors is shown in Figure 8A. Cd content was higher in agricultural land use with shale lithology (Figure 8A). The variables explained 15% of As but, based on the type III sum of squares, land use/landform interaction is the most influential variable.
Figure 8.
Combined effects of (A) land use and lithology on Cd (B) land use and landform on Pb, and (C) land use and lithology on Pb contents.
The results also show that the interactions of agricultural land use with the high-gradient mountain landform, agricultural land use with fluvial lithology, agricultural land use with shale lithology, and forest land use with the medium-gradient mountain landform caused a significantly higher variance of Pb at p < 0.05 (Figure 8B,C).
3.5. Single Pollution Index (PI)
The Pi ranges of Cd, Mn, Pb, As, Cr, V, Ni, Co, Cu, and Zn were 0.01–10.06, 0.11–2.85, 0.20–3.71, 0.00–13.27, 0.00–2.54, 0.00–0.03, 0.00–2.80, 0.00–3.96, 0.00–4.15, and 0.00–4.45, respectively. The highest Pi value was for As (13.27), while the minimum was for V (0.01). Based on the single factor index, the area was heavily contaminated by Cd and has a potential pollution for As, Pb, Cu, and Zn. However, it was clean for Mn, Cr, V, Ni, and Co. The degree of pollution for soil heavy metal(loid)s was in the order of Cd > As > Zn > Pb > Cu > Mn > Ni > Cr > Co > V (Table 6).
Table 6.
Descriptive statistics of pollution index (PI) values.
3.6. Geo-Accumulation Index
Similar to Pi, the highest mean Igeo value was recorded for Cd, whereas Cr had the lowest (−6.70), suggesting that the study area was strongly contaminated by Cd (Table 7). The contamination level of heavy metals ranged from uncontaminated to moderate contamination for all elements except for Cd, with which the study area is strongly contaminated.
Table 7.
Descriptive statistics of geo-accumulation index values.
4. Discussion
Compared with background values, the levels of As, Zn, Cu, and Pb were 1.86, 1.13, 1.02, and 1.05 times higher, respectively. Their concentrations were higher perhaps for both geogenic and anthropogenic reasons. Similar findings were obtained by a previous study [6]. Likewise, Huaying et al. (2008) reported the enrichment of topsoil in the study area with As, Cd, Cu, Pb and Zn. Their findings are consistent with this result, except for Mn, which had a lower concentration [38].
Pearson and cluster analysis results show that the most of heavy metal(loid)s had a strong to moderate correlation among each other, suggesting that there might be similar sources. The results of this study are consistent with previous research findings [13]. Likewise, the correlations of As, Cu, Zn and Co with TN and TC suggest that heavy metals were influenced by organic matter content, as it may serve as a sink for metal(loid)s [13,39]. The result shows that improving the soil organic matter contents of the soil in the form of plant and animal residues, microbial biomass and other amendments may increase the metal(loid) adsorption of the soils and decrease soil contamination [16,39].
Lower correlations of Cd and Pb with other heavy metals show that there may be unique anthropogenic and/or geogenic sources that affects their distributions [35,40,41,42,43]. The main anthropogenic sources for Cd in the study area may be attributed to mining activities and the application of agrochemicals [44,45]. Both elements may be influenced by both natural and anthropogenic sources. However, for Pb, vehicle exhaust emissions may be an additional anthropogenic source. The natural sources for the increased level of Cd in the study area may be related to the lithologic origin. For instance, Cretaceous volcanic rocks from Yunshan mine in Yongtai County may be a major cause for elevated Cd in the southern region. This result is in agreement with previous studies [23,38,46,47,48].
V, Fe, Co, and Cu may originate from similar natural sources such as geogenic and pedogenic processes [49], while Cr, Ni, and Zn might be affected by similar anthropogenic sources [6,40,50]. However, As may have a different origin from the other elements. A possible unique anthropogenic source for As might be agricultural pollution due to the increased use of fertilizers, animal manures, pesticides, and wastewater use in peaked northern regions of the study area. Furthermore, the Emei, Shoushan, and Qishan stone mines may influence the As levels in the Jin’an district. Similarly, in Fuqing and Minqing counties, the Zhuzhong and Dongzai mines may have contributed to moderate levels of As.
The spatial variability result was similar to PCA, CA and CV, suggesting that the semi-variogram models employed were optimal for the spatial prediction of heavy metal(loid)s in the study area.
The elevated levels of Pb in the Cangshan and Minhou districts may be due to extensive urbanization, industrialization and intensive human activities. An increased content in Jin’an district may also be related to the Emei, Shoushan, and Mount Qi (Qishan) mining activities.
Cd content in the Yongtai county is peak it may be due to the weathering of Yushan volcanic field, ore mining, processing, transportation, storage, and related activities. Additionally, long-term weathering of dominant Cretaceous volcanic rocks may increase Cd levels of the soils in the area. The result is consistent with the previous studies, which confirmed the high amount of Cd in Cretaceous black shale [43,51]. Furthermore, the Cd content was significantly influenced by lithology and the land use/lithology interaction, where an increased Cd content was obtained in agricultural land use with shale lithology. The weathering of the shale lithology and its exposure to human activities may increase the Cd contents of the soil. This result suggests that increased Cd content in the study area is greatly influenced by geogenic causes. Many previous studies reported shale lithology as a key geogenic source of Cd contents of soils [43,52]. On the other hand, the reason for higher contents of Cd in Minqing county may be related to the Zhuzhong mining site, while that of the Changle district could be due to aircraft exhaust emitted from Changle airport.
The increased As contents in Luoyuan County may be related to the mining, industrial, smelting, and agricultural activities. The increased contents of arsenic (As) in agricultural land use in the study may be due to long-term agricultural practices dominated by rice, sweet potato, and tea crop production and pig and poultry farming. Previous studies also reported increased contents of As due to agricultural activities [20,53]. Additionally, rock mining activities, Luoyuan Bay and Kemen port in the surrounding areas may influence it [54].
The Cangshan district and the surrounding were hotspots for most of the heavy metals (i.e., Cr, Ni, Pb, Mn, and Zn), suggesting that human activities such as mining, automobile and aircraft exhausts, wear and tear of automobiles, extraction of building materials, municipal wastes, and industrial wastes may be their main sources. These districts are characterized by rapid economic development and the subsequent construction of large economic and technological development zones, which may result in changes to the natural environment and the release of heavy metals into the soil. However, Fe, Cu, Co, and V had high values in an irregular pattern across all districts, implying that these elements maybe more influenced by geogenic factors such as the prominent slope variations, parent materials, and vegetations. The lower contents of Cd in the Cangshan (downtown) district indicated that urbanization may have minimum influence on its contents, as it may be more influenced by lithologic and agricultural activities. Similar results were reported by previous studies [38,43,46].
Agricultural soil had the highest content of Cd, followed by forest, urban and wetlands. Wieczoreket et al. (2018) also reported a higher Cd content in agricultural land use than others [55]. The increased amount of Cd in agricultural land use is attributed to the historical long-term application of extensive amounts of agrochemicals such as fertilizers and pesticides in the area. High contents of Pb in urban land use imply that intensive human activities such as emissions from vehicles, industrial effluents, mining activities, and discharge from old deposits (e.g., Nuilukeng Pb-Zn and Xiaxidi Ag) may have high contributions. Similar results were reported by previous studies [2,47,56].
However, the effect of landform on Cd contents is minimal, given that topography may not directly impact the contents of Cd; however, it may dictate land use, which may contribute to such variability [42]. Shoreline landforms in the proximity of Luoyuan Bay and Kemen ports had a high distribution of As, possibly due to the excretion of chemicals from the bay and port. Sandstone and shale lithologies had higher Cd contents. This is in agreement with a previous study that reported increased amounts of Cd in shale [46]. However, As was higher in marine unconsolidated rock than other lithic forms. Vongphuthoneet et al. (2017) also reported similar results [57]. Lead content was higher in soil samples obtained from inland water, followed by the fluvial lithology. However, the increased Pb contents in this lithology may be related to the land use effect of the area, which is mainly characterized by extensive human activities including urbanization and industrial activities in these regions. The majority of the areas covered by fluvial lithology are surrounded by highly urbanized and human influenced regions that may affect the Pb contents.
Based on the mean PI and Igeo values, the study area was not contaminated for Cr, V, Ni and Co, but was moderately contaminated with Mn, Pb, As, Cu and Zn. However, there was moderate contamination in Luoyuan and Jinan counties by As, whereas Cangshan, Gulou, and some parts of the Changle district were moderately contaminated by Zn. Downtown (Cangshan district) and its surrounding showed potential pollution with Ni, Cr, and Pb. The majority of the study area had potential pollution or clean levels for most of the heavy metals.
5. Conclusions
This study assessed the spatial variability and distributions of selected heavy metal(loid)s and identified their sources and the extent of their contamination in the topsoil of Fuzhou city, China. The spatial analysis was performed using geostatistics, and source identification was determined using a combination of statistics, multivariate analysis, and GIS. The variability of selected heavy metal(loid)s across land use, landform and lithology was determined using analysis of variance.
The results show that the mean concentrations of Cd, Zn, As and Pb were higher than the local background values. However, Mn, Fe, Cr, V, Ni, and Co had lower contents. The contents of heavy metals were highly variable, with CV values ranging from 53.34% to 91.14%. Moreover, there was a strongly significant linear correlation between heavy metals such as V and Fe (0.84 at p < 0.01) and Ni and Cr (0.74 at p < 0.01).
Based on PCA and spatial analysis, V, Fe, Co, and Cu elements had strong relationships and their origin may be predominantly natural sources, such as topography and geogenic processes. Similarly, Pb, Cr, Ni, and Zn elements had strong relationships and their peak values were mainly distributed in urbanized regions, suggesting that their source could be anthropogenic activities such as intensive urbanization and industrial processes. However, Cd, Mn and As may be influenced by both natural and anthropogenic sources, while As contents may be further impacted by agricultural pollution.
Land use, landform and lithology had a significant impact on the variability of Cd, As and Pb at p < 0.01. There is high spatial variability of their concentration, implying that the study area is highly influenced by geogenic variability and human activities such as land use, landform and lithology. The pollution analysis result indicated that the study area was clean for the majority of heavy metals. However, Cd and Zn had strong and moderate contamination, respectively, in parts of the study area. Likewise, small hotspot areas in Luoyuan and Jinan counties were moderately contaminated with As. Therefore, for the spatial variability study and source identification, a combination of approaches is recommended. Based on the results, this study recommends the implementation of sustainable agricultural practices including increasing organic matter to mitigate soil contamination and to maintain healthy coastal ecosystems.
Author Contributions
T.H.S. conceptualized and designed the methodology, data processing and analysis, and performed the validation and visualization of the results and original writing of the manuscript. J.S. (Jinming Sha) designed the study, coordinated the field data collection and sampling, supervised the project and acquired funding. X.L. designed the study, collected the data, and supervised the overall activities of the project. J.S. (Jiali Shang) critically reviewed the manuscript and edited. Z.B. collected field data and involved in data processing and design. All authors have read and agreed to the published version of the manuscript.
Funding
This study was supported by Chinese Ministry of Science and Technology international project (grant number 2018YFE0184300), EU ERASMUS + SUFOGIS Project (598838-EPP-1-2018-EL-EPPKA2-CBHE-JP).
Conflicts of Interest
The authors declare no conflict of interest.
Appendix A
Table A1.
Key to geological map (Figure 2).
Table A1.
Key to geological map (Figure 2).
| Key | Geologic Types |
| 1 | Biotite, monzonitic granite |
| 10 | Potassium feldspar granite |
| 11 | Feldspar granite |
| 12 | Speckled biotite, potassium feldspar granite |
| 13 | Fine-grained potassium feldspar granite |
| 14 | Granite, porphyritic fine grain |
| 15 | Gray-purple siltstone, siliceous mudstone, sand gravel |
| 17 | Gray, rhyolite |
| 18 | Grey rhyolite, rhyolite fused tuff, tuff lava |
| 19 | Red fine-medium grain granodiorite |
| 2 | Dark gray andesite, dacite, tuff lava with glutenite |
| 20 | Light flesh red granite porphyry |
| 21 | Red spot medium-grained biotite monzonitic granite |
| 22 | Light flesh red porphyritic fine-grain monzonitic granite |
| 23 | Purple-red tuffaceous glutenite, siltstone, mudstone |
| 24 | Purple gray and red dacite, dacite fused tuff with basalt |
| 25 | Purple gray, purple red tuffaceous glutenite, sandstone, siltstone |
| 26 | Pyroxene diorite, quartz diorite, quartz monzonite |
| 27 | Potassium feldspar granite, porphyritic fine grains |
| 28 | Gray rhyolite, rhyolite tuff lava, fused tuff, sand shale |
| 29 | Light gray medium, granodiorite |
| 3 | Dark gray dacite, dacite lava, sandy mudstone |
| 30 | Potassium feldspar granite |
| 31 | Purple-gray rhyolite, quartz trachyte, with basalt |
| 32 | Light gray, gray fine-grained quartz diorite |
| 33 | Light flesh red quartz syenite (porphyry) |
| 34 | Light gray fine-grained quartz monzodiorite |
| 35 | Monzonitic granite, porphyritic fine grains |
| 36 | Light gray, gray white granite porphyry |
| 37 | Light gray, gray-purple alkaline feldspar porphyry |
| 38 | Mica quartz, quartzite with marble, plagioclastic amphibolite schist |
| 39 | Light flesh red porphyritic, monzonitic granite |
| 4 | Dark gray fine-grained (quartz) diorite |
| 40 | Light flesh red spotted medium-fine biotite monzonitic granite |
| 5 | Feldspar granite, porphyritic fine grains |
| 6 | Flesh-red fine-grained alkali feldspar granite |
| 7 | Flesh-red fine-grained potassium feldspar granite |
| 8 | Flesh-red medium-grained alkaline feldspar granite |
| 9 | Flesh-red porphyritic medium-grained potassium feldspar granite |
References
- Ferreira, C.S.S.; Walsh, R.P.D.; Ferreira, A.J.D. Degradation in urban areas. Curr. Opin. Environ. Sci. Health 2018, 5, 19–25. [Google Scholar] [CrossRef]
- Ying, L.; Shaogang, L.; Xiaoyang, C. Assessment of heavy metal pollution and human health risk in urban soils of a coal mining city in East China. Hum. Ecol. Risk Assess. An. Int. J. 2016, 22, 1359–1374. [Google Scholar] [CrossRef]
- Vinha, G.; Silva, M.M.; Cabral Pinto, M.; Dinis, P.A.; Mandavela, L. Geochemistry of Urban Soil in the Fast-Growing Kuito City (Angola). In Conference of the Arabian Journal of Geosciences; Springer: Cham, Switzerland, 2018; pp. 133–135. [Google Scholar]
- Chan, K.W. China’s urbanization 2020: A new blueprint and direction. Eurasian Geogr. Econ. 2014, 55, 1–9. [Google Scholar] [CrossRef]
- Lin, G.C.S. Reproducing Spaces of Chinese Urbanisation: New City-based and Land-centred Urban Transformation. Urban. Stud. 2007, 44, 1827–1855. [Google Scholar] [CrossRef]
- Zhao, C.; Li, K.; Peng, M.; Qin, A.; Cheng, X. Overview of trace metals in the urban soil of 31 metropolises in China. J. Geochem. Explor. 2014, 139, 31–52. [Google Scholar] [CrossRef]
- Li, F.; Huang, J.; Zeng, G.; Yuan, X.; Li, X.; Liang, J.; Wang, X.; Tang, X.; Bai, B. Spatial risk assessment and sources identification of heavy metals in surface sediments from the Dongting Lake, Middle China. J. Geochem. Explor. 2013, 132, 75–83. [Google Scholar] [CrossRef]
- He, B.; Yun, Z.; Shi, J.; Jiang, G. Research progress of heavy metal pollution in China: Sources, analytical methods, status, and toxicity. Chin. Sci. Bull. 2013, 58, 134–140. [Google Scholar] [CrossRef]
- Yu, H.; Ni, S.-J.; He, Z.-W.; Zhang, C.-J.; Nan, X.; Kong, B.; Weng, Z.-Y. Analysis of the spatial relationship between heavy metals in soil and human activities based on landscape geochemical interpretation. J. Geochem. Explor. 2014, 146, 136–148. [Google Scholar] [CrossRef]
- Hou, D.; He, J.; Lü, C.; Ren, L.; Fan, Q.; Wang, J.; Xie, Z. Distribution characteristics and potential ecological risk assessment of heavy metals (Cu, Pb, Zn, Cd) in water and sediments from Lake Dalinouer, China. Ecotoxicol. Environ. Saf. 2013, 93, 135–144. [Google Scholar] [CrossRef]
- Wei, B.; Yang, L. A review of heavy metal contaminations in urban soils, urban road dusts and agricultural soils from China. Microchem. J. 2010, 94, 99–107. [Google Scholar] [CrossRef]
- Yang, Y.F.; Sun, X.H.; Wang, B.T. Ecological risking assessment in Shandong province based on landuse landscape structure. Bull. Soil Water Conserv. 2010, 30, 231–235. [Google Scholar]
- Cabral Pinto, M.M.S.; Ferreira da Silva, E.A. Heavy Metals of Santiago Island (Cape Verde) Alluvial Deposits: Baseline Value Maps and Human Health Risk Assessment. Int. J. Environ. Res. Public Health 2019, 16, 2. [Google Scholar] [CrossRef] [PubMed]
- Liu, Y.; Diwu, C.; Zhao, Y.; Liu, X.; Yuan, H.; Wang, J. Determination of trace and rare-earth elements in Chinese soil and clay reference materials by ICP-MS. Chinese J. Geochem. 2014, 33, 95–102. [Google Scholar] [CrossRef]
- Qingjie, G.; Jun, D.; Yunchuan, X.; Qingfei, W.; Liqiang, Y. Calculating Pollution Indices by Heavy Metals in Ecological Geochemistry Assessment and a Case Study in Parks of Beijing. J. China Univ. Geosci. 2008, 19, 230–241. [Google Scholar] [CrossRef]
- Yan, X.; Liu, M.; Zhong, J.; Guo, J.; Wu, W.; Yan, X.; Liu, M.; Zhong, J.; Guo, J.; Wu, W. How Human Activities Affect Heavy Metal Contamination of Soil and Sediment in a Long-Term Reclaimed Area of the Liaohe River Delta, North China. Sustainability 2018, 10, 338. [Google Scholar] [CrossRef]
- Sodango, T.H.; Li, X.; Sha, J.; Bao, Z. Review of the spatial distribution, source and extent of heavy metal pollution of soil in China: Impacts and mitigation approaches. J. Health Pollut. 2018, 8, 53–70. [Google Scholar] [CrossRef]
- Roberts, J.W.; Andreu, M.G.; Kanika, I.; Cohen, M.J.; Zipperer, W.C. Soil denitrification dynamics in urban impacted riparian zones throughout Tampa, FL. Fla. Sci. 2018, 81, 80–95. [Google Scholar]
- Zhang, X.; Zhong, T.; Liu, L.; Ouyang, X. Impact of Soil Heavy Metal Pollution on Food Safety in China. PLoS ONE 2015, 10, e0135182. [Google Scholar] [CrossRef]
- Chen, H.; An, J.; Wei, S.; Gu, J. Spatial Patterns and Risk Assessment of Heavy Metals in Soils in a Resource-Exhausted City, Northeast China. PLoS ONE 2015, 10, e0137694. [Google Scholar] [CrossRef]
- Zhang, P.; Li, L.; Wang, Y.; Shi, C.; Fan, C. Influence of Riverbed Incision and Hydrological Evolution on Water Quality and Water Age Based on Numerical Simulation: A Case Study of the Minjiang Estuary. Int. J. Environ. Res. Public Health 2021, 18, 6138. [Google Scholar] [CrossRef]
- Zuo-ding, L.I.N.L.W. Study on Development of Rural Urbanization in Fuzhou City. J. Fuzhou Teach. Coll. 2002, 2, 14. [Google Scholar]
- Wu, Y.H. Heavy metal pollution and their spatial distribution in urban soils of Fuzhou. In Proceedings of the 2011 International Conference on Electric Technology and Civil Engineering, ICETCE 2011-Proceedings, Lushan, China, 22–24 April 2011; pp. 6642–6645. [Google Scholar]
- Guo, P.T.; Li, M.F.; Luo, W.; Tang, Q.F.; Liu, Z.W.; Lin, Z.M. Digital mapping of soil organic matter for rubber plantation at regional scale: An application of random forest plus residuals kriging approach. Geoderma 2015, 237–238, 49–59. [Google Scholar] [CrossRef]
- Jinzhang, Z. Borehole Geology and Hydrothermal Alteration in Fuzhou Geothermal Field, Fujian Province, China; National Energy Authority: Reykjavik, Iceland, 1984. [Google Scholar]
- Ni, J.; Li, X.; Guo, J.; Wang, J.; Yang, H.; Wei, R. Distribution Pattern, Sources and Potential Risks of Polycyclic Aromatic Hydrocarbons in Urban Soils of Fuzhou City, China. In Molecular Environmental Soil Science at the Interfaces in the Earth’s Critical Zone; Springer: Berlin/Heidelberg, Germany, 2010; pp. 226–228. [Google Scholar]
- Zhang, Y.; Balzter, H.; Wu, X. Spatial–temporal patterns of urban anthropogenic heat discharge in Fuzhou, China, observed from sensible heat flux using Landsat TM/ETM+ data. Int. J. Remote Sens. 2013, 34, 1459–1477. [Google Scholar] [CrossRef]
- Chen, Z.-Q.; Chen, J.-F. Geostatistical analysis on human impact indexes for land use/cover in Fujian Province and Fuzhou City. In Proceedings of the International Conference on Geoinformatics, Fairfax, VA, USA, 12–14 August 2009. [Google Scholar]
- USEPA. Method 3050B Acid Digestion of Sediments, Sludges, and Soils 1.0 Scope and Application; United States Environmental Protection Agency: Washington, DC, USA, 1996.
- Müller, G. Index of geoaccumulation in sediments of the Rhine River. GeoJournal 1969, 2, 108–118. [Google Scholar]
- Stoffers, P.; Glasby, G.P.; Wilson, C.J.; Davis, K.R.; Walter, P. Heavy metal pollution in Wellington Harbour. N. Zeal. J. Mar. Freshw. Res. 1986, 20, 495–512. [Google Scholar] [CrossRef]
- Barbosa, I.C.; Appel Neto, E.; Seidel, E.J.; de Oliveira, M.S.; Barbosa, I.C.; Appel Neto, E.; Seidel, E.J.; Oliveira, M.S. de proposal of the spatial dependence evaluation from the power semivariogram model. Bol. Ciências Geodésicas 2017, 23, 461–475. [Google Scholar] [CrossRef][Green Version]
- Richter, D.d.B.; Bacon, A.R.; Megan, L.M.; Richardson, C.J.; Andrews, S.S.; West, L.; Wills, S.; Billings, S.; Cambardella, C.A.; Cavallaro, N.; et al. Human–Soil Relations are Changing Rapidly: Proposals from SSSA’s Cross-Divisional Soil Change Working Group. Soil Sci. Soc. Am. J. 2011, 75, 2079. [Google Scholar] [CrossRef]
- Cambardella, C.A.; Moorman, T.B.; Parkin, T.B.; Karlen, D.L.; Novak, J.M.; Turco, R.F.; Konopka, A.E. Field-Scale Variability of Soil Properties in Central Iowa Soils. Soil Sci. Soc. Am. J. 1994, 58, 1501. [Google Scholar] [CrossRef]
- Azadmard, B.; Mosaddeghi, M.R.; Ayoubi, S.; Chavoshi, E.; Raoof, M. Spatial variability of near-saturated soil hydraulic properties in Moghan plain, North-Western Iran. Arab. J. Geosci. 2018, 11, 452. [Google Scholar] [CrossRef]
- Tóth, G.; Hermann, T.; Szatmári, G.; Pásztor, L. Maps of heavy metals in the soils of the European Union and proposed priority areas for detailed assessment. Sci. Total Environ. 2016, 565, 1054–1062. [Google Scholar] [CrossRef] [PubMed]
- Zhiyuan, W.; Dengfeng, W.; Huiping, Z.; Zhiping, Q. Assessment of Soil Heavy Metal Pollution with Principal Component Analysis and Geoaccumulation Index. Procedia Environ. Sci. 2011, 10, 1946–1952. [Google Scholar] [CrossRef]
- Huaying, C. The distributional characteristics of Cu and else 13 kinds of elements in city soil of Fuzhou. Geol. Fujian 2008, 2, 211–218. [Google Scholar]
- Liu, H.; Xiong, Z.; Jiang, X.; Liu, G.; Liu, W. Heavy metal concentrations in riparian soils along the Han River, China: The importance of soil properties, topography and upland land use. Ecol. Eng. 2016, 97, 545–552. [Google Scholar] [CrossRef]
- Ayoubi, S.; Amiri, S.; Tajik, S. Lithogenic and anthropogenic impacts on soil surface magnetic susceptibility in an arid region of Central Iran. Arch. Agron. Soil Sci. 2014, 60, 1467–1483. [Google Scholar] [CrossRef]
- Karimi, A.; Haghnia, G.H.; Ayoubi, S.; Safari, T. Impacts of geology and land use on magnetic susceptibility and selected heavy metals in surface soils of Mashhad plain, northeastern Iran. J. Appl. Geophys. 2017, 138, 127–134. [Google Scholar] [CrossRef]
- Liu, Y.; Su, C.; Zhang, H.; Li, X.; Pei, J. Interaction of Soil Heavy Metal Pollution with Industrialisation and the Landscape Pattern in Taiyuan City, China. PLoS ONE 2014, 9, e105798. [Google Scholar] [CrossRef] [PubMed]
- Liu, Y.; Xiao, T.; Perkins, R.B.; Zhu, J.; Zhu, Z.; Xiong, Y.; Ning, Z. Geogenic cadmium pollution and potential health risks, with emphasis on black shale. J. Geochem. Explor. 2017, 176, 42–49. [Google Scholar] [CrossRef]
- Sun, L.; Guo, D.; Liu, K.; Meng, H.; Zheng, Y.; Yuan, F.; Zhu, G. Levels, sources, and spatial distribution of heavy metals in soils from a typical coal industrial city of Tangshan, China. Catena 2019, 175, 101–109. [Google Scholar] [CrossRef]
- Wan, D.; Han, Z.; Yang, J.; Yang, G.; Liu, X.; Wan, D.; Han, Z.; Yang, J.; Yang, G.; Liu, X. Heavy Metal Pollution in Settled Dust Associated with Different Urban Functional Areas in a Heavily Air-Polluted City in North China. Int. J. Environ. Res. Public Health 2016, 13, 1119. [Google Scholar] [CrossRef]
- Jacob, D.L.; Yellick, A.H.; Kissoon, L.T.T.; Asgary, A.; Wijeyaratne, D.N.; Saini-Eidukat, B.; Otte, M.L. Cadmium and associated metals in soils and sediments of wetlands across the Northern Plains, USA. Environ. Pollut. 2013, 178, 211–219. [Google Scholar] [CrossRef]
- Dankoub, Z.; Khademi, H.; Ayoubi, S. Magnetic susceptibility and its relationship with the concentration of selected heavy metals and soil properties in surface soils of the isfahan region. J. Environ. Stud. 2012, 38, 17–26. [Google Scholar]
- Sweere, T.C.; Dickson, A.J.; Jenkyns, H.C.; Porcelli, D.; Ruhl, M.; Murphy, M.J.; Idiz, E.; van den Boorn, S.H.J.M.; Eldrett, J.S.; Henderson, G.M. Controls on the Cd-isotope composition of Upper Cretaceous (Cenomanian–Turonian) organic-rich mudrocks from south Texas (Eagle Ford Group). Geochim. Cosmochim. Acta 2020, 287, 251–262. [Google Scholar] [CrossRef]
- Romic, M.; Romic, D. Heavy metals distribution in agricultural topsoils in urban area. Environ. Geol. 2003, 43, 795–805. [Google Scholar] [CrossRef]
- Zhou, J.; Ma, D.; Pan, J.; Nie, W.; Wu, K. Application of multivariate statistical approach to identify heavy metal sources in sediment and waters: A case study in Yangzhong, China. Environ. Geol. 2008, 54, 373–380. [Google Scholar] [CrossRef]
- Brumsack, H.-J. Geochemistry of Cretaceous black shales from the Atlantic Pcean (DSDP Legs 11, 14, 36 and 41). Chem. Geol. 1980, 31, 1–25. [Google Scholar] [CrossRef]
- Liu, G.; Tao, L.; Liu, X.; Hou, J.; Wang, A.; Li, R. Heavy metal speciation and pollution of agricultural soils along Jishui River in non-ferrous metal mine area in Jiangxi Province, China. J. Geochem. Explor. 2013, 132, 156–163. [Google Scholar] [CrossRef]
- Shi, T.; Wang, J.; Chen, Y.; Wu, G. Improving the prediction of arsenic contents in agricultural soils by combining the reflectance spectroscopy of soils and rice plants. Int. J. Appl. Earth Obs. Geoinf. 2016, 52, 95–103. [Google Scholar] [CrossRef]
- Wang, J.; Liu, R.; Ling, M.; Yu, P.; Tang, A. Heavy Metals Contamination and its Sources in the Luoyuan Bay. Procedia Environ. Sci. 2010, 2, 1188–1192. [Google Scholar] [CrossRef][Green Version]
- Wieczorek, J.; Baran, A.; Urbański, K.; Mazurek, R.; Klimowicz-Pawlas, A. Assessment of the pollution and ecological risk of lead and cadmium in soils. Environ. Geochem. Health 2018, 40, 2325–2342. [Google Scholar] [CrossRef]
- Ellahi, S.S.; Taghipour, B.; Nejadhadad, M.; Salamab Ellahi, S.; Taghipour, B.; Nejadhadad, M. The Role of Organic Matter in the Formation of High-Grade Al Deposits of the Dopolan Karst Type Bauxite, Iran: Mineralogy, Geochemistry, and Sulfur Isotope Data. Minerals 2017, 7, 97. [Google Scholar] [CrossRef]
- Vongphuthone, B.; Kobayashi, M.; Igarashi, T. Factors affecting arsenic content of unconsolidated sediments and its mobilization in the Ishikari Plain, Hokkaido, Japan. Environ. Earth Sci. 2017, 76, 645. [Google Scholar] [CrossRef]
Publisher’s Note: MDPI stays neutral with regard to jurisdictional claims in published maps and institutional affiliations. |
© 2021 by the authors. Licensee MDPI, Basel, Switzerland. This article is an open access article distributed under the terms and conditions of the Creative Commons Attribution (CC BY) license (https://creativecommons.org/licenses/by/4.0/).