Abstract
The study of the mechanical behavior of functionally graded material (FGM) sandwich plates under thermo-mechanical loading is of great significance for advanced structural design. This study systematically verifies the applicability of the shear strain functions proposed by Reddy and Touratier in the nonlinear bending analysis of porous FGM sandwich plates. Using the existing four-variable shear deformation theory framework, the governing equations are derived through the principle of minimum potential energy, and the Navier method is applied for a numerical solution. For the first time, the study systematically compared the effects of three different porosity distribution patterns on dimensionless deflection, and verified the reliability of the model by comparing it with literature data. The results demonstrate that the adopted shear strain functions can accurately predict the influence of key parameters, including layer thickness ratio, aspect ratio, side-to-thickness ratio, volume fraction index, and porosity, on the deflection performance of sandwich plates. This research provides an important verification basis for the theoretical analysis and engineering application of FGM sandwich plates, particularly offering quantitative evidence for assessing the influence of porosity effects on theoretical prediction accuracy.
1. Introduction
Sandwich structures [1] have been widely applied in numerous fields, such as aerospace, automotive industry, construction and civil engineering, shipbuilding and marine engineering, and sustainable energy, due to their high strength, lightweight, and excellent compressive and flexural properties. In recent years, with the increasing demand for extreme-environment engineering, porous functionally graded material (FGM) sandwich panels have demonstrated unique advantages in the following areas: Aerospace: As a thermal protection system for hypersonic vehicles, their gradient heat resistance can withstand transient thermal shocks exceeding 1500 °C during atmospheric re-entry [2]. In aircraft, FGM sandwich panels significantly reduce thermal stress concentration through gradient pore design, improving the reliability of thermal protection systems. New energy vehicles: Used in lightweight designs for battery pack brackets, achieving a balance between structural strength and heat dissipation efficiency through gradient porosity [3]. FGM sandwich panels with a Pore Model (uniform distribution) exhibit excellent mechanical performance under collision and thermal runaway scenarios. Biomedical: In bionic bone implants, controllable porous structures can match the mechanical compatibility of human bones, reducing stress-shielding effects [4]. Gradient porosity designs promote bone cell growth and nutrient transport, significantly improving the biocompatibility of implants. However, as the complexity of industrial scenarios increases, traditional sandwich structures struggle to meet reliability requirements under thermo-mechanical coupled loads.
Traditional sandwich structures are typically composed of two rigid and high-strength outer panels with a relatively lightweight, low-density core layer in between, and are bonded together using specific adhesives. This design has notable limitations: Due to the significant difference in material properties between the panels and the core layer, large interlayer stresses can easily develop during use, leading to delamination or even complete separation of the layers. This issue significantly impacts the structural performance and service life of the sandwich structure.
To address the issues associated with traditional sandwich panels, functionally graded materials (FGM) [5] have been introduced into the design of sandwich structures. FGM is a type of composite material with a non-uniform microstructure, composed of materials with different properties (typically ceramics and metals), allowing for a continuous gradient in material performance. Ceramic materials offer excellent heat resistance, while metal materials provide good mechanical strength. As a result, FGM can simultaneously meet the requirements for toughness and strength in complex environments (such as under large temperature differentials). This characteristic significantly compensates for the shortcomings of traditional sandwich panels, greatly enhancing their overall performance. In recent years, research on the mechanical properties of FGM sandwich structures has developed in three main directions: 1. Vibration and Buckling Characteristics Analysis: For example, Swaminathan K. et al. [6] used the finite element method to reveal the sensitivity of porosity to the vibration characteristics of FGM sandwich panels. Tran T. T. et al. [7] explored the influence of porous layers on thermo-mechanical buckling based on higher-order shear deformation theory. 2. Thermo-Mechanical Coupled Field Response Studies: Nguyen et al. [8] developed a higher-order finite element model to analyze the nonlinear thermo-mechanical behavior of bidirectional FGM sandwich panels. Zenkour et al. [9] and Mantari et al. [7,10] solved thermoelastic bending problems using improved plate theories. 3. Manufacturing Defects and Performance Correlation: It is noteworthy that most existing research focuses on ideal material assumptions (such as uniform porosity distribution). However, the impact of porosity randomness in actual manufacturing processes (such as differences in laser sintering [11] and powder metallurgy [12]) on performance has not yet been fully quantified. Although Mechab et al. [13] and Wang et al. [14] have attempted to introduce porosity variables, their research remains limited to single physical fields (pure mechanical or pure thermal loads). There is a lack of literature systematically exploring the synergistic effects of pore configuration and material gradients in thermo-mechanical coupled fields. This gap significantly hinders the reliability assessment of porous FGM sandwich panels in extreme environments, such as thermal shocks during spacecraft re-entry.
It is particularly important to note that the generation mechanism of pores is closely related to the manufacturing process. For example, powder metallurgy [12] can adjust porosity (0.1–15%) by controlling the packing density of metal/ceramic particles and sintering parameters, but it tends to result in closed-pore structures. On the other hand, 3D printing technology [15] can achieve directional open-pore configurations through layer-by-layer deposition, but the pore distribution is significantly influenced by the printing path and interlayer bonding strength. This process dependency means that porosity not only exists as a material defect but can also become a new dimension for optimizing thermo-mechanical performance through active design, such as gradient porosity [16]. However, most current area, aerospace, as a core component of thermo-mechanical models [17,18], still simplifies porosity as a uniformly distributed parameter, failing to reflect the spatial gradient characteristics and process constraints of porosity in actual manufacturing.
Based on this, this study focuses on the analysis of the nonlinear bending behavior of porous functionally graded material (FGM) sandwich panels under thermo-mechanical coupled loads. By incorporating refined shear deformation plate theory, a novel porous FGM sandwich panel model is proposed to systematically investigate the effects of four pore configurations on deflection characteristics. In this paper, the governing equations are derived using the principle of minimum potential energy, and the Navier method is employed to obtain the analytical solution of these equations under simply supported boundary conditions. Additionally, a parametric study is conducted on the porous FGM sandwich panels, thoroughly analyzing the effects of layer thickness ratio, aspect ratio, edge thickness ratio, volume fraction index, and porosity on the deflection performance of FGM sandwich panels under thermo-mechanical loads.
2. Model Establishment and Formula
This paper studies the porous functional gradient sandwich plate, which is a symmetrical structure composed of upper and lower surface layers of functional gradient materials and a middle layer of ceramic material (as shown in Figure 1).
Figure 1.
(a) Functionally graded sandwich panels, where a, b, and h are the length, width, and height, respectively. (b) Porosity distribution model.
2.1. FMG Sandwich Panel
The lower surface layer transitions from metal (z = z1) to ceramic (z = z2), the upper surface layer transitions from metal (z = z4) to ceramic (z = z3), and the middle layer (z2–z3) is a ceramic layer. The volume fraction of ceramic in the functionally gradient sandwich plate is [19]
where and are the volume contents of the first, second, and third layers of the sandwich panel, respectively. s is the volume fraction index, also known as the gradient index.
2.2. Material Properties
Many porosity distribution models have been proposed by researchers to calculate the material properties of porous functionally gradient sandwich panels. In this paper, the following three porosity models are used for calculation, and the specific forms are as follows [9,20,21,22].
Pore model 1:
Pore model 2:
Pore model 3:
where and represent the material properties of ceramic and metal (such as Young’s modulus, Poisson’s ratio, thermal expansion coefficient, etc.). and represent the total volume fraction of ceramic and metal, and their relationship always satisfies +=. is the porosity.
2.3. Displacement and Shape Function
Based on the four-variable plate theory, with further assumptions. The lateral displacement w is decomposed into a bending component and a shear component ()
The following displacement field is obtained [23]
Among them are the displacements in the ,, directions, respectively; and are the tensile components in the and directions, respectively; and are the bending and shear components, respectively; and is the shape function about z, where . In high-order shear deformation theory, the commonly used shape functions are:
Reissner [24]
Reddy [25]
Touratier [26]
2.4. Constitutive Equation
The relationship between strain and displacement:
- depends on
- obtains
- while
Adding the thermal effect, the relationship between the stress component and the deformation component is
where
where and are Young’s modulus, Poisson’s ratio, and thermal expansion coefficient of the porous functionally graded sandwich plate, respectively.
2.5. Governing Equations
The deformation potential energy of the sandwich plate is
The work performed by the external force is
According to the principle of minimum potential energy
Substituting Equations (11), (15), and (16) into (17) and integrating z, we obtain:
In the formula
Substituting (12) into (18) and integrating by parts, and setting the coefficients before , , to zero, the equilibrium equation can be derived:
Substituting (11) and (13) into (19) and (20), we obtain:
where
and
The coefficients and in the above matrix are expressed as:
The part of Equation (22) related to the heat load can be written as:
The temperature field used in this paper is as follows [17,27,28]:
2.6. Closed-Form Solution of Functionally Graded Sandwich Panels
This paper considers a simply supported rectangular functionally gradient sandwich plate with length, width, and height of a, b, and h, respectively.
The boundary conditions for the four simply supported sides are as follows:
The force load and temperature field borne by the plate are both double-sinusoidal distributions:
Among them are constants and .
Using the Navier solution, the displacement expression is taken as follows:
In the formula and are all unknown constants.
Substituting (31) and (32) into the operator equation, we can obtain:
where
The elements of the symmetric stiffness matrix are
The elements of the generalized force vector are
and
In the equation ().
Finally, the displacement field can be obtained using Equation (33).
3. Model Validation and Numerical Results
In this summary, specific material parameter values are cited to verify the accuracy of the proposed method, and the effects of volume content, size, temperature variation, thermal–mechanical loading and porosity on the bending problem of functionally graded sandwich panels are analyzed.
The functionally graded sandwich panel materials used in this Section are shown in Table 1.
Table 1.
Material properties of ceramics and metals in functionally graded materials.
Unless otherwise specified, the following parameters are used in this paper: . The shape function adopts Reissner, and the pore structure adopts pore one.
In this paper, the dimensionless deflection is [28]
where , .
The structure of the functionally graded sandwich panel can be represented by the thickness of each layer. Several thicknesses are used in this paper as shown in Table 2.
Table 2.
Layer thickness ratio.
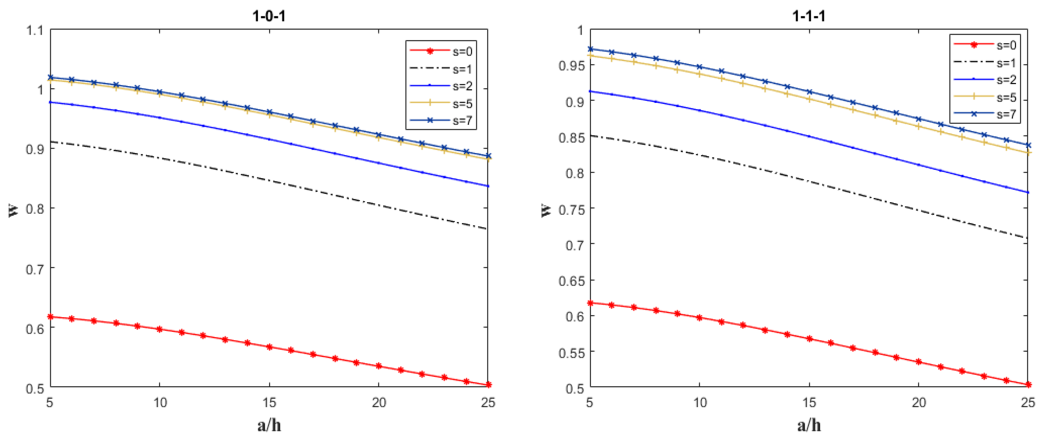
In this Section, three different Reissner Reddy Touratier type functions are used to calculate the dimensionless deflection of functionally gradient sandwich plates (without pores/with pores) under thermal–mechanical loads with different layer thickness ratios and different gradient indices. The dimensionless deflection of functionally graded sandwich panels with different volume fractions and different layer thickness ratios under thermal–mechanical loads. And the porosity value is between [0, 0.3], because the porosity of metal–ceramic functionally gradient materials (FGMs) is usually determined by the preparation process (such as powder metallurgy, and gradient sintering). A large number of studies have shown that due to the change in composition gradient and incomplete densification during sintering, the porosity of actual FGM materials is generally controlled at 0–30%, so the porosity xi is taken as 0, 0.1, 0.15, 0.2, and 0.25, to cover typical working conditions and systematically analyze the influence of porosity. In order to verify the accuracy of the model, this paper degenerates the functionally graded sandwich panels with pores into functionally graded sandwich panels without pores. The results corresponding to the three types of functions are compared with the FSDPT and SSDPT in the literature [29]. The solutions obtained in this paper are all close to the results of FSDPT and SSDPT. The calculation results are shown in Table 3.
Table 3.
Dimensionless deflection of functionally graded sandwich panels at different volume fraction indices (a/h = 10, xi = 0).
It can be seen from Table 3 that, under the condition of a given layer thickness ratio, the dimensionless deflection of the functionally gradient sandwich plate increases with the increase in the gradient index s. This is because as the gradient index s increases, the ceramic content in the functionally gradient material layer gradually decreases, resulting in a decrease in the overall stiffness of the material, which in turn causes an increase in the dimensionless deflection. In addition, the results obtained by solving the Reissner-type function are within 0.3% of the results in the literature [29] (FSDPT), the results obtained by solving the Reddy-type function are within 1.5% of the results in the literature [29] (SSDPT), and the results of the Touratier-type function are between FSDPT and SSPPT, thus verifying the accuracy and reliability of the proposed method.
It can be seen from Table 4 that (1) When the porosity is zero, the deflection values of the three different pore structures are the same. This is because when the porosity is zero, the four pore structure models all degenerate into a pore-free model, and their material parameters are completely consistent, so the corresponding dimensionless deflections are also the same. (2) Under the conditions of a given volume fraction and the same layer thickness ratio, the deflection variation trends of different pore structures are different as the porosity increases. Specifically, the dimensionless deflection of pore 1 decreases with the increase in porosity, while the dimensionless deflections of pores 2 and 3 increase with the increase in porosity. This phenomenon can be explained by the following mechanical mechanisms: (1) Stress Redistribution Effect: Pore distribution patterns alter the stress transfer paths. Pore Structure 1 (uniform distribution) promotes uniform stress dispersion, whereas Pore Structures 2 (gradient distribution) and 3 (interface clustering) induce localized stress concentrations (e.g., in gradient transition zones or interfaces), thereby reducing overall structural stiffness. (2) Effective Stiffness Variation: The presence of pores reduces the effective stiffness of the material, but the extent of this reduction depends on the distribution pattern. Pore Structure 1 uniformly weakens global stiffness, leading to decreased deflection with porosity (possibly due to a “pre-relaxation” effect from uniform pores). In contrast, Pore Structures 2 and 3 exhibit abrupt local stiffness changes caused by gradient or clustered distributions, exacerbating bending deformation. (3) Neutral Axis Shift: Pore distribution modifies the neutral axis position of the sandwich plate. Pore Structure 2 shifts the neutral axis toward the denser side, causing an imbalance in stiffness between tensile and compressive zones. Pore Structure 3 induces a sudden neutral axis shift at interfaces, generating additional bending moments and increasing deflection. (4) Local Buckling Modes: Gradient or clustered distributions in Pore Structures 2 and 3 may trigger local buckling (e.g., gradient buckling or interface buckling), while uniformly distributed Pore Structure 1 primarily exhibits global buckling. The differing sensitivity of these buckling modes to deflection accounts for the observed divergence.
Table 4.
Dimensionless deflection of porous symmetric functionally graded sandwich panels with different porosities (s = 2).
These findings demonstrate that the influence of pore distribution patterns on the mechanical behavior of sandwich plates extends beyond porosity magnitude. The spatial configuration of pores decisively governs structural performance by modifying stress fields, stiffness distributions, and buckling modes. This conclusion provides a theoretical foundation for the active design of gradient porosity in engineering applications.
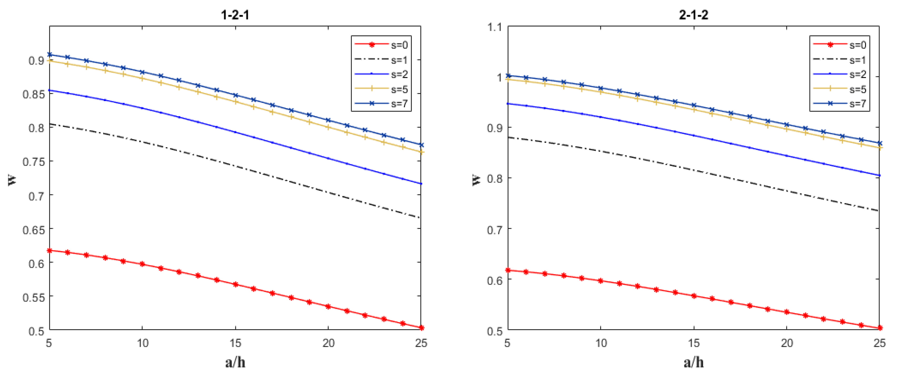
Table 5 lists the dimensionless deflection of FMG sandwich panels under thermal–mechanical loads with different layer thickness ratios when the edge thickness ratio a/h is 5, 10, 15, 20, and 25. It can be seen that (1) When the layer thickness ratio of the sandwich panel is constant, as the edge thickness ratio a/h increases, the calculated dimensionless deflection w decreases. (2) When the edge thickness ratio (a/h) of the sandwich panel is constant, the deflection of different layer thickness ratios increases with the increase in ceramic content, and the corresponding dimensionless deflection w decreases. And the thickness ratio of each layer to the ceramic content is (1-0-1 > 2-1-2 > 1-1-1 > 1-2-1).
Table 5.
Dimensionless deflection of porous FMG sandwich panels at different edge thickness ratios and layer thickness ratios (s = 2, xi = 0.25).
Table 6 lists the dimensionless deflection of FMG sandwich panels under thermal–mechanical loads with different layer thickness ratios when the aspect ratio a/b = 1, 2, 3, 4, and 5. It can be seen that when the layer thickness ratio of the sandwich panel is constant, as the aspect ratio (a/b) increases, the calculated dimensionless deflection w gradually decreases, especially when a/b > 1, the decrease in dimensionless deflection increases significantly.
Table 6.
Dimensionless deflection of porous FMG sandwich panels with different aspect ratios and layer thickness ratios (s = 2, xi = 0.25).
Parameter Analysis
In this subsection, the deflection distribution of sandwich plates along the x and y axes, the influence of the edge thickness ratio a/h, the aspect ratio a/b, the volume fraction index s, and the porosity xi on the dimensionless deflection of different types of sandwich plates, and the influence of temperature on the dimensionless deflection are studied.
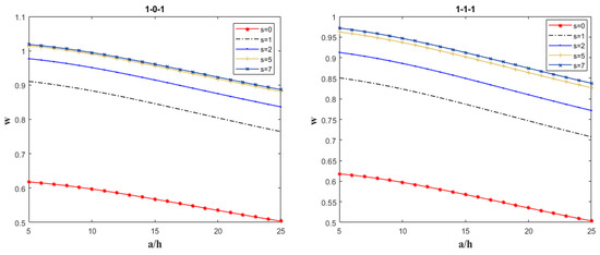
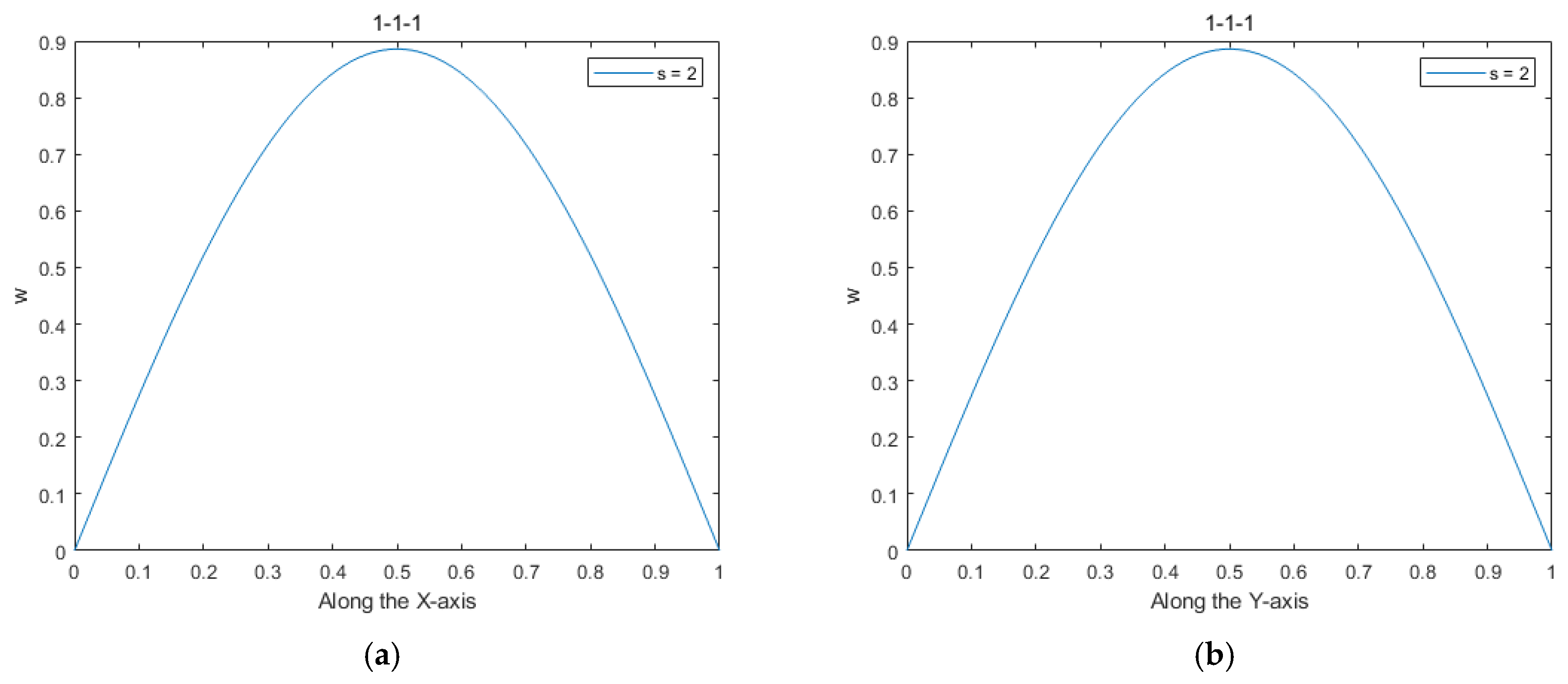
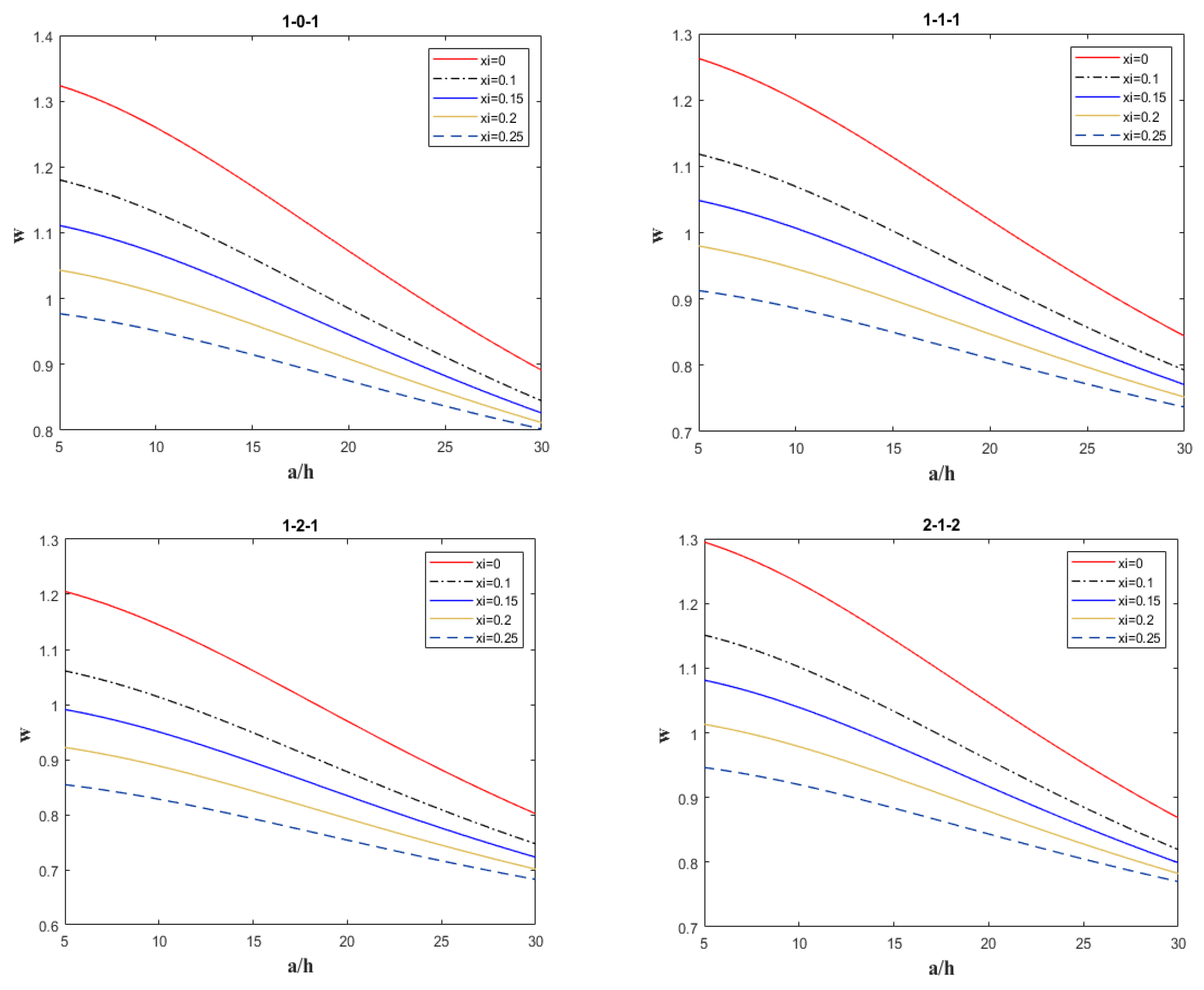
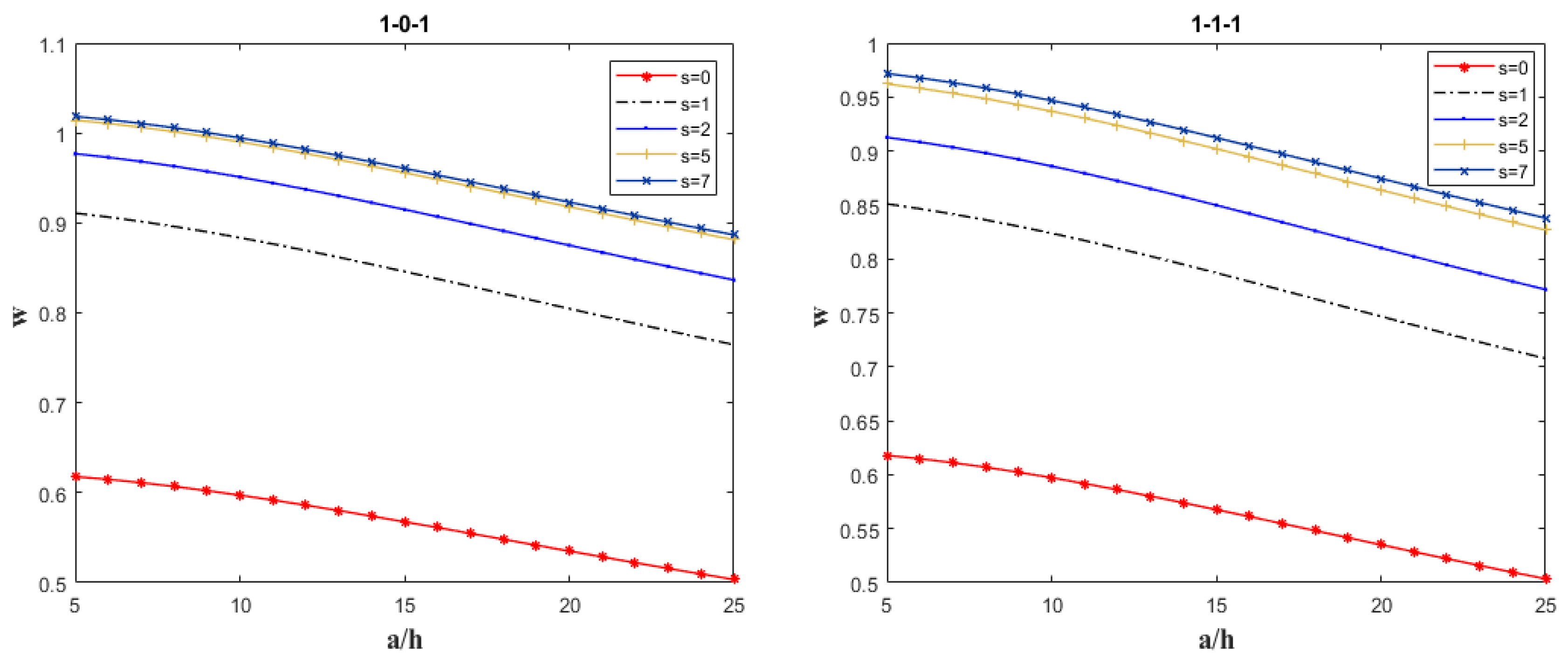
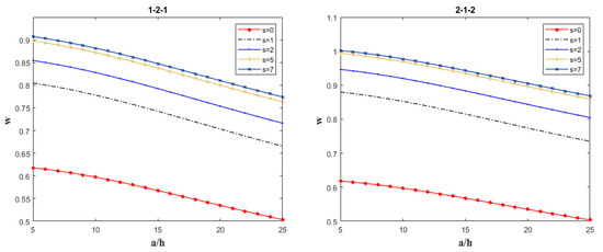
Figure 2 shows the distribution of dimensionless deflection along the x and y axes when the volume fraction index s = 2. Figure 3 shows the dimensionless deflection of the porous FMG sandwich plate as the edge thickness ratio a/h changes under the action of different volume fraction exponents s when the porosity xi = 0.25. Figure 4 shows the dimensionless deflection of the porous FMG sandwich plate as the aspect ratio a/b changes under the action of different volume fraction exponents s when the porosity xi = 0.25. Figure 5 shows the dimensionless deflection of the porous FMG sandwich plate as the edge thickness ratio a/h changes under the action of different porosities xi when the volume fraction index s = 2. Figure 6 shows that when the volume fraction index s = 2, the dimensionless deflection of the porous FMG sandwich plate varies with the aspect ratio a/b under different porosities xi. Figure 7 shows the effect of thermal load and mechanical load on dimensionless deflection when the volume fraction index s = 2 and porosity xi = 0.15.
Figure 2.
(a) Dimensionless deflection distribution along the X axis. (b) Dimensionless deflection distribution along the Y axis.

Figure 3.
Variations in the dimensionless deflection of a porous FMG sandwich plate with edge thickness ratio under different volume fraction index k (xi = 0.25).

Figure 4.
Variations in the dimensionless deflection of a porous FMG sandwich plate with aspect ratio under different gradient index s (xi = 0.25).
Figure 5.
Variations in the dimensionless deflection of a porous FMG sandwich plate with edge thickness ratio under different porosity xi (s = 2).
Figure 6.
Variations in the dimensionless deflection of a porous FMG sandwich plate with aspect ratio under different porosity xi (s = 2).
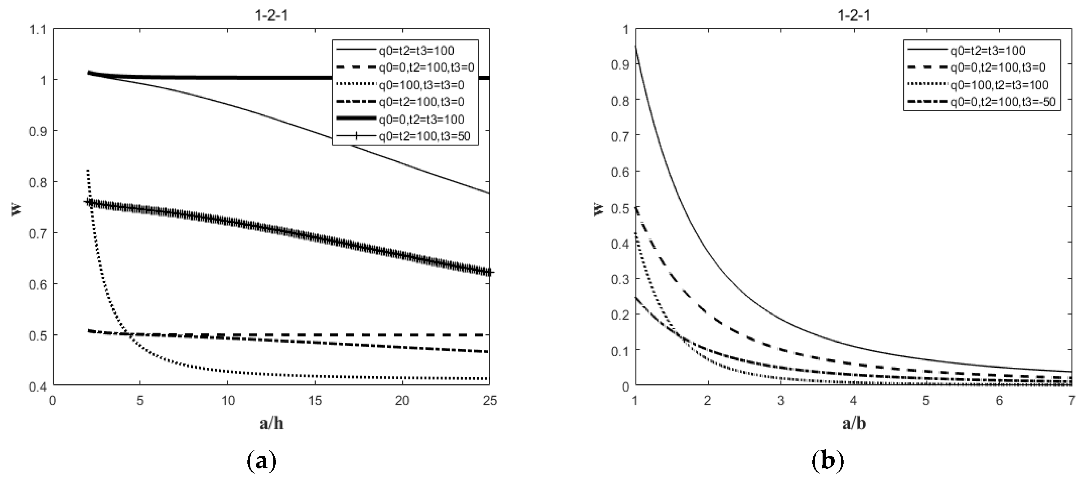
Figure 7.
(a) Effect of different edge thickness ratios on the dimensionless deflection of FMG sandwich panels under mechanical and thermal loading. (b) Effect of different lengths and widths on the dimensionless deflection of FMG sandwich panels under mechanical and thermal loads.
From Figure 2, it can be observed that (1) The dimensionless deflection is symmetrically distributed along both the x axis and the y axis. This symmetry reflects the uniform load-bearing characteristics of the sandwich plate under simply supported boundary conditions and also validates the consistency between the geometric symmetry of the model and the boundary conditions. (2) By combining Figure 2a,b, it is found that under simply supported conditions, the maximum deflection of the sandwich plate is located at (2/a, 2/b) of the plate. This result indicates that the sandwich plate experiences the highest bending stress in the central region, which aligns with the deflection distribution patterns in classical plate theory under simply supported boundary conditions. Furthermore, the location of the maximum deflection provides valuable insights for stress concentration analysis in critical areas of engineering design, such as optimizing the layout of support points in aerospace thermal protection systems.
From Figure 3, it can be observed that (1) When the porosity xi = 0.25, the dimensionless deflection w of the porous functionally graded sandwich plate under different volume fraction exponents s shows that, regardless of the layer thickness ratio structure, the deflection reaches its maximum value at s = 7. This phenomenon may be related to the reduced stiffness caused by intensified material gradient variations at high volume fraction exponents, indicating a significant decline in the bending performance of the sandwich plate under extreme gradient conditions. This finding provides important guidance for the selection of volume fraction exponents in engineering design. (2) When the porosity is constant, regardless of the specific value of the volume fraction exponent k, the dimensionless deflection w of the sandwich plate shows a decreasing trend with an increasing edge thickness ratio. This result suggests that increasing the edge thickness ratio can effectively enhance the overall stiffness of the sandwich plate, thereby reducing deflection. This law provides a theoretical basis for structural optimization in engineering practice.
As can be seen from Figure 4: (1) When the porosity xi = 0.2, the dimensionless deflection w of the porous functional gradient sandwich plate under the action of different volume fraction index s shows that, regardless of the aspect ratio structure, the deflection reaches the maximum value when the volume fraction index s = 7. This phenomenon may be related to the reduction in stiffness caused by the intensified material gradient change under a high-volume fraction index, indicating that the bending resistance of the sandwich plate is significantly reduced under extreme gradient conditions. (2) When the porosity is constant, regardless of the volume fraction index, the dimensionless deflection w of the sandwich plate shows a downward trend with the increase in the aspect ratio. This result shows that increasing the aspect ratio within a certain range can effectively improve the overall stiffness of the sandwich plate, thereby reducing the deflection.
It can be seen from Figure 5 that (1) The deflection is maximum when the porosity xi = 0, and the deflection is minimum when the porosity xi = 0.25. (2) It can be seen that when the porosity is between 0 and 0.25, the deflection of the functionally gradient sandwich plate decreases with the increase in the edge thickness ratio (a/h). This rule shows that increasing the edge thickness ratio can effectively improve the bending resistance of the sandwich panel and thus reduce the deflection.
Figure 6 shows that (1) It is found that the deflection is maximum when the porosity xi = 0, and minimum when the porosity xi = 0.25. This result further validates the significant impact of porosity on the stiffness of the sandwich plate, providing theoretical support for porosity optimization in material design. (2) It is also found that when the porosity is between 0 and 0.25, the deflection of the functionally gradient sandwich plate decreases with the increase in the aspect ratio (a/b), and the deflection values tend to be similar. This phenomenon shows that the increase in the aspect ratio within a certain range can significantly improve the overall stiffness of the sandwich panel and thus reduce the deflection.
It can be seen from Figure 7 that Figure 7a shows the effect of the edge thickness ratio (a/h) of the functionally gradient sandwich plate (s = 2, xi = 0.15) containing pores (1-2-1) on the dimensionless deflection. (1) The dimensionless deflection of the sandwich plate that only bears a thermal load is larger, and the dimensionless deflection of the sandwich plate that only bears a mechanical load is smaller. (2) When thermal–mechanical loads are included (q0 = t2 = t3 = 100 and q0 = t2 = 100, t3 = 50), the deflections are between those when only mechanical loads are considered and those when only thermal loads are considered. Moreover, the deflection of thermal–mechanical loads decreases with the increase in the edge thickness ratio (a/h). (3) For sandwich plates subjected only to mechanical loads, the deflection value does not change much when a/h ≥ 10. (4) By comparing (a) and (b), it is found that the aspect ratio (a/b) has a more significant effect on the dimensionless deflection of sandwich plates than the edge thickness ratio (a/h).
4. Conclusions
In this paper, a more accurate higher-order shear deformation theory incorporating porosity is applied to investigate the deflection of functionally graded sandwich plates under thermo-mechanical loading. The governing equations are derived based on the principle of minimum potential energy and solved using Navier’s method, yielding an analytical solution for simply supported functionally graded sandwich plates with porosity. In the numerical examples Section, the porous model is reduced to zero porosity and compared with results from the literature. Subsequently, a detailed investigation was conducted on the influence of layer thickness ratio, aspect ratio, edge thickness ratio, volume fraction index, and porosity on the deflection performance of functionally graded sandwich plates under thermo-mechanical loading. The proposed theory involves only four unknown variables, which significantly reduces the computational effort compared to other theories requiring five or six unknown variables, thereby substantially improving computational efficiency.
The main findings are as follows:
- Under a given layer thickness ratio, the dimensionless deflection of the functionally graded sandwich plate increases with the rise in the gradient index s.
- For a given volume fraction and identical layer thickness ratio, the deflection trends of different pore structures vary with increasing porosity. Specifically, the dimensionless deflection of Pore Type 1 decreases as porosity increases, whereas the dimensionless deflections of Pore Type 2 and Pore Type 3 exhibit an increasing trend with higher porosity.
- At a given porosity level, regardless of the specific value of the volume fraction index s, the dimensionless deflection w of the sandwich plate decreases with increasing edge thickness ratio or aspect ratio.
- For a fixed gradient index, irrespective of the porosity xi within the range [0, 0.3], the dimensionless deflection w of the sandwich plate decreases as the edge thickness ratio or aspect ratio increases.
- Compared to mechanical loading and thermal loading, the dimensionless deflection under thermal loading alone is greater than that under mechanical loading alone.
- Under thermo-mechanical loading, the deflection of the functionally graded sandwich plate is significantly more sensitive to changes in the aspect ratio than to variations in the edge thickness ratio.
- By adjusting the gradient index and porosity of the sandwich panel, the bending stiffness of the structure can be improved without significantly increasing the weight. For example, in aerospace applications, the optimized design of the gradient index can effectively alleviate thermal stress concentration while reducing the amount of material used; in new energy vehicle battery brackets, the gradient porosity design can balance structural strength and heat dissipation efficiency, thereby extending battery life.
Author Contributions
Z.H., Writing—Review and editing, Funding; Y.C., Writing—original draft, Visualization; X.W., Data curation, F.C., Validation. All authors have read and agreed to the published version of the manuscript.
Funding
This research was funded by the Natural Science Foundation of China (11862007, 52265020).
Data Availability Statement
Data are contained within the article.
Conflicts of Interest
The authors declare no conflicts of interest.
References
- Guo, H.; Yuan, H.; Zhang, J.; Ruan, D. Review of sandwich structures under impact loadings: Experimental, numerical and theoretical analysis. Thin Walled Struct. 2024, 196, 111541. [Google Scholar] [CrossRef]
- Alkunte, S.; Fidan, I.; Naikwadi, V.; Gudavasov, S.; Ali, M.A.; Mahmudov, M.; Hasanov, S.; Cheepu, M. Advancements and Challenges in Additively Manufactured Functionally Graded Materials: A Comprehensive Review. J. Manuf. Mater. Process. 2024, 8, 23. [Google Scholar] [CrossRef]
- Nguyen-Van, V.; Peng, C.; Liu, J.; Tran, P.; Nguyen-Xuan, H. Performance evaluations of functionally graded porous structures. In Machine Learning Aided Analysis Design and Additive Manufacturing of Functionally Graded Porous Composite Structures; Elsevier: Amsterdam, The Netherlands, 2024; pp. 315–346. [Google Scholar]
- Mechab, I.; Mechab, B.; Benaissa, S.; Serier, B.; Bouiadjra, B.B. Free vibration analysis of FGM nanoplate with porosities resting on Winkler Pasternak elastic foundations based on two-variable refined plate theories. J. Braz. Soc. Mech. Sci. Eng. 2016, 38, 2193–2211. [Google Scholar] [CrossRef]
- Zenkour, A.M. Hygrothermal effects on the bending of angle-ply composite plates using a sinusoidal theory. Compos. Struct. 2012, 94, 3685–3696. [Google Scholar] [CrossRef]
- Thai, H.T.; Vo, T.P. A new sinusoidal shear deformation theory for bending, buckling, and vibration of functionally graded plates. Appl. Math. Model. 2013, 37, 3269–3281. [Google Scholar] [CrossRef]
- Mahi, A.; Tounsi, A. A new hyperbolic shear deformation theory for bending and free vibration analysis of isotropic, functionally graded, sandwich and laminated composite plates. Appl. Math. Model. 2015, 39, 2489–2508. [Google Scholar] [CrossRef]
- Mantari, J.L.; Granados, E.V. A refined FSDT for the static analysis of functionally graded sandwich plates. Thin Walled Struct. 2015, 90, 150–158. [Google Scholar] [CrossRef]
- Thai, C.H.; Kulasegaram, S.; Tran, L.V.; Nguyen-Xuan, H. Generalized shear deformation theory for functionally graded isotropic and sandwich plates based on isogeometric approach. Comput. Struct. 2014, 141, 94–112. [Google Scholar] [CrossRef]
- Mantari, J.L.; Monge, J.C. Buckling, free vibration and bending analysis of functionally graded sandwich plates based on an optimized hyperbolic unified formulation. Int. J. Mech. Sci. 2016, 119, 170–186. [Google Scholar] [CrossRef]
- Nguyen, T.N.; Thai, C.H.; Nguyen-Xuan, H. A novel computational approach for functionally graded isotropic and sandwich plate structures based on a rotation-free meshfree method. Thin Walled Struct. 2016, 107, 473–488. [Google Scholar] [CrossRef]
- Swaminathan, K.; Hirannaiah, S.; Rajanna, T. Vibration and stability characteristics of functionally graded sandwich plates with/without porosity subjected to localized edge loadings. Mech. Based Des. Struct. Mach. 2023, 51, 6254–6292. [Google Scholar] [CrossRef]
- Ertenli, M.F.; Esen, İ. The effect of the various porous layers on thermomechanical buckling of FGM sandwich plates. Mech. Adv. Mater. Struct. 2024, 31, 10935–10961. [Google Scholar] [CrossRef]
- Nguyen, V.C.; Tran, H.Q.; Pham, V.V. Nonlinear static analysis of bi-directional functionally graded sandwich plates in thermal environments by a higher-order finite element model. Thin Walled Struct. 2023, 188, 110819. [Google Scholar] [CrossRef]
- Zenkour, A.M.; Alghamdi, N.A. Bending analysis of functionally graded sandwich plates under the effect of mechanical and thermal loads. Mech. Adv. Mater. Struct. 2010, 17, 419–432. [Google Scholar] [CrossRef]
- Mantari, J.L.; Granados, E.V. Thermoelastic behavior of advanced composite sandwich plates by using a new 6 unknown quasi-3D hybrid type HSDT. Compos. Struct. 2015, 126, 132–144. [Google Scholar] [CrossRef]
- Mantari, J.L.; Granados, E.V. Thermoelastic analysis of advanced sandwich plates based on a new quasi-3D hybrid type HSDT with 5 unknowns. Compos. Part B Eng. 2015, 69, 317–334. [Google Scholar] [CrossRef]
- Wang, Z.X.; Shen, H.S. Nonlinear analysis of sandwich plates with FGM face sheets resting on elastic foundations. Compos. Struct. 2011, 93, 2521–2532. [Google Scholar] [CrossRef]
- Yang, J.; Liew, K.M.; Kitipornchai, S. Dynamic stability of laminated FGM plates based on higher-order shear deformation theory. Comput. Mech. 2004, 33, 305–315. [Google Scholar] [CrossRef]
- Hadji, L.; Tounsi, A. Static deflections and stress distribution of functionally graded sandwich plates with porosity. Smart Struct. Syst. Int. J. 2021, 28, 343–354. [Google Scholar]
- Sah, S.K.; Ghosh, A. Effect of porosity on the thermal buckling analysis of power and sigmoid law functionally graded material sandwich plates based on sinusoidal shear deformation theory. Int. J. Struct. Stab. Dyn. 2022, 22, 2250063. [Google Scholar] [CrossRef]
- Gupta, A.; Talha, M. Influence of porosity on the flexural and free vibration responses of functionally graded plates in thermal environment. Int. J. Struct. Stab. Dyn. 2018, 18, 1850013. [Google Scholar] [CrossRef]
- Shahsavari, D.; Shahsavari, M.; Li, L.; Karami, B. A novel quasi-3D hyperbolic theory for free vibration of FG plates with porosities resting on Winkler/Pasternak/Kerr foundation. Aerosp. Sci. Technol. 2018, 72, 134–149. [Google Scholar] [CrossRef]
- Wattanasakulpong, N.; Ungbhakorn, V. Linear and nonlinear vibration analysis of elastically restrained ends FGM beams with porosities. Aerosp. Sci. Technol. 2014, 32, 111–120. [Google Scholar] [CrossRef]
- Reddy, J.N. A simple higher-order theory for laminated composite plates. J. Appl. Mech. 1984, 51, 745–752. [Google Scholar] [CrossRef]
- Reissner, E. On tranverse bending of plates, including the effect of transverse shear deformation. Int. J. Solids Struct. 1975, 11, 569–573. [Google Scholar] [CrossRef]
- Touratier, M. An efficient standard plate theory. Int. J. Eng. Sci. 1991, 29, 901–916. [Google Scholar] [CrossRef]
- Tounsi, A.; Houari MS, A.; Benyoucef, S. A refined trigonometric shear deformation theory for thermoelastic bending of functionally graded sandwich plates. Aerosp. Sci. Technol. 2013, 24, 209–220. [Google Scholar] [CrossRef]
- Houari MS, A.; Tounsi, A.; Bég, O.A. Thermoelastic bending analysis of functionally graded sandwich plates using a new higher order shear and normal deformation theory. Int. J. Mech. Sci. 2013, 76, 102–111. [Google Scholar] [CrossRef]
Disclaimer/Publisher’s Note: The statements, opinions and data contained in all publications are solely those of the individual author(s) and contributor(s) and not of MDPI and/or the editor(s). MDPI and/or the editor(s) disclaim responsibility for any injury to people or property resulting from any ideas, methods, instructions or products referred to in the content. |
© 2025 by the authors. Licensee MDPI, Basel, Switzerland. This article is an open access article distributed under the terms and conditions of the Creative Commons Attribution (CC BY) license (https://creativecommons.org/licenses/by/4.0/).








