Abstract
One of the significant challenges during wellbore drilling is accurately predicting frictional pressure losses in symmetrical drill pipes. In this work, a Bayesian regularized neural network (BRANN) and multivariate adaptive regression splines (MARS) are employed to develop accurate and interpretable models for predicting frictional pressure losses during drilling. Utilizing data of frictional pressure loss collected through experimentation, the models are created. The model inputs include mud flow rate, mud density, pipe diameter (inside and outside diameters), and viscometer dial readings, while pressure loss is the output. Statistical comparisons between the model predictions and the actual values demonstrate the models’ ability to reasonably forecast frictional pressure losses in wells. The performance of the models, as measured by error metrics, is as follows: BRANN (0.999, 0.076, 16.76, and 11.67) and MARS (0.998, 0.0989, 21.32, and 16.499) with respect to the coefficient of determination, average absolute percentage error, root mean square error, and mean absolute error, respectively. Additionally, a parametric importance study reveals that, among the input variables, internal and external pipe diameters are the top predictors, with a relevancy factor of −0.784 for each, followed by the mud flow rate, with a relevancy factor of 0.553. The trend analysis further confirms the physical validity of the proposed models. The explicit nature of the models, together with their physical validation through trend analysis and interpretability via a sensitivity analysis, adds to the novelty of this study. The precise and robust estimations provided by the models make them valuable virtual tools for the development of drilling hydraulics simulators for frictional pressure loss estimations in the field.
1. Introduction
The drilling process can be likened to a delicate surgical procedure in a hospital. Instead of medical professionals, there are drillers, mud engineers, roughnecks, and other crew members who all share a common objective: to ensure that a useable hole is drilled with little or no incidents. Just as vital signs such as the heart rate and blood pressure are closely observed during a surgical procedure, the wellbore drilling process also requires the monitoring of crucial indicators such as downhole pressure loss arising from mud circulation through the surface equipment, drill string, annular space, and drill bit, rate of penetration, torque, etc. [1]. Of concern to this study is the downhole pressure loss. A schematic illustrating the areas where pressure losses are encountered during drilling is depicted in Figure 1. The sum total of these pressure losses is termed standpipe pressure [2]. Monitoring this pressure drop becomes more crucial as the trend toward longer and complex wellbores become the norm. Furthermore, in order to choose the right mud pump systems and pump rates for effective drilling operations and calculate the hydraulic horsepower needs, precise predictions of the pressure losses for non-Newtonian drilling fluids inside an annulus is crucial [3]. According to Gul et al. [4], in long reach and slim-hole wells, annular frictional pressure losses cause large equivalent circulating densities. When undertaking drilling operations, an inaccurate assessment of the pressure losses can lead to serious issues such as pipe sticking, twist offs, loss of overbalance leading to kicks, mud loss to thief zones, and improper rig power selection [3,5,6].
Figure 1.
Pressure loss across different drill string sections during mud circulation.
To illustrate the relevance of hydraulic pressure prediction during drilling, assume that, during the drilling of a hole section, it is observed that there is a drop in the standpipe pressure (e.g., 50 psi out of 3000 psi), the consequence of which would be a twist off and failure of the drill pipe which would lead to the incurrence of fishing operations that are costly and time consuming. Hence, it would be more beneficial if there existed an automated tool that monitors the variation in the expected total pressure loss and compares it with the actual standpipe pressure.
During drilling, a variety of elements interact to influence pressure losses. Some of these factors include mud rheological properties, flow rate, mud density, mud flow regime, pipe eccentricity, hole configuration, drill pipe rotation rate, etc. [7,8,9]. However, Ozbayoglu and Sorgun [10] and Kumar et al. [11] assert that the mud pressure loss is largely influenced by mud rheology and the geometry of the mud flow path.
Given the importance of the knowledge of annular pressure loss and the impact it has on the drilling process, it is vital to measure or estimate it. However, for decades now, this endeavor has turned out to be a herculean task [4].
In drilling operations, pipes and annuli typically exhibit a circular cross-section, which facilitates symmetry and, in turn, simplifies the modelling of fluid dynamics. This inherent symmetry enables consistent predictions of frictional pressure loss throughout the length of the pipe or annulus. However, the presence of asymmetry, such as that resulting from eccentricity within the annulus, necessitates the consideration of additional factors.
Early in the 20th century, methods for calculating frictional pressure losses in a turbulent flow of Newtonian fluids through pipes were initially put forward. The intrinsically random nature of turbulence makes mathematical modelling of fluids in a turbulent flow extremely difficult. The majority of strategies for overcoming this obstacle entail adding an empirical friction factor component that is based on experimental data. While this approach has proven to be dependable when used on Newtonian fluids, there are further challenges due to the rheological complexity of non-Newtonian fluids in turbulent and transitional flow. A comprehensive method for calculating frictional pressure loss is pursued through the development of mechanistic and empirical correlations that extend traditional pipe flow correlations to include non-Newtonian fluids. However, these correlations are limited by the several assumptions and simplifications made during their development stage [12].
The primary goal of this research is to build accurate, explicit, and explainable models to forecast frictional pressure loss for drilling mud flow in vertical drill pipe sections using two soft computing algorithms. These soft computing algorithms are the Bayesian regularized artificial neural network (BRANN) technique and multivariate adaptive regression splines (MARS) algorithms. The term soft computing essentially refers to computational methods that are flexible, approximate, and tolerant of uncertainty such as neural networks, fuzzy logic, genetic algorithms, etc., as opposed to hard computing methods that are analytical in nature.
Novelty Statement and Key Contributions of This Article
The novelty of this study lies in its utilization of the multivariate adaptive regression splines algorithm, which, to the best of the authors’ knowledge, is being applied for the first time to model frictional pressure loss during drilling. Furthermore, unlike existing models that rely on neural networks to estimate pressure drops during drilling, this research is arguably the first to explicitly express the mathematical correlation obtained from the neural network for frictional pressure loss estimation. This article makes several significant contributions, namely (i) a thorough and unbiased critical analysis of the several machine-learning-based models currently existing in the literature for calculating the frictional pressure loss in drill pipes during drilling, (ii) the development of two explicit, accurate, and understandable mathematical correlations for predicting the loss of frictional pressure in drill pipes during drilling, (iii) an illustration of the input variables’ relative relevance, and (iv) a physical validation of the models via a trend analysis.
2. Insights from Previous Studies and Critical Review of the Literature on ML Models for Pressure Loss Prediction
This section provides a comprehensive and critical analysis of the existing models for predicting frictional pressure loss during drilling which have been developed using machine learning algorithms. The purpose of this critique is to offer an unbiased discussion and evaluation of the models, highlighting their strengths, weaknesses, and notable features across five key areas. In this study, 20 papers that specifically address the modelling of frictional pressure loss during drilling using machine learning (ML) algorithms are identified and their essential details isolated. These summarized works are presented in Table 1 and the contents of the table are organized chronologically from the earliest publication to the most recent. From the summary, several key observations can be made:
- (i)
- Modelling algorithms: there is a wide range of machine learning algorithms available to estimate pressure loss. Researchers have made efforts to deploy many of these algorithms, including artificial neural networks and their hybrids, support vector machines and their variants, tree-based algorithms such as extreme gradient boosting, random forest, CatBoost, and others like the group method of data handling. From Table 1, it is evident that approximately 58% of the models have been developed using neural networks and their variants and hybrids. Some models have been designed with simple architectures, such as Sorgun and Ulker [13] who developed a model with an architecture of 3-8-1, while Rooki [5] created a model with an architecture of 6-260-1. Additionally, Ozbayoglu et al. [9] developed a model with a more complex architecture of 18-30-30-30-1. It should be noted that complex models tend to be associated with higher computational costs.
- (ii)
- Dataset size: the success or failure of a machine learning model is partly connected to the amount of data deployed for training the model. The findings presented in Table 1 reveal that researchers have employed different dataset sizes. While some researchers have not disclosed the specific dataset size utilized, others have reported the use of small datasets, such as Razi et al. [8] with 108 data points. In contrast, researchers like Youcefi et al. [2] utilized a relatively large dataset of 3351 data points. However, the question that remains is: how do we define small or large dataset sizes? Although there are no hard and fast rules, a commonly used principle suggests that the size of the training dataset should be at least 10 times the number of free parameters or weights of the network [14]. An often reported advantage of using large datasets is that they tend to improve model generalization. Nevertheless, it is crucial to emphasize that, while having a large volume of data is beneficial, the quality of the data is of the utmost importance. Clean, diverse, and representative data are essential to effectively train models.
- (iii)
- Data splitting: one of the most important steps in machine learning to reduce the chance of overfitting is data splitting. Several methods are available for data splitting, including the k-fold cross validation, train–test splitting, stratified splitting, and time series splitting. As evidenced in Table 1, the train–test splitting method is the most commonly used among researchers. Moreover, within the train–test method, researchers employ various data splitting ratios, such as 66:34, 70:30, 80:20, and 85:15. The wide range of ratios utilized by different researchers highlights the lack of consensus regarding the optimal splitting ratio. Nevertheless, the most frequently utilized ratio is 80% for the training data and 20% for the testing data. It is worth noting that some researchers do not disclose the specific data splitting ratio used in their study. However, it is imperative for researchers to specify the ratio used to ensure reproducibility of the model results.
- (iv)
- Input variable selection: the foundation of any predictive model is contingent upon the selection of input variables that impact the output variable. As showcased in Table 1, researchers have employed a diverse range of input variables. This variance can be attributed to the multitude of parameters that exert influence on the phenomenon of pressure loss during drilling. However, for the developed models to efficaciously determine the real-time pressure loss, it is imperative to opt for input variables that are readily obtainable, rather than those that necessitate estimation via additional models.
- (v)
- Explainability of the developed models: the explainability of machine learning models can be achieved by establishing the following from the model: (a) explicit presentation, (b) sensitivity analysis, and (c) trend analysis. The explicit representation of a model involves mathematically presenting the equation that connects the input variables and the output. The trend analysis assists in demonstrating how well the model aligns with the physical laws governing the phenomenon being modelled. The sensitivity analysis reveals the influence of each input variable on and their contributions to the output prediction. Based on the summary in Table 1, it is evident that 95% of the models have not been explicitly presented, limiting their practical implementation, particularly in software applications. This also limits the comparison of the performance of these models with other models. The only algorithm yielding an explicit model is the GMDH model developed by Youcefi et al. [2]. It is important to note that, apart from GMDH, other artificial intelligence algorithms such as gene expression programming (GEP) and multigene genetic programming (MGGP) are capable of evolving explicit mathematical correlations for prediction purposes. However, these algorithms have not been utilized. Only about 25% of the models have had their physical validity established through a trend analysis, and 30% have had the relative importance of the input variables determined. The absence of these analyses in most existing models reduces their reliability for practical use.
Table 1.
Previous studies on the modelling of pressure loss during drilling using ML algorithms.
Table 1.
Previous studies on the modelling of pressure loss during drilling using ML algorithms.
| Ref. | Method | Dataset Size | Inputs | Strengths and Weaknesses |
|---|---|---|---|---|
| [15] | ANN [13-12-1] | 450 Training (50%), Testing (25%) Validation (25%) | Ambient temperature, API oil gravity, bubble point pressure, elevation difference between pipe ends, gas specific gravity, GOR, oil production rate, pipe inlet pressure, pipe inlet temperature, pipe length and diameter, water cut, water gravity | Strength: useful for forecasting the pressure loss in horizontal and near horizontal pipes. A trend analysis is performed. Weakness: no explicit model, no sensitivity analysis. |
| [16] | BPNN [2-20-15-1] Jordan/Elman [2-10-10-1] | Not stated | Gas and liquid superficial velocity | Strength: useful for estimating the pressure loss of an aerated fluid flow via horizontal annuli. Weakness: absence of an explicit model, no trend nor sensitivity analyses conducted. |
| [17] | ANN | Elbow data: 111, Orifice: 62 Gate and globe valve: 307, 330. Training (60%) Validation (20%) Testing (10%) Prediction (10%) | Elbow angle, flow behaviour index, density, orifice diameter, ratio of valve opening to full valve opening, liquid flow rate, elbow curvature radius | Strength: useful for estimating the pressure loss in elbows, orifices, gate valves, and globe valves. Weakness: absence of an explicit model, no trend analysis, no sensitivity analysis. |
| [8] | ANN [8-4-1] | 108 Training (70%) Testing (30%) | Mud flow rate, mud density pipe ID, pipe OD, viscometer dial reading at speeds of 600, 300, 200, and 100 rpm | Strength: useful for predicting the pressure loss in single-phase flow for non-Newtonian muds. Weakness: absence of an explicit model, no trend nor sensitivity analyses were performed. |
| [18] | LSSVM | 216 | ROP, rotation speed of pipe, well inclination, gas and liquid superficial velocity | Strength: useful for forecasting the friction loss in the three-phase flow of gas-based muds in deviated well sections. A trend analysis is conducted. Weakness: absence of an explicit model, sensitivity analysis not performed. |
| [19] | SVR | Data size not stated Training (67%) Testing (33%) | Reynolds and Taylor numbers | Strength: useful for pressure loss computation for Newtonian and non-Newtonian fluids. Weakness: absence of an explicit model, trend and sensitivity analyses not performed. |
| [3] | ANN [6-10-1] | 375 Training (70%) Testing (30%) | Consistency index, eccentricity of annulus, flow behaviour index, mud flow rate, pipe:casing diameter, yield stress | Strength: useful for pressure loss calculation in Herschel—Bulkley muds in horizontal concentric and eccentric annuli. Weakness: absence of an explicit model, trend and sensitivity analyses not performed. |
| [13] | ANN [3-8-1] | Training (66%) Testing (34%) | Velocity, pipe rotation, ROP | Strength: useful for predicting a solid–liquid two-phase pressure drop in horizontal wellbores with pipe rotation. Weakness: absence of an explicit model, trend and sensitivity analyses not performed. |
| [5] | GRNN [6-260-1] | 375 Training (70%) Testing (30%) | Consistency index, eccentricity of annulus, flow behaviour index, mud flow rate, pipe:casing diameter, yield stress | Strength: useful for pressure loss estimation in Herschel–Bulkley muds in concentric and eccentric annuli. Weakness: absence of an explicit model, trend and sensitivity analyses not performed. |
| [20] | GA-RBF | 216 Training (80%) Testing (20%) | ROP, rotation speed of pipe, well inclination, gas and liquid superficial velocity | Strength: useful for forecasting friction loss in a three-phase flow of gas-based muds in deviated well sections. A sensitivity analysis is conducted. Weakness: absence of an explicit model. |
| [9] | ANN [9-20-1] [7-20-1] | 1286 Training (60%) Testing (20%) Validation (20%) | Inputs for ANN model 1 Drill string configuration, velocity, mud density, flow behaviour index, yield stress, rotation rate, consistency index, top and bottom load Inputs for ANN model 2 Apparent viscosity, dimensionless eccentricity, Reynolds and Taylor number, flow behaviour index, dimensionless force, diameter ratio | Strength: accounts for pipe rotation and varying pipe configurations in the models. Weakness: absence of an explicit model, trend and sensitivity analyses not performed. |
| [4] | XGB RF | 578 Training (80%) Testing (20%) | Fluid behaviour index (m), temperature, consistency index (k), generalized flow behaviour index, measured friction factor, Reynolds number, yield stress | Strength: a sensitivity analysis is performed. Weakness: absence of an explicit model. |
| [21] | ANN [6-10-1] | 511 Training (85%) Testing (15%) | Flow behaviour index, liquid density, pipe diameter, consistency coefficient, gas and liquid velocity | Strength: advantageous for estimating the pressure drop in two-phase gas/non-Newtonian fluids. Weakness: absence of an explicit model. |
| [11] | BNN RF SVM ANN | 903 Training (70%) Testing (30%) | Annulus eccentricity, consistency index, flow behaviour index, mud flow rate, ratio of pipe to casing diameter, yield stress | Strength: both sensitivity and trend analyses are performed. Weakness: absence of an explicit model. |
| [12] | ANN [18-30-30-30-1] RF AdaBoost | 360 Training (80%) Testing (20%) | Cuttings size and density, dial readings at 300 and 600 rpm, mud density, well diameter, outer diameter of pipe, eccentricity, ROP, flow rate, pipe rotation speed, well inclination, PV, YP, power law and consistency index, mean mud velocity | Strength: useful for gas-based mud pressure loss estimation in inclined wellbores. A sensitivity analysis is performed. Weakness: absence of an explicit model. |
| [22] | GTB ANFIS ELM | 216 Training (80%) Testing (20%) | Pipe rotation, hole inclination, ROP, liquid flow rate, gas flow rate | Strength: useful for gas-based mud pressure loss estimation in inclined wellbores. A sensitivity analysis is performed. Weakness: absence of an explicit model. |
| [23] | Physics-informed machine learning | Training (80%), testing (20%) | Flow rate, bit and hole depth, rotation rate, SPP | Strength: useful for predicting standpipe pressure for steady-state and transient conditions. Weakness: no explicit model. |
| [24] | ANN CatBoost | 517 | Flow rate, mud density, rotational speed, WOB | Strength: wholistic steps for APL determination are provided. Weakness: absence of an explicit model. |
| [2] | GMDH [4-3-2-1] | 3351 Training (70%) Testing (30%) | Dial reading at 300 rpm and 600 rpm, mud flow rate, rpm, well depth | Strength: the model is tested with an independent dataset for generalizability. The model is explicitly presented. Trend and sensitivity analyses are conducted. |
| [25] | MLP RBF CMIS [8-10-6-1] | 882 Training (80%) Testing (20%) | Mud flow rate, pipe ID and OD, mud velocity, mud PV, YP, AV, mud density | Strength: a trend analysis is performed and an explicit model is presented. Weakness: absence of sensitivity analysis. |
3. Materials and Methods
This section is designed to showcase the dataset used in this study, its characteristics, as well as the details of the machine learning algorithms used for developing the models. The four stages comprised in this section are depicted in Figure 2.
Figure 2.
Methodical steps adopted in the study.
3.1. Data Source and Statistical Description
Data for this study were obtained from the work by Razi et al. [8]. The dataset comprise 108 data points and is composed of eight input variables: viscometer dial readings at 600, 300, 200, and 100 rpm, pipe diameter (inside and outside diameters), mud flow rate, and frictional pressure loss. From the dataset, it is observed that the density data exhibit perfect symmetry, as the mean, median, and mode are all equal and situated at the center of the distribution. In contrast, flow rate, pipe ID, and pipe OD demonstrate an approximate symmetry, as the means of their values are comparable to their medians, as illustrated in Table 2.
Table 2.
Statistical description of the dataset used in this study.
3.2. Data Exploration
The first stage of data analysis is called data exploration, during which time data analysts describe datasets according to their size, quantity, and accuracy using statistical methods and data visualization techniques, thereby enhancing their understanding of the data’s nature. In this study, a heat map was employed for data exploration. A heat map is defined as a 2D representation of the data in which different data values are depicted through colors to illustrate different values and convey the relationship that may exist between the variables plotted along the x-axis and y-axis. With its instantaneous visual overview of the data on the two axes, it helps users rapidly pinpoint the most significant or pertinent data elements. Typically, a darker color or shade indicates a higher quantity of the value represented in the heat map. For this analysis, a triangular heat map, as illustrated in Figure 3, was utilized instead of the conventional rectangular heat map. The rationale for selecting the triangular heat map over the rectangular variant is that the rectangular heat map duplicates the same data representation due to the repetition of categories on both axes for computational analysis purposes. In contrast, the triangular correlation heat map presents data once without repetition, thereby enhancing the clarity and interpretability of the visualizations. As shown in Figure 3, a moderate positive correlation was observed between the mud flow rate (Q) and pressure loss, indicated by an r value of 0.55. Conversely, a strong negative correlation was found between pressure loss and both the inside and outside diameters of the pipe, as indicated by an r value of −0.87 each. This suggests that the pipe diameters have an inversely proportional relationship with pressure loss.
Figure 3.
Heatmap showing the correlation between input and output parameters.
Furthermore, a high positive correlation was observed between the dial readings at 100 rpm and 200 rpm with the dial reading at 300 rpm. This high correlation (r = 1) indicates multicollinearity. This means that the dial readings at 100 rpm and 200 rpm might be capturing the same or similar underlying information about the pressure loss as does the 300 rpm dial reading.
3.3. Rescaling of the Dataset Used for the Study
The process of converting the dataset’s value range to a certain scale is known as rescaling or normalizing. The min–max normalization method, which scales the data between −1 and 1, is applied here. This approach ensures that data with large magnitudes do not overshadow the calculation, allowing smaller-magnitude data to be considered as well. The min–max normalization technique is mathematically represented in Equation (1).
In order to get the actual data used after the normalization, a denormalization procedure is initiated. This is shown in Equation (2).
where = normalized value of the data, = data point, = minimum value of the data, and = maximum value of the data.
For each of the inputs and output, Equations (3)–(11) were the normalization formulas deployed.
3.4. Basic Foundations of the Bayesian Regularized Neural Network (BRANN)
An algorithm that mimics the neural networks seen in the human brain is called an artificial neural network (ANN). Artificial neurons, also called nodes, are linked together in an ANN. Through data training and testing procedures, each neuron in the network has a unique weight that affects the outcome of the final prediction. An input layer, hidden layers, and an output layer make up an ANN. The user should choose the heuristic parameters, such as the number of layers and nodes inside each layer. A node receives data when these are input, and the weight connected to that node is then multiplied by the input and sent to the node. The weighted sum of the input data is transformed into output data via the activation function, which transfers the node’s output to the subsequent node and adds non-linearity to the ANN model. ANNs use the given data to estimate a model’s parameters or unknown constants. The connection weights between the nodes in each layer are computed during the training phase. On the basis of these link weights, classification and prediction are then applied to fresh data. ANNs may be used for a number of tasks, such as non-linear regression, image classification, timeseries analysis, and natural language processing, because of their ability to discover intricate relationships within the data on their own. Regularization is a useful strategy for preventing model overfitting in artificial neural networks (ANNs). By using a regularization term in the loss function of the model, the parameters are constrained [26]. Ridge regression is a mathematical method used in Bayesian regularization to convert a non-linear issue into a statistical framework [27]. The regularization term optimizes the model’s weight parameters by applying the Bayes’ theorem. BRANNs, or Bayesian regularized artificial neural networks, are more resilient than traditional backpropagation networks and can reduce or even completely do away with the need for a great deal of cross-validation [28]. The settings of the hyperparameters for the BRANN model were as follows. The number of neurons in the hidden layer was set within the range of 1 to 20, with each configuration being simulated thirty times. The learning rate was set to 0.001, and the number of epochs was set to 1000. The activation function employed for the hidden layer was the hyperbolic tangent function, whereas the output layer utilized the purelin function. The target goal for the mean square error and the minimum performance gradient was set to 10−5. Additionally, the dataset was divided into training and testing sets in an 80:20 ratio, respectively.
3.5. Fundamental Principles of the Multivariate Adaptive Regression Splines Algorithm
Multivariate adaptive regression splines (MARS) is a robust non-parametric modelling technique suitable for model development and parameter reduction. This technique has the capacity to forecast complex non-linear relationships by applying a series of spline functions to the input parameters [29]. Regression splines are a sophisticated statistical technique that endeavors to identify thresholds and breakpoints in the relationships between variables [30]. The splines are represented by basis functions (BF), which are essentially an amalgam of input variables. To evolve a model, the MARS algorithm follows a two-stage process. First, it contrives an excessively large model by incorporating basis functions that are composed of single input variables or multiple variables. Secondly, MARS eliminates the BFs that have the least impact on the model until an optimal model is achieved. MARS offers several advantages in terms of its ability to effectively model input variables of various types, be they continuous or categorical variables [31]. Additionally, MARS is capable of accommodating a substantial amount of input variables. MARS, as a non-parametric methodology, refrains from making any fundamental assumptions regarding the distribution of the input variables under investigation. The mathematical correlation of the model generated by the MARS algorithm is shown in Equation (12).
where X is a vector comprising the input parameters (, is a constant or the intercept, is the coefficient of the mth term, is the mth basis function, M is the number of basis functions, and f(x) is the output parameter. It must be noted that basis functions (BF) are typically preceded by the word “max”. For example, BFs can be represented as or . In this representation, is an input variable and K represents the knot, which is the terminal point of a spline. A knot always indicates the end of one dataset and the beginning of another. The basis function means that the value is 0 if , otherwise the value is .
The MARS algorithm was implemented utilizing the MARSplines tool within the STATISTICA software (version 10). The parameter settings employed for model development included a specification of 10 basis functions. The order of interactions was set to 2, with the penalty parameter also set to 2, and the threshold was maintained at 0.0005. An interaction order of 1 accounts for the main effects among the variables, whereas an interaction order of 2 considers all interactions among pairs of variables. The designated penalty is applied each time an additional basis function is incorporated into the algorithm. The threshold is implemented to mitigate overfitting and excessive adaptation of the model results to the actual data.
3.6. Model Evaluation Indices
To evaluate the effectiveness of the models constructed in this study, four error measures were used. The coefficient of determination, sometimes known as the R-squared (R2) value, was the first measure. This metric has values ranging between 0 and 1. The criterion for assessment is as follows: if R2 falls between 0.7 and 1.0, then the model has a high correlation; however, if it falls below 0.5, it signifies a weak correlation. The mathematical representation of this metric is shown in Equation (13).
The second metric was the average absolute percentage error, abbreviated as AAPE. This metric was chosen because it is scale-independent, implying that it is useful for data whose scales are different such as the data used in this study. For an ideally performing model, an AAPE near zero percent indicates a perfect performance. Hence, the lower the AAPE, the better the model’s performance. AAPE is mathematically expressed as shown in Equation (14):
The third metric was the root mean square error (RMSE). Simply put, this metric is the square root of the MSE. Its values share the same units as the output variable and range from 0 to positive infinity. A value of 0 indicates a perfect match between the model predictions and the actual values. Lower RMSE values indicate more accurate predictions and a better fit to the data. Conversely, higher values suggest more substantial errors and less accurate forecasts. RMSE is mathematically expressed as shown in Equation (15):
The fourth metric was the mean absolute error. Abbreviated as MAE, this loss metric essentially assesses the absolute difference between the predictions of a model and the actual values. It is calculated by computing the mean of this difference across the whole dataset. MAE is mathematically represented as shown in Equation (19):
The description of the terms used in Equations (13)–(16) are as follows: N implies the number of data points, = the experimental or actual values, = the developed model predictions, and = average of the experimental/actual values.
4. Results and Discussions
4.1. Optimum Architecture Determination
A neural network’s success depends on selecting an appropriate network design/architecture, a process which is, usually, not automated [32]. The network’s design for this investigation was developed through a process of trial and error. Using this strategy, the hidden layer’s neuron count was adjusted from 1 to 20. Thirty simulations of each neuron number were conducted to ensure that the trial with the greatest performance was captured. Repeated retraining was conducted because a random initial weight and bias values lead a neural network to provide different outcomes each time it is trained, thus giving a guarantee that a neural network of excellent accuracy had been achieved. In this case, the R-squared and MSE obtained were 0.99 and 281 respectively. Thus, the optimum BRANN architecture was 8-2-1. This architecture is depicted in Figure 4. Moreover, activation functions are an essential part of neural network construction. They regulate a neural network’s output, its accuracy, and computational efficiency. Activation or transfer functions are what imparts non-linearity to the neural network. Since the model is non-linear, it can easily adapt to diverse types of data, generalize, and distinguish between outputs. In this study, a smooth activation function—the hyperbolic tangent (tanh)—was used in the hidden layer. This activation function outputs values between −1 and 1, thus making it zero-centered which can help with the convergence of the optimization algorithms (like a gradient descent). Neural networks tend to train faster when their activations are centered around zero. For the output layer, a linear activation function—purelin—was used. Overall, the hyperbolic tangent function is a popular choice owing to its non-linearity, zero-centered output, favorable gradient characteristics, and historical effectiveness in training machine learning models.
Figure 4.
Optimum network topology for the pressure loss model.
4.2. Explicit Expression for the Pressure Loss Based on the BRANN Algorithm
Table 3 contains the weights and biases obtained for the BRANN algorithm for the pressure loss modelling. In this table, the input—hidden layer weights are contained in columns one to eight, while the hidden—output layer weights are contained in column ten. The biases for the input—hidden layer and hidden—output layer are contained in column nine and column eleven, respectively. It is based on these weights that the explicit model for pressure loss estimation was derived.
Table 3.
Weights and biases of the BRANN model for pressure loss estimation.
Equation (17) provides the generic neural network formula from which the explicit model was built, based on the weights and biases listed in Table 3.
where denotes the input variables, IW denotes the input—hidden layer weights, b1 indicates the input—hidden layer biases, b2 indicates the hidden—output layer bias, tansig is the hyperbolic tangent (tanh), i.e., the activation function at the hidden layer, and purelin is the linear activation function at the output layer or LW.
Equations (18) and (19) are the equations from each hidden layer, while Equation (20) is the normalized value for the pressure loss prediction.
The denormalized value of the pressure loss is given in Equation (21):
where = flow rate (gal/min), = normalized value of flow rate, = mud density (lb/gal), = normalized value of mud density, = dial reading at 600 rpm, = normalized value of dial reading at 600 rpm, = dial reading at 300 rpm, = normalized value of dial reading at 300 rpm, = dial reading at 200 rpm, = normalized value of dial reading at 200 rpm, = dial reading at 100 rpm, = normalized value of dial reading at 100 rpm, = inside diameter of the pipe (inches), = normalized value of the inside diameter of the pipe, = outside diameter of the pipe (inches), = normalized value of the outside diameter of the pipe, = pressure loss (psi), and = normalized value of the pressure loss.
4.3. Performance Analysis of the Proposed Model
The data splitting ratio and the derived model’s performance against four statistical error metrics are displayed in Table 4. Fifteen percent (15%) of the data were utilized for testing and 85% of the data were used for training in the splitting ratio. When it comes to performance, both the training and the testing datasets’ R-squared values were close to 1, which means that the model explained nearly all the variation. The AAPE values of 7.6% and 6.5% for the testing and training datasets, respectively, show that the model performed reasonably well with respect to capturing the non-linear interactions between the inputs and the output variable. However, the RMSE was found to be large due to the scale of the output values. Specifically, since the target values were in thousands, an RMSE of 23.9 was considered to be not very significant. The mean absolute error was found to be 14.28 and 11.6 for the training and testing datasets, respectively. These values, as explained earlier, were high due to the range of the output data which was in thousands. Therefore, having errors in tens is acceptable.
Table 4.
Performance assessment of the BRANN model for pressure loss estimation.
An additional method to verify network performance is by means of the cross-correlation plot. These plots were made to show how well the predictions by the BRANN-based model matched the experimental data. Figure 5 and Figure 6 are the cross plots for the training and testing datasets, respectively. From these figures, it can be seen that the predictions of the developed model matched, to a reasonable extent, the experimental data, given the fact that a greater number of the data points lied closely and fitted to the 45 degrees line.
Figure 5.
Cross plot of actual pressure loss against BRANN predictions for the training dataset.
Figure 6.
Cross plot of actual pressure loss against BRANN predictions for the testing dataset.
Furthermore, to allow for a visual comparison of how well the model predicts outcomes compared to the actual data, plots of the BRANN predictions and the experimental data against the data index were generated. The term data index refers to row or record numbers that help locate input/output data entries. These plots are depicted in Figure 7 and Figure 8 for the training and testing datasets, respectively. These figures aid in the detection of deviations as well as in the enhancement of the interpretability of the data relationship while also highlighting potential areas for model improvement. From these plots, it is observed that a good match between the model predictions and the experimental data exists. However, a few points of deviation are obvious from the plots. For instance, in Figure 7, the data point 31 shows a remarkable deviation between the predicted and actual value. Also, in Figure 8, there are deviations between the predicted and the actual data points 7, 8, and 13. It must be noted that, since the developed model is not perfect, these deviations were expected. However, given that the number of points where these deviations occurred was low and the points were far apart and the margin of the deviations were small, this gives credence to the high predictive capacity of the developed model.
Figure 7.
Experimental and BRANN prediction plot against the data index for the training dataset.
Figure 8.
Experimental and BRANN prediction plot against the data index for the testing dataset.
4.4. Parametric Relevance of Predictor Variables to the BRANN-Based Model
The parametric relevance of predictor variables pertains to the significance and contribution of each input variable to the model’s output. Comprehending the relevance of these variables facilitates model interpretation, enhances performance, and helps the identification of key factors influencing predictions. To determine the parametric relevance of the inputs, this study adopted the relevancy factor (r) method. The directionality-based r values were selected to promote a more lucid and intuitive comprehension of the total effects. These r values were computed using Equation (22):
where = th value of the th input variable, = mean value of the th input variable, k = mud flow rate, mud density, pipe diameter (inside and outside diameters), and viscometer dial readings at 600, 300, 200, and 100 rpm, = th predicted pressure loss, and = mean estimated pressure loss.
Figure 9 displays the parametric importance derived from the relevance factor. It can be seen from the illustration that the pipe diameters (inside and outside diameters) influenced pressure loss the most, with an r value of −0.784. The negative sign implies the direction of its effect. In this case, the negative sign indicates that increasing the pipe diameters reduces the pressure loss, while reducing the pipe diameters increases pressure loss because of the fact that the contact area of the pipe with the mud is increased. On the other hand, the mud flow rate had the second largest impact on pressure loss, with an r value of 0.553. This r value is positive, indicating that an increase in mud flow rate would always lead to an increase in pressure loss. This finding is comparable to that obtained by Kumar et al. [11], wherein they found that the diameter of the pipe and the mud flow rates were the two most impactful parameters on mud pressure loss.
Figure 9.
Parametric relevance of predictor variables to the BRANN model.
4.5. Effect of Parameter Reduction on the Performance of the BRANN Model
An essential step in obtaining pertinent information from a high-dimensional dataset is dimensionality reduction [31]. The aim is to reduce the model parameters to the minimum number required to model the data without losing any pertinent information for the application. In this case, due to the low relevance of dial readings at 600 rpm, 300 rpm, 200 rpm, and 100 rpm, as illustrated in Figure 9, along with the multicollinearity present among these variables, as indicated in Figure 3, it was necessary to mitigate the effects of this multicollinearity. This may be accomplished by merging the 600 rpm and 300 rpm dial readings to get the plastic viscosity (which is the difference between the 600 rpm and the 300 rpm dial readings) and then removing the 200 rpm and 100 rpm data. Utilizing the plastic viscosity as an input to the model is relevant because, in theory, the drilling mud’s viscous property typically causes a variation in the flow velocity normal to the direction of the flow, representing a loss of momentum and a resistance to the flow and adding to pressure loss [33]. As a result of this operation, just five input variables remained. Upon dimensionality reduction, the new model with five inputs had an architecture of 5-4-1. Table 5 displays the weights and biases of the model. Equation (23) gives the new pressure loss explicit correlation.
Table 5.
Weights and biases of the BRANN model for pressure loss estimation for five input parameters.
The performance of the model with reduced dimensions (i.e., with five inputs) is given in Table 6. Comparing the performance in this table with that presented in Table 4 shows that the model with a reduced number of input variables yielded a better performance with respect to both the training and the testing datasets.
Table 6.
Performance assessment of the BRANN model for pressure loss estimation (five inputs).
4.6. Model Validation via a Trend Analysis
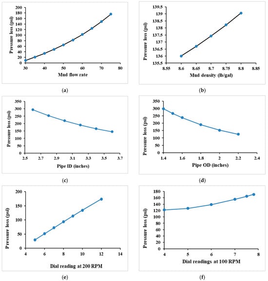
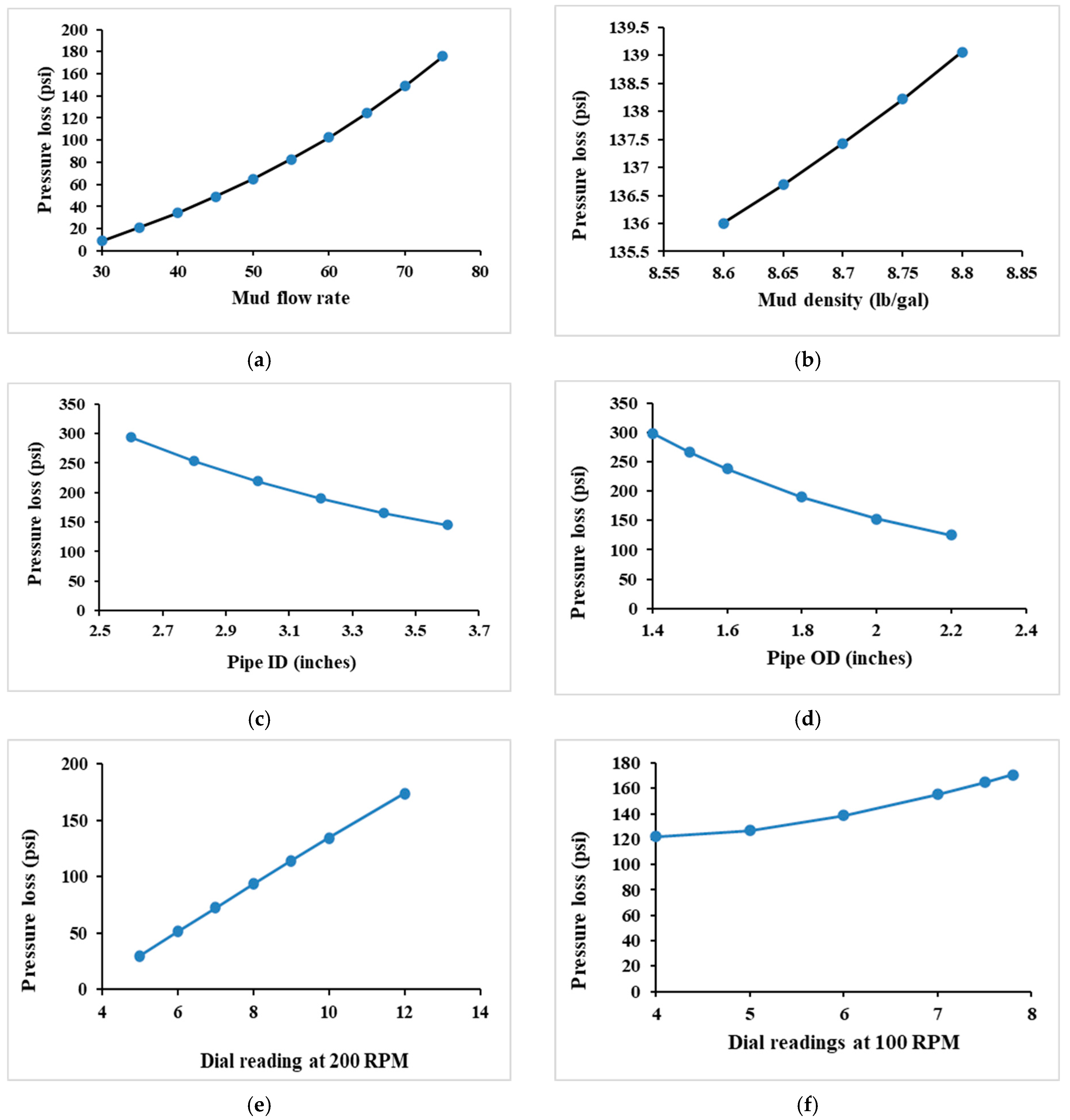
Finding out if the model adequately depicts the behavior of the system is the process of model validation [34]. Model validity should be assessed conceptually—that is, by assessing if the theory and underlying assumptions of the model are reasonable—as well as operationally—that is, by assessing whether the model’s output matches with the observable data. One means of conceptually validating a model is by means of a trend analysis. To assess how well the model can replicate real-world physical processes, a trend analysis is performed [15]. In this case, the model is deployed to forecast the already established/known physical effects of the independent variables. For this study, this was achieved by using synthetic data. After that, all other variables were kept at their mean values, but one independent variable was given different values. Next, the pressure drop for the chosen variable’s given values was predicted using the model. Figure 10 illustrates the results of the trend analysis. Figure 10a,b indicate that, as the mud flow rate and the mud density increased, so did the pressure loss. Figure 10c,d indicate that the larger the pipe diameter, the lower the pressure loss. This observation is substantiated by the findings by Osman and Aggour [15] and Zhao et al. [35]. For Figure 10e–h, it is observed that, as the value of the intermediate dial readings at 200 rpm and 100 rpm increased, the pressure loss increased correspondingly, while the pressure loss decreased at high shear rate speeds of 600 rpm and 300 rpm. This can be explained as follows. During circulation, as the drilling fluid flows through the drill pipe and annulus, it experiences shear forces. Higher shear rates lead to a reduction in the effective viscosity of the drilling fluid. This decrease in viscosity lowers the resistance to the flow, which can result in reduced pressure loss in certain areas of the system. Conversely, at low shear rates, the fluid may exhibit a higher viscosity, leading to increased frictional pressure losses. In a turbulent flow, inertial forces dominate. This leads to a chaotic fluid motion, with eddies and velocity fluctuations significantly increasing the interaction between the fluid and the pipe walls. As a result, frictional pressure losses rise much more steeply with velocity and are influenced by the pipe’s surface roughness, the fluid’s velocity, density, viscosity, and the pipe’s diameter. In a turbulent flow, the energy required to overcome friction is much greater because of the higher inertial forces driving more intense fluid—wall interactions. In essence, inertial forces determine the energy needed to sustain the fluid motion, while frictional losses represent the energy dissipated due to resistance.

Figure 10.
Trend analysis showing the effect of (a) flow rate, (b) density, (c) pipe ID, (d) pipe OD, (e) 200 rpm dial reading, (f) 100 rpm dial reading, (g) 600 rpm dial reading, and (h) 300 rpm dial reading on pressure loss.
4.7. Leverage Plot Analysis
Existing outlier data within a data bank may adversely affect the predictive efficiency and applicability of a model [36]. Consequently, the identification of these anomalous data points, which deviate from the majority of the dataset, is a critical step in model development. Regression analysis uses a diagnostic tool called a leverage plot to evaluate the impact of specific data points on the model. It highlights points that may disproportionately affect the model’s parameters and is adjudged the most effective means of ascertaining the validity of the dataset. In the leverage plot, a point is deemed to have more impact on the effect test if such a point lies a distance away from the plot’s center, while if it lies near the center of the plot, its effect is attenuated. Furthermore, an observation with a remarkable deviation in the vertical direction is considered to be an outlier, while one with a high margin of deviation in the horizontal plane is called a leverage point. In the leverage plot analysis, R is used to represent the standardized residuals, while H stands for a hat matrix that is essentially made up of the experimental and predicted data obtained from the application of the BRANN algorithm. Equation (24) is used to verify the Hat indexes:
The critical leverage value is mathematically expressed as shown in Equation (25):
where X = 2D matrix (M × N), M = number of data points, N = number of input variables, and T = transposed matrix of X.
Given that = error value, = th leverage value, and MSE = mean square error, the correlation for the standardized residuals (R) is presented in Equation (26):
Figure 11 presents the leverage plot for the data utilized to develop the pressure loss model. In this plot, data points with R values exceeding 3 or falling below −3 are identified as potential outliers, indicating that they lie outside the model’s intended range and are predicted with a significant degree of uncertainty. When R values fall between −3 and +3, and the accompanying H is smaller than H*, the model is considered to have a valid scope. Given that they lie within the permitted range, it is clear that most of the data points utilized for modelling in this work are statistically valid and trustworthy. Only three data points were identified by the BRANN model as possible outliers, indicating the rarity of outliers. Consequently, the BRANN correlation shows a high degree of reliability in calculating pressure loss during drilling. Furthermore, the leverage plot suggests that the pressure loss data used in the modelling are reliable.
Figure 11.
Leverage plot analysis.
4.8. Pressure Loss Forecasting Using the MARS Algorithm
For the MARS algorithm, all the 10 basis functions (BFs) in column one of Table 7 were employed to construct the pressure loss forecasting model. The basis function coefficients and their expressions are provided in column two and column three, respectively, of Table 7. The interpretation of the MARS algorithm’s model is as follows. Positive coefficients of the BFs signify an increase in pressure loss, while negative coefficients imply a decrease in pressure loss. Furthermore, the numerical value of each BF coefficient reflects the magnitude of its impact on pressure loss. For each BF, , provided that , otherwise, . As shown in Table 7, the MARS model made use of six out of the eight input variables. This implies that the two unused parameters, namely pipe outer diameter and the dial reading at 600 rpm, made little or no contribution to the prediction of pressure loss. Furthermore, the presence of interactions in basis functions 4, 5, 7, and 8 further substantiates the non-additive nature of the model. These interactions are instrumental to capture the non-linear aspects of the data, thereby producing a dependable model for pressure loss estimation.
Table 7.
Basis functions, coefficients, and expressions for the developed MARS model.
Equations (27) and (28) are the normalized and denormalized correlations for estimating pressure loss as evolved by the MARS algorithm.
The denormalized value of the pressure loss is given by:
where = flow rate (gal/min), = normalized value of flow rate, = mud density (lb/gal), = normalized value of mud density, = dial reading at 600 rpm, = normalized value of dial reading at 600 rpm, = dial reading at 300 rpm, = normalized value of dial reading at 300 rpm, = dial reading at 200 rpm, = normalized value of dial reading at 200 rpm, = dial reading at 100 rpm, = normalized value of dial reading at 100 rpm, = inside diameter of the pipe (inches), = normalized value of the inside diameter of the pipe, = outside diameter of the pipe (inches), = normalized value of the outside diameter of the pipe, = pressure loss (psi), and = normalized value of pressure loss.
4.9. Evaluation of the Performance of the MARS Model for Pressure Loss Estimation
Table 8 shows the predictive performance of the developed MARS model for pressure loss computation. The model was assessed on the benchmark criteria of the R-squared, MSE, RMSE, and MAE values. A close look at the table indicates that the R-squared value for both the test and training datasets were above 0.99, implying that the model was able to correctly capture the relationship between the input variables and the output. The presence of AAPE values for the training and testing datasets lower than 10% is an indicator of the high predictive capacity of the proposed model. The root mean square error seems high because of the large range of the output. In particular, an RMSE of 26.2 and 21.32 for the training and testing datasets, respectively, is seen as not being particularly significant, since the output was in thousands. Since the root mean square error is a derivative of the mean square error, the same logic holds true for it. For the training and testing datasets, the mean absolute error was determined to be 16.15 and 16.5, respectively. As previously mentioned, the range of the output data, which are expressed in thousands, is the reason why these figures are high. Thus, errors in tens are permissible.
Table 8.
Performance assessment of the pressure loss model developed using the MARS algorithm.
One more way to confirm the MARS model performance is by using a cross-correlation graphic. These charts were created to demonstrate how closely the predictions given by the MARS-based model matched the actual data. The cross plots for the training and testing datasets are shown in Figure 12 and Figure 13, respectively. Given that more data points were tightly spaced and lied on the 45-degree line, it is evident from these figures that the generated model’s predictions matched the experimental data to a reasonable degree.
Figure 12.
Cross plot of actual pressure loss against the MARS predictions for the training dataset.
Figure 13.
Cross plot of actual pressure loss against the MARS predictions for the testing dataset.
Generally, there are frictional pressure loss models developed using the commonly used mud rheological models. A summary of these frictional loss equations can be found in the work by Ahmed and Miska [37]. The mud rheological models include the following. The Bingham plastic model (i), which assumes that a fluid exhibits a yield stress that must be exceeded before it flows. Once the yield stress is overcome, the shear stress increases linearly with the shear rate (γ). This model is ideal for approximating fluids with a distinct yield stress, such as certain drilling muds. The power law model (ii) characterizes fluids with a shear stress that is proportional to a power of the shear rate. It is commonly used for shear-thinning or non-Newtonian fluids but does not account for yield stress. The Herschel—Bulkley model (iii), which combines the Bingham plastic and power law model. This model includes yield stress and non-linear flow behavior. In this research, in a bid to simplify the developed models, the shear rates at 3 rpm and 6 rpm and the pipe roughness were excluded.
4.10. Model Performance Comparison with Existing Machine Learning Models
This part of the study evaluates the proposed models’ prediction performance against the state-of-the-art machine learning models for pressure loss forecasting. Table 9 provides a summary of this comparison. A look at the table reveals that the proposed models exhibited one of the highest R-squared values (0.99) alongside models developed by Osman and Aggour [15], Bar et al. [17], Razi et al. [8], Rooki [3,5], Ozbayoglu et al. [9], Bemani et al. [22], and Jafarifar et al. [25]. Additionally, using the AAPE metric as an index, it is observed that the model ranks among the models with AAPE values lower than 10%. However, the models proposed in this work, unlike the models by Youcefi et al. [2] and Jafarifar et al. [25], are explicitly expressed, making them easy to use by anyone. Furthermore, the models are physically validated by means of a trend analysis and the parametric relevance of the input variables is established. All these features and analyses add to the uniqueness of the proposed models in comparison to existing models.
Table 9.
Comparison between the proposed models’ performance and that of existing machine learning models.
5. Conclusions
This study presents an analysis of two algorithms, BRANN and MARS, used to develop models for predicting the pressure drop in drill pipes. The study considers eight input parameters, i.e., mud flow rate, mud density, dial readings at different rpms (600, 300, 200, and 100), pipe outer diameter, and pipe inside diameter, while the output parameter is the pressure loss. The findings from this work makes the following conclusions imperative:
- The BRANN algorithm demonstrates a superior performance compared to the MARS algorithm, achieving an AAPE of 0.065, an RMSE of 16.765 psi, a MAE of 11.67%, and an R2 of 0.999.
- A reduction in the number of input parameters from eight to five improves the predictive capabilities of the BRANN model.
- The parametric relevance analysis indicates that mud flow rate has the highest positive influence on pressure loss, while pipe inside and outside diameters have the highest negative influence.
- The trend analysis shows that the predictions by the BRANN model are consistent with the physical laws guiding the pressure loss phenomenon.
Author Contributions
Methodology, O.E.A. and M.G.A.; software, O.E.A.; formal analysis, O.E.A. and M.G.A.; investigation, S.C.W.; resources, S.C.W.; data curation, S.C.W.; writing—original draft, O.E.A. and S.C.W.; writing—review and editing, O.E.A.; visualization, M.G.A.; supervision, S.C.W. All authors have read and agreed to the published version of the manuscript.
Funding
This research received funding from the Universiti Teknologi PETRONAS under the Short-Term Internal Research Funding (STIRF) program, with reference number—RG2024-1969 under the cost center—015LA0-060.
Data Availability Statement
The data utilized in this study can be found in the article, referenced in Section 3.1 of this paper.
Acknowledgments
The authors would like to express their gratitude to the management of the Universiti Teknologi PETRONAS, Malaysia, and the University of Uyo, Nigeria, for providing the supportive environment necessary to conduct this research.
Conflicts of Interest
The authors declare no conflicts of interest.
Nomenclatures
| AAE | Average Absolute Error |
| AAPE | Average Absolute Percentage Error |
| AdaBoost | Adaptive Boosting |
| ANFIS | Adaptive Neuro Fuzzy Inference System |
| ANN | Artificial Neural Network |
| AV | Apparent Viscosity |
| BNN | Bayesian Neural Network |
| BPNN | Backpropagation Neural Network |
| CMIS | Committee Machine Intelligent Systems |
| ELM | Extreme Learning Machine |
| GA-RBF | Genetic Algorithm-Radial Basis Function |
| GRNN | General Regression Neural Network |
| GTB | Gradient Tree Boosting |
| ID | Inside Diameter |
| LSSVM | Least Square Support Vector Machines |
| MAPE | Mean Absolute Percentage Error |
| MLP | Multilayer Perceptron |
| OD | Outside Diameter |
| PV | Plastic Viscosity |
| RBF | Radial Basis Functions |
| RMSE | Root Mean Square Error |
| RF | Random Forest |
| ROP | Rate of Penetration |
| SD | Standard Deviation |
| SVM | Support Vector Machines |
| YP | Yield Point |
References
- Skalle, P. Drilling Fluid Engineering; Bookboon Publishers: Copenhagen, Denmark, 2011; 159p. [Google Scholar]
- Youcefi, M.R.; Hadjadj, A.; Boukredera, F.S. New model for standpipe pressure prediction while drilling using Group Method of Data Handling. Petroleum 2022, 8, 210–218. [Google Scholar] [CrossRef]
- Rooki, R. Estimation of Pressure Loss of Herschel–Bulkley Drilling Fluids During Horizontal Annulus Using Artificial Neural Network. J. Dispers. Sci. Technol. 2015, 36, 161–169. [Google Scholar] [CrossRef]
- Gul, S.; Johnson, M.D.; Vajargah, A.K.; Ma, Z.; Hoxha, B.B.; van Oort, E. A Data Driven Approach to Predict Frictional Pressure Losses in Polymer-Based Fluids. In Proceedings of the SPE/IADC International Drilling Conference and Exhibition, The Hague, The Netherlands, 5–7 March 2019. [Google Scholar] [CrossRef]
- Rooki, R. Application of general regression neural network (GRNN) for indirect measuring pressure loss of Herschel–Bulkley drilling fluids in oil drilling. Measurement 2016, 85, 184–191. [Google Scholar] [CrossRef]
- Drilling Formulas. Equivalent Circulating Density (ECD) Using Yield Point for MW Less than 13 ppg. 2012. Available online: https://www.drillingformulas.com/equivalent-circulating-density-ecd-using-yield-point-for-mw-less-than-13-ppg/ (accessed on 9 September 2024).
- Sorgun, M.; Aydin, I.; Ozbayoglu, M.E. Friction factors for hydraulic calculations considering presence of cuttings and pipe rotation in horizontal/highly-inclined wellbores. J. Pet. Sci. Eng. 2011, 78, 407–414. [Google Scholar] [CrossRef]
- Razi, M.M.; Arzandeh, A.; Naderi, A.; Razi, F.M.; Ghayyem, M.A. Annular Pressure Loss while Drilling Prediction with Artificial Neural Network Modeling. Eur. J. Sci. Res. 2013, 95, 272–288. [Google Scholar]
- Ozbayoglu, E.M.; Erge, O.; Ozbayoglu, M.A. Predicting the pressure losses while the drillstring is buckled and rotating using artificial intelligence methods. J. Nat. Gas Sci. Eng. 2018, 56, 72–80. [Google Scholar] [CrossRef]
- Ozbayoglu, E.M.; Sorgun, M. Frictional Pressure Loss Estimation of Non-Newtonian Fluids in Realistic Annulus with Pipe Rotation. J. Can. Pet. Technol. 2010, 49, 57–64. [Google Scholar] [CrossRef]
- Kumar, A.; Ridha, S.; Ganet, T.; Vasant, P.; Ilyas, S.U. Machine Learning Methods for Herschel–Bulkley Fluids in Annulus: Pressure Drop Predictions and Algorithm Performance Evaluation. Appl. Sci. 2020, 10, 2588. [Google Scholar] [CrossRef]
- Ozbayoglu, M.; Ozbayoglu, E.; Ozdilli, B.G.; Erge, O. Estimation of Cuttings Concentration and Frictional Pressure Losses During Drilling Using Data-Driven Models. In Proceedings of the ASME 2021 40th International Conference on Ocean, Offshore and Arctic Engineering, OMAE202, Virtual, 21–30 June 2021. [Google Scholar] [CrossRef]
- Sorgun, M.; Ulker, E. Modeling and Experimental Study of Solid–Liquid Two-Phase Pressure Drop in Horizontal Wellbores With Pipe Rotation. J. Energy Resour. Technol. 2015, 138, 022902. [Google Scholar] [CrossRef]
- Haykin, S. Neural Networks and Learning Machines, 3rd ed.; Pearson Education, Inc., McMaster University: Hamilton, ON, Canada, 2009; Available online: http://dai.fmph.uniba.sk/courses/NN/haykin.neural-networks.3ed.2009.pdf (accessed on 26 December 2024).
- Osman, E.-S.A.; Aggour, M.A. Artificial neural network model for accurate prediction of pressure drop in horizontal and near-horizontal-multiphase flow. Pet. Sci. Technol. 2002, 20, 1–15. [Google Scholar] [CrossRef]
- Ozbayoglu, E.M.; Ozbayoglu, M.A. Estimating flow patterns and frictional pressure losses of two-phase fluids in horizontal wellbores using artificial neural networks. Pet. Sci. Technol. 2009, 27, 135–149. [Google Scholar] [CrossRef]
- Bar, N.; Bandyopadhyay, T.K.; Biswas, M.N.; Das, S.K. Prediction of Pressure Drop Using Artificial Neural Network for Non-Newtonian Liquid Flow Through Piping Components. J. Pet. Sci. Eng. 2010, 71, 187–194. [Google Scholar] [CrossRef]
- Shahdi, A.; Arabloo, M. Application of SVM Algorithm for Frictional Pressure Loss Calculation of Three Phase Flow in Inclined Annuli. J. Pet. Environ. Biotechnol. 2014, 5, 179. [Google Scholar] [CrossRef]
- Sorgun, M.; Ozbayoglu, A.M.; Ozbayoglu, M.E. Support Vector Regression and Computational Fluid Dynamics Modeling of Newtonian and Non-Newtonian Fluids in Annulus with Pipe Rotation. J. Energy Resour. Technol. 2014, 137, 032901. [Google Scholar] [CrossRef]
- Ali, B.H.; Adela, N.-M.; Afshin, T.; Milad, A.; Kim, P.L.T.; Moonyong, L.; Alireza, B. Prediction of frictional pressure loss for multiphase flow in inclined annuli during Underbalanced Drilling operations. Nat. Gas Ind. B 2016, 3, 275–282. [Google Scholar]
- Shadloo, M.S.; Rahmat, A.; Karimipour, A.; Wongwises, S. Estimation of Pressure Drop of Two-Phase Flow in Horizontal Long Pipes Using Artificial Neural Networks. J. Energy Resour. Technol. 2020, 142, 112110. [Google Scholar] [CrossRef]
- Bemani, A.; Kazemi, A.; Ahmadi, M.; Yousefzadeh, R.; Moraveji, M.K. Rigorous modeling of frictional pressure loss in inclined annuli using artificial intelligence methods. J. Pet. Sci. Eng. 2022, 211, 110203. [Google Scholar] [CrossRef]
- Erge, O.; van Oort, E. Combining physics-based and data-driven modeling in well construction: Hybrid fluid dynamics modelling. J. Nat. Gas Sci. Eng. 2021, 97, 104348. [Google Scholar] [CrossRef]
- Elmgerbi, A.; Chuykov, E.; Thonhauser, G.; Nascimento, A. Machine Learning Techniques Application for Real-Time Drilling Hydraulic Optimization. In Proceedings of the International Petroleum Technology Conference, Riyadh, Saudi Arabia, 21–23 February 2022. [Google Scholar] [CrossRef]
- Jafarifar, I.; Simi, A.; Abbasi, H.; Kiani, M. Application of soft computing approaches for modeling annular pressure loss of slim-hole wells in one of Iranian central oil fields. Soft Comput. 2023, 27, 16125–16142. [Google Scholar] [CrossRef]
- Kim, R.; Min, J.; Lee, J.-S.; Jin, S.-S. Development of Bayesian regularized artificial neural network for airborne chlorides estimation. Constr. Build. Mater. 2023, 383, 131361. [Google Scholar] [CrossRef]
- Kayri, M. Predictive Abilities of Bayesian Regularization and Levenberg–Marquardt Algorithms in Artificial Neural Networks: A Comparative Empirical Study on Social Data. Math. Comput. Appl. 2016, 21, 20. [Google Scholar] [CrossRef]
- Burden, F.; Winkler, D. Bayesian Regularization of Neural Networks. In Artificial Neural Networks. Methods in Molecular Biology; Livingstone, D.J., Ed.; Humana Press: Totowa, NJ, USA, 2008; Volume 458. [Google Scholar] [CrossRef]
- Menon, R.; Bhat, G.; Saade, G.R.; Spratt, H. Multivariate adaptive regression splines analysis to predict biomarkers of spontaneous preterm birth. Acta Obstet. Gynecol. Scand. 2014, 93, 382–391. [Google Scholar] [CrossRef] [PubMed]
- Friedman, J.H. Multivariate adaptive regression splines. Ann. Statist. 1991, 19, 1–67. [Google Scholar] [CrossRef]
- Agwu, O.E.; Elraies, K.A.; Alkouh, A.; Alatefi, S. Mathematical modelling of drilling mud plastic viscosity at downhole conditions using multivariate adaptive regression splines. Geoenergy Sci. Eng. 2023, 233, 212584. [Google Scholar] [CrossRef]
- Stier, J.; Gianini, G.; Granitzer, M.; Ziegler, K. Analysing Neural Network Topologies: A Game Theoretic Approach. Procedia Comput. Sci. 2018, 126, 234–243. [Google Scholar] [CrossRef]
- Muherei, M.A.; Ba-Jaalah, K.S.; BinMerdhah, A.B. Improving Bingham Plastic Frictional Pressure-Loss Predictions for Oil Wells. Am. J. Eng. Res. 2022, 11, 15–25. [Google Scholar]
- Aumann, C.A. A methodology for developing simulation models of complex systems. Ecol. Model. 2007, 202, 385–396. [Google Scholar] [CrossRef]
- Zhao, J.; Hu, Z.; Zhu, K.; Zhou, Y.; Song, W. Research on measurement method of drilling fluid rheological parameters based on helical pipe. Int. J. Comput. Sci. Inf. Technol. 2023, 1, 157–170. [Google Scholar] [CrossRef]
- Mahmoudzadeh, A.; Amiri-Ramsheh, B.; Atashrouz, S.; Abedi, A.; Abuswer, M.A.; Ostadhassan, M.; Mohaddespour, A.; Hemmati-Sarapardeh, A. Modeling CO2 solubility in water using gradient boosting and light gradient boosting machine. Sci. Rep. 2024, 14, 13511. [Google Scholar] [CrossRef]
- Ahmed, R.; Miska, S.Z. Advanced Wellbore Hydraulics. In Advanced Drilling and Well Technology; Aadnoy, B.S., Cooper, I., Miska, S.Z., Mitchell, R.F., Payne, M.L., Eds.; Society of Petroleum Engineers: Richardson, TX, USA, 2009. [Google Scholar] [CrossRef]
Disclaimer/Publisher’s Note: The statements, opinions and data contained in all publications are solely those of the individual author(s) and contributor(s) and not of MDPI and/or the editor(s). MDPI and/or the editor(s) disclaim responsibility for any injury to people or property resulting from any ideas, methods, instructions or products referred to in the content. |
© 2025 by the authors. Licensee MDPI, Basel, Switzerland. This article is an open access article distributed under the terms and conditions of the Creative Commons Attribution (CC BY) license (https://creativecommons.org/licenses/by/4.0/).













