Bayesian-Based Standard Values of Effective Friction Angle for Clayey Strata
Abstract
1. Introduction
2. Materials and Methods
2.1. Theory: Probability Modeling
2.1.1. Heterogeneity Modeling Probability
2.1.2. Transformation of Heterogeneity Probability Modeling
2.2. Methods: Determining Bayesian Framework Under Limited Data Conditions
2.2.1. Probability Distribution of Soil Parameters
2.2.2. Bayesian Framework
2.2.3. Analysis and Processing of Experimental Data
2.3. Implementation Process
3. Case Study
3.1. Project Overview
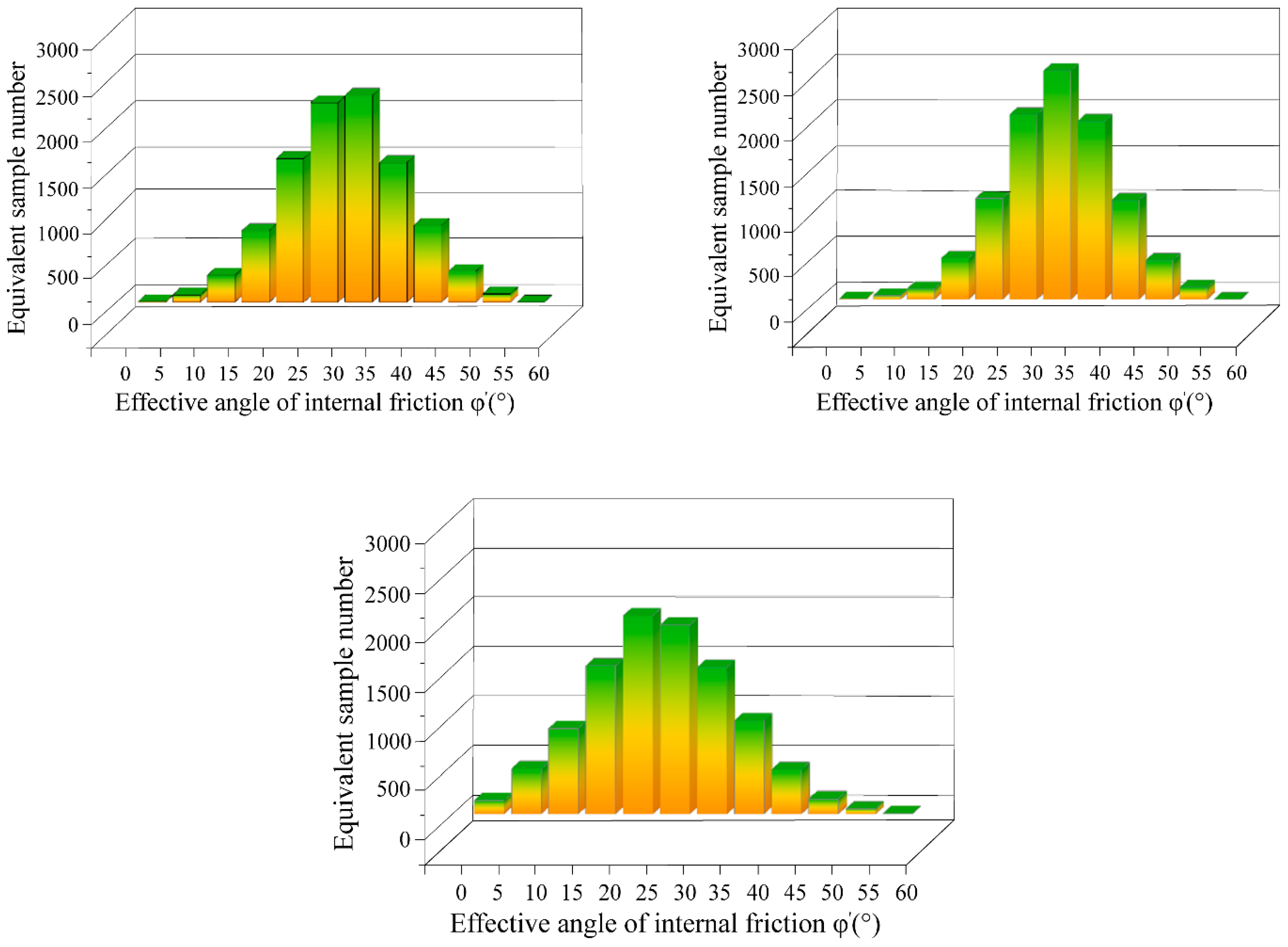
3.2. Equivalent Samples of Effective Internal Friction Angle
3.3. Update of Formula Coefficient Values
4. Results and Discussion
4.1. Results
4.2. Discussion
5. Conclusions
- (1)
- This study employed an empirical relationship to indirectly assess the effective internal friction angle of soil and obtain equivalent samples. Based on survey information from geological reports, particular emphasis was placed on the probabilistic characterization of the effective internal friction angle () in silty clay layers using three methods—namely, the plasticity index (), in situ static cone penetration test (), and standard penetration test (). Through the MCMC method and PDFs, a large number of equivalent samples were estimated. Different sources of prior information were systematically integrated with sampled data, and—in combination with the regression relationship and uncertainty of the effective internal friction angle ()—a Bayesian framework was developed. The framework ensured a balance and symmetry in incorporating prior information and observed data, effectively reflecting the unbiased treatment of varying data sources. This framework was then transformed into effective internal friction angle equivalent samples for three model formulas, maintaining symmetry in the processing of different models and data inputs. This approach effectively addressed the problem of accurately predicting the internal friction angle in survey processes with limited data, particularly under complex geological conditions.
- (2)
- The MCMC method was effective in probabilistically characterizing the effective internal friction angle () of silty clay layers. Using information from the geological survey report of the Wuhan Xunsi River Basin Comprehensive Management Phase II (Wutai Sluice Sewage Treatment Plant) project, a comparison and analysis of measured data and equivalent sample values were conducted. Through the optimization and updating of parameters using the three models, a new linear relationship model for soil parameters could be derived. The new effective internal friction angle\ () closely approximated the actual values, demonstrating high accuracy and reliability, permitting its application in practical engineering projects in the region.
- (3)
- To further adjust the model formulas—particularly in geologically complex areas with limited data, where the extensive use of scattered points was not feasible—adjustments were made when deriving one set of model formulas. This involved using the other two sets of original data (excluding the random error term) as adjustment values. New data values were generated by appropriately scaling and then substituting it into the formula to obtain a suitable model formula applicable to different engineering projects in the same region. This process, combined with the regression relationship and uncertainty of the effective internal friction angle (), established a Bayesian framework. The result was a model formula tailored to a specific engineering project or even region, ensuring the precise determination of the effective internal friction angle (). The three model formulas mentioned above could thus better fulfill their roles in engineering practice.
- (4)
- The Bayesian equivalent analysis in this study is based on silty clay from a specific region; however, soil mineral composition varies by region, which may affect its mechanical properties and the analysis results. Although the model is not universally applicable to all soils, it is designed to integrate prior knowledge and flexibly adapt to specific datasets. As long as reliable soil data are available, the method can be extended to other soil types. This study uses silty clay as a case study, and future research should further verify the applicability and generalizability of this method across different regions and soil types.
- (5)
- The Bayesian equivalent sample method integrates field investigation data with statistical models to validate its applicability under data-scarce conditions. However, a comprehensive comparison with laboratory test results has not yet been conducted. Such a comparison is crucial to providing stronger support for the accuracy and applicability of this method. Future research plans include incorporating laboratory test data to enhance its reliability across different soil types and engineering applications, further refining the method, and expanding its scope of application.
Author Contributions
Funding
Data Availability Statement
Conflicts of Interest
References
- Marisa, P.; Xavier, E.; Tiago, M.; Luís, L.; Margarida, E. Using geotechnical scenarios for underground structure analysis: A case study in a hydroelectric complex in northern Portugal. Tunn. Undergr. Space Technol. 2021, 111, 103855. [Google Scholar]
- Ouyang, Z.; Fan, P.; Chen, J.; Lafortezza, R.; Messina, J.P.; Giannico, V.; John, R. A Bayesian approach to mapping the uncertainties of global urban lands. Landsc. Urban Plan. 2019, 187, 103399. [Google Scholar] [CrossRef]
- Phoon, K.K.; Kulhawy, F.H. Characterization of geotechnical variability. Can. Geotech. J. 1999, 36, 612–624. [Google Scholar] [CrossRef]
- Phoon, K.K.; Kulhawy, F.H. Evaluation of geotechnical property variability. Can. Geotech. J. 1999, 36, 625–639. [Google Scholar] [CrossRef]
- Phoon, K.K. Towards Reliability-Based Design for Geotechnical Engineering; Special Lecture For Korean Geotechnical Society; National University of Singapore: Singapore, 2004. [Google Scholar]
- Griffiths, D.V.; Huang, J.; Fenton, G.A. Probabilistic infinite slope analysis—ScienceDirect. Comput. Geotech. 2011, 38, 577–584. [Google Scholar] [CrossRef]
- Tang, X.S.; Li, D.Q.; Cao, Z.J.; Phoon, K.K. Impact of sample size on geotechnical probabilistic model identification. Comput. Geotech. 2017, 87, 229–240. [Google Scholar] [CrossRef]
- Tang, X.S.; Li, D.Q.; Chen, Y.F.; Zhou, C.B.; Zhang, L.M. Improved knowledge-based clustered partitioning approach and its application to slope reliability analysis. Comput. Geotech. 2012, 45, 34–43. [Google Scholar] [CrossRef]
- Agbaje, S.; Zhang, X.; Ward, D.; Dhimitri, L.; Patelli, E. Spatial variability characteristics of the effective friction angle of Crag deposits and its effects on slope stability. Comput. Geotech. 2022, 141, 104482. [Google Scholar] [CrossRef]
- Liu, X.F.; Tang, X.S.; Li, D.Q. Efficient Bayesian characterization of cohesion and friction angle of soil using parametric bootstrap method. Bull. Eng. Geol. Environ. 2021, 80, 109. [Google Scholar] [CrossRef]
- Zhang, L.; Li, D.Q.; Tang, X.S.; Cao, Z.J.; Phoon, K.K. Bayesian model comparison and characterization of bivariate distribution for shear strength parameters of soil. Comput. Geotech. 2018, 95, 110–118. [Google Scholar] [CrossRef]
- Rosenblatt, M. A Central Limit Theorem and a Strong Mixing Condition. Proc. Natl. Acad. Sci. USA 1956, 42, 43–47. [Google Scholar] [CrossRef] [PubMed]
- Wang, Z.; Zhou, Z.; Goh, H.; Huat, S. A maximum entropy method using fractional moments and deep learning for geotechnical reliability analysis. Acta Geotech. 2021, 17, 1687–1701. [Google Scholar] [CrossRef]
- Cox, M.; Shirono, K. Informative Bayesian Type A uncertainty evaluation, especially applicable to a small number of observations. Metrologia 2017, 54, 237–246. [Google Scholar] [CrossRef]
- Juang, C.H.; Luo, Z.; Atamturktur, S.; Huang, H. Bayesian Updating of Soil Parameters for Braced Excavations Using Field Observations. J. Geotech. Geoenviron. Eng. 2012, 139, 395–406. [Google Scholar] [CrossRef]
- Chang, X.; Wang, H.; Zhang, Y.; Wang, F.; Li, Z. Bayesian prediction of tunnel convergence combining empirical model and relevance vector machine. Measurement 2022, 188, 110621. [Google Scholar] [CrossRef]
- Zhang, L.L.; Zhang, J.; Zhang, L.M.; Tang, W.H. Back analysis of slope failure with Markov chain Monte Carlo simulation. Comput. Geotech. 2010, 37, 1147–1157. [Google Scholar] [CrossRef]
- Huang, L.; Huang, S.; Lai, Z. On an energy-based criterion for defining slope failure considering spatially varying soil properties. Eng. Geol. 2020, 264, 105284. [Google Scholar] [CrossRef]
- Seyedi, D.M. Numerical analysis of the hydromechanical response of Callovo-Oxfordian claystone to deep excavations. Comput. Geotech. 2017, 85, 49–60. [Google Scholar] [CrossRef]
- Russell, A.R.; Wang, Y.; Khalili, N. Cavity expansions in partially drained soils and a comparison to CPT results. Comput. Geotech. 2023, 158, 104035. [Google Scholar] [CrossRef]
- Jiang, S.-H.; Liu, X.; Wang, Z.Z.; Li, D.-Q.; Huang, J. Efficient sampling of the irregular probability distributions of geotechnical parameters for reliability analysis. Struct. Saf. 2023, 101, 102309. [Google Scholar] [CrossRef]
- Ang, A.H.S.; Tang, W.H. Probability Concepts in Engineering: Emphasis on Applications in Civil & Environmental Engineering; Wiley: Hoboken, NJ, USA, 2007. [Google Scholar]
- Wang, Y.; Cao, Z. Probabilistic characterization of Young’s modulus of soil using equivalent samples. Eng. Geol. 2013, 159, 54–62. [Google Scholar] [CrossRef]
- Fenton, G.A.; Griffiths, D.V. Three-Dimensional Probabilistic Foundation Settlement. J. Geotech. Geoenviron. Eng. 2005, 131, 232–239. [Google Scholar] [CrossRef]
- Nguyen, N.; Kikumoto, M.; Nguyen-Xuan, H.; Khatir, S. Optimization of artificial neutral networks architecture for predicting compression parameters using piezocone penetration test. Expert Syst. Appl. 2023, 223, 119832. [Google Scholar] [CrossRef]
- Scarpelli, G.; Fruzzetti, V.M.E.; Ruggeri, P. The design of infrastructures in stiff jointed clay formations: A step towards a geological-geotechnical integrated approach. Eng. Geol. 2022, 304, 105885. [Google Scholar] [CrossRef]
- Rahimi, M.; Shafieezadeh, A.; Wood, D.; Kubatko, E.J.; Dormady, N.C. Bayesian calibration of multi-response systems via multivariate Kriging: Methodology and geological and geotechnical case studies. Eng. Geol. 2019, 260, 105085. [Google Scholar] [CrossRef]
- Zhang, Y.; Gallipoli, D.; Augarde, C.E. Simulation-based calibration of geotechnical parameters using parallel hybrid moving boundary particle swarm optimization. Comput. Geotech. 2008, 36, 47–56. [Google Scholar] [CrossRef]
- Hu, J.; Zheng, J.; Zhang, J.; Huang, H. Bayesian Framework for Assessing Effectiveness of Geotechnical Site Investigation Programs. ASCE-ASME J. Risk Uncertain. Eng. Syst. Part A Civ. Eng. 2023, 9, 04023022. [Google Scholar] [CrossRef]
- Chu, Y.; Yin, Z.; Yu, K. Bayesian scale mixtures of normals linear regression and Bayesian quantile regression with big data and variable selection. J. Comput. Appl. Math. 2023, 428, 115192. [Google Scholar] [CrossRef]
- Springer, M.D. Joint Sampling Distribution of the Mean and Standard Deviation for Probability Density Functions of Doubly Infinite Range. Ann. Math. Stat. 1953, 24, 118–122. [Google Scholar] [CrossRef]
- Heath, S.C. Markov chain Monte Carlo methods for radiation hybrid mapping. J. Comput. Biol. J. Comput. Mol. Cell Biol. 1997, 4, 505–515. [Google Scholar] [CrossRef]
- Deshpande, J.V.; Mukhopadhyay, M.; Nimbalkar, U.V.N. Bayesian Nonparametric Estimation of Intensity Functions Using Markov Chain Monte Carlo Method. Calcutta Stat. Assoc. Bull. 2000, 50, 11–23. [Google Scholar] [CrossRef]
- Beck, J.L.; Au, S.-K. Bayesian Updating of Structural Models and Reliability using Markov Chain Monte Carlo Simulation. J. Eng. Mech. 2002, 128, 45–55. [Google Scholar] [CrossRef]
- Cao, Z.; Wang, Y. Bayesian Model Comparison and Characterization of Undrained Shear Strength. J. Geotech. Geoenviron. Eng. 2014, 140, 04014048. [Google Scholar] [CrossRef]
- Zevgolis, I.E.; Koukouzas, N.; Roumpos, C.; Deliveris, A.V.; Marshall, A.M. Evaluation of Geotechnical Property Variability: The Case of Spoil Material from Surface Lignite Mines. In Proceedings of the SafeKozani 2018—5th International Conference on Civil Protection & New Technology—Proceedings, Kozani, Greece, 31 October–3 November 2018. [Google Scholar]
- Anghel, C.G.; Ilinca, C. Predicting Flood Frequency with the LH-Moments Method: A Case Study of Prigor River, Romania. Water 2023, 15, 2077. [Google Scholar] [CrossRef]
- Bogoi, A.; Dan, C.I.; Strtil, S.; Cican, G.; Crunteanu, D.E. Assessment of Stochastic Numerical Schemes for Stochastic Differential Equations with “White Noise” Using It’s Integral. Symmetry 2023, 15, 2038. [Google Scholar] [CrossRef]










| Parameter | Mean | Standard Deviation | Standard Score | ||||
|---|---|---|---|---|---|---|---|
| Natural Water Content | 30 | 22.4 | 30.8 | 26.6 | 2.5 | 9.33 | 26.0 |
| Density | 30 | 1.71 | 1.93 | 1.82 | 0.06 | 2.19 | 1.80 |
| Cohesion | 30 | 18.2 | 26.4 | 22.3 | 2.3 | 9.36 | 22.0 |
| Internal Friction Angle | 30 | 18.5 | 32.3 | 25.4 | 3.3 | 13.57 | 24.0 |
| Silty Clay | Number of Tests (n) | |||||||
|---|---|---|---|---|---|---|---|---|
| Plasticity Index | 63 | 14.0 | 10.3 | 12.2 | 0.048 | 0.025 | 0.994 | 1.92 |
| Cone Penetration Test | 565 | 2.42 | 0.74 | 1.47 | 0.41 | 0.21 | 0.98 | 1.44 |
| Standard Penetration Test | 66 | 8 | 5 | 6.70 | 1.15 | 0.16 | 0.93 | 6.20 |
| Serial Number | Design Parameter | Measurement Parameter | Input Parameter | Conversion Model | Distribution Type | |||
|---|---|---|---|---|---|---|---|---|
| 1 | −10.638 | 8.511 | 0.745 | Normal | ||||
| 2 | 0.209 | −3.684 | 0.586 | Normal | ||||
| 3 | 0.161 | −3.724 | 0.496 | Normal |
| Silty Clay | Model Formulas | Mean Value | Equivalent Sample Values | Error |
|---|---|---|---|---|
| Plasticity Index | 28.74 | 31.26 | 2.52 | |
| Cone Penetration Test | 30.39 | 33.94 | 3.55 | |
| Standard Penetration Test | 29.49 | 26.55 | 2.94 |
| Silty Clay | Model Formulas | Mean Value | Equivalent Sample Values | Error |
|---|---|---|---|---|
| Plasticity Index | 28.74 | 28.96 | 0.22 | |
| Cone Penetration Test | 30.39 | 30.11 | 0.28 | |
| Standard Penetration Test | 29.49 | 30.14 | 0.65 |
Disclaimer/Publisher’s Note: The statements, opinions and data contained in all publications are solely those of the individual author(s) and contributor(s) and not of MDPI and/or the editor(s). MDPI and/or the editor(s) disclaim responsibility for any injury to people or property resulting from any ideas, methods, instructions or products referred to in the content. |
© 2025 by the authors. Licensee MDPI, Basel, Switzerland. This article is an open access article distributed under the terms and conditions of the Creative Commons Attribution (CC BY) license (https://creativecommons.org/licenses/by/4.0/).
Share and Cite
Chen, N.; Fang, K.; Liu, N.; Wang, Y. Bayesian-Based Standard Values of Effective Friction Angle for Clayey Strata. Symmetry 2025, 17, 176. https://doi.org/10.3390/sym17020176
Chen N, Fang K, Liu N, Wang Y. Bayesian-Based Standard Values of Effective Friction Angle for Clayey Strata. Symmetry. 2025; 17(2):176. https://doi.org/10.3390/sym17020176
Chicago/Turabian StyleChen, Ningfeng, Kai Fang, Nianwu Liu, and Yanru Wang. 2025. "Bayesian-Based Standard Values of Effective Friction Angle for Clayey Strata" Symmetry 17, no. 2: 176. https://doi.org/10.3390/sym17020176
APA StyleChen, N., Fang, K., Liu, N., & Wang, Y. (2025). Bayesian-Based Standard Values of Effective Friction Angle for Clayey Strata. Symmetry, 17(2), 176. https://doi.org/10.3390/sym17020176
