NLAPSMjSO-EDA: A Nonlinear Shrinking Population Strategy Algorithm for Elite Group Exploration with Symmetry Applications
Abstract
1. Introduction
2. Related Work
2.1. Differential Evolution
2.2. LSHADE
2.3. LSHADE-Epsin
- -
- The term introduces oscillations in over generations, with the frequency controlled by freq.
- -
- The factor ensures a gradual decrease in as the generation g approaches the maximum generation , simulating a decay effect.
- -
- The addition of 1 and division by 2 normalize the oscillation range, ensuring that remains within .
- -
- Case 1: If or , the component from the donor vector is selected. is a random number uniformly distributed between 0 and 1. is the crossover rate for individual i at generation g, controlling the probability of inheriting components from the donor vector. ensures that at least one component of the trial vector is inherited from the donor vector, preventing the trial vector from being identical to the target vector.
- -
- Case 2: Otherwise, the component from the target vector is retained.
2.4. EBOwithCMAR
2.5. MadDE
2.6. IDE-EDA
2.7. APSM-jSO
3. The Proposed NLAPSMjSO-EDA Algorithm

| Algorithm 1 NLAPSMjSO-EDA algorithm |
|
4. Numerical Trials Utilizing the CEC 2017 Test Suite
4.1. Parameter Tuning
| 10D | 30D | 50D | 100D | Mean | Mean Rank | |
|---|---|---|---|---|---|---|
| 2.8966 | 3.0862 | 2.9828 | 3.1034 | 3.0172 | 4 | |
| 2.2931 | 2.2759 | 2.2414 | 2.4138 | 2.3060 | 2 | |
| 2.3793 | 2.2069 | 2.4655 | 2.5172 | 2.3922 | 3 | |
| 2.4310 | 2.4310 | 2.3103 | 1.9655 | 2.2845 | 1 |

4.2. Analysis of Strategy Effectiveness

| Algorithm | 10D | 30D | 50D | 100D | Mean | Mean Rank |
|---|---|---|---|---|---|---|
| NLAPSMjSO-EDA | 2.1724 | 1.7414 | 1.6897 | 2.0517 | 1.9138 | 1 |
| APSMjSO-EDA | 3.5172 | 3.4828 | 3.6897 | 3.7241 | 3.6034 | 4 |
| NLAPSM-jSO | 2.2069 | 2.1207 | 2.1207 | 1.9138 | 2.0905 | 2 |
| APSM-jSO | 2.1034 | 2.6552 | 2.500 | 2.3103 | 2.3922 | 3 |
- NLAPSMjSO-EDA demonstrates the most significant positive contribution, with a Contribution Value of and a Contribution Percentage of . This indicates that integrating both nonlinear adjustment and EDA mechanisms effectively improves the baseline algorithm (APSM-jSO).
- APSMjSO-EDA shows a negative Contribution Value of , resulting in a Contribution Percentage of . This suggests that the exclusive application of EDA degrades the performance compared to the baseline, potentially due to imbalanced parameter exploration and exploitation.
- NLAPSM-jSO achieves a moderate positive Contribution Value of and a Contribution Percentage of , indicating that the nonlinear adjustment alone has a beneficial impact on algorithm performance.
- APSM-jSO serves as the baseline algorithm with a Contribution Value of 0, thus having no direct improvement or degradation to compare.
| Algorithm | Mean Rank | Contribution Value | Contribution (%) |
|---|---|---|---|
| NLAPSMjSO-EDA | |||
| APSMjSO-EDA | |||
| NLAPSM-jSO | |||
| APSM-jSO |
4.3. Compared with Other Advanced DE Algorithms
4.3.1. Examination of the Wilcoxon Signed-Rank Test Outcomes
4.3.2. Analysis of Friedman Test Results
4.3.3. Evaluation of Time Complexity
| Algorithm 2 Computer T0. |
|
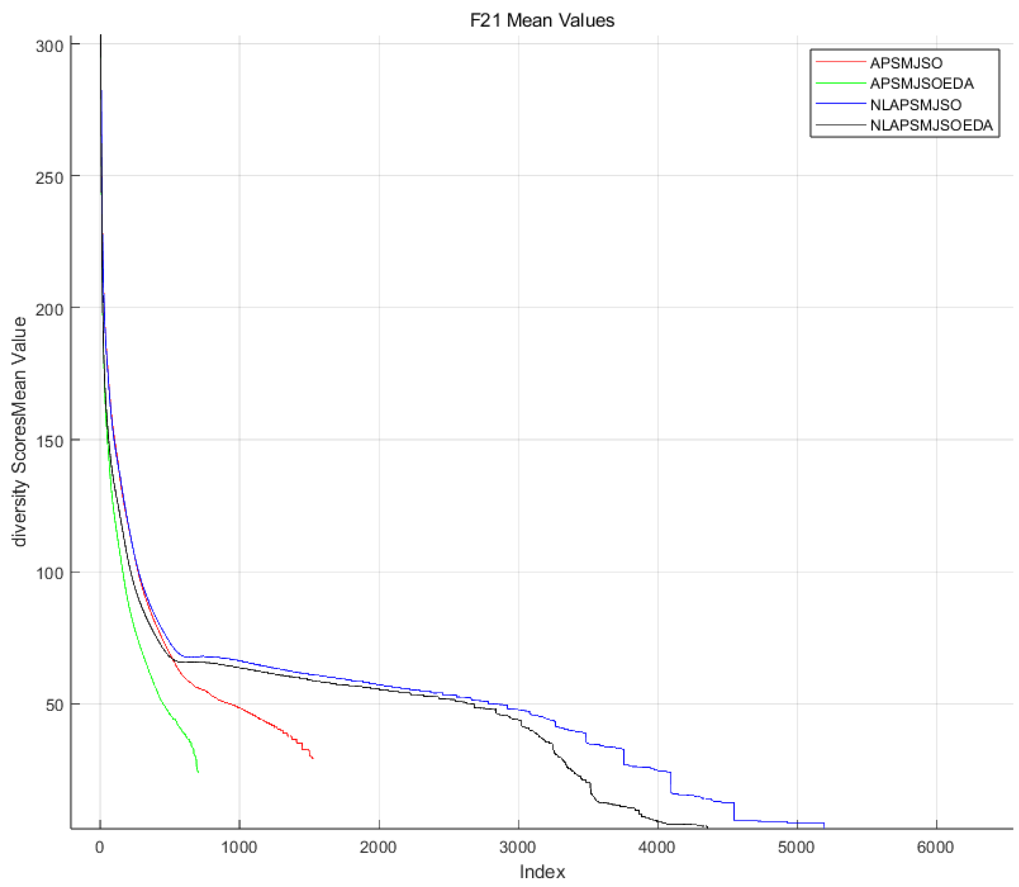
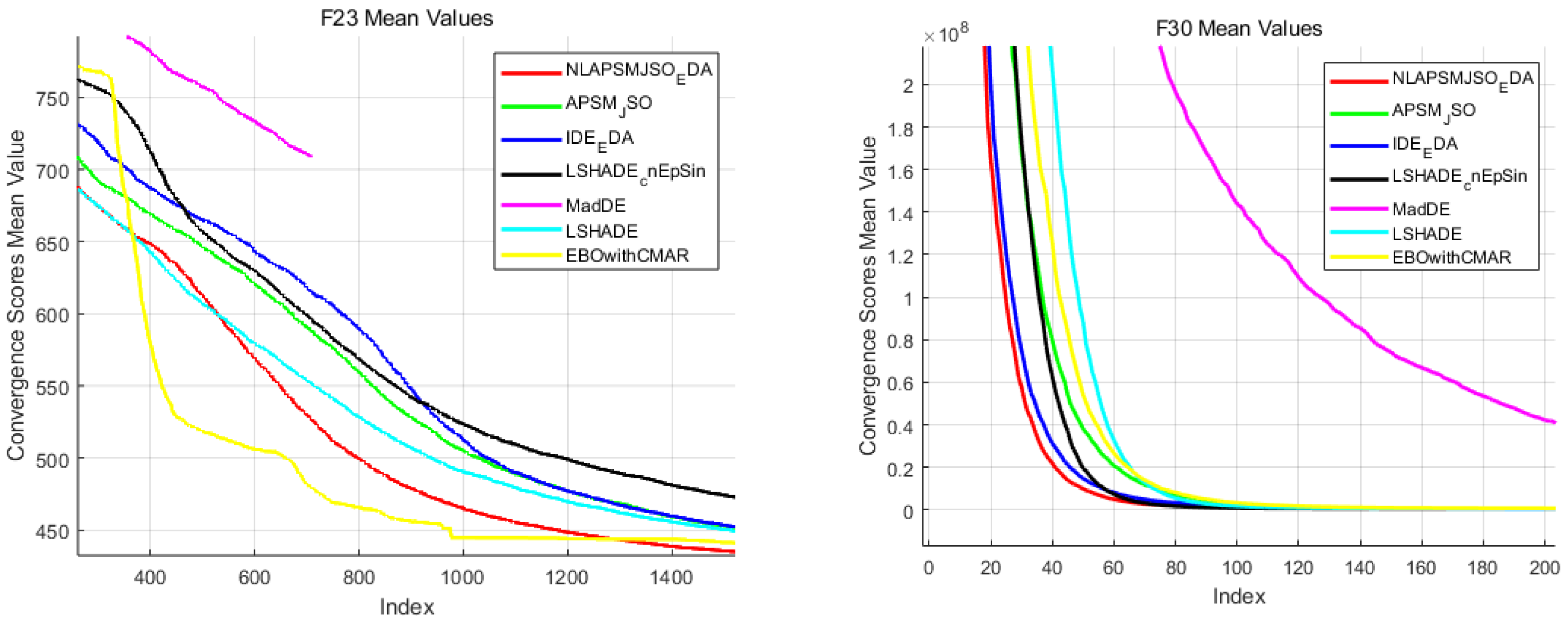
4.3.4. Convergence and Robustness Analysis
5. Conclusions and Future Work
Author Contributions
Funding
Institutional Review Board Statement
Informed Consent Statement
Data Availability Statement
Conflicts of Interest
References
- Vargas, D.E.C.; Lemonge, A.C.C.; Barbosa, H.J.C.; Bernardino, H.S. An interactive reference-point-based method for incorporating user preferences in multi-objective structural optimization problems. Appl. Soft Comput. 2024, 165, 112106. [Google Scholar] [CrossRef]
- Brest, J.; Maucec, M.S.; Boskovic, B. Single objective real-parameter optimization: Algorithm jSO. In Proceedings of the 2017 IEEE Congress on Evolutionary Computation (CEC), Donostia, Spain, 5–8 June 2017; IEEE: Piscataway, NJ, USA, 2017; pp. 1311–1318. [Google Scholar] [CrossRef]
- Wang, X.; Tang, L. An adaptive multi-population differential evolution algorithm for continuous multi-objective optimization. Inf. Sci. 2016, 348, 124–141. [Google Scholar] [CrossRef]
- Gong, W.; Cai, Z.; Liang, D. Adaptive ranking mutation operator based differential evolution for constrained optimization. IEEE Trans. Cybern. 2015, 45, 716–727. [Google Scholar] [CrossRef] [PubMed]
- Sun, J.; Li, Y. Multi-feature fusion network for road scene semantic segmentation. Comput. Electr. Eng. 2021, 92, 107155. [Google Scholar] [CrossRef]
- Wang, P.; Wang, D.; Zhang, X.; Li, X.; Peng, T.; Lu, H.; Tian, X. Numerical and experimental study on the maneuverability of an active propeller control-based wave glider. Appl. Ocean Res. 2020, 104, 102369. [Google Scholar] [CrossRef]
- Chen, X. Novel dual-population adaptive differential evolution algorithm for large-scale multi-fuel economic dispatch with valve-point effects. Energy 2020, 203, 117874. [Google Scholar] [CrossRef]
- Dong, Z.; Mao, S.; Perc, M.; Du, W.; Tang, Y. A distributed dynamic event-triggered algorithm with linear convergence rate for the economic dispatch problem. IEEE Trans. Netw. Sci. Eng. 2023, 10, 500–513. [Google Scholar] [CrossRef]
- Jodlbauer, H.; Strasser, S. Capacity-driven production planning. Comput. Ind. 2019, 113, 103126. [Google Scholar] [CrossRef]
- Mohamed, A.W.; Mohamed, A.K.; Elfeky, E.Z.; Saleh, M. Enhanced directed differential evolution algorithm for solving constrained engineering optimization problems. Int. J. Appl. Metaheuristic Comput. 2019, 10, 1–28. [Google Scholar] [CrossRef]
- Shen, Y.; Liang, Z.; Kang, H.; Sun, X.; Chen, Q. A modified jSO algorithm for solving constrained engineering problems. Symmetry 2020, 13, 63. [Google Scholar] [CrossRef]
- Lu, H.; Zhang, M.; Xu, X.; Li, Y.; Shen, H. Deep fuzzy hashing network for efficient image retrieval. IEEE Trans. Fuzzy Syst. 2020, 29, 166–176. [Google Scholar] [CrossRef]
- Peng, J.; Li, Y.; Kang, H.; Shen, Y.; Sun, X.; Chen, Q. Impact of population topology on particle swarm optimization and its variants: An information propagation perspective. Swarm Evol. Comput. 2022, 69, 100990. [Google Scholar] [CrossRef]
- Storn, R.; Price, K. Differential evolution–a simple and efficient heuristic for global optimization over continuous spaces. J. Glob. Optim. 1997, 11, 341–359. [Google Scholar] [CrossRef]
- Price, K.; Storn, R.M.; Lampinen, J.A. Differential Evolution: A Practical Approach to Global Optimization; Springer Science & Business Media: New York, NY, USA, 2006. [Google Scholar]
- Das, S.; Suganthan, P.N. Differential evolution: A survey of the state-of-the-art. IEEE Trans. Evol. Comput. 2010, 15, 4–31. [Google Scholar] [CrossRef]
- Aslantas, V.; Kurban, R. Fusion of multi-focus images using differential evolution algorithm. Expert Syst. Appl. 2010, 37, 8861–8870. [Google Scholar] [CrossRef]
- Segura, C.; Coello, C.A.C.; Hernández-Díaz, A.G. Improving the vector generation strategy of differential evolution for large-scale optimization. Inf. Sci. 2015, 323, 106–129. [Google Scholar] [CrossRef]
- Mallipeddi, R.; Lee, M. An evolving surrogate model-based differential evolution algorithm. Appl. Soft Comput. 2015, 34, 770–787. [Google Scholar] [CrossRef]
- Sun, X.; Wang, D.; Kang, H.; Shen, Y.; Chen, Q. A two-stage differential evolution algorithm with mutation strategy combination. Symmetry 2021, 13, 2163. [Google Scholar] [CrossRef]
- Zhu, L.; Ma, Y.; Bai, Y. A self-adaptive multi-population differential evolution algorithm. Nat. Comput. 2020, 19, 211–235. [Google Scholar] [CrossRef]
- Ma, Y.; Bai, Y. A multi-population differential evolution with best-random mutation strategy for large-scale global optimization. Appl. Intell. 2020, 50, 1510–1526. [Google Scholar] [CrossRef]
- Tanabe, R.; Fukunaga, A.S. Improving the search performance of SHADE using linear population size reduction. In Proceedings of the 2014 IEEE Congress on Evolutionary Computation (CEC), Beijing, China, 6–11 July 2014; IEEE: Piscataway, NJ, USA, 2014; pp. 1658–1665. [Google Scholar] [CrossRef]
- Sun, X.; Jiang, L.; Shen, Y.; Kang, H.; Chen, Q. Success history-based adaptive differential evolution using turning-based mutation. Mathematics 2020, 8, 1565. [Google Scholar] [CrossRef]
- Zhang, J.; Sanderson, A.C. JADE: Adaptive differential evolution with optional external archive. IEEE Trans. Evol. Comput. 2009, 13, 945–958. [Google Scholar] [CrossRef]
- Awad, N.H.; Ali, M.Z.; Suganthan, P.N. Ensemble sinusoidal differential covariance matrix adaptation with Euclidean neighborhood for solving CEC2017 benchmark problems. In Proceedings of the 2017 IEEE Congress on Evolutionary Computation (CEC), Donostia, Spain, 5–8 June 2017; IEEE: Piscataway, NJ, USA, 2017. [Google Scholar] [CrossRef]
- Tanabe, R.; Fukunaga, A. Success-history based parameter adaptation for differential evolution. In Proceedings of the 2013 IEEE Congress on Evolutionary Computation (CEC), Cancun, Mexico, 20–23 June 2013; IEEE: Piscataway, NJ, USA, 2013; pp. 71–78. [Google Scholar] [CrossRef]
- Kumar, A.; Misra, R.K.; Singh, D. Improving the local search capability of effective butterfly optimizer using covariance matrix adapted retreat phase. In Proceedings of the 2017 IEEE Congress on Evolutionary Computation (CEC), Donostia, Spain, 5–8 June 2017; IEEE: Piscataway, NJ, USA, 2017. [Google Scholar] [CrossRef]
- Biswas, S.; Saha, D.; De, S.; Cobb, A.D.; Das, A.; Jalaian, B.A. Improving differential evolution through Bayesian hyperparameter optimization. In Proceedings of the 2021 IEEE Congress on Evolutionary Computation (CEC), Kraków, Poland, 12–15 July 2021; IEEE: Piscataway, NJ, USA, 2021; pp. 832–840. [Google Scholar] [CrossRef]
- Li, Y.; Han, T.; Tang, S.; Huang, C.; Zhou, H.; Wang, Y. An improved differential evolution by hybridizing with estimation-of-distribution algorithm. Inf. Sci. 2023, 619, 439–456. [Google Scholar] [CrossRef]
- Li, Y.; Zhang, W.; Li, X.; Ma, H. APSM-jSO: A novel jSO variant with an adaptive parameter selection mechanism and a new external archive updating mechanism. Swarm Evol. Comput. 2023, 78, 101283. [Google Scholar] [CrossRef]
- Stanovov, V.; Akhmedova, S.; Semenkin, E. LSHADE algorithm with rank-based selective pressure strategy for solving CEC 2017 Benchmark problems. In Proceedings of the 2018 IEEE Congress on Evolutionary Computation (CEC), Rio de Janeiro, Brazil, 8–13 July 2018; IEEE: Piscataway, NJ, USA, 2018. [Google Scholar] [CrossRef]
- Xia, X.; Tong, L.; Zhang, Y.; Xu, X.; Yang, H.; Gui, L.; Li, Y.; Li, K. NFDDE: A novelty-hybrid-fitness driving differential evolution algorithm. Inf. Sci. 2021, 579, 33–54. [Google Scholar] [CrossRef]
- Stanovov, V.; Akhmedova, S.; Semenkin, E. NL-SHADE-RSP algorithm with adaptive archive and selective pressure for CEC 2021 numerical optimization. In Proceedings of the 2021 IEEE Congress on Evolutionary Computation (CEC), Kraków, Poland, 12–15 July 2021; IEEE: Piscataway, NJ, USA, 2021; pp. 809–816. [Google Scholar] [CrossRef]
- Elsayed, S.; Harnza, N.; Sarker, R. Testing united multi-operator evolutionary algorithms-II on single objective optimization problems. In Proceedings of the 2016 IEEE Congress on Evolutionary Computation (CEC), Vancouver, BC, Canada, 24–29 July 2016; IEEE: Piscataway, NJ, USA, 2016; pp. 2966–2973. [Google Scholar] [CrossRef]
- Mühlenbein, H.; Paaß, G. From recombination of genes to the estimation of distributions I. Binary parameters. In Parallel Problem Solving from Nature; Springer: Berlin, Germany, 1996; pp. 178–187. [Google Scholar] [CrossRef]
- Larrañaga, P.; Lozano, J.A. Estimation of Distribution Algorithms: A New Tool for Evolutionary Computation; Kluwer: Boston, MA, USA, 2002. [Google Scholar] [CrossRef]
- Pelikan, M.; Goldberg, D.E.; Lobo, F. A survey of optimization by building and using probabilistic models. Comput. Optim. Appl. 2002, 21, 5–20. [Google Scholar] [CrossRef]
- Zhou, B.; Huang, Y. An adaptive archive differential evolution with non-linear population size reduction and selective pressure. Inf. Sci. 2024, 682, 121273. [Google Scholar] [CrossRef]
- Zhou, B.-H.; Hu, L.-M.; Zhong, Z.-Y. A hybrid differential evolution algorithm with estimation of distribution algorithm for reentrant hybrid flow shop scheduling problem. Neural Comput. Appl. 2018, 30, 193–209. [Google Scholar] [CrossRef]
- Du, K.-L.; Swamy, M.N.S. Estimation of distribution algorithms. Search and Optimization by Metaheuristics: Techniques and Algorithms Inspired by Nature; Springer International Publishing: Cham, Switzerland, 2016; pp. 105–119. [Google Scholar] [CrossRef]
- Mohamed, A.W.; Hadi, A.A.; Mohamed, A.K.; Awad, N.H. Evaluating the performance of adaptive gaining-sharing knowledge based algorithm on CEC2020 benchmark problems. In Proceedings of the 2020 IEEE Congress on Evolutionary Computation (CEC), Glasgow, UK, 19–24 July 2020; IEEE: Piscataway, NJ, USA, 2020; pp. 1–8. [Google Scholar] [CrossRef]
- Ren, Z.; Liang, Y.; Wang, L.; Yao, X. Anisotropic adaptive variance scaling for Gaussian estimation of distribution algorithm. Knowl. Based Syst. 2018, 146, 142–151. [Google Scholar] [CrossRef]
- Awad, N.H.; Ali, M.Z.; Liang, J.J.; Qu, B.Y.; Suganthan, P.N. Problem Definitions and Evaluation Criteria for the CEC 2017 Special Session and Competition on Single Objective Bound Constrained Real-Parameter Numerical Optimization; Technical Report; Nanyang Technological University: Singapore, 2016. [Google Scholar]
- Li, Y.; Han, T.; Zhou, H.; Zhao, X. An adaptive L-SHADE algorithm and its application in UAV swarm resource configuration problem. Inf. Sci. 2022, 606, 350–367. [Google Scholar] [CrossRef]
- Yi, W.; Chen, Y.; Pei, Z.; Lu, J. Adaptive differential evolution with ensembling operators for continuous optimization problems. Swarm Evol. Comput. 2022, 69, 100994. [Google Scholar] [CrossRef]
- Pluhacek, M.; Viktorin, A.; Kadavy, T.; Kazikova, A. On the common population diversity measures in metaheuristics and their limitations. In Proceedings of the 2021 IEEE Symposium Series on Computational Intelligence (SSCI), Orlando, FL, USA, 7–10 December 2021; IEEE: Piscataway, NJ, USA, 2021; pp. 1–7. [Google Scholar] [CrossRef]





















| Algorithm | Year Proposed | Description |
|---|---|---|
| DE | 1997 | Standard Differential Evolution (DE) is an evolutionary algorithm for global optimization, progressively improving candidate solutions in the population through differential mutation, crossover, and selection operations to find optimal solutions for complex problems [14]. |
| L-SHADE | 2014 | This algorithm is an improvement upon SHADE [27], adjusting population size through Linear Population Size Reduction (LPSR) during evolution to optimize population scale [23]. |
| L-SHADE-Epsin | 2017 | Enhanced version of L-SHADE integrating performance-adaptive sine methods and covariance matrix learning in crossover operators [26]. |
| EBOwithCMAR | 2017 | Covariance Matrix Adaptation with Retrospective (CMAR) improves local search capabilities of Evolutionary Bridge Optimization (EBO) by generating new solutions using the covariance matrix. This variant is referred to as EBOwithCMAR [28]. |
| MadDE | 2021 | A variant of LSHADE that makes use of several mutation techniques to take advantage of different adaptation strategies [29]. |
| IDE-EDA | 2023 | Algorithm combining Differential Evolution Algorithm (LSHADE-Rsp) with Estimation of Distribution Algorithm (EDA) [30]. |
| APSM-jSO | 2023 | New variant of jSO proposed by effective modifications, incorporating strategies from LSHADE-RSP [31]. |
| Abbreviation | Full Name | Description |
|---|---|---|
| DE | Differential Evolution | A standard evolutionary algorithm for global optimization, improving candidate solutions using mutation, crossover, and selection. |
| SHADE | Success-History Based Adaptive Differential Evolution | A variant of differential evolution that adapts the scaling factor and crossover rate based on the success history of previous generations. It improves the balance between exploration and exploitation during optimization. |
| L-SHADE | Linear Population Size Reduction SHADE | An improvement of SHADE that adjusts population size dynamically using LPSR during optimization. |
| L-SHADE-Epsin | Enhanced Performance SHADE with Covariance Matrix | A version of L-SHADE integrating adaptive sine methods and covariance matrix learning for crossover operations. |
| EBOwithCMAR | Evolutionary Bridge Optimization with Covariance Matrix Adaptation and Retrospective | Combines covariance matrix learning with EBO to enhance local search capabilities. |
| MadDE | Multi-Adaptive Differential Evolution | A variant of L-SHADE that applies multiple adaptation techniques for improved optimization. |
| IDE-EDA | Improved Differential Evolution with Estimation of Distribution Algorithm | Combines L-SHADE with EDA to generate high-quality solutions in high-dimensional spaces. |
| APSM-jSO | Adaptive Parameter Selection Mechanism-jSO | A jSO variant integrating L-SHADE-RSP strategies for effective parameter selection. |
| EDA | Estimation of Distribution Algorithm | A population-based optimization algorithm that models the distribution of the best candidate solutions and uses it to generate new solutions. It integrates probabilistic models to guide the search process. |
| Strategy | NLAPSMjSO-EDA | NLAPSM-jSO | APSMjSO-EDA | APSM-jSO |
|---|---|---|---|---|
| NL | Yes | Yes | NO | NO |
| EDA | Yes | NO | Yes | NO |
| Algorithm | Parameter Setting |
|---|---|
| NLAPSMjSO-EDA | |
| APSM-jSO [31] | , |
| IDE-EDA [30] | |
| LSHADE-Epsin [26] | , , and |
| MadDE [29] | and |
| LSHADE [27] | , , and |
| EBOwithCMAR [28] | and 300 for the , , and , respectively. and as in |
| APSM-jSO | NLAPSMjSO-EDA | IDE-EDA | LSHADE-Epsin | MadDE | LSHADE | EBOwithCMAR | |
|---|---|---|---|---|---|---|---|
| F1 | 0.0000 × 100 (0.0000 × 100) | 0.0000 × 100 (0.0000 × 100) | 0.0000 × 100 (0.0000 × 100) | 0.0000 × 100 (0.0000 × 100) | 0.0000 × 100 (0.0000 × 100) | 0.0000 × 100 (0.0000 × 100) | 0.0000 × 100 (0.0000 × 100) |
| F3 | 0.0000 × 100 (0.0000 × 100) | 0.0000 × 100 (0.0000 × 100) | 0.0000 × 100 (0.0000 × 100) | 0.0000 × 100 (0.0000 × 100) | 0.0000 × 100 (0.0000 × 100) | 0.0000 × 100 (0.0000 × 100) | 0.0000 × 100 (0.0000 × 100) |
| F4 | 0.0000 × 100 (0.0000 × 100) | 0.0000 × 100 (0.0000 × 100) | 0.0000 × 100 (0.0000 × 100) | 0.0000 × 100 (0.0000 × 100) | 0.0000 × 100 (0.0000 × 100) | 0.0000 × 100 (0.0000 × 100) | 0.0000 × 100 (0.0000 × 100) |
| F5 | 1.4597 × 100 (7.7508 × 10−1) | 9.7587 × 10−1 (6.1302 × 10−1) | 9.7593 × 10−1 (7.8322 × 10−1) | 1.9147 × 100 (8.6266 × 10−1) | 3.8125 × 100 (1.0521 × 100) | 2.5183 × 100 (8.5222 × 10−1) | 0.0000 × 100 (0.0000 × 100) |
| F6 | 0.0000 × 100 (0.0000 × 100) | 0.0000 × 100 (0.0000 × 100) | 0.0000 × 100 (0.0000 × 100) | 0.0000 × 100 (0.0000 × 100) | 0.0000 × 100 (0.0000 × 100) | 0.0000 × 100 (0.0000 × 100) | 1.9509 × 10−2 (1.3932 × 10−1) |
| F7 | 1.1551 × 101 (5.2623 × 10−1) | 1.1493 × 101 (4.2897 × 10−1) | 1.1612 × 101 (5.4942 × 10−1) | 1.1949 × 101 (5.7307 × 10−1) | 1.4419 × 101 (1.2423 × 100) | 1.2196 × 101 (8.1454 × 10−1) | 0.0000 × 100 (0.0000 × 100) |
| F8 | 1.5095 × 100 (6.4280 × 10−1) | 1.2683 × 100 (7.4656 × 10−1) | 1.1511 × 100 (7.5442 × 10−1) | 1.8566 × 100 (7.6864 × 10−1) | 5.0000 × 100 (1.3408 × 100) | 2.4401 × 100 (3.9810 × 100) | 1.0589 × 101 (2.0689 × 10−1) |
| F9 | 0.0000 × 100 (0.0000 × 100) | 0.0000 × 100 (0.0000 × 100) | 0.0000 × 100 (0.0000 × 100) | 0.0000 × 100 (0.0000 × 100) | 0.0000 × 100 (0.0000 × 100) | 0.0000 × 100 (0.0000 × 100) | 0.0000 × 100 (0.0000 × 100) |
| F10 | 1.0693 × 101 (2.4166 × 102) | 1.6257 × 101 (4.0494 × 102) | 1.1320 × 101 (2.3851 × 102) | 3.8013 × 101 (5.2839 × 102) | 1.0404 × 102 (6.7286 × 102) | 2.0402 × 101 (3.3657 × 102) | 0.0000 × 100 (0.0000 × 100) |
| F11 | 6.3820 × 10−3 (3.1235 × 10−2) | 0.0000 × 100 (0.0000 × 100) | 0.0000 × 100 (0.0000 × 100) | 0.0000 × 100 (0.0000 × 100) | 1.4227 × 100 (6.6210 × 10−1) | 2.7433 × 10−1 (5.5885 × 10−1) | 3.9587 × 101 (5.5759 × 102) |
| F12 | 7.3944 × 100 (2.8401 × 101) | 2.7141 × 100 (1.6589 × 101) | 2.7355 × 100 (1.6742 × 101) | 1.1495 × 102 (5.5348 × 101) | 2.1831 × 101 (4.5654 × 101) | 2.7060 × 101 (5.0675 × 101) | 0.0000 × 100 (0.0000 × 100) |
| F13 | 4.3752 × 100 (1.6480 × 100) | 3.6244 × 100 (2.2233 × 100) | 2.8547 × 100 (2.5608 × 100) | 3.9926 × 100 (2.6160 × 100) | 2.9518 × 100 (2.3148 × 100) | 3.8560 × 100 (2.0549 × 100) | 1.0665 × 102 (6.1680 × 101) |
| F14 | 1.9514 × 10−2 (1.3932 × 10−1) | 0.0000 × 100 (0.0000 × 100) | 1.9509 × 10−2 (1.3932 × 10−1) | 1.1705 × 10−1 (3.8002 × 10−1) | 5.8937 × 10−1 (5.3219 × 10−1) | 3.4572 × 10−1 (4.8875 × 10−1) | 2.8540 × 100 (2.8306 × 100) |
| F15 | 3.1266 × 10−1 (2.1628 × 10−1) | 3.4376 × 10−1 (1.9172 × 10−1) | 2.7643 × 10−1 (2.2674 × 10−1) | 2.7473 × 10−1 (2.1863 × 10−1) | 2.8470 × 10−1 (2.2042 × 10−1) | 1.5156 × 10−1 (2.0560 × 10−1) | 5.6592 × 10−3 (1.1130 × 10−2) |
| F16 | 6.4498 × 10−1 (2.4729 × 10−1) | 7.6056 × 10−1 (2.6579 × 10−1) | 6.5754 × 10−1 (3.2556 × 10−1) | 6.5355 × 10−1 (2.8097 × 10−1) | 4.9953 × 10−1 (1.8805 × 10−1) | 3.3955 × 10−1 (1.6896 × 10−1) | 1.9364 × 10−1 (1.9585 × 10−1) |
| F17 | 5.7917 × 10−1 (3.8260 × 10−1) | 5.0180 × 10−1 (3.0953 × 10−1) | 8.3106 × 10−1 (4.5791 × 10−1) | 6.2966 × 10−1 (2.7969 × 100) | 2.7211 × 10−1 (2.5102 × 10−1) | 1.3142 × 10−1 (1.5680 × 10−1) | 3.9752 × 10−1 (1.7763 × 10−1) |
| F18 | 2.2732 × 10−1 (2.0887 × 10−1) | 3.7546 × 10−1 (1.6474 × 10−1) | 3.4962 × 10−1 (1.8379 × 10−1) | 2.6770 × 100 (6.4939 × 100) | 2.5931 × 10−1 (2.2275 × 10−1) | 1.6608 × 10−1 (1.8225 × 10−1) | 1.5317 × 10−1 (1.6495 × 10−1) |
| F19 | 9.5610 × 10−3 (1.0595 × 10−2) | 1.6679 × 10−2 (1.8402 × 10−2) | 9.9120 × 10−3 (1.0569 × 10−2) | 1.9230 × 10−2 (2.8908 × 10−2) | 2.8768 × 10−2 (1.0627 × 10−2) | 7.7280 × 10−3 (1.0048 × 10−2) | 8.0265 × 100 (2.7653 × 100) |
| F20 | 3.1217 × 10−1 (1.3961 × 10−1) | 3.6726 × 10−1 (1.6168 × 10−1) | 4.2235 × 10−1 (1.6309 × 10−1) | 2.9993 × 10−1 (2.2477 × 10−1) | 0.0000 × 100 (0.0000 × 100) | 0.0000 × 100 (0.0000 × 100) | 2.1317 × 10−2 (2.3376 × 10−2) |
| F21 | 1.4033 × 102 (5.0551 × 101) | 1.1623 × 102 (3.7646 × 101) | 1.4029 × 102 (5.0664 × 101) | 1.5023 × 102 (5.1738 × 101) | 1.0181 × 102 (1.4021 × 101) | 1.5731 × 102 (5.1566 × 101) | 1.4691 × 10−1 (1.5737 × 10−1) |
| F22 | 1.0000 × 102 (0.0000 × 100) | 1.0000 × 102 (0.0000 × 100) | 1.0000 × 102 (0.0000 × 100) | 1.0003 × 102 (9.7577 × 10−2) | 8.8925 × 101 (2.2536 × 101) | 1.0001 × 102 (4.0631 × 10−2) | 1.2201 × 102 (4.2028 × 101) |
| F23 | 3.0054 × 102 (1.1887 × 100) | 3.0023 × 102 (7.8683 × 10−1) | 3.0057 × 102 (1.1770 × 100) | 3.0187 × 102 (1.4831 × 100) | 2.8144 × 102 (8.2934 × 101) | 3.0312 × 102 (1.6646 × 100) | 1.0000 × 102 (8.9223 × 10−4) |
| F24 | 2.7513 × 102 (9.8121 × 101) | 2.6131 × 102 (1.0516 × 102) | 2.8902 × 102 (8.8373 × 101) | 3.1577 × 102 (5.4499 × 101) | 9.8039 × 101 (1.4003 × 101) | 2.9962 × 102 (7.9080 × 101) | 2.9486 × 102 (4.2135 × 101) |
| F25 | 4.0513 × 102 (1.6791 × 101) | 4.0864 × 102 (1.9445 × 101) | 4.1486 × 102 (2.2172 × 101) | 4.2212 × 102 (2.3025 × 101) | 3.9775 × 102 (4.1010 × 10−2) | 4.1410 × 102 (2.2018 × 101) | 1.5774 × 102 (9.7721 × 101) |
| F26 | 3.0000 × 102 (0.0000 × 100) | 3.0000 × 102 (0.0000 × 100) | 3.0000 × 102 (0.0000 × 100) | 3.0000 × 102 (0.0000 × 100) | 1.5490 × 102 (1.4875 × 102) | 3.0000 × 102 (0.0000 × 100) | 4.1593 × 102 (2.2244 × 101) |
| F27 | 3.8948 × 102 (1.3915 × 10−1) | 3.8950 × 102 (1.0046 × 10−1) | 3.8945 × 102 (1.7810 × 10−1) | 3.8913 × 102 (1.3836 × 100) | 3.8853 × 102 (7.3392 × 10−1) | 3.8947 × 102 (1.4103 × 100) | 2.8431 × 102 (3.6729 × 101) |
| F28 | 3.8284 × 102 (1.3621 × 102) | 3.0611 × 102 (4.3664 × 101) | 3.0000 × 102 (0.0000 × 100) | 3.8323 × 102 (1.2191 × 102) | 2.8235 × 102 (7.1291 × 101) | 3.2947 × 102 (9.0380 × 101) | 3.9124 × 102 (2.2515 × 100) |
| F29 | 2.3401 × 102 (2.0036 × 100) | 2.3337 × 102 (2.4295 × 100) | 2.3444 × 102 (3.7422 × 100) | 2.2863 × 102 (2.0165 × 100) | 2.4915 × 102 (6.2155 × 100) | 2.3333 × 102 (2.4978 × 100) | 3.2618 × 102 (8.3744 × 101) |
| F30 | 3.9547 × 102 (6.7405 × 100) | 3.9452 × 102 (4.4939 × 10−2) | 3.9451 × 102 (2.5976 × 10−2) | 1.1928 × 104 (6.2866 × 104) | 9.5139 × 102 (1.3874 × 103) | 1.6422 × 104 (1.1443 × 104) | 3.9543 × 102 (5.9055 × 100) |
| +/=/− | 9+/7=/13− | - | 10+/8=/11− | 5+/8=/16− | 14+/5=/10− | 8+/6=/15− | 14+/4=/11− |
| APSM-jSO | NLAPSMjSO-EDA | IDE-EDA | LSHADE-Epsin | MadDE | LSHADE | EBOwithCMAR | |
|---|---|---|---|---|---|---|---|
| F1 | 0.0000 × 100 (0.0000 × 100) | 0.0000 × 100 (0.0000 × 100) | 0.0000 × 100 (0.0000 × 100) | 0.0000 × 100 (0.0000 × 100) | 2.0085 × 103 (4.4686 × 102) | 0.0000 × 100 (0.0000 × 100) | 0.0000 × 100 (0.0000 × 100) |
| F3 | 0.0000 × 100 (0.0000 × 100) | 0.0000 × 100 (0.0000 × 100) | 0.0000 × 100 (0.0000 × 100) | 0.0000 × 100 (0.0000 × 100) | 3.0987 × 104 (1.0225 × 104) | 0.0000 × 100 (0.0000 × 100) | 0.0000 × 100 (0.0000 × 100) |
| F4 | 5.8562 × 101 (0.0000 × 100) | 5.8670 × 101 (7.7797 × 10−1) | 5.8562 × 101 (0.0000 × 100) | 3.1183 × 101 (3.8292 × 100) | 8.9962 × 101 (1.4548 × 101) | 5.8562 × 101 (2.6662 × 10−14) | 5.8888 × 101 (1.3203 × 100) |
| F5 | 6.7565 × 100 (1.8352 × 100) | 5.4804 × 100 (1.3898 × 100) | 7.7081 × 100 (2.2610 × 100) | 1.1975 × 101 (2.4555 × 100) | 7.8469 × 101 (9.6110 × 100) | 6.1353 × 100 (1.4639 × 100) | 2.6848 × 100 (1.5856 × 100) |
| F6 | 0.0000 × 100 (1.0000 × 10−6) | 0.0000 × 100 (0.0000 × 100) | 0.0000 × 100 (0.0000 × 100) | 4.7399 × 10−7 (7.4314 × ) | 1.0989 × 10−1 (3.4848 × 10−2) | 2.6838 × 10−9 (1.9166 × 10−8) | 0.0000 × 100 (0.0000 × 100) |
| F7 | 3.7697 × 101 (1.2529 × 100) | 3.6192 × 101 (1.0408 × 100) | 3.8789 × 101 (1.9953 × 100) | 4.2446 × 101 (2.5291 × 100) | 1.0720 × 102 (1.2097 × 101) | 3.7334 × 101 (1.6946 × 100) | 3.3490 × 101 (8.8282 × 10−1) |
| F8 | 7.3926 × 100 (1.5676 × 100) | 5.8561 × 100 (1.5547 × 100) | 7.4528 × 100 (2.2873 × 100) | 1.3141 × 101 (1.9587 × 100) | 7.2186 × 101 (8.4910 × 100) | 6.9884 × 100 (1.4808 × 100) | 2.8330 × 100 (1.4515 × 100) |
| F9 | 0.0000 × 100 (0.0000 × 100) | 0.0000 × 100 (0.0000 × 100) | 0.0000 × 100 (0.0000 × 100) | 0.0000 × 100 (0.0000 × 100) | 2.1760 × 101 (1.4946 × 101) | 0.0000 × 100 (0.0000 × 100) | 0.0000 × 100 (0.0000 × 100) |
| F10 | 1.5155 × 103 (2.3436 × 102) | 1.4653 × 103 (2.4785 × 102) | 1.8065 × 103 (2.8564 × 102) | 1.3996 × 103 (2.4664 × 102) | 2.8562 × 103 (3.3359 × 102) | 1.4307 × 103 (2.2902 × 102) | 1.4024 × 103 (2.4578 × 102) |
| F11 | 1.1380 × 101 (1.8879 × 101) | 2.5650 × 100 (8.5401 × 100) | 3.0654 × 100 (8.3613 × 100) | 1.3413 × 101 (1.8733 × 101) | 7.3983 × 101 (1.6706 × 101) | 2.4105 × 101 (2.7314 × 101) | 6.5152 × 100 (1.4094 × 101) |
| F12 | 1.9993 × 102 (1.4808 × 102) | 2.6371 × 102 (1.5222 × 102) | 1.6374 × 102 (1.1883 × 102) | 2.6755 × 102 (1.4290 × 102) | 3.4694 × 105 (1.3673 × 105) | 1.0163 × 103 (3.7359 × 102) | 4.0322 × 102 (2.3769 × 102) |
| F13 | 1.7566 × 101 (4.7196 × 100) | 1.5568 × 101 (4.3536 × 100) | 1.5186 × 101 (6.0672 × 100) | 1.5193 × 101 (6.6141 × 100) | 1.3548 × 104 (4.2719 × 103) | 1.4493 × 101 (5.8338 × 100) | 1.6450 × 101 (5.0096 × 100) |
| F14 | 2.0727 × 101 (3.0563 × 100) | 2.0731 × 101 (7.0364 × 10−1) | 2.1231 × 101 (1.0372 × 100) | 1.9712 × 101 (5.1714 × 100) | 8.4834 × 101 (1.7561 × 101) | 2.1051 × 101 (3.9133 × 100) | 2.2554 × 101 (2.5901 × 100) |
| F15 | 7.8145 × 10−1 (5.5639 × 10−1) | 8.4824 × 10−1 (4.9491 × 10−1) | 7.7364 × 10−1 (5.4136 × 10−1) | 2.2930 × 100 (1.5081 × 100) | 3.0360 × 102 (2.2397 × 102) | 3.2227 × 100 (1.8159 × 100) | 3.8908 × (2.1510 × 100) |
| F16 | 3.9764 (3.1365 ) | 2.6545 (3.4830 ) | 1.9145 (1.9085 ) | 1.3066 (2.9480 ) | 4.6873 (1.3235 ) | 6.1516 (5.9672 ) | 5.4572 (6.1076 ) |
| F17 | 3.4999 (6.5204 ) | 3.0752 (6.6701 ) | 3.4884 (8.0769 ) | 3.2269 (5.2834 ) | 7.4356 (1.4805 ) | 3.3008 (4.9354 ) | 2.9453 (6.8529 ) |
| F18 | 1.9502 (4.8035 ) | 2.0635 (2.7044 ) | 2.0922 (4.4771 ) | 2.0828 (5.5874 ) | 6.3282 (2.8611 ) | 2.2093 (1.3765 ) | 2.2729 (1.5512 ) |
| F19 | 3.4884 (9.7255 ) | 3.9742 (1.0955 ) | 3.2951 (7.5657 ) | 5.0388 (1.4817 ) | 2.3781 (3.3868 ) | 5.1640 (1.6073 ) | 8.4408 (2.2095 ) |
| F20 | 3.2112 (6.0540 ) | 3.1208 (4.9836 ) | 3.1443 (7.5601 ) | 3.4842 (6.8990 ) | 9.9491 (4.9076 ) | 3.1880 (5.3892 ) | 3.4757 (5.9441 ) |
| F21 | 2.0728 (1.9872 ) | 2.0513 (1.5871 ) | 2.0689 (2.1918 ) | 2.1208 (2.3964 ) | 1.9316 (6.8232 ) | 2.0732 (1.5645 ) | 2.0103 (1.4510 ) |
| F22 | 1.0000 (0.0000 ) | 1.0000 (0.0000 ) | 1.0000 (0.0000 ) | 1.0000 (1.7244 ) | 1.0000 (1.7148 ) | 1.0000 (1.4352 ) | 1.0000 (1.4352 ) |
| F23 | 3.4933 (3.1823 ) | 3.4619 (2.8766 ) | 3.5047 (3.6723 ) | 3.5506 (4.0714 ) | 4.1390 (1.0748 ) | 3.5006 (2.7872 ) | 3.5098 (3.3913 ) |
| F24 | 4.2477 (1.7595 ) | 4.2258 (1.7986 ) | 4.2680 (2.3096 ) | 4.2852 (2.4915 ) | 4.8637 (9.3561 ) | 4.2538 (1.6907 ) | 4.0770 (7.0254 ) |
| F25 | 3.8670 (7.8140 ) | 3.8670 (6.5260 ) | 3.8670 (4.7190 ) | 3.8664 (7.1702 ) | 3.8674 (8.3036 ) | 3.8674 (2.7818 ) | 3.8649 (8.4923 ) |
| F26 | 9.0020 (3.4582 ) | 8.9164 (2.5635 ) | 8.9204 (3.4491 ) | 9.3483 (5.2234 ) | 2.6863 (4.6863 ) | 9.3156 (4.1785 ) | 6.0244 (3.0953 ) |
| F27 | 4.9830 (6.4090 ) | 4.9554 (7.9651 ) | 4.9628 (7.5166 ) | 5.0308 (6.0626 ) | 5.1375 (3.6290 ) | 5.0184 (5.4446 ) | 5.0323 (4.2700 ) |
| F28 | 3.2193 (4.4885 ) | 3.0670 (2.7085 ) | 3.1522 (3.8592 ) | 3.1448 (3.7607 ) | 3.9797 (3.5451 ) | 3.3513 (5.2525 ) | 3.1278 (3.5396 ) |
| F29 | 4.3604 (1.2925 ) | 4.3337 (8.1997 ) | 4.4741 (2.0588 ) | 4.3594 (8.4600 ) | 5.3511 (2.2883 ) | 4.3130 (6.8252 ) | 4.3460 (9.8897 ) |
| F30 | 1.9700 × 103 (2.0442 × 101) | 1.9693 × 103 (9.0305 × 100) | 1.9681 × 103 (9.4167 × 100) | 1.9712 × 103 (3.5227 × 101) | 1.2249 × 104 (3.5520 × 103) | 2.0009 × 103 (7.4845 × 101) | 1.9925 × 103 (4.7484 × 101) |
| +/=/− | 6+/4=/19− | - | 7+/4=/18− | 6+/3=/20− | 2+/0=/27− | 5+/3=/21− | 9+/5=/15− |
| APSM-jSO | NLAPSMjSO-EDA | IDE-EDA | LSHADE-Epsin | MadDE | LSHADE | EBOwithCMAR | |
|---|---|---|---|---|---|---|---|
| F1 | |||||||
| F3 | |||||||
| F4 | |||||||
| F5 | |||||||
| F6 | |||||||
| F7 | |||||||
| F8 | |||||||
| F9 | |||||||
| F10 | |||||||
| F11 | |||||||
| F12 | |||||||
| F13 | |||||||
| F14 | |||||||
| F15 | () | () | () | () | () | () | () |
| F16 | () | () | () | () | () | () | () |
| F17 | () | () | () | () | () | () | () |
| F18 | () | () | () | () | () | () | () |
| F19 | () | () | () | () | () | () | () |
| F20 | () | () | () | () | () | () | () |
| F21 | () | () | () | () | () | () | () |
| F22 | () | () | () | () | () | () | () |
| F23 | 4.2843 × 102 (4.7068 × 100) | 4.2158 × 102 (6.6591 × 100) | 4.3148 × 102 (5.9473 × 100) | 4.3881 × 102 (7.3573 × 100) | 7.0828 × 102 (2.0503 × 101) | 4.2923 × 102 (4.2074 × 100) | 4.3655 × 102 (5.8378 × 100) |
| F24 | 5.0487 × 102 (3.6790 × 100) | 5.0099 × 102 (3.2923 × 100) | 5.0558 × 102 (3.7585 × 100) | 5.1379 × 102 (6.5528 × 100) | 7.6715 × 102 (1.7173 × 101) | 5.0654 × 102 (2.2771 × 100) | 5.0755 × 102 (2.3982 × 100) |
| F25 | 4.8093 × 102 (2.7535 × 100) | 4.8169 × 102 (5.9462 × 100) | 4.8215 × 102 (7.7789 × 100) | 4.8086 × 102 (2.7551 × 100) | 6.0809 × 102 (1.1948 × 100) | 4.8382 × 102 (1.3545 × 101) | 4.8507 × 102 (1.5280 × 101) |
| F26 | 1.0987 × 103 (3.7166 × 101) | 1.0511 × 103 (5.9213 × 101) | 1.0967 × 103 (5.3759 × 101) | 1.2036 × 103 (1.0068 × 102) | 3.0645 × 102 (1.3578 × 100) | 1.1516 × 103 (5.6520 × 101) | 6.1662 × 102 (3.8385 × 102) |
| F27 | 5.0853 × 102 (1.0166 × 101) | 5.0736 × 102 (7.7208 × 100) | 5.0735 × 102 (8.6624 × 100) | 5.2841 × 102 (1.4494 × 101) | 7.1222 × 102 (2.4731 × 101) | 5.3132 × 102 (1.7523 × 101) | 5.2366 × 102 (9.3748 × 100) |
| F28 | 4.6268 × 102 (1.3263 × 101) | 4.5981 × 102 (6.8398 × 100) | 4.5885 × 102 (0.0000 × 100) | 4.5948 × 102 (1.1709 × 101) | 5.5467 × 102 (8.6326 × 100) | 4.7576 × 102 (2.3184 × 101) | 4.6385 × 102 (1.4677 × 101) |
| F29 | 3.6545 × 102 (1.0769 × 101) | 3.5537 × 102 (1.1602 × 101) | 3.8181 × 102 (2.0988 × 101) | 3.5226 × 102 (9.7004 × 100) | 1.1263 × 103 (1.1904 × 102) | 3.5243 × 102 (1.0687 × 101) | 3.5965 × 102 (1.9821 × 101) |
| F30 | 6.1178 × 105 (3.8188 × 104) | 5.8287 × 105 (1.4549 × 104) | 5.8919 × 105 (2.3478 × 104) | 6.6199 × 105 (8.5436 × 104) | 4.0079 × 106 (6.3440 × 105) | 6.7276 × 105 (7.3600 × 104) | 6.2112 × 105 (3.9548 × 104) |
| +/=/− | 7+/2=/20− | - | 8+/2=/19− | 10+/2=/17− | 2+/0=/27− | 2+/2=/25− | 6+/1=/22− |
| APSM-jSO | NLAPSMjSO-EDA | IDE-EDA | LSHADE-Epsin | MadDE | LSHADE | EBOwithCMAR | |
|---|---|---|---|---|---|---|---|
| F1 | 0.0000 × 100 (0.0000 × 100) | 0.0000 × 100 (0.0000 × 100) | 0.0000 × 100 (0.0000 × 100) | 0.0000 × 100 (0.0000 × 100) | 2.1054 × 109 (2.6158 × 108) | 0.0000 × 100 (0.0000 × 100) | 1.1936 × 10−8 (2.1982 × 10−8) |
| F3 | 0.0000 × 100 (0.0000 × 100) | 0.0000 × 100 (0.0000 × 100) | 5.0000 × 10−6 (7.0000 × 10−6) | 0.0000 × 100 (0.0000 × 100) | 3.5902 × 105 (2.1660 × 104) | 1.0381 × 10−6 (1.0381 × 10−6) | 2.0227 × 10−5 (8.3569 × 10−6) |
| F4 | 1.9494 × 102 (1.7830 × 101) | 1.9035 × 102 (3.0388 × 101) | 1.8616 × 102 (3.0133 × 101) | 1.9907 × 102 (7.9237 × 100) | 8.4051 × 102 (4.2385 × 101) | 1.9317 × 102 (1.9335 × 101) | 1.8333 × 102 (5.4423 × 101) |
| F5 | 4.1726 × 101 (4.9713 × 100) | 3.1067 × 101 (4.0847 × 100) | 5.1883 × 101 (1.1504 × 101) | 5.4717 × 101 (6.8995 × 100) | 1.0468 × 103 (2.8217 × 101) | 3.9267 × 101 (3.6770 × 100) | 2.8893 × 101 (4.8578 × 100) |
| F6 | 2.6100 × 10−4 (6.7000 × 10−4) | 7.0000 × 10−4 (8.1500 × 10−4) | 2.7000 × 10−5 (1.4000 × 10−5) | 5.7405 × 10−5 (1.5336 × 10−5) | 2.5410 × 101 (2.8788 × 100) | 6.8190 × 10−3 (4.8034 × 10−3) | 1.5502 × 10−5 (6.7106 × 10−6) |
| F7 | 1.4426 × 102 (6.1990 × 100) | 1.2605 × 102 (3.4714 × 100) | 1.6295 × 102 (1.0431 × 101) | 1.6215 × 102 (5.6573 × 100) | 1.1711 × 103 (3.8832 × 101) | 1.3909 × 102 (5.1328 × 100) | 1.2155 × 102 (3.7098 × 100) |
| F8 | 4.2962 × 101 (5.0001 × 100) | 3.1879 × 101 (3.8034 × 100) | 5.2367 × 101 (1.1561 × 101) | 5.5538 × 101 (1.1238 × 101) | 1.0323 × 103 (2.7414 × 101) | 3.7470 × 101 (5.6760 × 100) | 3.0122 × 101 (5.5578 × 100) |
| F9 | 1.2419 × 10−2 (6.5510 × 10−2) | 3.1598 × 10−2 (5.3188 × 10−2) | 1.0287 × 10−1 (1.7963 × 10−1) | 0.0000 × 100 (0.0000 × 100) | 4.4959 × 104 (2.9529 × 103) | 5.0594 × 10−1 (4.5005 × 10−1) | 0.0000 × 100 (0.0000 × 100) |
| F10 | 9.9772 × 103 (5.3900 × 102) | 8.6097 × 103 (5.0696 × 102) | 1.1573 × 104 (6.1048 × 102) | 1.0305 × 104 (4.8317 × 102) | 2.4716 × 104 (5.4244 × 102) | 1.0230 × 104 (6.4982 × 102) | 9.8544 × 103 (1.7422 × 103) |
| F11 | 1.1181 × 102 (3.6692 × 101) | 9.1331 × 101 (3.0331 × 101) | 8.4828 × 101 (2.3402 × 101) | 5.9879 × 101 (3.8462 × 101) | 5.8713 × 104 (5.5282 × 103) | 4.5169 × 102 (9.9310 × 101) | 6.5514 × 101 (2.2478 × 101) |
| F12 | 1.3734 × 104 (6.1133 × 103) | 1.7672 × 104 (7.7379 × 103) | 1.5908 × 104 (8.4677 × 103) | 4.7761 × 103 (6.9664 × 102) | 2.1713 × 108 (2.3476 × 107) | 2.1733 × 104 (8.0538 × 103) | 4.3560 × 103 (6.9693 × 102) |
| F13 | 1.4710 × 102 (3.8451 × 101) | 2.1667 × 102 (5.3916 × 101) | 1.3358 × 102 (4.0724 × 101) | 1.1058 × 102 (4.0592 × 101) | 4.6689 × 104 (9.4467 × 103) | 5.2834 × 102 (3.6883 × 102) | 2.8679 × 102 (1.0669 × 102) |
| F14 | 6.3204 × 101 (1.1469 × 101) | 6.3583 × 101 (1.1249 × 101) | 4.8601 × 101 (7.3205 × 100) | 5.0545 × 101 (7.1128 × 100) | 2.5363 × 106 (5.4105 × 105) | 2.5861 × 102 (3.0048 × 101) | 1.3837 × 102 (2.9338 × 101) |
| F15 | 1.7414 × 102 (3.5252 × 101) | 1.9228 × 102 (4.0967 × 101) | 1.3598 × 102 (3.6218 × 101) | 1.0995 × 102 (4.1445 × 101) | 2.3982 × 104 (7.0650 × 103) | 2.5563 × 102 (4.9458 × 101) | 1.5375 × 102 (3.1048 × 101) |
| F16 | 1.7344 × 103 (3.3369 × 102) | 1.3588 × 103 (2.5016 × 102) | 1.6713 × 103 (4.0174 × 102) | 1.2035 × 103 (2.5448 × 102) | 6.4020 × 103 (2.5452 × 102) | 1.6989 × 103 (2.5395 × 102) | 1.5455 × 103 (3.9645 × 102) |
| F17 | 1.1889 × 103 (2.1246 × 102) | 1.0001 × 103 (1.7403 × 102) | 1.3132 × 103 (2.3774 × 102) | 9.4853 × 102 (1.9887 × 102) | 3.5602 × 103 (2.0434 × 102) | 1.1651 × 103 (1.9100 × 102) | 1.1688 × 103 (2.7815 × 102) |
| F18 | 1.7818 × 102 (3.6906 × 101) | 1.6367 × 102 (3.3743 × 101) | 1.3817 × 102 (3.0013 × 101) | 7.5498 × 101 (1.8433 × 101) | 2.7533 × 106 (5.3899 × 105) | 2.2812 × 102 (4.3136 × 101) | 2.5556 × 102 (5.5086 × 101) |
| F19 | 1.2112 × 102 (2.2019 × 101) | 1.3646 × 102 (2.2338 × 101) | 8.0693 × 101 (1.5373 × 101) | 5.6083 × 101 (7.1312 × 100) | 3.2232 × 104 (1.3641 × 104) | 1.7239 × 102 (2.4797 × 101) | 1.2393 × 102 (2.1448 × 101) |
| F20 | 1.4964 × 103 (2.2073 × 102) | 1.2158 × 103 (2.0828 × 102) | 1.6036 × 103 (2.4354 × 102) | 1.0483 × 103 (1.9606 × 102) | 3.4537 × 103 (2.2572 × 102) | 1.5024 × 103 (2.1159 × 102) | 1.5095 × 103 (2.8897 × 102) |
| F21 | 2.6310 × 102 (5.3056 × 100) | 2.4855 × 102 (4.6462 × 100) | 2.5715 × 102 (1.3399 × 101) | 2.8051 × 102 (1.2598 × 101) | 1.1198 × 103 (2.6842 × 101) | 2.5824 × 102 (5.9881 × 100) | 2.5796 × 102 (5.4792 × 100) |
| F22 | 1.0634 × 104 (6.1506 × 102) | 9.6001 × 103 (5.6253 × 102) | 1.2375 × 104 (7.5754 × 102) | 1.0774 × 104 (5.3054 × 102) | 2.5451 × 104 (2.2021 × 103) | 1.1032 × 104 (1.5871 × 103) | 1.1467 × 104 (1.7739 × 103) |
| F23 | 5.6438 × 102 (1.0977 × 101) | 5.6442 × 102 (8.0281 × 100) | 5.6737 × 102 (9.4905 × 100) | 5.9525 × 102 (1.2459 × 101) | 1.4056 × 103 (2.4844 × 101) | 5.7047 × 102 (5.8842 × 102) | 5.7733 × 102 (1.2023 × 101) |
| F24 | 8.9596 × 102 (6.3263 × 100) | 8.8337 × 102 (6.1563 × 100) | 8.9675 × 102 (8.1714 × 100) | 9.1349 × 102 (8.7061 × 100) | 1.7680 × 103 (3.8087 × 101) | 9.0980 × 102 (7.9294 × 100) | 9.1969 × 102 (1.4433 × 101) |
| F25 | 7.3119 × 102 (3.4307 × 101) | 7.3768 × 102 (3.1478 × 101) | 7.2571 × 102 (4.5376 × 101) | 6.6960 × 102 (4.1732 × 101) | 1.5871 × 103 (4.0363 × 101) | 7.4829 × 102 (3.2178 × 101) | 7.3274 × 102 (3.8238 × 101) |
| F26 | 3.1418 × 103 (8.0749 × 101) | 3.0120 × 103 (8.9381 × 101) | 3.0960 × 103 (8.6477 × 101) | 3.1196 × 103 (2.0652 × 102) | 1.8142 × 104 (1.4210 × 103) | 3.2897 × 103 (7.0783 × 101) | 3.0198 × 103 (8.0864 × 102) |
| F27 | 5.8505 × 102 (1.7139 × 101) | 5.6703 × 102 (1.7687 × 101) | 5.7523 × 102 (1.9574 × 101) | 5.8838 × 102 (1.5396 × 101) | 1.2576 × 103 (1.2576 × 103) | 6.3057 × 102 (2.1779 × 101) | 5.8728 × 102 (1.7361 × 101) |
| F28 | 5.3251 × 102 (2.7242 × 101) | 5.3985 × 102 (2.8746 × 101) | 5.2537 × 102 (2.6127 × 101) | 5.1001 × 102 (1.9563 × 101) | 2.0852 × 103 (8.5242 × 101) | 5.2474 × 102 (2.4086 × 101) | 5.2095 × 102 (2.7354 × 101) |
| F29 | 1.2617 × 103 (1.8323 × 102) | 9.4607 × 102 (9.7974 × 101) | 1.1206 × 103 (1.7561 × 102) | 1.1356 × 103 (1.5407 × 102) | 6.0901 × 103 (1.9487 × 102) | 1.1689 × 103 (1.5533 × 102) | 1.2860 × 103 (2.3983 × 102) |
| F30 | 2.3639 × 103 (1.6222 × 102) | 2.2193 × 103 (9.7362 × 101) | 2.1689 × 103 (9.8707 × 101) | 2.3724 × 103 (1.7574 × 102) | 3.7075 × 106 (5.4850 × 105) | 2.3799 × 103 (1.3355 × 102) | 2.3519 × 103 (1.2372 × 102) |
| +/=/− | 7+/2=/20− | − | 12+/1=/16− | 13+/2=/14− | 0+/0=/29− | 0+/0=/29− | 12+/0=/17− |
| Algorithm | 10D | 30D | 50D | 100D | Total |
|---|---|---|---|---|---|
| NLAPSMjSO-EDA VS. APSM-jSO | 13+/7=/9− | 19+/4=/6− | 20+/2=/7− | 20+/2=/7− | 72+/15=/29− |
| NLAPSMjSO-EDA VS. IDE-EDA | 11+/8=/10− | 18+/4=/7− | 19+/2=/8− | 16+/1=/12− | 64+/15=/37− |
| NLAPSMjSO-EDA VS. LSHADE-Epsin | 16+/8=/5− | 20+/3=/6− | 17+/2=/10− | 14+/2=/13− | 67+/15=/34− |
| NLAPSMjSO-EDA VS. MadDE | 10+/5=/14− | 27+/0=/2− | 27+/0=/2− | 29+/0=/0− | 93+/5=/18− |
| NLAPSMjSO-EDA VS. LSHADE | 15+/6=/8− | 21+/3=/5− | 25+/2=/2− | 29+/0=/0− | 90+/11=/15− |
| NLAPSMjSO-EDA VS. EBOwithCMAR | 11+/4=/14− | 16+/4=/9− | 22+/1=/6− | 17+/0=/12− | 66+/9=/41− |
| Algorithm | 10D | 30D | 50D | 100D |
|---|---|---|---|---|
| NLAPSMjSO-EDA VS. APSM-jSO | 3.9097 × 10−2 | 1.5169 × 10−3 | 2.3602 × 10−3 | 1.293 × 10−2 |
| NLAPSMjSO-EDA VS. IDE-EDA | 2.744 × 10−1 | 1.8828 × 10−2 | 2.1796 × 10−3 | 1.6516 × 10−1 |
| NLAPSMjSO-EDA VS. LSHADE-Epsin | 1.5258 × 10−3 | 1.4401 × 10−2 | 1.7241 × 10−2 | 4.2615 × 10−1 |
| NLAPSMjSO-EDA VS. MadDE | 3.3672 × 10−1 | 2.3467 × 10−5 | 2.8208 × 10−5 | 1.3159 × 10−6 |
| NLAPSMjSO-EDA VS. LSHADE | 4.5526 × 10−3 | 7.3196 × 10−4 | 5.6227 × 10−5 | 6.315 × 10−6 |
| NLAPSMjSO-EDA VS. EBOwithCMAR | 3.6073 × 10−1 | 1.4039 × 10−1 | 3.1395 × 10−3 | 3.1091 × 10−2 |
| Algorithm | 10D | 30D | 50D | 100D | Mean | Mean Rank |
|---|---|---|---|---|---|---|
| NLAPSMjSO-EDA | 3.6724 | 2.6207 | 2.4310 | 2.7931 | 2.8793 | 1 |
| APSM-jSO | 3.9483 | 3.6379 | 3.6379 | 3.6552 | 3.7198 | 4 |
| IDE-EDA | 3.7759 | 3.3966 | 3.1897 | 3.4138 | 3.4440 | 2 |
| LSHADE-Epsin | 4.8103 | 4.0862 | 3.8793 | 3.0517 | 3.9569 | 5 |
| MadDE | 3.7931 | 6.4655 | 6.5862 | 7 | 5.9612 | 7 |
| LSHADE | 4.2414 | 4.2414 | 4.4655 | 4.6897 | 4.4095 | 6 |
| EBOwithCMAR | 3.7586 | 3.5517 | 3.8103 | 3.3966 | 3.6293 | 3 |
| Algorithm | ||||||||
|---|---|---|---|---|---|---|---|---|
| 10D | 30D | 50D | 100D | 10D | 30D | 50D | 100D | |
| NLAPSMjSO-EDA | 0.97188 | 1.6696 | 2.1975 | 5.0469 | 0.4389 | 0.5943 | 2.1698 | 1.632 |
| APSM-jSO | 0.57405 | 0.84655 | 1.2811 | 3.1345 | 2.0174 | 1.8693 | 2.1886 | 0.6933 |
| IDE-EDA | 0.65074 | 1.0083 | 1.5201 | 3.518 | 0.1018 | 1.4811 | 3.6839 | 2.3867 |
| LSHADE-Epsin | 5.1412 | 3.4443 | 3.0373 | 6.3919 | 2.1651 | 0.6745 | 0.882 | 1.7735 |
| MadDE | 1.1175 | 1.3686 | 4.7020 | 114.9105 | 14.1085 | 14.4811 | 15.4717 | 265.0896 |
| LSHADE | 0.78221 | 0.93036 | 1.3424 | 4.2259 | 11.0090 | 9.0066 | 9.2877 | 10.5189 |
| EBOwithCMAR | 1.8511 | 2.5996 | 4.0179 | 12.3922 | 0.4953 | 1.1651 | 3.2736 | 7.1415 |
Disclaimer/Publisher’s Note: The statements, opinions and data contained in all publications are solely those of the individual author(s) and contributor(s) and not of MDPI and/or the editor(s). MDPI and/or the editor(s) disclaim responsibility for any injury to people or property resulting from any ideas, methods, instructions or products referred to in the content. |
© 2025 by the authors. Licensee MDPI, Basel, Switzerland. This article is an open access article distributed under the terms and conditions of the Creative Commons Attribution (CC BY) license (https://creativecommons.org/licenses/by/4.0/).
Share and Cite
Shen, Y.; Liang, J.; Kang, H.; Sun, X.; Chen, Q. NLAPSMjSO-EDA: A Nonlinear Shrinking Population Strategy Algorithm for Elite Group Exploration with Symmetry Applications. Symmetry 2025, 17, 153. https://doi.org/10.3390/sym17020153
Shen Y, Liang J, Kang H, Sun X, Chen Q. NLAPSMjSO-EDA: A Nonlinear Shrinking Population Strategy Algorithm for Elite Group Exploration with Symmetry Applications. Symmetry. 2025; 17(2):153. https://doi.org/10.3390/sym17020153
Chicago/Turabian StyleShen, Yong, Jiaxuan Liang, Hongwei Kang, Xingping Sun, and Qingyi Chen. 2025. "NLAPSMjSO-EDA: A Nonlinear Shrinking Population Strategy Algorithm for Elite Group Exploration with Symmetry Applications" Symmetry 17, no. 2: 153. https://doi.org/10.3390/sym17020153
APA StyleShen, Y., Liang, J., Kang, H., Sun, X., & Chen, Q. (2025). NLAPSMjSO-EDA: A Nonlinear Shrinking Population Strategy Algorithm for Elite Group Exploration with Symmetry Applications. Symmetry, 17(2), 153. https://doi.org/10.3390/sym17020153

