Next Article in Journal
Optimization in Symmetric Trees, Unicyclic Graphs, and Bicyclic Graphs with Help of Mappings Using Second Form of Generalized Power-Sum Connectivity Index
Next Article in Special Issue
Unmanned Aerial Vehicle Path Planning Method Based on Improved Dung Beetle Optimization Algorithm
Previous Article in Journal
A Systematic Method Combining Rotated Convolution and State Space Augmented Transformer for Digitizing and Classifying Paper ECGs
 
 
Font Type:
Arial Georgia Verdana
Font Size:
Aa Aa Aa
Line Spacing:
Column Width:
Background:
Article

Type-2 Backstepping T-S Fuzzy Bionic Control Based on Niche Symmetry Function

School of Mathematics and Statistics, Fuyang Normal University, Fuyang 236041, China
*
Author to whom correspondence should be addressed.
Symmetry 2025, 17(1), 121; https://doi.org/10.3390/sym17010121
Submission received: 28 November 2024 / Revised: 9 January 2025 / Accepted: 10 January 2025 / Published: 14 January 2025
(This article belongs to the Special Issue Symmetry in Mathematical Optimization Algorithm and Its Applications)

Abstract

Niche can reflect the changes in the quality of the ecological environment and the balance of ecological state. The more advanced the ecosystem, the more complex and higher-order nonlinearities and uncertainties that are presented. For such an uncertain parameter system with complex nonlinearity, backstepping fuzzy control is a good control method. When the backstepping control method is introduced into the Type-2 fuzzy T-S control principle, the equality index symmetry function composed of ecological factors is used as the backstepping control consequence, and the Lyapunov function is constructed to analyze the stability and find out the adaptive law of the ecological factors in the equality index symmetry function of the control consequence. This reflects that the individual organisms always develop in their own favorable direction, highlighting the bionic intelligent control of the method. Through simulation analysis, the Type-2 Backstepping control method is effective in stability and parameter tracking, which reflects the self-development ability and self-coordination ability of individual organisms, highlighting the physical background and symmetry of the bionic intelligent control of this method.

1. Introduction

Niche is a fundamental concept in ecology and plays an important role in ecological management and conservation [1]. It is the main direction of theoretical research on ecosystems and population dynamics, as well as practical applications of biological systems. The relationship between biological population dynamics and the ecology of organisms is nonlinear in its entirety. In a system, different lives and groups cannot be separated from each other, and it is a complex and uncertain nonlinear relationship [2]. Traditional modeling can no longer satisfy the need for describing and studying the evolution of existing ecosystems with extremely high complexity and nonlinearity, and fuzzy modeling [3] has the advantage of solving this problem and has become a hot research topic. In 2005, Li Yimin firstly proposed the concept of niche and established a fuzzy geometric and algebraic mathematical model with quantitative effect [4], before establishing a fuzzy mathematical model of its state and potential [5], which are static models that cannot reflect the evolutionary characteristics of the individual organisms. In order to overcome the above shortcomings, Li Yimin et al. used the complex network method to develop a fuzzy mathematical dynamic model of niche individual competition to population competition [6], which further enriches the relevant research models and is of great significance to the analysis and quantification of ecosystems. The evolution of individual and group organisms has the characteristics of self-adaptability, self-organization, and self-learning; hence, the combination of self-pursuing coordination and stable equilibrium of the nonlinear evolutionary characteristics of the ecosystem with the fuzzy control method could handle the uncertainty [7] to form a bionic intelligent control method with biological characteristics. The authors of [8] used the function of the niche equality index as a consequence of Type-2 T-S fuzzy control, which does not need to recognize the parameters, but lacks accuracy. Hao Yunli [9] found the self-adaptive law of the ecological factor of the equality index on the basis of the work in [8], which improved the simulation accuracy, but the control execution was not enough. As Type-2 fuzzy systems have strong execution abilities [10], the niche equality index is firstly applied to Type-2 fuzzy systems [11], which gives the dynamic niche model of individual organisms and groups, but it does not deal well with high-order nonlinear systems. The authors of [12] used the state and potential model of niche as a consequence of Type-2 fuzzy control, which can control the higher-order nonlinearity well, but still did not deal with the control to the extreme. The authors of [13,14] proposed to combine the niche equality index function with Type-2 T-S fuzzy control to find the adaptive law of ecological factors, which is a further step in relation to the bionic effect, but the algorithm is complicated. The backstepping control method was first proposed by M. Krstic [15] in 1995, which is a kind of nonlinear system design method dealing with a strict feedback structure. The original high-order nonlinear system is decomposed into subsystems, the error is guaranteed not to exceed the order of the system, and the control law is calculated using the Lyapunov stability theory [16]. When the system experiences unknown parameters, unmodeled dynamics, external disturbances, and nonlinearities, the adaptive inverse step design shows strong control ability and maintains almost all the robustness properties of the traditional inverse step design and handling uncertainty system [17,18,19]. In the adaptive inverse design, the original state variable function is chosen and the low-dimensional subsystem of the whole system is used as a pseudo-control input through using a recursive adaptation method. Then, each design stage of the adaptive inversion generates a new pseudo-control design based on the pseudo-control design of the previous design stage. Finally, the feedback design for the real control input is given, which achieves the original design goal based on the final Lyapunov function constructed from the sum of the Lyapunov functions of each individual design stage. Due to the above significant features of adaptive backstepping technique, many scholars have developed adaptive backstepping controllers for T-S fuzzy control systems to obtain good position control performance [20,21]. However, control end effects and unknown perturbations of the system are neglected in the design of the controller. To further deal with the end effects in closed-loop control, neural networks are effective in terms of their ability to approximate nonlinear functions, and neural network-assisted controllers are used to compensate for uncertain perturbations, such as end effects [22], which effectively mitigates the impact of the perturbations and improves the convergence speed of the system. The authors of [23] designed a radial basis function (RBF) neural network to estimate and compensate the uncertainty of the system in adaptive inverse control, but the differential unfolding of the system when the system order increases was not considered in the inverse control, which led to the slow convergence of the system. To solve this problem, dynamic surface control and inverse control are proposed, where the derivatives of the virtual control law are realized by means of a low-pass filter [24], which is used with a corresponding filtering error. In [25], a command filter is used instead of a low-pass filter to improve the control performance, and a compensation signal is generated in the controller to eliminate the effect of the error introduced by the command filter. Good control performance and robustness to parameter uncertainties and time-varying external disturbances are obtained The authors of [26] propose a new framework based on Cubic Type-2 Fuzzy Soft Sets (CT2FSSs) that allows for greater flexibility and uncertainty. The supply chain process is optimized while ensuring symmetry in decision making. The authors of [27] investigated the effect of asymmetric membership functions on the quality of MPPT regulation in the photovoltaic systems. And it is shown that the utilization of asymmetric membership functions is a proven method f in the MPPT algorithm with fuzzy logic. In [28], a fixed-time adaptive fuzzy control strategy is investigated for nonlinear systems which characterized by time-varying asymmetric constraints.
Based on previous research relating to fuzzy control and symmetry, considering the superiority of the backstepping control method, the backstepping control method and T-S Type-2 fuzzy control are combined to construct a fuzzy control method with the robustness and stability of biological systems, which is superior to the method used in [29]. It not only integrates biological properties into the control idea, but also approximates all the unknown functions and analyzes the stability, hence providing the present control method with a physical background of bionic intelligent control and symmetry.
The paper is organized as follows. Section 2 includes the theory and inference mechanism of Type-2 niche control. The structure and design algorithm of T-S Type-2 backstepping control were presented. Section 3 presents the design of the Type-2 Backstepping fuzzy control system for dynamic plants and the design of the Type-2 controller with backstepping. A simulation of the control system was carried out in Section 4. Section 5 gives the conclusions.

2. Niche Control

Consider the following n-th order nonlinear system.
x ˙ i = f i X i + g i X i x i + 1 , 1 i n 1 x ˙ n = f n X i + g n X i u , n 2 y = x 1
X i = x 1 , x 2 , , x i T R i is the state vector, where f X and g X are bounded unknown nonlinear functions, y , u R are the output and input of the system, respectively. This equation describes the pattern of change in the state of the system over time. If f X and g X are known, they can be controlled by an ideal controller [9], but if f X and g X are unknown, the ideal controller is not implementable, and not all system states X can be measured. Then, it is necessary to design a supervisory controller to approximate the state vector X .

Description of T-S Fuzzy Systems

Type-2 interval T-S fuzzy system approximate the unknown f X and g X functions. The specific fuzzy rules are as follows:
R f l :   if   x 1 is   A 1 l   and x n is   A n l ,   then   f ^ l ( X i ) = a 0 l = 3 2 ϕ λ f l λ σ f l + σ R f r :   If   x 1 is   A 1 r   and x n is   A n r ,   then   f ^ r ( X i ) = a 0 r = 3 2 ϕ λ f r λ σ f r + σ
R g l :   If   x 1 is   G 1 l   and x n is   G n l ,   then   g ^ l ( X i ) = b 0 l = 3 2 ϕ λ g l λ σ g l + σ ( l = 1 , m ) R g r :   If   x 1 is   G 1 r   and x n is   G n r ,   then   g ^ r ( X i ) = b 0 r = 3 2 ϕ λ g r λ σ g r + σ r = 1 , 2 , m
With the above fuzzy rules, fuzzy logic is utilized to approximate the unknown functions f X and g X in order to construct the control system. Where A i l , A i r , G i l , G i r are the interval Type-2 fuzzy sets of the state vector x i , the niche is composed of ecological factors; λ l = x 1 l , x 2 l , , x n l , λ r = x 1 r , x 2 r , , x n r denote the actual ecological factors; λ = x 1 * , x 2 * , , x n * denotes the ideal ecological factors; and the consequence denotes the difference size of the niche. The Gaussian membership function is chosen to satisfy x i l x j l σ , x i r x j r σ , where x i l , x j l , x i r , x j r and σ are the center and width values of the membership function. The two equality index functions H A , B = 3 2 ϕ λ f l λ σ f l + σ and H A , B = 3 2 ϕ λ f r λ σ f r σ can represent the size of the niche difference, where ϕ x = 1 2 π x e t 2 2 d t . By observing the consequent function, it can be seen that it is a zero-order T-S consequent fuzzy model, where we use a 0 l instead of 3 2 ϕ λ f l λ σ f l + σ , a 0 r instead of 3 2 ϕ λ f r λ σ f r + σ , b 0 l instead of 3 2 ϕ λ g l λ σ g l + σ , b 0 r instead of 3 2 ϕ λ g r λ σ g r + σ for convenience. a 0 l , a 0 r , b 0 l , b 0 r are the consequent constants after the output of the system.
In Type-2 interval fuzzy sets, the rule antecedent fuzzy system f ^ ( X i ) has its membership function as follows:
ρ A 1 l . A 2 l . A n l X i = ρ A 1 l x 1 . ρ A 2 l x 2 ρ A n l x n = l = 1 n ρ A k l x k k = 1 , 2 , , n ρ A 1 r . A 2 r . A n r X i = ρ A 1 r x 1 . ρ A 2 r x 2 ρ A n r x n = r = 1 n ρ A k r x k k = 1 , 2 , , n
where the Gaussian membership function
ρ A i l x l = exp x i x ¯ i l σ i l 2 ,   ρ A i r x r = exp x i x ¯ i r σ i r 2   i = 1 , 2 , n
Equation (4) is used to determine the extent to which the input state vector belong to each fuzzy set, and by adjusting the parameters, the shape and range of the fuzzy sets can be altered, thus affecting the effectiveness of the fuzzy system in processing and approximating the input. The backstepping Type-2 type fuzzy set outputs can be represented by Z ~ f i , i = 1 , 2 , , M ; using central mean deblurring, the reduced type is as follows:
F ^ Z ~ f 1 , , Z ~ f M = z f 1 z f M τ i = 1 M ρ Z ~ i z ~ i / i = 1 M z f i f ^ i X i = 1 M z f i
The final fuzzy system output is obtained by the weighted average of the outputs of each rule, with the weights determined by the affiliation function, reflecting the relative importance of different rules in the output.
Using the Type-2 type membership function for A k i , then Equation (5) is as follows:
F ^ Z ~ f 1 , , Z ~ f M = z f 1 z f M 1 / i = 1 M z f i f ^ i X i = 1 M z f i
Equation (6) further refines the computational form of the output. Where F ^ = f ^ l , f ^ r , z f i Z ~ f i z ¯ f i , z ¯ f i , z ¯ f i = ρ A ¯ 1 i x 1 . ρ A ¯ 2 i x 2 ρ A ¯ n i x n , z ¯ f i = ρ A ¯ 1 i x 1 . ρ A ¯ 2 i x 2 ρ A ¯ n i x n , τ and · are take-the-smaller-or-multiply t paradigms.
This can be shown using the KM iterative method [20]:
f ^ l = i = 1 L z ¯ f i f ^ i + j = L + 1 M z ¯ f j f ^ j i = 1 L z ¯ f i + j = L + 1 M z ¯ f j = i = 1 L q f l i f ^ i + j = L + 1 M q f l j f ^ j = i = 1 L q f l i θ f l i X + j = L + 1 M q f l j θ f l j X = Q ¯ f l Q ¯ f l θ ¯ f l θ ¯ f l X = ξ f l θ f l X
where
q f l i = z ¯ f i i = 1 L z ¯ f i + j = L + 1 M z ¯ f i ,   q f l j = z ¯ f j i = 1 L z ¯ f i + j = L + 1 M z ¯ f i ,   Q ¯ f l = q f l 1 , q f l 2 , , q f l L Q ¯ f l = q f l L + 1 , q f l L + 2 , , q f l M ,   θ ¯ f l = θ f l 1 θ f l L T ,   θ ¯ f l = θ f l L + 1 θ f l M T . ξ f l = Q ¯ f l Q ¯ f l ,   θ f l i = a l 0 i , 0 , , 0 R 1 × n + 1 ,   i = 1 , 2 , , L . θ f l j = a l 0 j , 0 , , 0 R 1 × n + 1 ,   j = L + 1 , , M ,   X = 1 , x 1 , , x n . f ^ r = i = 1 R z ¯ f i f ^ i + j = R + 1 M z ¯ f j f ^ j i = 1 R z ¯ f i + j = R + 1 M z ¯ f j = i = 1 R q f r i f ^ i + j = R + 1 M q f r j f ^ j = i = 1 R q f r i θ f r i X + j = R + 1 M q f r j θ f r j X = Q ¯ f l Q ¯ f r θ ¯ f r θ ¯ f r X = ξ f r θ f r X
where
q f r i = z ¯ f i i = 1 R z ¯ f i + j = R + 1 M z ¯ f j ,   q f r j = z ¯ f j i = 1 R z ¯ f i + j = R + 1 M z ¯ f j ,   Q ¯ f r = q f r 1 , q f r 2 , , q f r R , Q ¯ f r = q f r R + 1 , q f r R + 2 , , q f r M ,   θ ¯ f r = θ f r 1 θ f r R T ,   θ ¯ f r = θ f r R + 1 θ f r M T ξ f r = Q ¯ f r Q ¯ f r ,   θ f r i = a r 0 i , 0 , , 0 R 1 × n + 1 ,   i = 1 , 2 , , R , θ f r j = a r 0 j , 0 , , 0 R 1 × n + 1 ,   j = R + 1 , , M ,   X = 1 , x 1 , , x n , a 0 i = a l 0 i a r 0 i T ,   a 0 j = a l 0 j a r 0 j T ,   a 0 = a 0 i a 0 j T
Equations (7) and (8) are a series of intermediate results obtained using the KM iteration method. These formulas gradually determine the output of the fuzzy system during the iteration process, which is a key step in the calculation based on the fuzzy rules and the affiliation function, providing the basis for the subsequent parameter optimization and controller design.
With (7) and (8), the output of this Type-2 T-S fuzzy system can be obtained after using average deblurring as follows:
f ^ X θ f l , θ f r = f ^ l + f ^ r 2 = 1 2 ξ f l θ f l + ξ f r θ f r X = 1 2 ξ f θ f
where, ξ f = ξ f l ξ f r X , θ f = θ f l θ f r T .
This formula synthesizes the outputs and weights of each rule and specifies the relationship between the system outputs and the fuzzy set parameters, the input state vectors, and the rule posterior coefficients, which are used to compute the output response of the system based on the inputs.
Ditto:
g ^ l = i = 1 L 1 z ¯ g i g ^ i + j = L 1 + 1 M z ¯ g j g ^ j i = 1 L 1 z ¯ g i + j = L 1 + 1 M z ¯ g j = i = 1 L 1 q g l i g ^ i + j = L 1 + 1 M q g l j g ^ j = i = 1 L 1 q g l i θ g l i X + j = L 1 + 1 M q g l j θ g l j X = Q ¯ g l Q ¯ g l θ ¯ g l θ ¯ g l X = ξ g l θ g l X
where q g l i = z ¯ g i i = 1 L 1 z ¯ g i + j = L 1 + 1 M z ¯ g i , q g l j = z ¯ g j i = 1 L 1 z ¯ g i + j = L 1 + 1 M z ¯ g i . Q ¯ g l = q g l 1 , q g l 2 , , q g l L 1
Q ¯ g l = q g l L + 1 , q g l L 1 + 2 , , q g l M ,   θ g l i = b l 0 i , 0 , , 0 R 1 × n + 1 , i = 1 , 2 , , L 1 θ g l j = b l 0 j , 0 , , 0 R 1 × n + 1 , j = L 1 + 1 , , M , θ ¯ g l = θ g l 1 θ g l L 1 T θ ¯ g l = θ g l L 1 + 1 θ g l M T g ^ r = i = 1 R 1 z ¯ g i g ^ i + j = R 1 + 1 M z ¯ g j g ^ j i = 1 R 1 z ¯ g i + j = R 1 + 1 M z ¯ g j = i = 1 R 1 q g r i g ^ i + j = R 1 + 1 M q g r j g ^ j = i = 1 R 1 q g r i θ g r i X + j = R 1 + 1 M q g r j θ g r j X = Q ¯ g r Q ¯ g r θ ¯ g r θ ¯ g r X = ξ g r θ g r X
Among them,
q g r i = z ¯ g i i = 1 R 1 z ¯ g i + j = R 1 + 1 M z ¯ g j , q g r j = z ¯ g j i = 1 R 1 z ¯ g i + j = R 1 + 1 M z ¯ g j , Q ¯ g r = q g r 1 , q g r 2 , , q g r R 1     Q ¯ g r = q g r R 1 + 1 , q g r R 1 + 2 , , q g r M , θ ¯ g r = θ g r 1 θ g r R 1 T , θ ¯ g r = θ g r R 1 + 1 θ g r M T ξ g r = Q ¯ g r Q ¯ g r , θ g r i = b r 0 i , 0 , , 0 R 1 × n + 1 , i = 1 , 2 , , R 1       θ g r j = b r 0 j , 0 , , 0 R 1 × n + 1 , j = R 1 + 1 , , M , b 0 i = b l 0 i b r 0 i T , b 0 j = b l 0 j b r 0 j T , b 0 = b 0 i b 0 j T
With (10) and (11), the output of this Type-2 fuzzy system can be obtained after using average defuzzification as follows:
g ^ X θ g l , θ g r = g ^ l + g ^ r 2 = 1 2 ξ g l θ g l + ξ g r θ g r X = 1 2 ξ g θ g
where ξ g = ξ g l ξ g r X , θ g = θ g l θ g r T .
According to Equations (4)–(9), we can obtain the Type-2 T-S fuzzy system output. Following the same steps and principles, we can obtain Type-2 fuzzy system outputs.
As regards the input and output data of the backpropagation algorithm based on the parameter optimization of the niche equality index Type-2 fuzzy T-S model, the task is to determine the parameters of the niche equality index T-S model of the form (3), so that the error hypothesis M is known, and by adjusting   λ f l   ,   σ f l   ,   x ¯ i j   ,   σ i j to minimize e p .
At this point, λ f i = λ f l i λ f r i , σ f i = σ f l i σ f r i , x ¯ i l = x i l l x i r l , σ i l = σ i l l σ i r l ,
λ f j = λ f l j λ f r j , σ f j = σ f l j σ f r j , x ¯ i j = x i l j x i r j , σ i j = σ i l j σ i r j
The optimization of parameters using the gradient descent method [14] is as follows:
λ f l i η + 1 = λ f l i η γ e λ f l i η , i = 1 , 2 , , L , η = 1 , 2 , , γ are the determined step size.
At this point, e ^ λ f l i = e ^ f ^ f ^ a 0 a 0 a 0 i a 0 i λ f i λ f i λ f l i = f ^ y ^ . 1 2 π e λ f l i λ σ f l i + σ 2 2 . 1 σ f l i + σ . 1 D . W l X ,
where D = l = 1 m W l , W l = i = 1 n exp x i x ¯ i l σ i l 2 . a 0 = l = 1 m a 0 l W l
Then, λ f l i η + 1 = λ f l i η γ f ^ y ^ . 1 2 π e λ f l i λ σ f l i + σ 2 2 . 1 σ f l i η + σ . 1 D . W l X
e ^ λ f r i = e ^ f ^ f ^ a 0 a 0 a 0 i a 0 i λ f i λ f i λ f r i = f ^ y ^ . 1 2 π e λ f r i λ σ f r i + σ 2 2 . 1 σ f r i + σ . 1 D . W l X
λ f r i η + 1 = λ f r i η γ f ^ y ^ . 1 2 π e λ f r i λ σ f r i + σ 2 2 . 1 σ f r i η + σ . 1 D . W l X
Then, e ^ λ f l j = e ^ f ^ f ^ a 0 a 0 a 0 j a 0 j λ f j λ f j λ f l j = f ^ y ^ . 1 2 π e λ f l j λ σ f l j + σ 2 2 . 1 σ f l j + σ . 1 D . W l X
There is λ f l j η + 1 = λ f l j η γ f ^ y ^ . 1 2 π e λ f l j λ σ f l j + σ 2 2 . 1 σ f l j η + σ . 1 D . W l X
λ f r j η + 1 = λ f r j η γ f ^ y ^ . 1 2 π e λ f r j λ σ f r j + σ 2 2 . 1 σ f r j η + σ . 1 D . W l X
By continuously adjusting the parameters, the output of the fuzzy model is made as close as possible to the actual output in order to improve the accuracy of the model and the control performance.
Ditto:
σ f l i η + 1 = σ f l i η γ f ^ y ^ . 1 2 π e λ f l i λ σ f l i + σ 2 2 . λ f l i λ σ f l i η + σ 2 . 1 D . W l X σ f l j η + 1 = σ f l j η γ f ^ y ^ . 1 2 π e λ f l j λ σ f l j + σ 2 2 . λ f l j λ σ f l j η + σ 2 . 1 D . W l X σ f r i η + 1 = σ f r i η γ f ^ y ^ . 1 2 π e λ f r i λ σ f r i + σ 2 2 . λ f r i λ σ f r i η + σ 2 . 1 D . W l X σ f r j η + 1 = σ f r j η γ f ^ y ^ . 1 2 π e λ f r j λ σ f r j + σ 2 2 . λ f r j λ σ f r j η + σ 2 . 1 D . W l X
Using the gradient descent method, the parameters x i l l   , x i r l , x i l j   , x i r j , σ i l j , σ i r j , σ i l l , σ i r l can be adjusted in the same way as for λ g l i . The parameters λ g r i , λ g r j , λ g l j , σ g l i , σ g r i , σ g r j , σ g l j can also be optimized in the same way.

3. Design Type-2 Controller with Backstepping

Because g X i has boundaries, the following exist:
Assumption 1. 
There exist positive constants   Γ ¯ i  and  Γ ¯ i   ( 1 i n ) , such that  Γ ¯ i g i X i Γ ¯ i
Assumption 2. 
There exists a positive constant   Τ i ( 1 i n ) , such that   g ˙ i X i Τ i
Assumption 3. 
In order to adjust the parameters in the fuzzy logic system, the optimal parameters   θ f l   * ,  θ f r   * ,  θ g r *   and  θ g l *   are defined as follows:
θ f l * = arg m i n θ f l Ω f s u p X i Ω x , X ¯ i Ω x ¯ f ^ l X ¯ i θ f l f X i θ f r * = arg m i n θ f r Ω f s u p X i Ω x , X ¯ i Ω x ¯ f ^ r X ¯ i θ f r f X i θ g l * = arg m i n θ g l Ω g s u p X i Ω x , X ¯ i Ω x ¯ g ^ l X ¯ i θ g l g X i θ g r * = arg m i n θ g r Ω g s u p X i Ω x , X ¯ i Ω x ¯ g ^ r X ¯ i θ g r g X i
where  Ω f ,   Ω g ,   Ω X  and  Ω X ¯  are the bounded compact set number;  θ f l * ,  θ f r * ,  θ g r * ,  θ g l *   , X i  and  X ¯ i  are, respectively, defined as follows:
Ω f = θ f l i , θ f r i : θ f l i M f , θ f r i M f ,  Ω g = θ g l i , θ g r i : θ g l i M g , θ g r i M g ,  Ω X = X i : X i M X ,  Ω X ¯ = X ¯ i : X ¯ i M X ¯  Using Yue Yang’s  X i  requires too many parameters.
Where  M f   ,   M g   ,   M D   ,   M X  and  M X ¯  are all normal numbers.
Here is the exact design process and proof:
Step 1: Define the systematic tracking error
e 1 = x 1 y 1
where y 1 = y 1 l , y 1 r T
Derivation of Equation (32) with respect to time e 1 :
e ˙ 1 = x ˙ 1 y ˙ 1 = f 1 X 1 + g 1 X 1 x 2 y ˙ 1 = g 1 X 1 1 g 1 X 1 f 1 X 1 + x 2 1 g 1 X 1 y ˙ 1
Think of x 2 as a virtual controller and define
υ 1 * = k 1 e 1 1 g 1 X 1 f 1 X 1 y ˙ 1 ,   k 1   is   the   normal   number .
Because f 1 X 1 is an unknown function and the g 1 X 1 function is bounded but also an unknown inexact function, the ideal controller is not well obtained. To solve this problem, the T-S fuzzy logic systems ξ f 1 θ f 1 and ξ g 1 θ g 1 of Type-2 in [14] can be used to approximate the unknown function 1 g 1 X 1 f 1 X 1 y ˙ 1 . There is
υ 1 * = k 1 e 1 ξ f 1 θ f 1 ξ g 1 θ g 1 ω f 1 ω g 1 ,   where   ω f 1 + ω g 1 = ω 1 ;   then ,   there   is υ 1 * = k 1 e 1 ξ f 1 θ f 1 ξ g 1 θ g 1 ω 1
Order x 2 = e 2 + υ 1 and define
υ 1 = k 1 e 1 ξ f 1 θ f 1 ξ g 1 θ g 1 = k 1 e 1 ξ f 1 l θ f 1 l ξ f 1 r θ f 1 r ξ g 1 l θ g 1 l ξ g 1 r θ g 1 r
Then, Equation (33) is as follows:
e ˙ 1 = f 1 X 1 + g 1 X 1 e 2 + υ 1 y ˙ 1 = g 1 X 1 e 2 k 1 e 1 ξ f 1 θ f 1 ξ g 1 θ g 1 + ω 1 = g 1 X 1 e 2 k 1 e 1 ξ f 1 l θ ~ f 1 l ξ f 1 r θ ~ f 1 r ξ g 1 l θ ~ g 1 l ξ g 1 r θ ~ g 1 r + ω 1
where θ ~ f 1 l = θ f 1 l θ f 1 l * , θ ~ f 1 r = θ f 1 r θ f 1 r * , θ ~ g 1 r = θ g 1 r θ g 1 r * , θ ~ g 1 l = θ g 1 l θ g 1 l *
Consider the following Lyapunov function:
V 1 = 1 2 g 1 X 1 e 1 2 + 1 2 Γ f 1 θ ~ f 1 T θ ~ f 1 + 1 2 Γ g 1 θ ~ g 1 T θ ~ g 1 = 1 2 g 1 X 1 e 1 2 + 1 2 Γ f 1 l θ ~ f 1 l T θ ~ f 1 l + 1 2 Γ f 1 r θ ~ f 1 l T θ ~ f 1 r + 1 2 Γ g 1 l θ ~ g 1 l T θ ~ g 1 l + 1 2 Γ g 1 r θ ~ g 1 r T θ ~ g 1 r
Then, the derivative of V 1 is as follows:
V ˙ 1 = e 1 e ˙ 1 g 1 X 1 g ˙ 1 X 1 2 g 1 2 X 1 e 1 2 + 1 Γ f 1 θ ~ f 1 T θ ˙ f 1 + 1 Γ g 1 θ ~ g 1 T θ ˙ g 1 = e 1 e ˙ 1 g 1 X 1 g ˙ 1 X 1 2 g 1 2 X 1 e 1 2 + 1 2 Γ f 1 l θ ~ f 1 l T θ ˙ f 1 l + 1 2 Γ f 1 r θ ~ f 1 l T θ ˙ f 1 r + 1 2 Γ g 1 l θ ~ g 1 l T θ ˙ g 1 l + 1 2 Γ g 1 r θ ~ g 1 r T θ ˙ g 1 r = e 1 e 2 k 1 e 1 2 e 1 θ ~ f 1 T ξ f 1 + θ ~ g 1 T ξ g 1 + e 1 ω 1 g ˙ 1 X 1 2 g 1 2 X 1 e 1 2 + 1 2 Γ f 1 l θ ~ f 1 l T θ ˙ f 1 l + 1 2 Γ f 1 r θ ~ f 1 l T θ ˙ f 1 r + 1 2 Γ g 1 l θ ~ g 1 l T θ ˙ g 1 l + 1 2 Γ g 1 r θ ~ g 1 r T θ ˙ g 1 r = e 1 e 2 k 1 e 1 2 e 1 θ ~ f 1 T ξ f 1 + θ ~ g 1 T ξ g 1 + e 1 ω 1 + θ ~ f 1 l T e 1 ξ f 1 l T + 1 Γ f 1 l θ ˙ f 1 l + θ ~ f 1 r T e 1 ξ f 1 r T + 1 Γ f 1 r θ ˙ f 1 r + θ ~ g 1 r T e 1 ξ g 1 r T + 1 Γ g 1 r θ ˙ g 1 r + θ ~ g 1 l T e 1 ξ g 1 l T + 1 Γ g 1 l θ ˙ g 1 l
The intermediate adaptive laws are chosen as follows:
θ ˙ f 1 l = θ ˜ ˙ f 1 l = Γ f 1 l e 1 ξ f 1 l T X 1 ϒ f 1 l θ f 1 l , θ ˙ f 1 r = θ ˜ ˙ f 1 r = Γ f 1 r e 1 ξ f 1 r T X 1 ϒ f 1 r θ f 1 r θ ˙ g 1 l = θ ˜ ˙ g 1 l = Γ g 1 l e 1 ξ g 1 l T X 1 ϒ g 1 l θ g 1 l , θ ˙ g 1 r = θ ˜ ˙ g 1 r = Γ g 1 r e 1 ξ g 1 r T X 1 ϒ g 1 r θ g 1 r
where ϒ f 1 l ,   ϒ f 1 r ,   ϒ g 1 r ,   ϒ g 1 l are the given positive real numbers.
Γ f 1 = Γ f 1 l Γ f 1 r , Γ f 1 l = τ f 1 l 0 τ f 1 l n ,   Γ g 1 can be similarly expressed.
According to the adaptive law obtained in (22), the following exists:
θ ˙ f 1 l T = a f 1 l 0 a f 1 l n ( ) e 1 ξ f 1 l T X 1 ϒ f 1 l θ f 1 l τ f 1 l 0 k 0 0 θ ˙ f 1 r T = a f 1 r 0 a f 1 r n = e 1 ξ f 1 r T X 1 ϒ f 1 r θ f 1 r τ f 1 r 0 0 0 θ ˙ g 1 l T = a g 1 l 0 a g 1 l n = e 1 ξ g 1 l T X 1 ϒ g 1 l θ g 1 l τ g 1 l 0 0 0 θ ˙ g 1 r T = a g 1 r 0 a g 1 r n = e 1 ξ g 1 r T X 1 ϒ g 1 r θ g 1 r τ g 1 r 0 0 0
Then, the parameters of the niche equality index function are derived and the adaptive law of the parameters is obtained using the gradient descent method, as follows:
λ f 1 l η + 1 = 1 2 2 π e λ f 1 l η λ σ f 1 l η + σ 2 2 . 1 σ f 1 l η + σ . τ f 1 l 0 e 1 ξ f 1 l T X 1 ϒ f 1 l θ f 1 l λ f 1 r η + 1 = 1 2 2 π e λ f 1 r η λ σ f 1 r η + σ 2 2 . 1 σ f 1 r η + σ . τ f 1 r 0 e 1 ξ f 1 r T X 1 ϒ f 1 r θ f 1 r σ f 1 l η + 1 = 1 2 2 π e λ f 1 l η λ σ f 1 l η + σ 2 2 . λ f 1 l η + λ σ f 1 l η + σ 2 . τ f 1 l 0 e 1 ξ f 1 l T X 1 ϒ f 1 l θ f 1 l σ f 1 r η + 1 = 1 2 2 π e λ f 1 r η λ σ f 1 r η + σ 2 2 . λ f 1 r η + λ σ f 1 r η + σ 2 . τ f 1 r 0 e 1 ξ f 1 r T X 1 ϒ f 1 r θ f 1 r
λ g 1 l η + 1 = 1 2 2 π e λ g 1 l η λ σ g 1 l η + σ 2 2 . 1 σ g 1 l η + σ . τ g 1 l 0 e 1 ξ g 1 l T X 1 ϒ g 1 l θ g 1 l λ g 1 r η + 1 = 1 2 2 π e λ g 1 r η λ σ g 1 r η + σ 2 2 . 1 σ g 1 r η + σ . τ g 1 r 0 e 1 ξ g 1 r T X 1 ϒ g 1 r θ g 1 r σ g 1 l η + 1 = 1 2 2 π e λ g 1 l η λ σ g 1 l η + σ 2 2 . λ g 1 l η + λ σ g 1 l η + σ 2 . τ g 1 l 0 e 1 ξ g 1 l T X 1 ϒ g 1 l θ g 1 l σ g 1 r η + 1 = 1 2 2 π e λ g 1 r η λ σ g 1 r η + σ 2 2 . λ g 1 r η + λ σ g 1 r η + σ 2 . τ g 1 r 0 e 1 ξ g 1 r T X 1 ϒ g 1 r θ g 1 r
The method of [26] was used to prove the following:
V ˙ 1 e 1 e 2 d 11 e 1 2 + ε 1 2 4 d 12 ϒ f 1 l θ ~ f 1 l 2 2 ϒ f 1 r θ ~ f 1 r 2 2 ϒ g 1 l θ ~ g 1 l 2 2 ϒ g 1 r θ ~ g 1 r 2 2 + ϒ f 1 l θ f 1 l * 2 2 + ϒ f 1 r θ f 1 r * 2 2 + ϒ g 1 l θ g 1 l * 2 2 + ϒ g 1 r θ g 1 r * 2 2
where d 11 and d 12 are positive real numbers.
The parameters of the niche equality index function are derived and the adaptive law of the parameters is obtained using the gradient descent method. Equations (13)–(26) utilize the adaptive law to adjust the parameters by defining the error, the virtual controller, and introducing the Lyapunov function to ensure the stability and tracking performance of the system; these are the key steps of the backstepping control method.
The second step is as follows. Differentiate e 2 :
e ˙ 2 = x ˙ 2 υ ˙ 1 = f 2 X 2 + g 2 X 2 x 3 υ ˙ 1
Think of x 3 as a virtual controller:
υ 2 * = e 1 k 2 e 2 1 g 2 X 2 f 2 X 2 υ ˙ 1 , where k 2 is a constant.
Obtained using Equation (18):
υ ˙ 1 = υ 1 x 1 f 1 + g 1 x 2 + υ 1 θ f 1 l Γ f 1 l e 1 ξ f 1 l ϒ f 1 l θ f 1 l + υ 1 θ f 1 r Γ f 1 r e 1 ξ f 1 r ϒ f 1 r θ f 1 r + υ 1 θ g 1 r Γ g 1 r e 1 ξ g 1 r ϒ g 1 r θ g 1 r + υ 1 θ g 1 l Γ g 1 l e 1 ξ g 1 l ϒ g 1 l θ g 1 l + υ 1 y 1 y ˙ 1
Because f 2 X 2 and g 2 X 2 are unknown functions, the ideal controller is not easy to obtain, so we use Type-2 T-S fuzzy logic systems ξ f 2 X 2 θ f 2 and ξ g 2 X 2 θ g 2 to approximate the unknown function 1 g 2 X 2 f 2 X 2 υ ˙ 1 ; then, there is
υ 2 = e 1 k 2 e 2 ξ f 2 X 2 θ f 2 ξ g 2 X 2 θ g 2
Think of x 3 as x 3 = e 3 + υ 2 and differentiate e 2 :
e ˙ 2 = f 2 X 2 + g 2 X 2 e 3 + υ 2 υ ˙ 1 = g 2 X 2 e 3 e 1 k 2 e 2 ξ f 2 X 2 θ ~ f 2 ξ g 2 X 2 θ ~ g 2 + ω 2 = g 2 X 2 e 3 e 1 k 2 e 2 ξ f 2 l X 2 θ ~ f 2 l ξ f 2 r X 2 θ ~ f 2 r ξ g 2 l X 2 θ ~ g 2 l ξ g 2 r X 2 θ ~ g 2 r + ω 2
Among them, ω 2 = ω f 2 + ω g 2 , θ ~ f 2 l = θ f 2 l θ f 2 l * , θ ~ f 2 r = θ f 2 r θ f 2 r * , θ ~ g 2 r = θ g 2 r θ g 2 r * , θ ~ g 2 l = θ g 2 l θ g 2 l * .
Consider the following Lyapunov function:
V 2 = V 1 + 1 2 g 2 X 2 e 2 2 + 1 2 Γ f 2 θ ~ f 2 T θ ~ f 2 + 1 2 Γ g 2 θ ~ g 2 T θ ~ g 2 = V 1 + 1 2 g 2 X 2 e 2 2 + 1 2 Γ f 2 l θ ~ f 2 l T θ ~ f 2 l + 1 2 Γ f 2 r θ ~ f 2 r T θ ~ f 2 r + 1 2 Γ g 2 l θ ~ g 2 l T θ ~ g 2 l + 1 2 Γ g 2 r θ ~ g 2 r T θ ~ g 2 r
Then, V 2 takes the derivative with respect to time:
V ˙ 2 = V ˙ 1 e 1 e 2 + e 2 e 3 g ˙ 2 X 2 2 g 2 2 X 2 e 2 2 + e 2 ω 2 θ ~ f 2 l T e 2 ξ f 2 l T X 2 1 Γ f 2 l θ ˙ f 2 l θ ~ f 2 r T e 2 ξ f 2 r T X 2 1 Γ f 2 r θ ˙ f 2 r θ ~ g 2 r T e 2 ξ g 2 r T X 2 1 Γ g 2 r θ ˙ g 2 r θ ~ g 2 l T e 2 ξ g 2 l T X 2 1 Γ g 2 l θ ˙ g 2 l
Select the following adaptive law:
θ ˙ f 2 l = θ ~ ˙ f 2 l = Γ f 2 l e 2 ξ f 2 l T X 2 ϒ f 2 l θ f 2 l θ ˙ f 2 r = θ ~ ˙ f 2 r = Γ f 2 r e 2 ξ f 2 r T X 2 ϒ f 2 r θ f 2 r θ ˙ g 2 r = θ ~ ˙ g 2 r = Γ g 2 r e 2 ξ g 2 r T X 2 ϒ g 2 r θ g 2 r θ ˙ g 2 l = θ ~ ˙ g 2 l = Γ g 2 l e 2 ξ g 2 l T X 2 ϒ g 2 l θ g 2 l
where ϒ f 2 l , ϒ f 2 r , ϒ g 2 r , ϒ g 2 l are the given positive real numbers.
Γ f 2 = Γ f 2 l Γ f 2 r , Γ f 2 l = τ f 2 l 0 τ f 2 l n , Γ g 2 can be similarly expressed.
According to the adaptive law obtained in (33), the following exists:
θ ˙ f 2 l T = a f 2 l 0 a f 2 l n ( ) e 2 ξ f 2 l T X 2 ϒ f 2 l θ f 2 l τ f 2 l 0 k 0 0 θ ˙ f 2 r T = a f 2 r 0 a f 2 r n = e 2 ξ f 2 r T X 2 ϒ f 2 r θ f 2 r τ f 2 r 0 0 0 θ ˙ g 2 l T = a g 2 l 0 a g 2 l n = e 2 ξ g 2 l T X 2 ϒ g 2 l θ g 2 l τ g 2 l 0 0 0 θ ˙ g 2 r T = a g 2 r 0 a g 2 r n = e 2 ξ g 2 r T X 2 ϒ g 2 r θ g 2 r τ g 2 r 0 0 0
Then, the parameters of the niche equality index are derived and the gradient descent method is used to obtain the adaptive law of the parameters of the niche equality index, as follows:
λ f 2 l η + 1 = 1 2 2 π e λ f 2 l η λ σ f 2 l η + σ 2 2 . 1 σ f 2 l η + σ . τ f 2 l 0 e 2 ξ f 2 l T X 2 ϒ f 2 l θ f 2 l λ f 2 r η + 1 = 1 2 2 π e λ f 2 r η λ σ f 2 r η + σ 2 2 . 1 σ f 2 r η + σ . τ f 2 r 0 e 2 ξ f 2 r T X 2 ϒ f 2 r θ f 2 r σ f 2 l η + 1 = 1 2 2 π e λ f 2 l η λ σ f 2 l η + σ 2 2 . λ f 2 l η + λ σ f 2 l η + σ 2 . τ f 2 l 0 e 2 ξ f 2 l T X 2 ϒ f 2 l θ f 2 l σ f 2 r η + 1 = 1 2 2 π e λ f 2 r η λ σ f 2 r η + σ 2 2 . λ f 2 r η + λ σ f 2 r η + σ 2 . τ f 2 r 0 e 2 ξ f 2 r T X 2 ϒ f 2 r θ f 2 r
λ g 2 l η + 1 = 1 2 2 π e λ g 2 l η λ σ g 2 l η + σ 2 2 . 1 σ g 2 l η + σ . τ g 2 l 0 e 2 ξ g 2 l T X 2 ϒ g 2 l θ g 2 l λ g 2 r η + 1 = 1 2 2 π e λ g 2 r η λ σ g 2 r η + σ 2 2 . 1 σ g 2 r η + σ . τ g 2 r 0 e 2 ξ g 2 r T X 2 ϒ g 2 r θ g 2 r σ g 2 l η + 1 = 1 2 2 π e λ g 2 l η λ σ g 2 l η + σ 2 2 . λ g 2 l η + λ σ g 2 l η + σ 2 . τ g 2 l 0 e 2 ξ g 2 l T X 2 ϒ g 2 l θ g 2 l σ g 2 r η + 1 = 1 2 2 π e λ g 2 r η λ σ g 2 r η + σ 2 2 . λ g 2 r η + λ σ g 2 r η + σ 2 . τ g 2 r 0 e 2 ξ g 2 r T X 2 ϒ g 2 r θ g 2 r
Bringing Equation (33) into Equation (32):
V ˙ 2 e 2 e 3 d 11 e 1 2 d 21 e 2 2 + ε 1 2 4 d 12 + ε 2 2 4 d 22 ϒ f 2 l θ ~ f 2 l 2 2 ϒ f 2 r θ ~ f 2 r 2 2 ϒ g 2 l θ ~ g 2 l 2 2 ϒ g 2 r θ ~ g 2 r 2 2 ϒ f 1 l θ ~ f 2 l 2 2 ϒ f 1 r θ ~ f 2 r 2 2 ϒ g 1 l θ ~ g 2 l 2 2 ϒ g 1 r θ ~ g 2 r 2 2 + ϒ f 1 l θ f 1 l * 2 2 + ϒ f 1 r θ f 1 r * 2 2 + ϒ g 1 l θ g 1 l * 2 2 + ϒ g 1 r θ g 1 r * 2 2 + ϒ f 2 l θ f 2 l * 2 2 + ϒ f 2 r θ f 2 r * 2 2 + ϒ g 2 l θ g 2 l * 2 2 + ϒ g 2 r θ g 2 r * 2 2
where d 21 , d 22 are positive real numbers.
Similarly, the parameters of the niche equality index function are derived and the adaptive law of the parameters is obtained using the gradient descent method. The subsequent steps are similar to the first step, which is gradually derived, and the parameter adaptive law is adjusted by continuously defining new errors, virtual controllers, and introducing Lyapunov functions, so as to gradually construct the complete controller to achieve the effective control of the system. Every step is taken on the premise of guaranteeing the stability of the system to advance towards the final controller design.
Step i   3 i n 1 : Similar to the first step and the second step method, define the following:
e i = x i υ i 1
Differencing e i :
e ˙ i = x ˙ i υ ˙ i 1 = f i X i + g i X i x i + 1 υ ˙ i 1
Think of x i + 1 as a virtual controller and define the following:
υ i * = e i 1 k i e i 1 g i X i f i X i υ ˙ i 1
where k i is the normal number.
υ ˙ i 1 = k = 1 i 1 υ i 1 x k g k x k + 1 + f k + υ i 1 y i y i + k = 1 i 1 υ i 1 θ f k l Γ f k l e k ξ f k l T ϒ f k l θ f k l + k = 1 i 1 υ i 1 θ f k r Γ f k r e k ξ f k r T ϒ f k r θ f k r + k = 1 i 1 υ i 1 θ g k r Γ g k r e k ξ g k r T ϒ g k r θ g k r + k = 1 i 1 υ i 1 θ g k l Γ g k l e k ξ g k l T ϒ g k l θ g k l
Approximating unknown functions 1 g i X i f i X i υ ˙ i 1 with Type-2 T-S fuzzy logic systems ξ f i T X i θ f i and ξ g i T X i θ g i , the following exists:
υ i = e i 1 k i e i ξ f i T X i θ f i ξ g i T X i θ g i
Considering x i + 1 as x i + 1 = e i + 1 + υ i , Equation (39) is as follows:
e ˙ i = g i X i e i + 1 e i 1 k i e i ξ f i T X i θ ~ f i ξ g i T X i θ ~ g i + ω i
where ω i = ω f i + ω g i , θ ~ f i = θ f i θ f i * . θ ~ g i = θ g i θ g i * .
Consider the following Lyapunov function:
V i = V i 1 + 1 2 g i X i e i 2 + 1 2 Γ f i θ ~ f i T θ ~ f i + 1 2 Γ g i θ ~ g i T θ ~ g i = V i 1 + 1 2 g i X i e i 2 + 1 2 Γ f i l θ ~ f i l T θ ~ f i l + 1 2 Γ f i r θ ~ f i r T θ ~ f i r + 1 2 Γ g i l θ ~ g i l T θ ~ g i l + 1 2 Γ g i r θ ~ g i r T θ ~ g i r
Differentiating the above Equation (44), the following is true:
V ˙ i = V ˙ i 1 e i 1 e i + e i e i + 1 g ˙ i X i 2 g i 2 X i e i 2 + e i ω i θ ~ f i l T e i ξ f i l T X i 1 Γ f i l θ ˙ f i l θ ~ f i r T e i ξ f i r T X i 1 Γ f i r θ ˙ f i r θ ~ g i r T e i ξ g i r T X i 1 Γ g i r θ ˙ g i r θ ~ g i l T e i ξ g i l T X i 1 Γ g i l θ ˙ g i l
Select the following adaptive law:
θ ˙ f i l = θ ~ ˙ f i l = Γ f i l e i ξ f i l T X i ϒ f i l θ f i l ,   θ ˙ f i r = θ ~ ˙ f i r = Γ f i r e i ξ f i r T X i ϒ f i r θ f i r θ ˙ g i r = θ ~ ˙ g i r = Γ g i r e i ξ g i r T X i ϒ g i r θ g i r , θ ˙ g i l = θ ~ ˙ g i l = Γ g i l e i ξ g i l T X i ϒ g i l θ g i l
where ϒ f i l , ϒ f i r , ϒ g i r , ϒ g i l are the given positive real numbers.
Γ f i = Γ f i l Γ f i r , Γ f i l = τ f i l 0 τ f i l n , Γ g i can be similarly expressed.
According to the adaptive law obtained in (46), the following is true:
θ ˙ f 2 l T = a f i l 0 a f i l n ( ) e i ξ f i l T X i ϒ f i l θ f i l τ f i l 0 k 0 0 θ ˙ f i r T = a f i r 0 a f i r n = e i ξ f i r T X i ϒ f i r θ f i r τ f i r 0 0 0 θ ˙ g i l T = a g i l 0 a g i l n = e i ξ g i l T X i ϒ g i l θ g i l τ g i l 0 0 0 θ ˙ g i r T = a g i r 0 a g i r n = e i ξ g i r T X i ϒ g i r θ g i r τ g i r 0 0 0
Then, the parameters of the niche equality index are derived and the gradient descent method is used to obtain the adaptive law of the parameters of niche equality index, as follows:
λ f i l η + 1 = 1 2 2 π e λ f i l η λ σ f i l η + σ 2 2 . 1 σ f i l η + σ . τ f i l 0 e i ξ f i l T X i ϒ f i l θ f i l λ f i r η + 1 = 1 2 2 π e λ f i r η λ σ f i r η + σ 2 2 . 1 σ f i r η + σ . τ f i r 0 e i ξ f i r T X i ϒ f i r θ f i r σ f i l η + 1 = 1 2 2 π e λ f i l η λ σ f i l η + σ 2 2 . λ f i l η + λ σ f i l η + σ 2 . τ f i l 0 e i ξ f i l T X i ϒ f i l θ f i l σ f i r η + 1 = 1 2 2 π e λ f i r η λ σ f i r η + σ 2 2 . λ f i r η + λ σ f i r η + σ 2 . τ f i r 0 e i ξ f i r T X i ϒ f i r θ f i r
λ g i l η + 1 = 1 2 2 π e λ g i l η λ σ g i l η + σ 2 2 . 1 σ g i l η + σ . τ g i l 0 e i ξ g i l T X i ϒ g i l θ g i l λ g i r η + 1 = 1 2 2 π e λ g i r η λ σ g i r η + σ 2 2 . 1 σ g i r η + σ . τ g i r 0 e i ξ g i r T X i ϒ g i r θ g i r σ g i l η + 1 = 1 2 2 π e λ g i l η λ σ g i l η + σ 2 2 . λ g i l η + λ σ g i l η + σ 2 . τ g i l 0 e i ξ g i l T X i ϒ g i l θ g i l σ g i r η + 1 = 1 2 2 π e λ g i r η λ σ g i r η + σ 2 2 . λ g i r η + λ σ g i r η + σ 2 . τ g i r 0 e i ξ g i r T X i ϒ g i r θ g i r
Bringing Equation (46) into Equation (45):
V ˙ i e i e i + 1 k = 1 i d k 1 e k 2 + k = 1 i ε k 2 4 k k 2 k = 1 i ϒ f k l θ ~ f k l 2 2 k = 1 i ϒ f k r θ ~ f k r 2 2 k = 1 i ϒ g k r θ ~ g k r 2 2 k = 1 i ϒ g k l θ ~ g k l 2 2 + k = 1 i ϒ f k l θ f k l * 2 2 + k = 1 i ϒ f k r θ f k r * 2 2 + k = 1 i ϒ g k r θ g k r * 2 2 + k = 1 i ϒ g k l θ g k l * 2 2
Step n , which is the last step, will derive the actual controller for this method u .
Define e n = x n υ n 1 and find the derivative:
e n = x ˙ n υ ˙ n 1 = f n X n + g n X n u υ ˙ n 1
Define the actual controller as follows:
u = e n 1 k n e n ξ f n T X n θ ~ f n ξ g n T X n θ ~ g n
Among them, k n > 0 , θ ~ f n = θ f n θ f n * , θ ~ g n = θ g n θ g n * .
Choose the final Lyapunov function as follows:
V = V n 1 + 1 2 g n X n e n 2 + 1 2 Γ f n θ ~ f n T θ ~ f n + 1 2 Γ g n θ ~ g n T θ ~ g n = V n 1 + 1 2 g n X n e n 2 + 1 2 Γ f n l θ ~ f n l T θ ~ f n l + 1 2 Γ f n r θ ~ f n r T θ ~ f n r + 1 2 Γ g n r θ ~ g n r T θ ~ g n r + 1 2 Γ g n l θ ~ g n l T θ ~ g n l
Deriving the above Equation (53), the following is true:
V ˙ = V ˙ n 1 e n 1 e n k n e n 2 g n X n 2 g n 2 X n e n 2 + e n ω n θ ~ f n l T e n ξ f n l T X n 1 Γ f n l θ ˙ f n l θ ~ f n r T e n ξ f n r T X n 1 Γ f n r θ ˙ f n r θ ~ g n r T e n ξ g n r T X n 1 Γ g n r θ ˙ g n r θ ~ g n l T e n ξ g n l T X n 1 Γ g n l θ ˙ g n l
Select the adaptive law as follows:
θ ˙ f n l = θ ~ ˙ f n l = Γ f n l e n ξ f n l T X n ϒ f n l θ f n l θ ˙ f n r = θ ~ ˙ f n r = Γ f n r e n ξ f n r T X n ϒ f n r θ f n r θ ˙ g n r = θ ~ ˙ g n r = Γ g n r e n ξ g n r T X n ϒ g n r θ g n r θ ˙ g n l = θ ~ ˙ g n l = Γ g n l e n ξ g n l T X n ϒ g n l θ g n l
where ϒ f n l , ϒ f n r , ϒ g n r , ϒ g n l are the given positive real numbers.
Γ f n = Γ f n l Γ f n r , Γ f n l = τ f n l 0 τ f n l n ,   Γ g n can be similarly expressed.
According to the adaptive law obtained from (55), the following is true:
θ ˙ f n l T = a f n l 0 a f n l n ( ) e n ξ f n l T X n ϒ f n l θ f n l τ f n l 0 0 0 θ ˙ f n r T = a f n r 0 a f n r n = e n ξ f n r T X n ϒ f n r θ f n r τ f n r 0 0 0 θ ˙ g n l T = a g n l 0 a g n l n = e n ξ g n l T X n ϒ g n l θ g n l τ g n l 0 0 0 θ ˙ g n r T = a g n r 0 a g n r n = e n ξ g n r T X n ϒ g n r θ g n r τ g n r 0 0 0
Then, the parameters of the niche equality index are derived and the gradient descent method is used to obtain the adaptive law of the parameters of the niche equality index, as follows:
λ f n l η + 1 = 1 2 2 π e λ f n l η λ σ f n l η + σ 2 2 . 1 σ f n l η + σ . τ f n l 0 e n ξ f n l T X n ϒ f n l θ f n l λ f n r η + 1 = 1 2 2 π e λ f n r η λ σ f n r η + σ 2 2 . 1 σ f n r η + σ . τ f n r 0 e n ξ f n r T X n ϒ f n r θ f n r σ f n l η + 1 = 1 2 2 π e λ f n l η λ σ f n l η + σ 2 2 . λ f n l η + λ σ f n l η + σ 2 . τ f n l 0 e n ξ f n l T X n ϒ f n l θ f n l σ f n r η + 1 = 1 2 2 π e λ f n r η λ σ f n r η + σ 2 2 . λ f n r η + λ σ f n r η + σ 2 . τ f n r 0 e n ξ f n r T X n ϒ f n r θ f n r
λ g n l η + 1 = 1 2 2 π e λ g n l η λ σ g n l η + σ 2 2 . 1 σ g n l η + σ . τ g n l 0 e n ξ g n l T X n ϒ g n l θ g n l λ g n r η + 1 = 1 2 2 π e λ g n r η λ σ g n r η + σ 2 2 . 1 σ g n r η + σ . τ g n r 0 e n ξ g n r T X n ϒ g n r θ g n r σ g n l η + 1 = 1 2 2 π e λ g n l η λ σ g n l η + σ 2 2 . λ g n l η + λ σ g n l η + σ 2 . τ g n l 0 e n ξ g n l T X n ϒ g n l θ g n l σ g n r η + 1 = 1 2 2 π e λ g n r η λ σ g n r η + σ 2 2 . λ g n r η + λ σ g n r η + σ 2 . τ g n r 0 e n ξ g n r T X n ϒ g n r θ g n r
Substituting (55) into (54) yields the following:
V ˙ k = 1 n d k 1 e k 2 + k = 1 n ε k 2 4 k k 2 k = 1 n ϒ f k l θ ~ f k l 2 2 k = 1 n ϒ f k r θ ~ f k r 2 2 k = 1 n ϒ g k l θ ~ g k l 2 2 k = 1 n ϒ g k r θ ~ g k r 2 2 + k = 1 n ϒ f k l θ f k l * 2 2 + k = 1 n ϒ f k r θ f k r * 2 2 + k = 1 n ϒ g k l θ g k l * 2 2 + k = 1 n ϒ g k r θ g k r * 2 2
The method of [26] was used to prove the following:
V t V t 0 e ρ t t 0 + C , where ρ and C are positive constants, as evidenced in detail in [26].
According to the parameter adaptive law, the actual controller is deduced by the above equation, and the whole controller design process is completed to ensure that the system can operate stably and realize the tracking of the reference signal under the action of this controller.
These formulas are interrelated and together constitute the theoretical basis of the methodology of this paper, which plays a key role in system modeling, controller design and parameter optimization. Through the use and derivation of these formulas, the effective control of uncertain parameter systems with complex nonlinearities is achieved.

4. Example Simulation

In order to verify the effectiveness of the method proposed in this paper, Matrix Laboratory R2020b software was utilized for the analysis, and the following nonlinear system is considered. The specific methods are as follows:
x ˙ 1 = f 1 ( X 1 ) + g 1 ( X 1 ) x 2 x ˙ 2 = f 2 ( X 1 ) + g 2 ( X 1 ) u y = x 1
where f 1 ( X 1 ) = sin ( t ) cos ( t ) ,     f 2 ( X 1 ) = 3 sin ( t ) + 5 ,   g 1 = 20 ,   g 2 = 30 .   Select the reference signal as y 1 = sin ( t ) . Define the error e 1 = y y 1 ,     e 2 = x 2 υ 1 ,   υ 1 as the virtual control law. The control input u is designed according to Equation (52) as follows:
u = e 1 k 2 e 2 ξ f 2 T ( X 2 ) θ ~ f 2 ξ g 2 T ( X 2 ) θ ~ g 2
where ξ f 2 = ξ f 2 l ξ f 2 r X ,   ξ g 2 = ξ g 2 l ξ g 2 r ( ) f 2 θ f 2 l θ f 2 r T ,   θ g 2 = θ g 2 l θ g 2 r T .
The adaptive laws of θ f 2 and θ g 2 are given by Equation (33), while the virtual control law υ 1 is given by Equation (18). The remaining parameters are set to the following:
k 1 = 5 ,   k 2 = 10 ,   ϒ f 1 l = ϒ f 1 r = ϒ g 1 l = ϒ g 1 r = ϒ f 2 l = ϒ f 2 r = ϒ g 2 l = ϒ g 2 r = 10 , Γ f 1 l = Γ f 1 r = Γ g 1 l = Γ g 1 r = Γ f 2 l = Γ f 2 r = Γ g 2 l = Γ g 2 r = 1 ,   and   x 1 ( 0 ) = 1 , x 2 ( 0 ) = 0 .
The trajectory of the y -tracking reference signal output by the system is shown in Figure 1, and the trajectory tracking error is shown in Figure 2. According to Figure 1, we can see that the trajectory of the whole image is smooth, reflecting the stable tracking of the reference signal trajectory. The actual tracking trajectory is close to the reference signal trajectory, indicating high tracking accuracy. According to Figure 2, we learn that the trajectory tracking error is almost 0, reflecting the superior performance of trajectory tracking. The above analysis reflects the good tracking results of the method proposed in this paper.
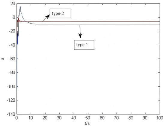
Based on two different algorithms, the contributions are compared and given in Figure 3 and Figure 4, respectively. From Figure 3, it can be seen that the degree of fluctuation of Type-1 is greater than that of Type-2, while the controller output of Type-2 is more stable. In Figure 4, the tracking error of Type-2 shows almost no variation with time, while the tracking error of Type-1 shows a greater degree of variation. In summary, it can be judged that the tracking performance of Type-2 is more stable and superior.
The variable diagram and the system phase diagram after control are shown in Figure 5 and Figure 6. According to Figure 5, we obtain the variable diagram smoothing after control. According to Figure 6, we can see that the system phase diagram after control is close to a stable value, indicating that, at this time, the system has almost no delay, and the output signal can follow the input signal better, reflecting the stability of the method proposed in this paper.
Above all, the nomenclatures and mathematical symbols mentioned in this paper are explained in Appendix A. All nomenclatures mentioned in this paper are shown in Table A1, and all mathematical symbols are shown in Table A2 in the Appendix A.

5. Conclusions

The stability of niche can reflect the advantages and disadvantages of biological systems, and can reflect the balance of the ecological state; hence, it plays an essential role in the ecological system. The more advanced the ecosystem, the more high-end and complex nonlinearity it presents, and backstepping fuzzy control is very effective in dealing with this type of uncertain parameter system with complex nonlinearity. In this paper, by introducing the backstepping control method into the Type-2 fuzzy T-S control principle and analyzing it through example simulations, we find that this method has good results in stability and parameter tracking. Therefore, the Type-2 T-S Backstepping fuzzy control method should be introduced to find out the self-adaptation rate of relevant ecological factor parameters; reflect the self-pursuit, self-coordination, and self-adaptation ability of individual organisms to the environment; and highlight the physical background of bionic intelligent control.

Author Contributions

Software, Z.Z.; data curation, J.X.; writing—original draft preparation, Y.H.; writing—review and editing, M.W. and J.T.; funding acquisition and supervision, J.T. All authors have read and agreed to the published version of the manuscript.

Funding

This work was supported by the University Outstanding Youth Research Project in Anhui Province (No. 2022AH020082). This work was also supported by the project of “Collaborative Quality Improvement Plan for Teacher Education Reform and Innovation Research” (2024 XTTZX M06) and the project of the Provincial Quality Engineering Project of Higher Education Institutions in Anhui Province (2021xxkc133).

Data Availability Statement

Research data is unavailable due to privacy or ethical restrictions.

Conflicts of Interest

The authors declare no conflict of interest.

Appendix A

Table A1. Nomenclature table.
Table A1. Nomenclature table.
TermDefinition
NicheThe position of a species in an ecosystem, including its spatial location in the environment, its occupancy of resources, and the functions and roles it plays in ecological processes.
Niche equality indexThe degree to which the ecological niche that a species actually occupies in an ecosystem corresponds to the ideal ecological niche that is best suited for the survival and development of the species and maximizes its ecological function.
Fuzzy controlA method for the effective control of complex systems based on fuzzy sets, fuzzy linguistic variables, and fuzzy reasoning, using fuzzy concepts in natural language rather than exact mathematical models to describe system inputs, outputs, and control rules.
Bionic intelligenceAn interdisciplinary field of technology that designs and develops artificial systems with similar intelligent behaviors by studying the structure, function, and workings of biological systems and mimicking these biological properties to achieve efficient perception, decision-making, and action.
Membership functionA function used in fuzzy sets to describe the degree to which an element belongs to a fuzzy set, which maps elements in the domain to a value between 0 and 1, which represents the degree of affiliation of the element to that fuzzy set.
BacksteppingA nonlinear control design method that ensures the global asymptotic stability of the system by decomposing the complex nonlinear system into multiple subsystems, gradually reverse designing the virtual control inputs and the actual control inputs starting from the output of the system, and utilizing the Lyapunov stability theory to ensure the global asymptotic stability of the system, so as to realize the effective control of the nonlinear system.
Adaptive lawThe rules or algorithms used in adaptive control systems to adjust the controller parameters in real time according to the system operation state to adapt to the changes in the parameters of the controlled object, external disturbances, and model uncertainty, so as to make the system achieve a good control effect.
Gradient descent methodAn optimization algorithm that calculates the gradient of the objective function at the current position, and then iteratively searches along the opposite direction of the gradient in a certain number of steps, so that the value of the objective function decreases gradually until a local minimum is found or a stopping condition is satisfied.
Lyapunov functionA scalar function used to determine the stability of a dynamical system. For a dynamical system, if such a positive definite function can be found and its derivatives along the system trajectory satisfy certain conditions, it can be inferred that the system is stable at the equilibrium point or within a certain range.
Table A2. Mathematical symbols table.
Table A2. Mathematical symbols table.
Mathematical SymbolsDefinition
X i = x 1 , x 2 , , x i T R i State vector
f X , g X Bounded unknown nonlinear functions
A i l , A i r , G i l , G i r The interval Type-2 fuzzy sets of the state vector x i
λ l = x 1 l , x 2 l , , x n l , λ r = x 1 r , x 2 r , , x n r The actual ecological factors
λ = x 1 * , x 2 * , , x n * The ideal ecological factors
x i l , x j l , x i r , x j r The center values of the membership function
σThe width values of the membership function
a 0 l , a 0 r , b 0 l , b 0 r The consequent constants after the output of the system
f ^ ( X i ) The rule antecedent fuzzy system
Z ˜ f i , i = ( 1 , 2 , , M ) Backstepping Type-2 type fuzzy set outputs
γDetermined step size
θ f l , θ f r , θ g r , θ g l The optimal parameters
Ω f , Ω g , Ω X , Ω X ¯ The bounded compact set number
M f , M g , M D , M X , M X ¯ Normal numbers
ϒ f i l , ϒ f i r , ϒ g i r , ϒ g i l Given positive real numbers
ξ f i T X i θ f i , ξ g i T X i θ g i Type-2 T-S fuzzy logic systems

References

  1. Arias-Real, R.; Menéndez, M.; Muñoz, I.; Pascoal, C. Drying shapes the ecological niche of aquatic fungi with implications on ecosystem functioning. Sci. Total Environ. 2023, 859, 160374. [Google Scholar] [CrossRef] [PubMed]
  2. Lindstrom, M.R. Local existence of solutions to a nonlinear autonomous PDE model for population dynamics with nonlocal transport and competition. Commun. Nonlinear Sci. Numer. Simul. 2024, 132, 107815. [Google Scholar] [CrossRef]
  3. Kanagalakshmi, S.; Manamalli, D.; Rafiq, M.M. Real time Implementation of multimodel based PID and Fuzzy controller for Injection molding machine. IFAC Proc. Vol. 2023, 46, 493–498. [Google Scholar] [CrossRef]
  4. Li, Y.; Hu, S. Fuzzy mathematical model of complex ecological system. Fuzzy Syst. Math. 2004, 2, 89–99. [Google Scholar]
  5. Li, Y. Nonlinear Analysis and Fuzzy Fault-Tolerant Control of Complex Ecological System; Nanjing University of Aeronautics and Astronautics: Nanjing, China, 2005. [Google Scholar]
  6. Li, Y.M.; Li, X.; Hua, J. Ecological system stability and diversity based on complex networks. Chin. J. Ecol. 2014, 33, 1700–1706. [Google Scholar]
  7. Li, L.; Hu, S. Fuzzy control method based on niche technique. Syst. Eng. Theory Pract. 2004, 3, 63–68. [Google Scholar]
  8. Wang, X.; Li, Y. Kind of new niche fuzzy control method. Sci. Technol. Eng. 2007, 24, 6318–6321. [Google Scholar]
  9. Hao, Y. Indirect adaptive control of T-S fuzzy systems based on Niche. Syst. Eng. Electron. 2012, 10, 2282–2287. [Google Scholar]
  10. Liang, S.; Bai, X.; Li, Y.; Xin, H. Model and solution of sustainable bi-level emergency commodity allocation based on type-2 fuzzy theory. Socio-Econ. Plan. Sci. 2023, 4, 101749. [Google Scholar] [CrossRef]
  11. Li, Y.; Wang, X. Based on the application of Type-2 fuzzy equality index in the ecosystem. Pract. Underst. Math. 2010, 40, 74–82. [Google Scholar]
  12. Zhang, F.; Chen, Y.Y. Indirect adaptive fuzzy control with a new control input transformation. IFAC PapersOnLine 2022, 55, 184–189. [Google Scholar] [CrossRef]
  13. Hao, Y.; Cheng, X.; Wang, M. Type-2 direct T-S fuzzy control of niche equality index. Appl. Math. Mech. 2020, 41, 12–16. [Google Scholar]
  14. Hao, Y.; Wang, M. Type-2 T-S Fuzzy Control for nonlinear systems with Niche Equality Index function. Int. J. Fuzzy Syst. 2021, 23, 1281–1293. [Google Scholar] [CrossRef]
  15. Krstic, M.; Kanellakopoulos, I. Nonlinear and Adaptive Control Design; John Wiley and Sons: Hoboken, NJ, USA, 1995. [Google Scholar]
  16. Pang, H.; Zhang, X.; Chen, J.; Liu, K. Design of a coordinated adaptive backstepping tracking control for nonlinear uncertain active suspension system. Appl. Math. Model. 2019, 76, 479–494. [Google Scholar] [CrossRef]
  17. Gong, C.; Ru, Q.; Yuan, L. Projection-Based Adaptive Command Filtered and Finite-Time Backstepping Control for Unknown Strict Feedback Nonlinear Systems Based on Immune Function with Dead-Zone Input. Syst. Sci. Math. 2023, 43, 543–558. [Google Scholar]
  18. Liu, W.; Cheng, X.; Zhang, J. Command filter-based adaptive fuzzy integral backstepping control for quadrotor UAV with input saturation. J. Frankl. Inst. 2023, 360, 484–507. [Google Scholar] [CrossRef]
  19. Yao, Y.; Wu, L.B. Backstepping control for fractional discrete-time systems. Appl. Math. Comput. 2022, 434, 127450. [Google Scholar] [CrossRef]
  20. Pu, C.; Yu, H.; Meng, X. Adaptive Super Twisting Terminal Sliding Mode and Backstepping Control of PMSM Based on Disturbance Observation. Control Eng. 2023, 1–10. [Google Scholar] [CrossRef]
  21. Zhao, L.; Li, Z.; Li, H.; Liu, B. Backstepping integral sliding mode control for pneumatic manipulators via adaptive extended state observers. ISA Trans. 2024, 144, 374–384. [Google Scholar] [CrossRef]
  22. Liu, H.; Wang, R.; Sun, F.; Xing, X. Adaptive self-structuring neural network control for full-state constrained hydraulic systems with disturbance compensation. Appl. Math. Model. 2024, 129, 1–24. [Google Scholar] [CrossRef]
  23. Wang, X.; Wang, Y.; Yao, S.; Qu, C.; Wang, H. Adaptive backstepping control of primary permanent magnet linear motor via radial basis functional neural network and command filter. Comput. Electr. Eng. 2023, 109, 108774. [Google Scholar] [CrossRef]
  24. Uçak, K.; Günel, G.Ö. Adaptive stable backstepping controller based on support vector regression for nonlinear systems. Eng. Appl. Artif. Intell. 2024, 129, 107533. [Google Scholar] [CrossRef]
  25. Xu, Z.; Yan, T.; Yang, S.X.; Gadsden, S.A. Bioinspired backstepping sliding mode control and adaptive sliding innovation filter of quadrotor unmanned aerial vehicles. Biomim. Intell. Robot. 2023, 3, 100116. [Google Scholar] [CrossRef]
  26. Alsager, M.K.; Alharbi, A.H. Exploring Symmetry in Industrial Decision-Making: A New Framework Based on Cubic Type-2 Fuzzy Soft Sets. Symmetry 2024, 16, 1491. [Google Scholar] [CrossRef]
  27. Gimazov, R.; Shidlovskiy, S. Investigation of the influence of the symmetry of membership functions in the fuzzy controller on the quality of MPPT regulation in the photovoltaic system. MATEC Web Conf. 2017, 141, 01016. [Google Scholar] [CrossRef]
  28. Huang, Z.; Wang, H.; Niu, B.; Zhao, X.; Ahmad, A.M. Practical fixed-time adaptive fuzzy control of uncertain nonlinear systems with time-varying asymmetric constraints: A unified barrier function based approach. Front. Inf. Technol. Electron. Eng. 2024, 25, 1282–1295. [Google Scholar] [CrossRef]
  29. Yimin, L.; Yang, Y.; Li, L. Fuzzy adaptive backstepping control based on type-2 fuzzy system. Appl. Math. Model. 2012, 36, 2710–2723. [Google Scholar]
Figure 1. Reference signal trajectory tracking.
Figure 1. Reference signal trajectory tracking.
Symmetry 17 00121 g001
Figure 2. Trajectory tracking error.
Figure 2. Trajectory tracking error.
Symmetry 17 00121 g002
Figure 3. Controller output comparison.
Figure 3. Controller output comparison.
Symmetry 17 00121 g003
Figure 4. Tracking error output comparison.
Figure 4. Tracking error output comparison.
Symmetry 17 00121 g004
Figure 5. Variable diagram after control.
Figure 5. Variable diagram after control.
Symmetry 17 00121 g005
Figure 6. The system phase diagram after control.
Figure 6. The system phase diagram after control.
Symmetry 17 00121 g006
Disclaimer/Publisher’s Note: The statements, opinions and data contained in all publications are solely those of the individual author(s) and contributor(s) and not of MDPI and/or the editor(s). MDPI and/or the editor(s) disclaim responsibility for any injury to people or property resulting from any ideas, methods, instructions or products referred to in the content.

Share and Cite

MDPI and ACS Style

Hao, Y.; Wang, M.; Tang, J.; Zhang, Z.; Xiong, J. Type-2 Backstepping T-S Fuzzy Bionic Control Based on Niche Symmetry Function. Symmetry 2025, 17, 121. https://doi.org/10.3390/sym17010121

AMA Style

Hao Y, Wang M, Tang J, Zhang Z, Xiong J. Type-2 Backstepping T-S Fuzzy Bionic Control Based on Niche Symmetry Function. Symmetry. 2025; 17(1):121. https://doi.org/10.3390/sym17010121

Chicago/Turabian Style

Hao, Yunli, Maohua Wang, Jian Tang, Ziyue Zhang, and Jiangling Xiong. 2025. "Type-2 Backstepping T-S Fuzzy Bionic Control Based on Niche Symmetry Function" Symmetry 17, no. 1: 121. https://doi.org/10.3390/sym17010121

APA Style

Hao, Y., Wang, M., Tang, J., Zhang, Z., & Xiong, J. (2025). Type-2 Backstepping T-S Fuzzy Bionic Control Based on Niche Symmetry Function. Symmetry, 17(1), 121. https://doi.org/10.3390/sym17010121

Note that from the first issue of 2016, this journal uses article numbers instead of page numbers. See further details here.

Article Metrics

Back to TopTop