Partial Imaginary Transition State (ITS) Graphs: A Formal Framework for Research and Analysis of Atom-to-Atom Maps of Unbalanced Chemical Reactions and Their Completions
Abstract
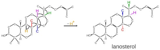
1. Introduction
2. Preliminaries
2.1. Notation
2.2. Atom-to-Atom Map, ITS Graph, and Reaction Center
- (i)
- There is a bijection ,
- (ii)
- For we have iff or ,
- (iii)
- is labeled by the ordered pair and is labeled by the pair
2.3. Connectedness of the ITS Graphs, Reaction Center and AAMs
2.4. Good and Bad Reaction Patterns
3. Incomplete Atom-to-Atom Maps and partial ITS Graphs
3.1. Good and Bad Partial AAMs
3.2. An ILP for Completing Bad Partial AAMs on Balanced Reactions
3.3. Unbalanced Reactions and Graph Alignments
- (A1)
- In in/del columns , a gap label ⌀ is replaced by the non-gap atom label or , respectively, that appears in the same column.
- (A2)
- If , then or are replaced, respectively, by and , only if x and y are in/del columns of the same type, i.e., they have the same gap entry; otherwise, the label is left unchanged. This step handles all non-reaction edges.
- (A3)
- If and then let if or if , and also if or if . Set . If , or if either x or y are in/del columns, then there is no edge between them; otherwise, the reaction edge with label is added to . This step pertains to reaction edges.
4. Comparison of Partial AAM
4.1. Equivalence of Partial AAMs
4.2. Consistency of Partial AAMs
5. Atom-to-Atom Maps and Tautomerism
5.1. The Problem
5.2. Tautomerism Equivalence
5.3. Tautomerism ITS Graphs
6. Hydrogens—A Necessary Nuisance
7. Concluding Remarks
Author Contributions
Funding
Data Availability Statement
Acknowledgments
Conflicts of Interest
Abbreviations
| AAM | atom-to-atom map |
| CGR | condensed graph of the reaction |
| DPO | double pushout (graph grammars) |
| ILP | integer linear program |
| ITS | imaginary transition state |
Appendix A
Appendix A.1. Inconsistent AAMs from KEGG RCLASSes

References
- Elsevier “Reaxys”. Available online: https://www.elsevier.com/products/reaxys (accessed on 20 July 2024).
- Crabtree, J.D.; Mehta, D.P. Automated reaction mapping (ACM). J. Exp. Algorithmics 2009, 13, 15. [Google Scholar] [CrossRef]
- Chen, W.L.; Chen, D.Z.; Taylor, K.T. Automatic reaction mapping and reaction center detection. WIREs Comput. Mol. Sci. 2013, 3, 560–593. [Google Scholar] [CrossRef]
- Fooshee, D.; Andronico, A.; Baldi, P. ReactionMap: An efficient atom-mapping algorithm for chemical reactions. J. Chem. Inf. Model. 2013, 53, 2812–2819. [Google Scholar] [CrossRef] [PubMed]
- Mann, M.; Nahar, F.; Schnorr, N.; Backofen, R.; Stadler, P.F.; Flamm, C. Atom mapping with constraint programming. Alg. Mol. Biol. 2014, 9, 23. [Google Scholar] [CrossRef] [PubMed]
- Rahman, S.A.; Torrance, G.; Baldacci, L.; Martínez Cuesta, S.; Fenninger, F.; Gopal, N.; Choudhary, S.; May, J.W.; Holliday, G.L.; Steinbeck, C.; et al. Reaction decoder tool (RDT): Extracting features from chemical reactions. Bioinformatics 2016, 32, 2065–2066. [Google Scholar] [CrossRef]
- Savelev, A.; Puzanov, I.; Samoilov, V.; Karnaukhov, V. Indigo Toolkit. 2019. Available online: https://lifescience.opensource.epam.com/indigo/index.html (accessed on 27 August 2024).
- Schwaller, P.; Hoover, B.; Reymond, J.L.; Strobelt, H.; Laino, T. Extraction of organic chemistry grammar from unsupervised learning of chemical reactions. Sci. Adv. 2021, 7, eabe4166. [Google Scholar] [CrossRef]
- Nugmanov, R.; Dyubankova, N.; Gedich, A.; Wegner, J.K. Bidirectional graphormer for reactivity understanding: Neural network trained to reaction atom-to-atom mapping task. J. Chem. Inf. Model. 2022, 62, 3307–3315. [Google Scholar] [CrossRef]
- Chen, S.; An, S.; Babazade, R.; Jung, Y. Precise atom-to-atom mapping for organic reactions via human-in-the-loop machine learning. Nat. Commun. 2024, 15, 2250. [Google Scholar] [CrossRef]
- Lan, Z.; Zeng, Z.; Hong, B.; Liu, Z.; Ma, F. RCsearcher: Reaction center identification in retrosynthesis via deep Q-learning. Pattern Recogn. 2024, 150, 110318. [Google Scholar] [CrossRef]
- González Laffitte, M.E.; Beier, N.; Domschke, N.; Stadler, P.F. Comparison of atom maps. MATCH Comm. Math. Comp. Chem. 2023, 90, 75–102. [Google Scholar] [CrossRef]
- Fujita, S. Description of organic reactions based on imaginary transition structures. 1. Introduction of new concepts. J. Chem. Inf. Comput. Sci. 1986, 26, 205–212. [Google Scholar] [CrossRef]
- Wilcox, C.S.; Levinson, R.A. A self-organized knowledge base for recall, design, and discovery in organic chemistry. In Artificial Intelligence Applications in Chemistry; Pierce, T.H., Hohne, B.A., Eds.; Am. Chem. Soc. Symposium Series, Chapter 18; American Chemical Society: Washington, DC, USA, 1986; Volume 306, pp. 209–230. [Google Scholar] [CrossRef]
- Hoonakker, F.; Lachiche, N.; Varnek, A.; Wagner, A. A representation to apply usual data mining techniques to chemical reactions—Illustration on the rate constant of SN2 reactions in water. Int. J. Artif. Intell. Tools 2011, 20, 253–270. [Google Scholar] [CrossRef]
- Lowe, D.M. Extraction of Chemical Structures and Reactions from the Literature; Technical Report; Apollo—University of Cambridge Repository: Cambridge, UK, 2012. [Google Scholar] [CrossRef]
- Nugmanov, R.I.; Mukhametgaleev, R.N.; Akhmetshin, T.; Gimadiev, T.R.; Afonina, V.A.; Madzhidov, T.I.; Varnek, A. CGRtools: Python library for molecule, reaction, and condensed graph of reaction processing. J. Chem. Inf. Mod. 2019, 59, 2516–2521. [Google Scholar] [CrossRef] [PubMed]
- Zhang, C.; Arun, A.; Lapkin, A.A. Completing and balancing database excerpted chemical reactions with a hybrid mechanistic-machine learning approach. ACS Omega 2024, 9, 18385–18399. [Google Scholar] [CrossRef]
- Phan, T.L.; Weinbauer, K.; Gärtner, T.; Merkle, D.; Andersen, J.L.; Fagerberg, R.; Stadler, P.F. Reaction rebalancing: A novel approach to curating reaction databases. J. Cheminf. 2024, 16, 82. [Google Scholar] [CrossRef]
- Andersen, J.L.; Flamm, C.; Merkle, D.; Stadler, P.F. Inferring chemical reaction patterns using graph grammar rule composition. J. Syst. Chem. 2013, 4, 4. [Google Scholar] [CrossRef]
- Andersen, J.L.; Flamm, C.; Merkle, D.; Stadler, P.F. A software package for chemically inspired graph transformation. In Proceedings of the Graph Transformation, ICGT 2016, Vienna, Austria, 5–6 July 2016; Echahed, R., Minas, M., Eds.; Springer: Berlin/Heidelberg, Germany, 2016; Volume 9761, pp. 73–88. [Google Scholar] [CrossRef]
- IUPAC Chemical Nomenclature and Struture Representation Division; Brecher, J. Graphical representation standards for chemical structure diagrams (IUPAC Recommendations 2008). Pure Appl. Chem. 2008, 80, 277–410. [Google Scholar] [CrossRef]
- Mann, M.; Thiel, B. Kekulé structure enumeration yields unique SMILES. In Proceedings of the WCB13: Workshop on Constraint Based Methods for Bioinformatics, Uppsala, Sweden, 16–20 September 2013; pp. 57–65. [Google Scholar]
- Connolly Martin, Y. Let’s not forget tautomers. J. Comput. Aided. Mol. Des. 2009, 23, 693–704. [Google Scholar] [CrossRef]
- Sayle, R.A. So you think you understand tautomerism? J. Comput. Aided. Mol. Des. 2010, 24, 485–496. [Google Scholar] [CrossRef]
- González Laffitte, M.E.; Stadler, P.F. Progressive multiple alignment of graphs. Algorithms 2024, 17, 116. [Google Scholar] [CrossRef]
- Harary, F. Graph Theory; CRC Press: Boca Raton, FL, USA, 2018. [Google Scholar]
- Horn, F.J.M. Necessary and sufficient conditions for complex balancing in chemical kinetics. Arch. Ration. Mech. Anal. 1972, 49, 172–186. [Google Scholar] [CrossRef]
- Feinberg, M. Complex balancing in general kinetic systems. Arch. Ration. Mech. Anal. 1972, 49, 187–194. [Google Scholar] [CrossRef]
- Dugundji, J.; Ugi, I. An algebraic model of constitutional chemistry as a basis for chemical computer programs. Topics Curr. Chem. 1973, 39, 19–64. [Google Scholar] [CrossRef]
- Lynch, M.F.; Willett, P. The automatic detection of chemical reaction sites. J. Chem. Inf. Comput. Sci. 1978, 18, 154–159. [Google Scholar] [CrossRef]
- Funatsu, K.; Endo, T.; Kotera, N.; Sasaki, S.I. Automatic recognition of reaction site in organic chemical reactions. Tetrahedron Comput. Methodol 1988, 1, 53–69. [Google Scholar] [CrossRef]
- Fujita, S. Imaginary transition structures. A novel approach to computer oriented representation of organic reactions. J. Synth. Org. Chem. Japan 1989, 47, 396–412. [Google Scholar] [CrossRef][Green Version]
- Flamm, C.; Müller, S.; Stadler, P.F. Every atom-atom map for neutral molecules can be explained by electron pair pushing diagrams. Discr. Math. Chem. 2024, in press. [Google Scholar] [CrossRef]
- Hendrickson, J.B. Descriptions of reactions: Their logic and applications. Red. Trav. Chim. Pays-Bas 1992, 111, 323–334. [Google Scholar] [CrossRef]
- Fujita, S. A novel approach to the enumeration of reaction types by counting reaction-center graphs which appear as the substructures of imaginary transition structures. Bull. Chem. Soc. Japan 1988, 61, 4189–4206. [Google Scholar] [CrossRef]
- Hattori, M.; Okuno, Y.; Goto, S.; Kanehisa, M. Development of a chemical structure comparison method for integrated analysis of chemical and genomic information in the metabolic pathways. J. Am. Chem. Soc. 2003, 125, 11853–11865. [Google Scholar] [CrossRef]
- Beier, N.; Gatter, T.; Stadler, P.F. Converting KEGG RCLASS data into DPO graph rewriting rules. 2024; in preparation. [Google Scholar]
- Cordella, L.P.; Foggia, P.; Sansone, C.; Vento, M. A (sub)graph isomorphism algorithm for matching large graphs. IEEE Trans. Pattern Anal. Mach. Intell. 2004, 26, 1367–1372. [Google Scholar] [CrossRef] [PubMed]
- Alpár Jüttner, A.; Madarasi, P. VF2++—An improved subgraph isomorphism algorithm. Discr. Appl. Math. 2018, 242, 69–81. [Google Scholar] [CrossRef]
- Jochum, C.; Gasteiger, J.; Ugi, I. The principle of minimum chemical distance (PMCD). Ang. Chem. Intl. Ed. 1980, 19, 495–505. [Google Scholar] [CrossRef]
- Takapoui, R.; Boyd, S. Linear programming heuristics for the graph isomorphism problem. Technical Report 1611.00711. arXiv 2016, arXiv:1611.00711. [Google Scholar] [CrossRef]
- Linderoth, J.T.; Ralphs, T.K. Noncommercial software for mixed-integer linear programming. In Integer Programming: Theory and Practice; Karlof, J., Ed.; CRC Press: Boca Raton, FL, USA, 2005; pp. 253–303. [Google Scholar]
- CGRTools, Read the Docs: Data Types and Operations with Them. Available online: https://cgrtools.readthedocs.io/tutorial/1_data_types_and_operations.html#Bonds-has-order-and-p_order-attribute (accessed on 3 June 2024).
- Behr, N.; Krivine, J. Compositionality of rewriting rules with conditions. Compositionality 2021, 3, 2. [Google Scholar] [CrossRef]
- Dhaked, D.K.; Guasch, L.; Nicklaus, M.C. Tautomer database: A comprehensive resource for tautomerism analyses. J. Chem. Inf. Model. 2020, 60, 1090–1100. [Google Scholar] [CrossRef]
- Huff, M.; Telford, D. Lord of the rings—The mechanism for oxidosqualene: Lanosterol cyclase becomes crystal clear. Trends Pharmacol. Sci. 2005, 26, 335–340. [Google Scholar] [CrossRef] [PubMed]
- Dehmer, M.; Chen, Z.; Emmert-Streib, F.; Shi, Y.; Tripathi, S.; Musa, A.; Mowshowitz, A. Properties of graph distance measures by means of discrete inequalities. Appl. Math. Model. 2018, 59, 739–749. [Google Scholar] [CrossRef]
- Bonnici, V.; Giugno, R.; Pulvirenti, A.; Shasha, D.; Ferro, A. A subgraph isomorphism algorithm and its application to biochemical data. BMC Bioinform. 2013, 14, S13. [Google Scholar] [CrossRef]
- Aparo, A.; Bonnici, V.; Micale, G.; Ferro, A.; Shasha, D.; Pulvirenti, A.; Giugno, R. Fast subgraph matching strategies based on pattern-only heuristics. Interdiscip. Sci. 2019, 11, 21–32. [Google Scholar] [CrossRef]














Disclaimer/Publisher’s Note: The statements, opinions and data contained in all publications are solely those of the individual author(s) and contributor(s) and not of MDPI and/or the editor(s). MDPI and/or the editor(s) disclaim responsibility for any injury to people or property resulting from any ideas, methods, instructions or products referred to in the content. |
© 2024 by the authors. Licensee MDPI, Basel, Switzerland. This article is an open access article distributed under the terms and conditions of the Creative Commons Attribution (CC BY) license (https://creativecommons.org/licenses/by/4.0/).
Share and Cite
González Laffitte, M.E.; Weinbauer, K.; Phan, T.-L.; Beier, N.; Domschke, N.; Flamm, C.; Gatter, T.; Merkle, D.; Stadler, P.F. Partial Imaginary Transition State (ITS) Graphs: A Formal Framework for Research and Analysis of Atom-to-Atom Maps of Unbalanced Chemical Reactions and Their Completions. Symmetry 2024, 16, 1217. https://doi.org/10.3390/sym16091217
González Laffitte ME, Weinbauer K, Phan T-L, Beier N, Domschke N, Flamm C, Gatter T, Merkle D, Stadler PF. Partial Imaginary Transition State (ITS) Graphs: A Formal Framework for Research and Analysis of Atom-to-Atom Maps of Unbalanced Chemical Reactions and Their Completions. Symmetry. 2024; 16(9):1217. https://doi.org/10.3390/sym16091217
Chicago/Turabian StyleGonzález Laffitte, Marcos E., Klaus Weinbauer, Tieu-Long Phan, Nora Beier, Nico Domschke, Christoph Flamm, Thomas Gatter, Daniel Merkle, and Peter F. Stadler. 2024. "Partial Imaginary Transition State (ITS) Graphs: A Formal Framework for Research and Analysis of Atom-to-Atom Maps of Unbalanced Chemical Reactions and Their Completions" Symmetry 16, no. 9: 1217. https://doi.org/10.3390/sym16091217
APA StyleGonzález Laffitte, M. E., Weinbauer, K., Phan, T.-L., Beier, N., Domschke, N., Flamm, C., Gatter, T., Merkle, D., & Stadler, P. F. (2024). Partial Imaginary Transition State (ITS) Graphs: A Formal Framework for Research and Analysis of Atom-to-Atom Maps of Unbalanced Chemical Reactions and Their Completions. Symmetry, 16(9), 1217. https://doi.org/10.3390/sym16091217

