Analysis of a Bifurcation and Stability of Equilibrium Points for Jeffrey Fluid Flow through a Non-Uniform Channel
Abstract
1. Introduction
2. Mathematical Formulations
3. Solution Method
4. Rate of Volume Flow
5. Solution of the Problem
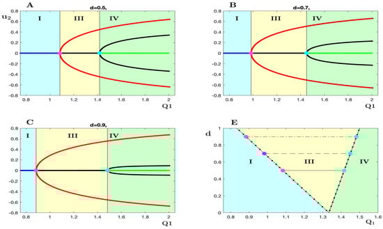
6. The Nonlinear System and Its Bifurcation
- ,
- ,
- ,
- .
7. Conclusions
Author Contributions
Funding
Data Availability Statement
Conflicts of Interest
List of Symbols
| geometry of the flow channel | dimensionless stream function | ||
| U | velocity field | stream function | |
| Cartesian coordinate in the fixed frame | dimensionless volume flow rate | ||
| dimensionless cartesian coordinate in the wave frame | volume of flow rate | ||
| Cartesian coordinate in the wave frame | extra stress tensor | ||
| average radius of the tube | shear rate | ||
| d | amplitude of a peristaltic wave | material derivative | |
| wavelength | gradient of velocity | ||
| wave propagation speed | fluid density | ||
| time | pressure in the fixed frame | ||
| velocity components in the fixed frame | pressure in the wave frame | ||
| velocity components in the wave frame | p | dimensionless pressure in the wave frame | |
| elocity components in the wave frame | fluid dynamic viscosity | ||
| ratio of relaxation to retardation times | retartation time | ||
| instantaneous volume of the flow rate in a wave frame | dimensionless volume of the flow rate | ||
| instantaneous volume of the flow rate in a fixed frame | dimensionless wave number |
References
- Latham, T.W. Fluid Motions in a Peristaltic Pump. Ph.D. Thesis, Massachusetts Institute of Technology, Cambridge, MA, USA, 1966. [Google Scholar]
- Fung, Y.C.; Yih, C.S. Peristaltic transport. Trans. ASME J. Appl. Mech. 1968, 35, 669–675. [Google Scholar] [CrossRef]
- Shapiro, A.H.; Jaffrin, M.Y.; Weinberg, S.L. Peristaltic pumping with long wavelengths at low reynolds number. J. Fluid Mech. 1969, 37, 799–825. [Google Scholar] [CrossRef]
- Raju, K.K.; Devanathan, R. Peristaltic motion of non-Newto- nian, part—I. Rheol. Acta 1972, 11, 170–178. [Google Scholar] [CrossRef]
- Usha, S.; Rao, A.R. Peristaltic transport of two-layered power- law fluids. J. Biomech. Eng. 1997, 119, 483–488. [Google Scholar] [CrossRef]
- Hayat, T.; Ali, N. On mechanism of peristaltic flows for power-law fluids. Phys. A Stat. Mech. Appl. 2006, 371, 188–194. [Google Scholar] [CrossRef]
- Sadeghi, K.; Talab, H.J. Analytical investigation of peristaltic transport of power law fluid through a tube. J. Appl. Mech. Eng. 2014, 3, 6. [Google Scholar] [CrossRef]
- Kumar, K.T.; Kavitha, A. Peristaltic transport of jeffrey fluid in contact with newtonian fluid in an inclined channel with permeablitity. Int. J. Civ. Eng. Technol. 2018, 9, 221–231. [Google Scholar]
- Ali, N.; Ullah, K.; Rasool, H. Bifurcation analysis for a two dimensional peristaltic driven flow of power-law fluid in asymmetric channel. Phys. Fluids 2020, 32, 073104. [Google Scholar] [CrossRef]
- Al-Khafajy, D.G.S.; AL-Khalidi, N.A.K. The peristaltic flow of jeffrey fluid through a flexible channel. Iraqi J. Sci. 2022, 36, 5476–5486. [Google Scholar] [CrossRef]
- Ali, N.; Ullah, K. Bifurcation analysis for peristaltic transport of a power law fluid. Z. Naturforschung A 2019, 74, 213–225. [Google Scholar] [CrossRef]
- Al-Khafajy, D.G.S.; Bribesh, F.A.M.; Thoubaan, M.G. Analysis of the effect of peristaltic transport flux on channel wall: Bingham fluid as a model. Iraqi J. Sci. 2024, 65, 213–225. [Google Scholar] [CrossRef]
- Hwang, S.-G.; Garud, K.S.; Seo, J.-H.; Lee, M.-Y. Heat Flow Characteristics of Ferrofluid in Magnetic Field Patterns for Electric Vehicle Power Electronics Cooling. Symmetry 2022, 14, 1063. [Google Scholar] [CrossRef]
- Weiss, R.F.; Florsheim, B.H. Flow in a cavity at low Reynolds number. Phys. Fluids 1965, 8, 1631–1635. [Google Scholar] [CrossRef]
- Chien, W.L.; Rising, H.; Ottino, J.M. Laminar mixing and chaotic mixing in several cavity flows. J. Fluid Mech. 1986, 170, 355–377. [Google Scholar] [CrossRef]
- Jana, S.C.; Metcalfe, G.; Ottino, J.M. Experimental and computational studies of mixing in complex Stokes flows: The vortex mixing flow and multicellular cavity flows. J. Fluid Mech. 1994, 269, 199–246. [Google Scholar] [CrossRef]
- Ramesh, G.K.; Madhukesh, J.K.; Das, R.; Shah, N.A.; Yook, S.J. Thermodynamic activity of a ternary nanofluid flow passing through a permeable slipped surface with heat source and sink. Waves Random Complex Media 2022, 1–21. [Google Scholar] [CrossRef]
- Zainal, N.A.; Nazar, R.; Naganthran, K.; Pop, I. Magnetic impact on the unsteady separated stagnation-point flow of hybrid nanofluid with viscous dissipation and joule heating. Mathematics 2022, 10, 2356. [Google Scholar] [CrossRef]
- Anuar, N.S.; Bachok, N.; Pop, I. Numerical computation of dusty hybrid nanofluid flow and heat transfer over a deformable sheet with slip effect. Mathematics 2021, 9, 643. [Google Scholar] [CrossRef]
- Raju, S.S.K.; Babu, M.J.; Raju, C.S.K. Irreversibility analysis in hybrid nanofluid flow between two rotating disks with activation energy and cross-diffusion effects. Chin. J. Phys. 2021, 72, 499–529. [Google Scholar] [CrossRef]
- Hartnack, J.N. Streamline topologies near a fixed wall using normal forms. Acta Mech. 1999, 136, 55–75. [Google Scholar] [CrossRef]
- Brønse, M.; Hartnack, J.N. Streamline topologies near simple degenerate critical points in two-dimensional flow away from the boundaries. Phys. Fluids 1999, 11, 314–324. [Google Scholar] [CrossRef]
- Gürcan, F.; Deliceoglu, A. Streamline topologies near nonsimple degenerate points in two dimensional flows with double symmetry away from boundaries and an application. Phys. Fluids 2005, 17, 093106–0931067. [Google Scholar] [CrossRef]
- Lozano, J.J.; Sen, M. Streamline topologies of two-dimensional peristaltic flow and their bifurcations. Chem. Eng. Process. Process. Intensif. 2010, 49, 704–715. [Google Scholar] [CrossRef]
- Thoubaan, M.; Ashwin, P. Existence and stability of chimera states in a minimal system of phase oscillators. Chaos Interdiscip. J. Nonlinear Sci. 2018, 28, 103121. [Google Scholar] [CrossRef] [PubMed]
- Strogatz, S.H. Nonlinear Dynamics and Chaos: With Applications to Physics, Biology, Chemistry, and Engineering; CRC Press: Boca Raton, FL, USA, 2018. [Google Scholar]
- Asghar, Z.; Ali, N. Slip effects on streamline topologies and their bifurcations for peristaltic flows of a viscous fluid. Chin. Phys. B 2014, 23, 064701. [Google Scholar] [CrossRef]
- Asghar, Z.; Ali, N. Streamline topologies and their bifurcations for mixed convective peristaltic flow. AIP Adv. 2015, 5, 097142. [Google Scholar] [CrossRef]
- Ullah, K.; Ali, N.; Sajid, M. Bifurcation and stability analysis of critical/stagnation points for peristaltic transport of a power-law fluid in a tube. J. Braz. Soc. Mech. Sci. Eng. 2019, 41, 420. [Google Scholar] [CrossRef]
- Ullah, K.; Ali, N. A study on the bifurcation of stagnation points for a peristaltic transport of micropolar fluids with slip condition. Phys. Scr. 2020, 96, 025207. [Google Scholar] [CrossRef]
- Hosham, H.A.; Sellami, T. New insights into the peristaltic flow behavior of thermal nanofluid systems. Int. J. Appl. Comput. Math. 2022, 8, 182. [Google Scholar] [CrossRef]




Disclaimer/Publisher’s Note: The statements, opinions and data contained in all publications are solely those of the individual author(s) and contributor(s) and not of MDPI and/or the editor(s). MDPI and/or the editor(s) disclaim responsibility for any injury to people or property resulting from any ideas, methods, instructions or products referred to in the content. |
© 2024 by the authors. Licensee MDPI, Basel, Switzerland. This article is an open access article distributed under the terms and conditions of the Creative Commons Attribution (CC BY) license (https://creativecommons.org/licenses/by/4.0/).
Share and Cite
Thoubaan, M.G.; Al-Khafajy, D.G.S.; Wanas, A.K.; Breaz, D.; Cotîrlă, L.-I. Analysis of a Bifurcation and Stability of Equilibrium Points for Jeffrey Fluid Flow through a Non-Uniform Channel. Symmetry 2024, 16, 1144. https://doi.org/10.3390/sym16091144
Thoubaan MG, Al-Khafajy DGS, Wanas AK, Breaz D, Cotîrlă L-I. Analysis of a Bifurcation and Stability of Equilibrium Points for Jeffrey Fluid Flow through a Non-Uniform Channel. Symmetry. 2024; 16(9):1144. https://doi.org/10.3390/sym16091144
Chicago/Turabian StyleThoubaan, Mary G., Dheia G. Salih Al-Khafajy, Abbas Kareem Wanas, Daniel Breaz, and Luminiţa-Ioana Cotîrlă. 2024. "Analysis of a Bifurcation and Stability of Equilibrium Points for Jeffrey Fluid Flow through a Non-Uniform Channel" Symmetry 16, no. 9: 1144. https://doi.org/10.3390/sym16091144
APA StyleThoubaan, M. G., Al-Khafajy, D. G. S., Wanas, A. K., Breaz, D., & Cotîrlă, L.-I. (2024). Analysis of a Bifurcation and Stability of Equilibrium Points for Jeffrey Fluid Flow through a Non-Uniform Channel. Symmetry, 16(9), 1144. https://doi.org/10.3390/sym16091144

