Non-Linear Elastic Beam Deformations with Four-Parameter Timoshenko Beam Element Considering Through-the-Thickness Stretch Parameter and Reduced Integration
Abstract
1. Introduction
1.1. Importance and Necessity of the Problem
1.2. A Review on Literature
2. Kinematics of the Four-Parameter Beam
3. Finite Element Analysis
4. Demonstrative Examples
4.1. Analysis of a Cantilever Subjected to End Force
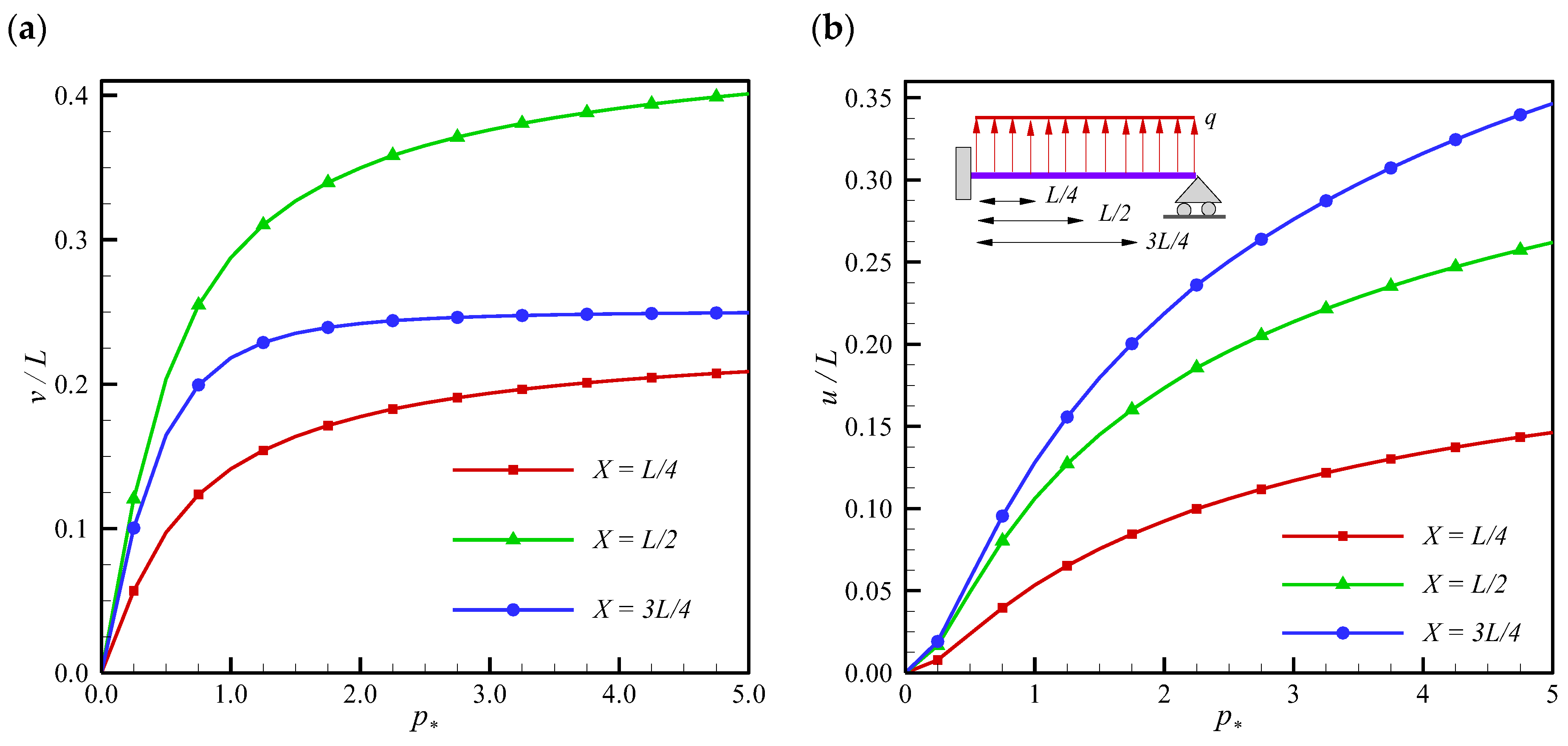
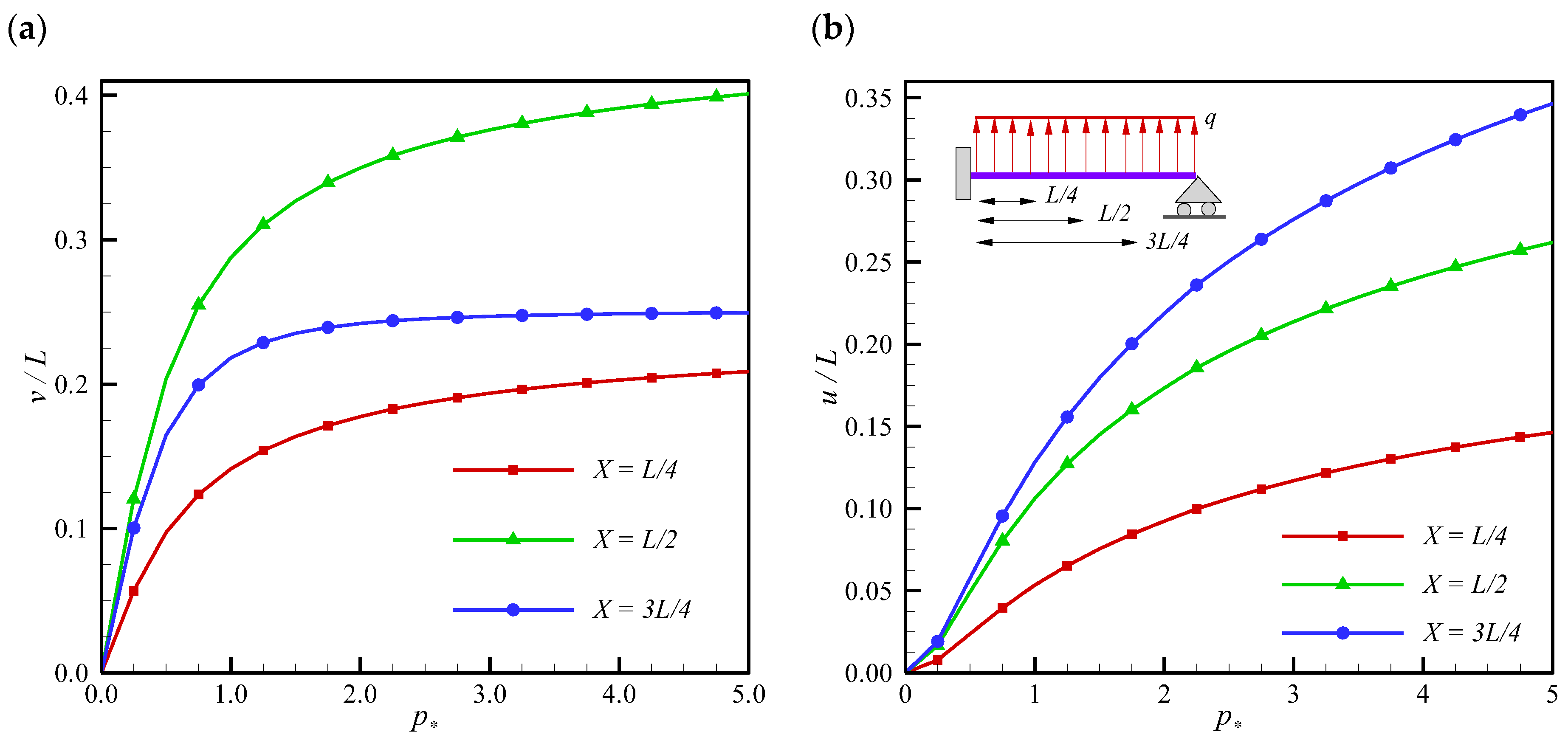
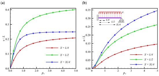
4.2. Analysis of a Clamped-Supported Beam under Distributed Load
4.3. Validation with Experiment
5. Conclusions
Author Contributions
Funding
Data Availability Statement
Conflicts of Interest
Nomenclature
| Parameter | Definition |
| Length of the beam | |
| Width of the beam | |
| Thickness of the beam | |
| Cartesian Coordinate system | |
| Orthonormal basis vectors | |
| Position of each material point in undeformed beam | |
| Position of each material point in deformed beam | |
| Position of centerline after deformation | |
| Through-the-thickness stretch parameter | |
| Director vector | |
| Rotation of the cross-section of the beam | |
| Deformation gradient tensor | |
| Linearized forms of deformation gradient tensor | |
| Displacement in X-direction | |
| Displacement in Z-direction | |
| Right Cauchy-Green deformation tensor | |
| Linearized parts of right Cauchy-Green deformation tensor | |
| Green-Lagrange strain tensor | |
| Linearized parts of the Green-Lagrange tensor | |
| Kirchhoff-St Venant strain energy density function | |
| Lame constants | |
| Young’s modulus | |
| Poisson’s ratio | |
| Second Piola-Kirchhoff stress tensor | |
| Linearized parts of the second Piola-Kirchhoff stress tensor | |
| Second-order identity tensor | |
| Fourth-order elasticity tensor | |
| Linearized form of fourth-order elasticity tensor | |
| Variation of external force | |
| Components of external traction | |
| Applied point forces | |
| Generalized displacement vector | |
| Interpolation function | |
| Assemble operator | |
| Internal force | |
| External force | |
| Residual | |
| Total stiffness matrix | |
| Material stiffness matrix | |
| Geometric stiffness matrix | |
| Area of cross-section of the beam | |
| Moment of inertia of the beam |
References
- Zozulya, V.; Saez, A. A high-order theory of a thermoelastic beams and its application to the MEMS/NEMS analysis and simulations. Arch. Appl. Mech. 2016, 86, 1255–1272. [Google Scholar] [CrossRef]
- Mabsout, M.E.; Tarhini, K.M.; Frederick, G.R.; Tayar, C. Finite-element analysis of steel girder highway bridges. J. Bridge Eng. 1997, 2, 83–87. [Google Scholar] [CrossRef]
- Alzaidi, A.S.M.; Kaplunov, J.; Prikazchikova, L. The edge bending wave on a plate reinforced by a beam. J. Acoust. Soc. Am. 2019, 146, 1061–1064. [Google Scholar] [CrossRef]
- Nefske, D.; Sung, S. Power flow finite element analysis of dynamic systems: Basic theory and application to beams. J. Vib. Acoust. Stress Reliab. 1989, 111, 94–100. [Google Scholar] [CrossRef]
- Lazarus, A.; Thomas, O.; Deü, J.-F. Finite element reduced order models for nonlinear vibrations of piezoelectric layered beams with applications to NEMS. Finite Elem. Anal. Des. 2012, 49, 35–51. [Google Scholar] [CrossRef]
- Wu, G.; He, X.; Pai, P.F. Geometrically exact 3D beam element for arbitrary large rigid-elastic deformation analysis of aerospace structures. Finite Elem. Anal. Des. 2011, 47, 402–412. [Google Scholar] [CrossRef]
- Alruthea, M.S. Biomechanical Analysis of the Zirconia and Graphene-based CAD-CAM Dental Bridges at Different Pontic Length: A Finite Element Analysis. J. Clin. Diagn. Res. 2020, 14, ZF01–ZF05. [Google Scholar] [CrossRef]
- Huang, L.-S.; Huang, Y.-C.; Yuan, C.; Ding, S.-J.; Yan, M. Biomechanical evaluation of bridge span with three implant abutment designs and two connectors for tooth-implant supported prosthesis: A finite element analysis. J. Dental Sci. 2023, 18, 248–263. [Google Scholar] [CrossRef] [PubMed]
- Capozucca, R. Static and dynamic response of damaged RC beams strengthened with NSM CFRP rods. Compos. Struct. 2009, 91, 237–248. [Google Scholar] [CrossRef]
- Lin, Y.-H.; Trethewey, M. Finite element analysis of elastic beams subjected to moving dynamic loads. J. Sound Vib. 1990, 136, 323–342. [Google Scholar] [CrossRef]
- Wang, X.; So, R. Timoshenko beam theory: A perspective based on the wave-mechanics approach. Wave Motion 2015, 57, 64–87. [Google Scholar] [CrossRef]
- Yu, W.; Hodges, D.H. Generalized Timoshenko theory of the variational asymptotic beam sectional analysis. J. Am. Helicopter Soc. 2005, 50, 46–55. [Google Scholar] [CrossRef]
- Mosavi, A.; Benkreif, R.; Varkonyi-Koczy, A.R. Comparison of Euler-Bernoulli and Timoshenko beam equations for railway system dynamics. In Recent Advances in Technology Research and Education: Proceedings of the 16th International Conference on Global Research and Education Inter-Academia 2017; Springer: Berlin/Heidelberg, Germany, 2018. [Google Scholar]
- Carrera, E.; Giunta, G.; Petrolo, M. Beam Structures: Classical and Advanced Theories; John Wiley & Sons: Hoboken, NJ, USA, 2011. [Google Scholar]
- Bessa, M.A.; Elkhodary, K.I.; Liu, W.K.; Belytschko, T.; Moran, B. Nonlinear Finite Elements for Continua and Structures; John Wiley & Sons: Hoboken, NJ, USA, 2014. [Google Scholar]
- Mata, P.; Oller, S.; Barbat, A. Dynamic analysis of beam structures considering geometric and constitutive nonlinearity. Comput. Methods Appl. Mech. Eng. 2008, 197, 857–878. [Google Scholar] [CrossRef]
- Khaniki, H.B.; Ghayesh, M.H.; Chin, R.; Amabili, M. Hyperelastic structures: A review on the mechanics and biomechanics. Int. J. Non-Linear Mech. 2023, 148, 104275. [Google Scholar] [CrossRef]
- Wagner, M.; Schaeffer, J. Rubbers and polymer melts: Universal aspects of nonlinear stress–strain relations. J. Rheol. 1993, 37, 643–661. [Google Scholar] [CrossRef]
- Read, B.; Dean, G. Modelling non-linear stress–strain behaviour of rubber toughened plastics. Plast. Rubber Compos. 2001, 30, 328–336. [Google Scholar] [CrossRef]
- Oñate, E. Structural Analysis with the Finite Element Method. Linear Statics: Volume 2: Beams, Plates and Shells; Springer Science & Business Media: Berlin/Heidelberg, Germany, 2013. [Google Scholar]
- Litewka, P. Finite Element Analysis of Beam-to-Beam Contact; Springer Science & Business Media: Berlin/Heidelberg, Germany, 2010; Volume 53. [Google Scholar]
- Holzapfel, G.A. Nonlinear Solid Mechanics: A Continuum Approach for Engineering; John Wiley & Sons: Hoboken, NJ, USA, 2000. [Google Scholar]
- Meier, C.; Popp, A.; Wall, W.A. Geometrically exact finite element formulations for slender beams: Kirchhoff–love theory versus Simo–reissner theory. Arch. Comput. Methods Eng. 2019, 26, 163–243. [Google Scholar] [CrossRef]
- Cazzani, A.; Stochino, F.; Turco, E. An analytical assessment of finite element and isogeometric analyses of the whole spectrum of Timoshenko beams. Z. Angew. Math. Mech. 2016, 96, 1220–1244. [Google Scholar] [CrossRef]
- Sakai, Y.; Ohsaki, M.; Adriaenssens, S. A 3-dimensional elastic beam model for form-finding of bending-active gridshells. Int. J. Solids Struct. 2020, 193–194, 328–337. [Google Scholar] [CrossRef]
- Numanoğlu, H.M.; Ersoy, H.; Akgöz, B.; Civalek, Ö. A new eigenvalue problem solver for thermo-mechanical vibration of Timoshenko nanobeams by an innovative nonlocal finite element method. Math. Methods Appl. Sci. 2022, 45, 2592–2614. [Google Scholar] [CrossRef]
- Aria, A.I.; Rabczuk, T.; Friswell, M.I. A finite element model for the thermo-elastic analysis of functionally graded porous nanobeams. Eur. J. Mech. A/Solids 2019, 77, 103767. [Google Scholar] [CrossRef]
- Karamanli, A.; Vo, T.P.; Civalek, Ö. Finite element formulation of metal foam microbeams via modified strain gradient theory. Eng. Comput. 2023, 39, 751–772. [Google Scholar] [CrossRef]
- Civalek, Ö.; Uzun, B.; Yaylı, M.Ö. Finite element formulation for nano-scaled beam elements. ZAMM J. Appl. Math. Mech. 2022, 102, e202000377. [Google Scholar] [CrossRef]
- Aria, A.I.; Friswell, M.I.; Rabczuk, T. Thermal vibration analysis of cracked nanobeams embedded in an elastic matrix using finite element analysis. Compos. Struct. 2019, 212, 118–128. [Google Scholar] [CrossRef]
- Firouzi, N.; Lenci, S.; Amabili, M.; Rabczuk, T. Nonlinear free vibrations of Timoshenko–Ehrenfest beams using finite element analysis and direct scheme. Nonlinear Dyn. 2024, 112, 7199–7213. [Google Scholar] [CrossRef]
- Firouzi, N.; Rabczuk, T.; Bonet, J.; Żur, K.K. A computational framework for large strain electromechanics of electro-visco-hyperelastic beams. Comput. Methods Appl. Mech. Eng. 2024, 426, 116985. [Google Scholar] [CrossRef]
- Wang, J.; Chen, J.-K.; Liao, S. An explicit solution of the large deformation of a cantilever beam under point load at the free tip. J. Comput. Appl. Math. 2008, 212, 320–330. [Google Scholar] [CrossRef]
- Beléndez, T.; Neipp, C.; Beléndez, A. Numerical and experimental analysis of a cantilever beam: A laboratory project to introduce geometric nonlinearity in mechanics of materials. Int. J. Eng. Educ. 2003, 19, 885–892. [Google Scholar]
- Cai, R.; Jin, Y.; Pennec, Y.; Djafari-Rouhani, B.; Rabczuk, T.; Zhuang, X. Broadband non-reciprocal wave suppression and frequency conversion by active metabeams. Mech. Syst. Signal Process. 2024, 220, 111656. [Google Scholar] [CrossRef]
- Sahmani, S.; Safaei, B.; Rabczuk, T. Nonlinear in-plane buckling of small-curved and large-curved FG porous microbeams via strain gradient-based isogeometric collocation formulations. Compos. Struct. 2024, 334, 117969. [Google Scholar] [CrossRef]
- Uzun, B.; Civalek, Ö.; Yaylı, M.Ö. Nonlinear stability analysis of embedded restrained nanobeams using the Stokes’ transformation. Mech. Based Des. Struct. Mach. 2024, 52, 2504–2531. [Google Scholar] [CrossRef]
- Yee, K.; Ong, O.Z.S.; Ghayesh, M.H.; Amabili, M. Various homogenisation schemes for vibration characteristics of axially FG core multilayered microbeams with metal foam face layers based on third order shear deformation theory. Appl. Math. Model. 2024, 125, 189–217. [Google Scholar] [CrossRef]
- Settimi, V.; Lenci, S. Periodic wave propagation in nonlocal beams resting on a bilinear foundation. Theor. Appl. Mech. 2023, 50, 117–131. [Google Scholar] [CrossRef]
- Żur, K.K.; Firouzi, N.; Rabczuk, T.; Zhuang, X. Large deformation of hyperelastic modified Timoshenko–Ehrenfest beams under different types of loads. Comput. Methods Appl. Mech. Eng. 2023, 416, 116368. [Google Scholar] [CrossRef]
- Bensaid, I.; Saimi, A.; Civalek, Ö. Effect of two-dimensional material distribution on dynamic and buckling responses of graded ceramic-metal higher order beams with stretch effect. Mech. Adv. Mater. Struct. 2024, 31, 1760–1776. [Google Scholar] [CrossRef]
- Hameury, C.; Ferrari, G.; Buabdulla, A.; Silva, T.M.P.; Balasubramanian, P.; Franchini, G.; Amabili, M. Multiple-input multiple-output active vibration control of a composite sandwich beam by fractional order positive position feedback. Mech. Syst. Signal Process. 2023, 200, 110633. [Google Scholar] [CrossRef]
- Liu, X.; Pagani, A.; Carrera, E.; Liu, X. Free vibration analysis of composite beams and laminated reinforced panels by refined dynamic stiffness method and CUF-based component-wise theory. Compos. Struct. 2024, 337, 118058. [Google Scholar] [CrossRef]
- Pagani, A.; Chiaia, P.; Carrera, E. Vibration of solid and thin-walled slender structures made of soft materials by high-order beam finite elements. Int. J. Non-Linear Mech. 2024, 160, 104634. [Google Scholar] [CrossRef]






Disclaimer/Publisher’s Note: The statements, opinions and data contained in all publications are solely those of the individual author(s) and contributor(s) and not of MDPI and/or the editor(s). MDPI and/or the editor(s) disclaim responsibility for any injury to people or property resulting from any ideas, methods, instructions or products referred to in the content. |
© 2024 by the authors. Licensee MDPI, Basel, Switzerland. This article is an open access article distributed under the terms and conditions of the Creative Commons Attribution (CC BY) license (https://creativecommons.org/licenses/by/4.0/).
Share and Cite
Firouzi, N.; Alzaidi, A.S.M. Non-Linear Elastic Beam Deformations with Four-Parameter Timoshenko Beam Element Considering Through-the-Thickness Stretch Parameter and Reduced Integration. Symmetry 2024, 16, 984. https://doi.org/10.3390/sym16080984
Firouzi N, Alzaidi ASM. Non-Linear Elastic Beam Deformations with Four-Parameter Timoshenko Beam Element Considering Through-the-Thickness Stretch Parameter and Reduced Integration. Symmetry. 2024; 16(8):984. https://doi.org/10.3390/sym16080984
Chicago/Turabian StyleFirouzi, Nasser, and Ahmed S. M. Alzaidi. 2024. "Non-Linear Elastic Beam Deformations with Four-Parameter Timoshenko Beam Element Considering Through-the-Thickness Stretch Parameter and Reduced Integration" Symmetry 16, no. 8: 984. https://doi.org/10.3390/sym16080984
APA StyleFirouzi, N., & Alzaidi, A. S. M. (2024). Non-Linear Elastic Beam Deformations with Four-Parameter Timoshenko Beam Element Considering Through-the-Thickness Stretch Parameter and Reduced Integration. Symmetry, 16(8), 984. https://doi.org/10.3390/sym16080984
