State Reconstruction of Remote Robotic System Using Delayed Output and Torque Estimation
Abstract
1. Introduction
- The robustness to disturbances and uncertainties of the proposed sliding-mode observer is improved by applying the super-twisting algorithm [37]. The estimation error of input torque converges in finite time to 0.
- A novel predictive algorithm is proposed to design the state observer based on the Euler–Lagrange model and the delayed output. Through using Lyapunov approaches, sufficient conditions are obtained to make sure that the estimation errors can converge exponentially to bounded regions through the selection of proper observer gains.
2. Problem Formulation
3. Main Results
3.1. Force Estimation Based on Sliding-Mode Disturbance Observer
3.2. State Reconstruction Using Delayed Output and Torque Estimation
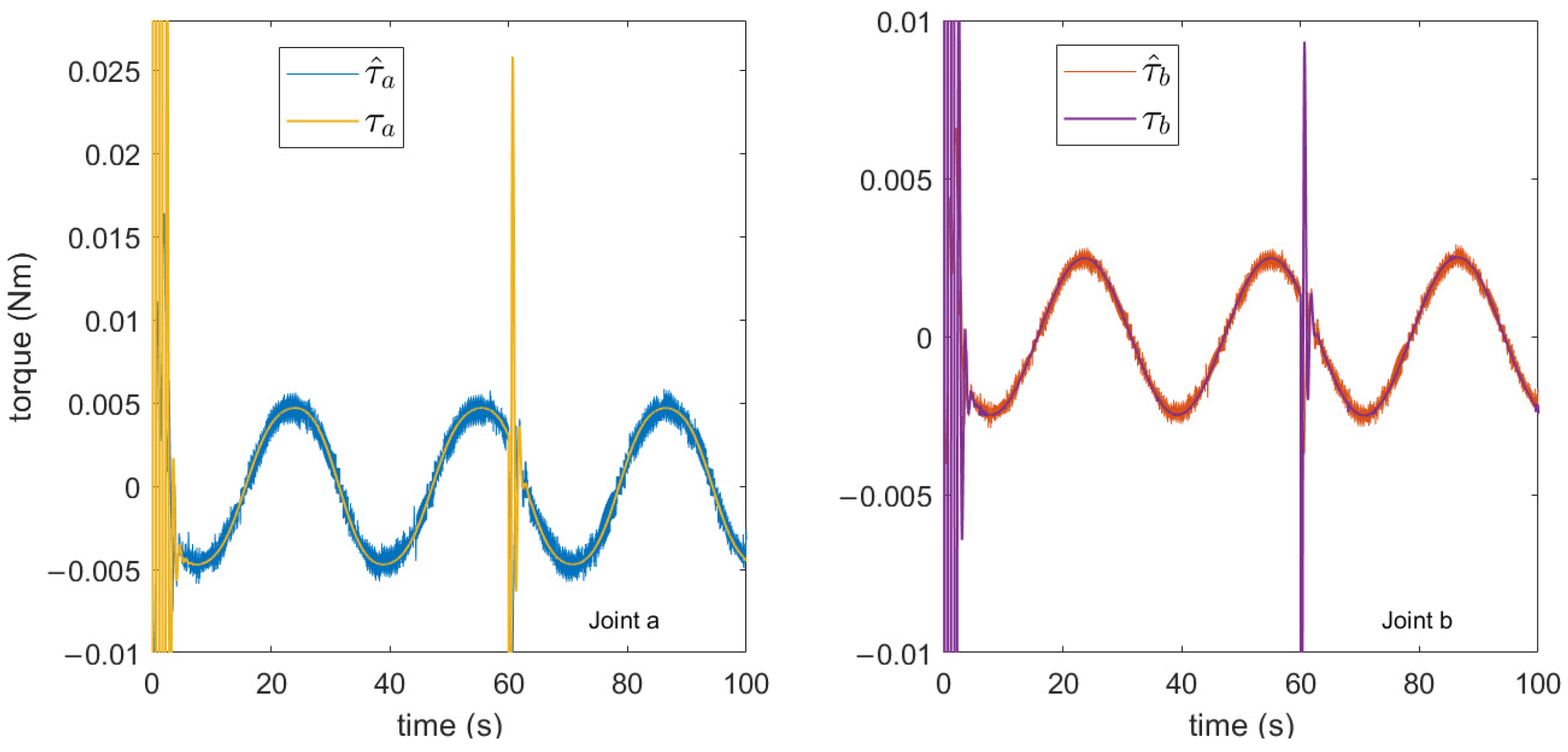
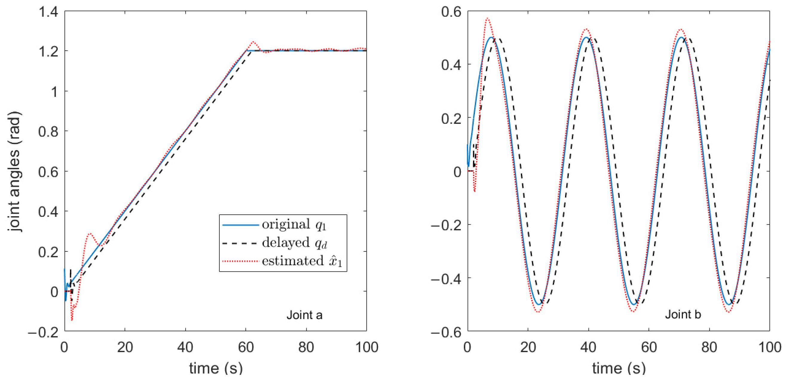
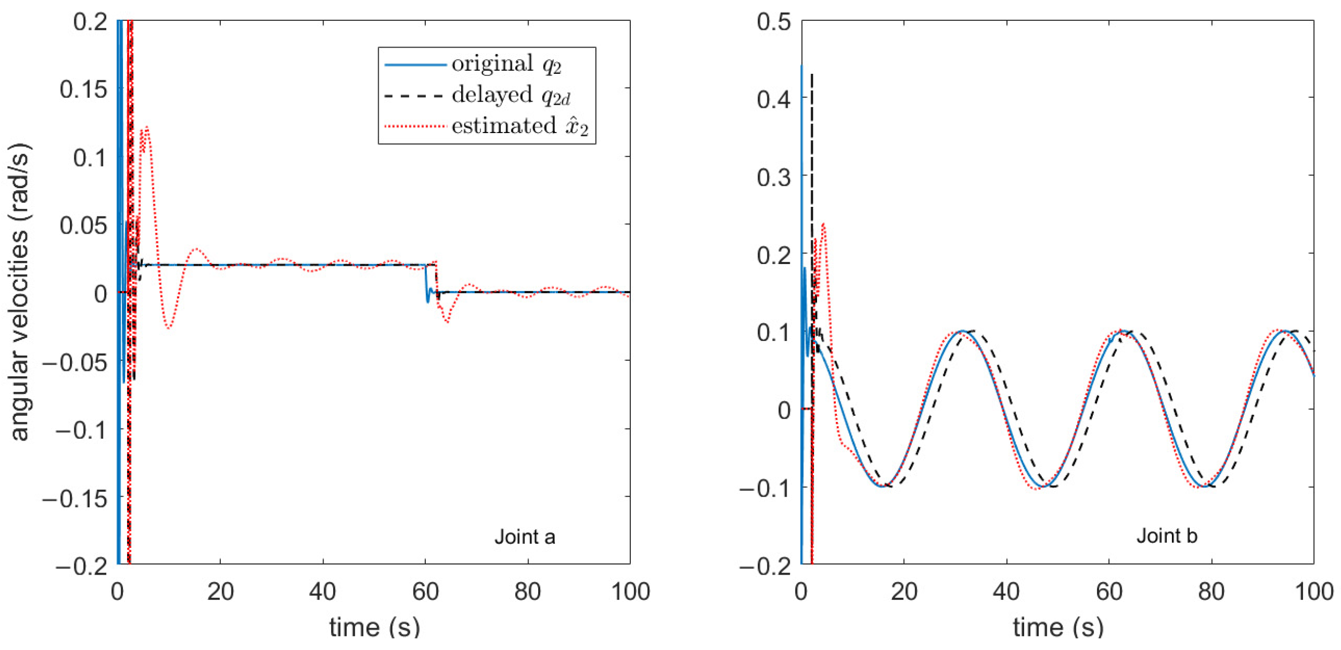
4. Simulations
5. Conclusions
Author Contributions
Funding
Data Availability Statement
Conflicts of Interest
References
- Darvish, K.; Penco, L.; Ramos, J.; Cisneros, R.; Pratt, J.; Yoshida, E.; Ivaldi, S.; Pucci, D. Teleoperation of humanoid robots: A survey. IEEE Trans. Robot. 2023, 39, 1706–1727. [Google Scholar] [CrossRef]
- Mo, L.; Zhang, D.; Fu, X.; Dou, J.; Li, K.; Bai, L.; Bai, Y.; Zhang, Q.; Zhao, X. A multidirectional external perception soft actuator based on flexible optical waveguide for underwater teleoperation. Adv. Intell. Syst. 2023, 5, 2300029. [Google Scholar] [CrossRef]
- Qin, H.; Yang, H.; Sun, Y.; Feng, L. Fixed-time stable bilateral teleoperation of underwater manipulator using prescribed performance terminal sliding surfaces. J. Frankl. Inst. 2023, 360, 3280–3306. [Google Scholar] [CrossRef]
- Pacchierotti, C.; Prattichizzo, D. Cutaneous/tactile haptic feedback in robotic teleoperation: Motivation, survey, and perspectives. IEEE Trans. Robot. 2023, 40, 978–998. [Google Scholar] [CrossRef]
- Yan, J.; Gao, T.; Yang, X.; Chen, C.; Guan, X. Teleoperation Control of Autonomous Underwater Vehicle Toward Human on the Loop: Needs, Analyses, and Solutions. IEEE Syst. Man Cybern. Mag. 2024, 10, 2–13. [Google Scholar] [CrossRef]
- Roy, S.; Lee, J.; Baldi, S. A new adaptive-robust design for time delay control under state-dependent stability condition. IEEE Trans. Control Syst. Technol. 2020, 29, 420–427. [Google Scholar] [CrossRef]
- Ahmad, M.A.; Ishak, H.; Nasir, A.N.K.; Ghani, N.A. Data-based PID control of flexible joint robot using adaptive safe experimentation dynamics algorithm. Bull. Electr. Eng. Inform. 2021, 10, 79–85. [Google Scholar] [CrossRef]
- Li, J.; Pi, Y. Fuzzy time delay algorithms for position control of soft robot actuated by shape memory alloy. Int. J. Control. Autom. Syst. 2021, 19, 2203–2212. [Google Scholar] [CrossRef]
- González Sorribes, A.; García Gil, P. A novel observer-predictor control for uncertain systems with unknown time-varying input and output delays. Int. J. Control 2021, 94, 1630–1640. [Google Scholar] [CrossRef]
- Sharma, N.; Bhasin, S.; Wang, Q.; Dixon, W.E. Predictor-based control for an uncertain Euler–Lagrange system with input delay. Automatica 2011, 47, 2332–2342. [Google Scholar] [CrossRef]
- Keighobadi, J.; Fateh, M.M.; Xu, B. Adaptive fuzzy voltage-based backstepping tracking control for uncertain robotic manipulators subject to partial state constraints and input delay. Nonlinear Dyn. 2020, 100, 2609–2634. [Google Scholar] [CrossRef]
- Sun, W.; Wu, Y.; Lv, X. Adaptive neural network control for full-state constrained robotic manipulator with actuator saturation and time-varying delays. IEEE Trans. Neural Netw. Learn. Syst. 2021, 33, 3331–3342. [Google Scholar] [CrossRef]
- Adil, A.; Zemouche, A.; Hamaz, A.; Laleg-Kirati, T.; N’doye, I.; Bedouhene, F. High-gain observer design for nonlinear systems with delayed outputs. IFAC-PapersOnLine 2020, 53, 5057–5062. [Google Scholar] [CrossRef]
- Adil, A.; Hamaz, A.; N’doye, I.; Zemouche, A.; Laleg-Kirati, T.-M.; Bedouhene, F. On high-gain observer design for nonlinear systems with delayed output measurements. Automatica 2022, 141, 110281. [Google Scholar] [CrossRef]
- Ahmed-Ali, T.; Cherrier, E.; Lamnabhi-Lagarrigue, F. Cascade high gain predictors for a class of nonlinear systems. IEEE Trans. Autom. Control 2011, 57, 221–226. [Google Scholar] [CrossRef]
- Targui, B.; Hernández-González, O.; Astorga-Zaragoza, C.M.; Guerrero-Ramírez, G.-V.; Guerrero-Sánchez, M.-E. A new observer design for systems in presence of time-varying delayed output measurements. Int. J. Control. Autom. Syst. 2019, 17, 117–125. [Google Scholar] [CrossRef]
- Cacace, F.; Germani, A.; Manes, C. An observer for a class of nonlinear systems with time varying observation delay. Syst. Control Lett. 2010, 59, 305–312. [Google Scholar] [CrossRef]
- Tréangle, C.; Farza, M.; M’Saad, M. Observer design for a class of disturbed nonlinear systems with time-varying delayed outputs using mixed time-continuous and sampled measurements. Automatica 2019, 107, 231–240. [Google Scholar] [CrossRef]
- Ramírez-Rasgado, F.; Astorga-Zaragoza, C.M.; Hernández-González, O.; Guerrero-Sanchez, M.-E.; Osorio-Gordillo, G.-L.; Reyes-Reyes, J. Observer synthesis for uncertain nonlinear systems with nonuniformly sampled and delayed output. IEEE Syst. J. 2021, 16, 4532–4540. [Google Scholar] [CrossRef]
- Ammeh, L.; Giri, F.; Ahmed-Ali, T.; El Fadil, H. Sampled-data based observer design for nonlinear systems with output distributed delay. Int. J. Control 2021, 94, 1870–1879. [Google Scholar] [CrossRef]
- Farza, M.; Hernández-González, O.; Ménard, T.; Targui, B.; M’saad, M.; Astorga-Zaragoza, C.-M. Cascade observer design for a class of uncertain nonlinear systems with delayed outputs. Automatica 2018, 89, 125–134. [Google Scholar] [CrossRef]
- Hernández-González, O.; Farza, M.; Menard, T.; Targui, B.; M’saad, M.; Astorga-Zaragoza, C. A cascade observer for a class of MIMO non uniformly observable systems with delayed sampled outputs. Syst. Control Lett. 2016, 98, 86–96. [Google Scholar] [CrossRef]
- Shen, S.; Song, A.; Li, H.; Li, T. Cascade predictor for a class of mechanical systems under large uncertain measurement delays. Mech. Syst. Signal Process. 2022, 167, 108536. [Google Scholar] [CrossRef]
- Ammari, O.; Giri, F.; Krstic, M.; Benabdelhadi, A.; Chaoui, F.; El Majdoub, K. Adaptive Observer Design for Heat PDEs with Sensor Delay and Parameter Uncertainties. In IEEE Transactions on Automatic Control; IEEE: Piscataway, NJ, USA, 2024. [Google Scholar]
- Murguia, C.; Fey, R.H.B.; Nijmeijer, H. Immersion and invariance observers with time-delayed output measurements. Commun. Nonlinear Sci. Numer. Simul. 2016, 30, 227–235. [Google Scholar] [CrossRef]
- Della Santina, C.; Truby, R.L.; Rus, D. Data–driven disturbance observers for estimating external forces on soft robots. IEEE Robot. Autom. Lett. 2020, 5, 5717–5724. [Google Scholar] [CrossRef]
- Hu, J.; Xiong, R. Contact force estimation for robot manipulator using semiparametric model and disturbance Kalman filter. IEEE Trans. Ind. Electron. 2017, 65, 3365–3375. [Google Scholar] [CrossRef]
- Wahrburg, A.; Bös, J.; Listmann, K.D.; Dai, F.; Matthias, B.; Ding, H. Motor-current-based estimation of cartesian contact forces and torques for robotic manipulators and its application to force control. IEEE Trans. Autom. Sci. Eng. 2017, 15, 879–886. [Google Scholar] [CrossRef]
- Dehghan, S.A.M.; Koofigar, H.R.; Sadeghian, H.; Ekramian, M. Observer-based adaptive force–position control for nonlinear bilateral teleoperation with time delay. Control Eng. Pract. 2021, 107, 104679. [Google Scholar] [CrossRef]
- Guajardo-Benavides, E.J.; Arteaga, M.A. On the finite time force estimation for bilateral teleoperation of robot manipulators with time varying delays. Control Eng. Pract. 2023, 138, 105622. [Google Scholar] [CrossRef]
- Mohammadi, A.; Marquez, H.J.; Tavakoli, M. Nonlinear disturbance observers: Design and applications to Euler Lagrange systems. IEEE Control Syst. Mag. 2017, 37, 50–72. [Google Scholar] [CrossRef]
- Liu, L.; Yue, X.; Wen, H.; Hao, Z.; Zhu, Y. A globally exponentially stable observer for torque estimation with only position measurement. Proc. Inst. Mech. Eng. Part I J. Syst. Control. Eng. 2024, 238, 238–251. [Google Scholar] [CrossRef]
- Sadeghian, H.; Keshmiri, M.; Villani, L.; Siciliano, B. Null-space impedance control with disturbance observer. In Proceedings of the 2012 IEEE/RSJ International Conference on Intelligent Robots and Systems, Vilamoura-Algarve, Portugal, 7–12 October 2012; IEEE: Piscataway, NJ, USA, 2012; pp. 2795–2800. [Google Scholar]
- Sun, T.; Cheng, L.; Wang, W.; Pan, Y. Semiglobal exponential control of Euler–Lagrange systems using a sliding-mode disturbance observer. Automatica 2020, 112, 108677. [Google Scholar] [CrossRef]
- Zhang, Y.; Edwards, C.; Belmont, M.; Li, G. Robust model predictive control for constrained linear system based on a sliding mode disturbance observer. Automatica 2023, 154, 111101. [Google Scholar] [CrossRef]
- Zhao, K.; Jia, N.; She, J.; Dai, W.; Zhou, R.; Liu, W.; Li, X. Robust model-free super-twisting sliding-mode control method based on extended sliding-mode disturbance observer for PMSM drive system. Control Eng. Pract. 2023, 139, 105657. [Google Scholar] [CrossRef]
- Moreno, J.A.; Osorio, M. A Lyapunov approach to second-order sliding mode controllers and observers. In Proceedings of the 2008 47th IEEE Conference on Decision and Control, Cancun, Mexico, 9–11 December 2008; IEEE: Piscataway, NJ, USA, 2008; pp. 2856–2861. [Google Scholar]
- Obuz, S.; Parikh, A.; Chakraborty, I.; Dixon, W. Lyapunov-based control of an uncertain Euler-Lagrange system with uncertain time-varying input delays without delay rate constraints. IFAC-PapersOnLine 2016, 49, 141–146. [Google Scholar] [CrossRef]
- Shen, S.; Fu, L.; Song, A.; Li, T. Sequential Predictors for Uncertain Euler–Lagrange Systems with Large Transmission Delays. Fractal Fract. 2023, 7, 244. [Google Scholar] [CrossRef]
- Kamalapurkar, R.; Fischer, N.; Obuz, S.; Dixon, W.E. Time-varying input and state delay compensation for uncertain nonlinear systems. IEEE Trans. Autom. Control 2015, 61, 834–839. [Google Scholar] [CrossRef]
- Hua, C.; Yang, Y. Bilateral Teleoperation Design with/without Gravity Measurement. IEEE Trans. Instrum. Meas. 2012, 61, 3136–3146. [Google Scholar] [CrossRef]
- Tutsoy, O.; Barkana, D.E. Model free adaptive control of the under-actuated robot manipulator with the chaotic dynamics. ISA Trans. 2021, 118, 106–115. [Google Scholar] [CrossRef]









| Method | ISE | Percentage |
|---|---|---|
| Proposed | 0.2655 | 86% |
| Without torque estimation | 0.6250 | 202% |
| High-gain predictor | 0.3099 | 100% |
Disclaimer/Publisher’s Note: The statements, opinions and data contained in all publications are solely those of the individual author(s) and contributor(s) and not of MDPI and/or the editor(s). MDPI and/or the editor(s) disclaim responsibility for any injury to people or property resulting from any ideas, methods, instructions or products referred to in the content. |
© 2024 by the authors. Licensee MDPI, Basel, Switzerland. This article is an open access article distributed under the terms and conditions of the Creative Commons Attribution (CC BY) license (https://creativecommons.org/licenses/by/4.0/).
Share and Cite
Shen, S.; Jin, L. State Reconstruction of Remote Robotic System Using Delayed Output and Torque Estimation. Symmetry 2024, 16, 975. https://doi.org/10.3390/sym16080975
Shen S, Jin L. State Reconstruction of Remote Robotic System Using Delayed Output and Torque Estimation. Symmetry. 2024; 16(8):975. https://doi.org/10.3390/sym16080975
Chicago/Turabian StyleShen, Shaobo, and Liqiang Jin. 2024. "State Reconstruction of Remote Robotic System Using Delayed Output and Torque Estimation" Symmetry 16, no. 8: 975. https://doi.org/10.3390/sym16080975
APA StyleShen, S., & Jin, L. (2024). State Reconstruction of Remote Robotic System Using Delayed Output and Torque Estimation. Symmetry, 16(8), 975. https://doi.org/10.3390/sym16080975

