Abstract
High-damping rubber bearings play an essential role in isolated bridges. They can prolong the natural vibration period of a bridge and reduce its seismic response. In order to quantitatively study the isolation performance of high-damping rubber bearings, this paper investigates a concrete-filled steel tube-tied arch bridge as the research object and uses symmetrically arranged high-damping rubber bearings for isolation reconstruction. Nonlinear finite element analysis models for isolated and non-isolated bridges are built based on the structural properties of the actual bridge. Based on the structural deformation failure criterion, a bridge damage evaluation index system is established, the damage index of each component is defined, and a quantitative analysis of different damage states is carried out. Based on the incremental dynamic analysis method, the seismic vulnerability curves of bridge components and systems are established. By comparing the seismic vulnerability curves of the bridge before and after isolation, the isolation effect of the high-damping rubber bearings is quantitatively evaluated. The results of the analysis show that the high-damping rubber bearings have a significant isolation effect on the bridge structure and the effect is symmetrically distributed along the longitudinal symmetry plane of the bridge. After adopting the isolation measures, the exceedance probability of damage of each component of the bridge is reduced to varying degrees. Among them, the isolation effect on piers and arch ribs is the most significant, up to more than 90%. At the same time, the exceedance probability of damage of the bearing itself is less reduced. This result is also consistent with the original intention of the design of the isolation bearing; that is, through the energy dissipation of the isolation bearing, the seismic response of other components of the bridge is reduced.
1. Introduction
Over the past decade, numerous devastating earthquakes have occurred globally, including the 2023 Kahramanmaras earthquake in Türkiye, which inflicted significant harm on transportation infrastructure. Earthquakes have a direct impact on both the traffic capacity and safety, both during and after an event. Figure 1 and Figure 2 depict the structural damage of a bridge caused by an earthquake. Hence, the assessment of bridge performance both prior to and following an earthquake is of utmost significance.
Figure 1.
Bridge pier damage.
Figure 2.
Bearing failure.
Effective seismic isolation measures for bridge structures can reduce earthquake-induced economic losses and enhance the seismic safety of bridges. High-drag rubber bearings are a critical component of isolated bridges, functioning as a connection between the bridge’s superstructure and substructure and aiding in the isolation of seismic forces. In addition to transferring load and displacement with dependability, such bearings provide damping force and restoration force, extend the bridge’s natural vibration period, and reduce its seismic response.
The seismic vulnerability of bridges pertains to the probability of distinct damage conditions occurring in bridge structures or components when subjected to ground vibrations of varying severity. Seismic vulnerability analysis has been utilized since the late 1980s to evaluate the seismic performance of bridge constructions. The analysis can be categorized into four primary types [1,2]: expert vulnerability analysis, empirical vulnerability analysis, theoretical vulnerability analysis, and comprehensive vulnerability analysis.
Expert vulnerability analysis, developed by the American Association of Applied Technology (ATC), relies on the knowledge and proficiency of specialists in seismology and engineering to evaluate and ascertain the magnitude of damage that bridges may endure following earthquakes. Due to the strategy’s subjective nature, its practical use is limited.
Empirical vulnerability analysis relies on historical data on earthquake disasters and knowledge about ground motion to create seismic vulnerability curves or matrices that estimate the chance of failure. This method can offer a more precise vulnerability estimate based on objective facts in regions where ample seismic damage data is available. Shinozuka et al. [3] determined the empirical seismic vulnerability curve of a bridge by analyzing the seismic damage survey data from the 1995 Kobe earthquake. The usefulness of this method is restricted in regions that need more historical data on earthquake damage.
In theoretical vulnerability analysis [4,5,6,7], a vulnerability curve is generated by using numerical simulation. Thanks to its exceptional operability, this method has emerged as one of the most extensively employed analysis methods.
Sohn and Law [8], Bensi [9], Franchin et al. [10], and other scholars employed a comprehensive vulnerability analysis method. By combining the methods mentioned above, they were able to derive seismic vulnerability results for different structures. The aim of this method is to provide a more comprehensive assessment of a structure’s seismic vulnerability.
Computing technology advancements have led to the development of more sophisticated nonlinear dynamic analysis methods [11], which can more precisely mimic the behavior of bridges during earthquakes. The ongoing advancement of the performance-based structural seismic design framework has led to the integration of seismic vulnerability analysis theory and new probability analysis methods. This integration not only enhances the accuracy and efficiency of calculations but also continuously broadens its range of applications. Currently, academics, both domestically and internationally, have widely acknowledged the importance of seismic vulnerability analysis. It is considered an excellent method for quantitatively assessing the seismic performance of bridges.
Prior research has demonstrated that high-damping rubber bearings (HDRBs) have a notable impact on the isolation of bridges. As an illustration, Kassem et al. [12] conducted a thorough examination of the methods used to assess seismic vulnerability and suggested that HDRBs had the potential to decrease structural damage. However, the majority of these studies only examined uncomplicated structures, with limited research conducted on intricate bridge designs. Furthermore, El-Maissi et al. [13] examined a method for evaluating the seismic damage index of unreinforced masonry (URM) buildings and highlighted the constraints of current approaches when applied to intricate systems. In a different study, Kassem et al. [14] examined how changes in slope angle affect the seismic performance of structures. They also highlighted the significance of including complex structures in seismic simulations. In this work, we focus on the complicated concrete-filled steel tube basket arch bridge as the subject of research. The objective is to investigate the isolation effect in complex bridge structures by utilizing HDRBs.
Recent research has delved into the seismic vulnerability of various bridge components and systems. Zeng et al. [15] studied the use of ultra-high-performance concrete (UHPC) and normal-strength concrete (NSC) in composite piers, finding improvements in load-bearing capacity and seismic damage control. Yin et al. [16] proposed a life-cycle based seismic fragility and risk assessment framework for bridges with laminated rubber bearings, using Gaussian process regression to model deterioration over time. Li [17] analyzed regional seismic vulnerability using empirical data, enhancing the accuracy of hazard models for large-scale structures. Lan et al. [18] introduced an Adaptive Gaussian Mixture Model for seismic fragility analysis, offering more precise and flexible fragility curves. Lastly, Crisci et al. [19] focused on the seismic vulnerability of reinforced concrete (RC) deck-stiffened arch bridges, providing insights for risk mitigation in these bridge types. These studies collectively contribute to understanding and improving the seismic resilience of bridge structures.
Prior research has acknowledged that implementing isolation technology can greatly enhance the seismic resilience of a structure. Nevertheless, a comprehensive and methodical assessment framework has yet to be established to specifically measure the impact of isolation bearings on isolation performance. This paper will employ a method and procedure of structural seismic vulnerability analysis to quantitatively assess the seismic response of key components of a bridge, such as arch ribs and piers, and the overall seismic isolation effect of HDRBs on the bridge structure. The analysis will consider seismic intensity, expressed through ground motion parameters, as well as the dynamic response of the bridge structure, including displacement, stress, and other relevant parameters. Additionally, the damage state of the key components of the bridge, measured by a damage index, and other variables will be taken into account. The aim is to evaluate the seismic response and isolation effectiveness of HDRBs under various seismic intensities to assess their true impact on enhancing the seismic performance of bridge constructions.
This paper establishes a nonlinear finite element analysis model for a concrete-filled steel tube arch bridge based on the structural parameters of the actual bridge. Additionally, the model incorporates HDRBs and establishes both isolated and non-isolated bridge models. Next, the appropriate seismic wave records that correspond to the site type of the bridge are chosen for nonlinear time history analysis. The seismic vulnerability curve is generated from the analytical results to assess the extent of damage that the bridge may experience during various earthquakes. The novelty of this study is in the integration of the structural features of HDRBs and a concrete-filled steel tube tied arch bridge, and the quantitative validation of the efficacy of HDRBs through vulnerability analysis.
The technical route of this paper is shown in Figure 3.
Figure 3.
Technical route.
2. Theory and Method of Seismic Vulnerability Analysis of Bridges
2.1. Probabilistic Seismic Demand Model
This paper utilizes a theoretical vulnerability analysis method to derive the probability distribution of bridge seismic demand and capacity by conducting numerous nonlinear time history analyses. Subsequently, the seismic vulnerability curve of the bridge is obtained using mathematical statistical methods. The vulnerability analysis method is founded on probabilistic seismic demand analysis. The fundamental idea is that the probability of a component or structure failing is determined by the correlation between its ability to withstand seismic forces and the actual seismic forces it experiences. At a specified level of earthquake intensity, if the seismic demand of an earthquake surpasses the seismic capability of a component or structure, it will fail. Thus, seismic vulnerability can be mathematically represented by the following function:
The formula defines the variables as follows: the index of ground motion intensity is represented by , stands for the engineering demand parameter, and expresses the limit value of the damage index for the structure in the damage condition . Furthermore, when the sample size is sufficiently large, it can be assumed that follows a lognormal distribution. Therefore, the aforementioned equation can be further represented as:
The formula consists of several variables: represents a conventional normal distribution function, denotes the mean value of engineering demand parameters, signifies the logarithmic standard deviation of engineering demand parameters, and represents the logarithmic standard deviation of seismic capacity. Cornell et al. [20] reported that the connection between and can be characterized by a logarithmic function, specifically:
In this equation, a and b represent the coefficients used for fitting. Logarithms can be applied to both sides of the equation:
Formula (2) can be further expressed as follows:
can be obtained by the following formula:
The above formula defines as the engineering demand parameter influenced by the i-th ground motion, whereas N represents the total count of seismic waves.
2.2. Establishment Process of a Theoretical Seismic Vulnerability Curve
When employing the theoretical vulnerability analysis approach to assess the seismic vulnerability of a structure, it is necessary to address the following three aspects:
- (1)
- Choose the suitable ground motion input. The ground motion input significantly influences the seismic response of bridge constructions. It is imperative to choose many suitable ground motion records based on the site type, seismic area, ground motion characteristics, and other bridge circumstances.
- (2)
- Assess the damage index and damage state of the bridge structure. The vulnerable sections of the bridge structure are identified based on the dynamic response of the bridge. A damage index is then chosen to represent the extent of damage to the bridge structure accurately. By utilizing the definition and categorization of the damage state of the bridge structure, together with the seismic reaction, the damage index is measured, and the corresponding correlation between the damage index and the damage state is determined.
- (3)
- Determine the bridge structure’s seismic susceptibility curve. A finite element analysis model is created, and a nonlinear time history analysis is conducted to determine the structure’s response to varying earthquake intensities. The probability of different damages to the structure is computed, and subsequently, the seismic vulnerability curve of the bridge structure is plotted.
3. High-Damping Rubber Bearings
The isolation bearing effectively minimizes the probability of structural harm by modifying the period of the structural system and implementing dampening technology to disperse seismic energy. This paper focuses on studying high-damping rubber isolation bearings (HDRBs). The design concept of the HDRB aims to enhance its damping properties by utilizing a graphite-rubber gel compound. This material facilitates significant energy dissipation during seismic events. This design not only preserves the outstanding mechanical qualities of the plate rubber bearing but also enhances the damping of the bearing by including the gel material. The structure’s seismic performance can be considerably enhanced by successfully promoting energy dissipation under the impact of an earthquake.
The research demonstrates that the constitutive relation of HDRBs exhibits nonlinear properties [21]. Upon examination of its hysteresis curve, it becomes evident that the structure’s hysteresis curve remains mostly parallel under bidirectional loading conditions. Therefore, it is appropriate to employ the bilinear model to simplify it.
The bilinear model possesses notable benefits. The simulation of HDRBs favors the adoption of this technique because it effectively characterizes the isolation bearing’s performance in terms of changes in horizontal stiffness and the absorption and dissipation of energy. The bilinear model not only streamlines the calculation process but also effectively replicates and forecasts the dynamic response of HERBs during an earthquake, as depicted in Figure 4.
Figure 4.
Bilinear restoring force model of high-damping rubber bearing.
In Figure 4, K1 represents the initial horizontal stiffness of the bearing, while K2 indicates the post-yield horizontal stiffness. Kh denotes the horizontal stiffness of the bearing. Qy stands for the horizontal yield force of the bearing, whereas Xy represents the yield displacement of the bearing. Q refers to the shear force resulting from the displacement of the bearing, and X is the shear displacement of the bearing.
The mechanical properties of HDRBs can be computed using the following equation:
The vertical compression stiffness of the bearing :
Bearing horizontal equivalent stiffness :
Initial horizontal stiffness of the bearing :
Horizontal stiffness of bearing after yielding :
Equivalent damping ratio of the material :
In the aforementioned formulas: Ec symbolizes the compression elastic modulus of the rubber, A0 refers to the bearing area, Tr is the total thickness of the rubber layer in the bearing, G stands for the shear modulus of the rubber, G1 corresponds to the shear modulus at the initial horizontal stiffness of the bearing, G2 equates to the shear modulus after the bearing has yielded, Wd represents the area enclosed by the hysteresis curve, W indicates the elastic strain energy, and X signifies the shear displacement.
4. Establishment of Calculation Model
4.1. Engineering Background
The subject of study in this work is a tied arch bridge made of concrete-filled steel tubes in the shape of a dumbbell. The bridge has a calculated span of 125 m and a calculated rise of 25 m. The rise to span ratio is 1:5. The cross-sectional geometry of the arch rib is a dumbbell-shaped segment with a height of 300 cm. The steel tube used is made of Q355D steel with a diameter of 120 cm and a wall thickness of 2.2 cm. It is filled with C50 self-compacting compensating shrinkage concrete. The tie beam has a cross-section that is in the shape of a box, measuring 160 × 250 cm. Each arch rib is fitted with 23 pre-manufactured suspenders, with a distance of 5 m between each one. The primary support column of the lower structure is designed in the shape of a vase, with a standard section size of 3.0 × 5.4 m. As it ascends, the size of the column gradually increases to 3.0 × 8.2 m at the top. The dimensions of the pile top are 10.6 m × 10.6 m × 3.0 m. It is connected to nine drilled piles, each having a diameter of 1.6 m. The non-isolated bridge uses conventional spherical steel bearings, while the isolated bridge employs HDRBs. This bridge design is intricate and emblematic, making it well-suited for evaluating the isolating impact of HDRBs in complicated structures. Furthermore, the utilization of the concrete-filled steel tube linked arch bridge is prevalent in regions susceptible to earthquakes. Therefore, it is of utmost importance to investigate its effectiveness in isolating seismic activity from the surrounding environment.
4.2. Computation Module
This work utilizes finite element software to construct a nonlinear model of the entire dumbbell-shaped concrete-filled steel tube-tied arch bridge, with the aim of investigating its response to earthquakes. The Mander model is chosen as the constitutive model for concrete, whereas the bilinear model is employed to approximate the constitutive connection of steel. The analysis takes into account the nonlinear behavior of essential elements such as arch ribs and piers. The model incorporates the primary elements of the bridge, including concrete-filled steel tube-tied arch ribs, K-type supports, tie rods, hangers, beams, piers, supports, and piling foundations, guaranteeing a complete and accurate analysis. Figure 5 displays the model.
Figure 5.
Finite element model of concrete-filled steel tube-tied arch bridge.
- (1)
- Simulation of arch rib
The dumbbell-shaped arch rib is constructed using a combination of steel tubes and concrete. The performance of this structure is influenced by the interaction between these two elements. The joint-section simulation method used in this work is more effective than the typical single-section model in accurately representing the combined effect of steel tubes and concrete, hence enhancing the accuracy of the analytical results. Simultaneously, to comprehensively account for the non-linear characteristics of the dumbbell-shaped concrete-filled steel tube arch rib, the arch rib is modeled using a fiber model, as depicted in Figure 6.
Figure 6.
Dumbbell arch rib and its fiber section division.
- (2)
- Simulation of tie beam, beam, and boom
Historical seismic damage data indicate that tie beams and beams are employed as capacity protection elements. During an earthquake, the tie beam and beam primarily experience elastic deformation. Hence, to enhance computational efficiency, the simulation of the tie beam and beam is carried out using an elastic beam element. The suspender, a crucial component of the structural system, is primarily subjected to tensile stress. Hence, during the simulation process, the behavior of the suspender is replicated by a truss member that experiences only tensile forces.
- (3)
- Simulation of bridge pier
The pier is a crucial component of the bridge’s structure. It exhibits significant ductility and can effectively absorb and dissipate energy during earthquakes, thereby safeguarding the superstructure from harm. The pier’s nonlinear reaction to earthquakes is studied by simulating it using an elastic-plastic fiber beam-column element. Figure 7 illustrates the fiber element split of the pier.
Figure 7.
Fiber division of pier top and bottom section.
- (4)
- Simulation of bearing
The bridge bearing is a crucial component that connects the top and bottom structures of the bridge, efficiently transferring multiple loads and ensuring structural safety. This study focuses on a concrete-filled steel tube linked arch bridge that is not isolated. The bridge has a spherical steel bearing system. The constitutive model of the spherical steel bearing utilizes the classical double-line restoring force model, depicted in Figure 8. The method for calculating stiffness is demonstrated in Formulas (12) and (13):
Figure 8.
Restoring force model of spherical steel bearing.
The formulas include the following variables: Fmax represents the maximum sliding friction force of the support; μd denotes the sliding friction coefficient, which is set to 0.02; R indicates the response force of the support; K symbolizes the horizontal stiffness of the bearing; and xy stands for the yield displacement in the non-limit direction of the bearing.
4.3. Dynamic Characteristics of Concrete-Filled Steel Tube Arch Bridge
The dynamic characteristics of a structure pertain to its intrinsic response properties when subjected to dynamic loads. These properties include the natural vibration period, vibration mode, damping ratio, and other structural parameters. These parameters might represent the rigidity, weight, damping, and other characteristics of the structure, which are crucial for validating the accuracy of the model. This work employs the multiple Ritz vector method to examine the eigenvalues of the structure. The multiple Ritz vector approach is a highly efficient technique for conducting eigenvalue analysis. The program can calculate the eigenvalues and eigenvectors of the structure based on the stiffness and mass matrix of the structure, as well as the supplied beginning vector. This work examines the dynamic properties of a structure by analyzing the outcomes produced from 30 initial vectors collected in three dimensions (X, Y, Z). The results indicate that the combined mode participation mass ratios of the bridge in the X, Y, and Z directions are 97.64%, 97.30%, and 98.64% respectively. Furthermore, the total sum of the mode participation mass ratios in these three directions exceeds 90% of the total mass. This suggests that the main modes that significantly influence the analysis results have been accounted for, thus confirming the accuracy of the model. Table 1 in this study presents the first 10 natural frequencies, periods, and mode shapes of the bridge, as only these are included due to space constraints.
Table 1.
Dynamic characteristics of a concrete-filled steel tube arch bridge.
4.4. Selection of Ground Motion
To ensure the accuracy and efficacy of the vulnerability study of the bridge structure, it is essential to carefully choose the ground motion intensity index, the spectrum features of the ground motion, the duration of the ground motion, and the number of ground motions. The choice of seismic waves has a direct impact on the accuracy and dependability of the analytical outcomes. Seismic wave data that closely correspond to the site type of the bridge were chosen from Pacific Earthquake Engineering Research Center (PEER). The screening process primarily takes into account the following aspects:
- (1)
- Spectrum characteristics: The selected seismic wave should have a period corresponding to the structural site, and the characteristic period of the bridge site response spectrum is 0.45 s.
- (2)
- Peak effectiveness: To account for the unpredictability and uncertainty of seismic waves and encompass the potential range of peak ground acceleration (PGA), this study employs the incremental dynamic analysis (IDA) method to modify the PGA of each seismic wave. The PGA is adjusted in increments of 0.1 g, ranging from 0.1 g to 1.0 g.
- (3)
- Duration: The duration of ground motion is the period of time during which the intensity of ground motion is above a specific threshold. This duration significantly influences the cumulative damage experienced by structures. The selected seismic wave has an effective duration exceeding 10 s, and its effective duration is more than five times the basic period of the structure. The fundamental period of the bridge structure is 2.819 s.
- (4)
- The quantity of seismic waves: The selection of the quantity of seismic waves should not only guarantee the precision of computation, but also prevent excessive computational load. This paper selects 20 natural seismic waves from PEER based on the structural and seismic response characteristics of the bridge, as depicted in Figure 9.
Figure 9. Ground motion acceleration response spectrum.
5. Analysis of Structural Damage Index
An essential aspect of analyzing the vulnerability of structures to seismic activity is to ascertain the damage index of the structure. This index refers to the criteria employed to characterize and measure the damage characteristics of the bridge structure. The selection and definition of a damage index have a direct impact on the classification of damage severity and the determination of the vulnerability function of a bridge structure. This, in turn, affects the assessment of the seismic performance of the bridge structure. This study defines the damage indexes of the three main components of a pier, namely the arch rib, bearing, and pier itself, using the failure criterion of the structure.
5.1. Damage Indexes of Piers and Arch Ribs
Research has demonstrated that after an earthquake, reinforced concrete piers commonly experience compression-bending failure as their primary cause of failure [22,23]. In the contemporary analysis of structures’ vulnerability to seismic activity, the ductility index is commonly chosen as the indicator for assessing the probability of bending failure [24]. The displacement ductility ratio and curvature ductility ratio are typically chosen in the ductility index [25], calculated as follows:
where is the curvature of the vulnerable section when subjected to earthquake forces, and is the curvature of the vulnerable section when the first reinforcement reaches its yield condition.
The deformation failure criterion categorizes the damage degree of the pier into five grades: no damage, minor, moderate, severe, and complete damage, as indicated in Table 2.
Table 2.
Damage grade division.
Table 2 provides the definitions of various curvatures used in the analysis of the member. Specifically, represents the curvature of the longitudinal tensile reinforcement at the point of first yield. refers to the equivalent yield curvature. stands for the curvature of the concrete at the edge of the vulnerable section when the compressive strain reaches 0.004. Lastly, denotes the maximum allowable curvature.
The Xtract section analysis program is utilized to conduct a bending moment-curvature study on each susceptible section individually. This analysis allows us to determine the limit value of the curvature ductility ratio for each damage condition of the pier and arch rib, as presented in Table 3.
Table 3.
Bridge pier and arch rib damage index quantification.
5.2. Damage Index of Ordinary Spherical Steel Bearing
Currently, we need more studies on the damage mechanism and damage index of spherical steel bearings both domestically and internationally. This work incorporates the findings of Xu et al. [26]. It reveals that the stiffness of the spherical steel bearing significantly declines when the displacement in a specified direction exceeds 20 mm. Furthermore, the bolt will totally fracture when the displacement in a specified direction reaches 40 mm. Hence, in this document, the displacement in a specified direction reaches 20 mm and 40 mm, corresponding to the limit values for severe and total damage of the longitudinal restraint support. Similarly, the displacement reaches 10 mm and 15 mm, respectively, as the limit values for minor and moderate damage of the longitudinal restraint support. Table 4 presents a concise breakdown and measurement of the damage condition of the spherical steel bearing.
Table 4.
Bearing damage index quantification.
5.3. Damage Index of High-Damping Rubber Bearings
HDRBs are effective isolation devices that minimize the transmission of seismic energy to the superstructure due to their strong damping properties. Nevertheless, the considerable flexibility of HDRBs might result in significant displacement when subjected to traffic loads. These displacements can adversely affect the smooth functioning of traffic, leading to car jolts or anomalies in bridge decks. Hence, in real-world scenarios, it is crucial to improve the design of HDRBs in order to achieve a harmonious equilibrium between the isolation effect and traffic comfort. During a powerful earthquake, the rubber bearing depends on the shear deformation of the rubber sheet to counteract the damage caused by the earthquake. Furthermore, the shear strain serves as an indicator of the shear modulus and damping characteristics of the rubber material, providing a more accurate representation of the rubber bearing’s performance. Hence, this paper utilizes shear strain as the damage index to precisely determine the damage condition of the high-damping rubber bearing. Based on the findings of Zhang and Huo [27], Padgett [4], and Zakeri et al. [28], the damage severity of rubber bearings is categorized into four distinct levels: slight, medium, severe, and complete failure. These four levels correspond to the shear strain thresholds of 100%, 150%, 200%, and 250%, respectively. Furthermore, considering the specific requirements for seismic design of bridges in China, the ‘Highway Bridge Seismic Design Rules’ explicitly define the maximum displacement of rubber-type isolation bearings under various levels of earthquake impact. Based on this regulation, the deformation of rubber bearings caused by shear stress shall not surpass 100% during an E1 earthquake, and should not exceed 250% during an E2 earthquake.
Equation (15) is used to calculate bearing shear strain :
where represents the greatest horizontal displacement of the support, while represents the total thickness of the bearing rubber layer.
6. Comparative Analysis of the Vulnerability of Non-Isolated and Isolated Bridges
6.1. Comparative Analysis of Seismic Vulnerability of Components
Using the process and method described in the previous section for establishing structural seismic vulnerability and considering the damage index of each component, we calculate the failure probability of the pier, arch rib, and bearing under four different damage states before and after isolation. This allows us to obtain the seismic vulnerability curve for each component. This section aims to assess the impact of HDRBs on the seismic performance of bridges. This will be done by comparing and analyzing the seismic vulnerability curves before and after the implementation of the isolation scheme.
6.1.1. Comparative Analysis of Seismic Vulnerability of Piers
The pier’s seismic vulnerability curves are calculated and compared before and after isolation, as depicted in Figure 10.
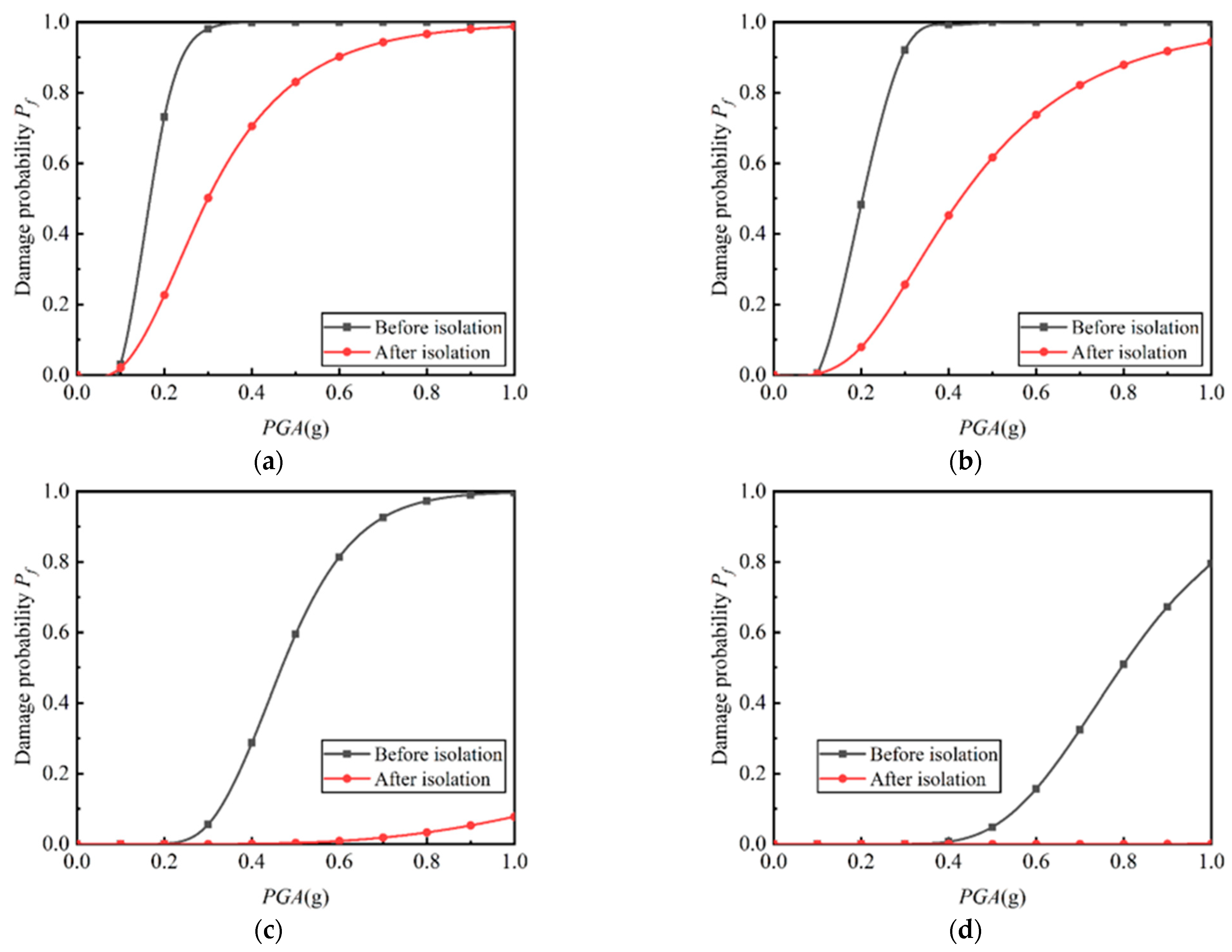
Figure 10.
Seismic vulnerability curves of piers before and after isolation. (a) Minor damage. (b) Moderate damage. (c) Severe damage. (d) Complete damage.
The seismic susceptibility of the pier is much reduced after the implementation of the isolation design, as evident from Figure 10. For minor and moderate damage levels, the isolation effect is most pronounced when the peak ground acceleration (PGA) is 0.3 g. As the PGA continues to rise, the impact of the isolation effect eventually diminishes. Under severe and complete damage conditions, the isolation effect starts to become evident when the PGA reaches 0.2 g and 0.4 g, respectively. As the seismic intensity increases, the isolation effect becomes increasingly pronounced. When the PGA achieves its maximum value, the probability of the pier entering a condition of severe damage is lowered from 100% before isolation to less than 10% after isolation. The isolation effect is achieved at a level exceeding 90%. Simultaneously, the probability of the pier reaching a condition of complete damage is significantly diminished, approaching zero, resulting in a very low danger of complete damage.
6.1.2. Comparative Analysis of Seismic Vulnerability of Arch Ribs
The seismic vulnerability curves of the arch foot at the standard location of the arch rib are computed and compared before and after isolation, as depicted in Figure 11.
Figure 11.
Seismic vulnerability curves of arch foot before and after isolation. (a) Minor damage. (b) Moderate damage. (c) Severe damage. (d) Complete damage.
Figure 11 shows that for each damage condition, the exceedance probability of damage to the arch foot after isolation is significantly lower than it was before isolation. The seismic intensity at which the arch foot experiences slight damage increases from 0.1 g to 0.2 g, and the seismic intensity at which the arch foot experiences moderate damage increases from 0.1 g to 0.4 g. This suggests that under low seismic intensity, the probability of various damages occurring in the arch foot is significantly reduced. When the PGA reaches 1.0 g, the probability of significant and total injury to the arch foot upon isolation becomes nearly nonexistent, effectively eliminating the chance of severe or higher-level damage to the arch foot.
6.1.3. Comparative Analysis of Seismic Vulnerability of Bearings
The seismic vulnerability curves of the bearings are computed and compared before and after isolation, as depicted in Figure 12.
Figure 12.
Seismic vulnerability curves of bearings before and after isolation. (a) Minor damage. (b) Moderate damage. (c) Severe damage. (d) Complete damage.
Figure 12 illustrates that the exceedance probabilities of HDRBs entering different damage states are reduced to varying extents compared to the bearings before isolation. However, when compared to other isolated components such as piers and arch ribs, the reduction in exceedance probabilities of severe damage and complete damage is less substantial. This is in line with the initial design of the isolation bearing, where the seismic isolation support dissipates the energy produced by the structure during an earthquake, thus minimizing the seismic impact on other bridge components. Simultaneously, once the bearing is damaged, repairing and replacing it is more cost-effective and convenient compared to other components like piers.
6.2. Comparative Analysis of System Seismic Vulnerability
A bridge is an intricate system comprised of a multitude of components, and its susceptibility to earthquake damage is influenced by numerous factors. Previous research [29] highlighted that the seismic damage probability of the bridge system differs from the damage probability of each component. Instead, there is a notable amplification impact. This phenomenon arises from a distinct interaction and coupling effect that happens among the different components inside the bridge system. The seismic vibrations generated by the earthquake might travel throughout the system and result in a cumulative impact. The assessment needs to be more comprehensive and accurate when solely considering the susceptibility of a single component. Hence, it is imperative to carry out thorough investigations from a macro perspective, specifically focusing on the susceptibility of bridge structures, in order to assess the seismic resilience of bridges in a more comprehensive and precise manner.
Numerous techniques are available to determine a bridge system’s seismic susceptibility. This paper utilizes the first-order boundary method [5] and the Monte Carlo method based on a joint probabilistic seismic demand model [30] to calculate the bridge’s seismic vulnerability curves before and after isolation. A comparative analysis is then conducted, as depicted in Figure 13.
Figure 13.
Seismic vulnerability curves of a bridge system before and after isolation. (a) Minor damage. (b) Moderate damage. (c) Severe damage. (d) Complete damage.
Figure 13 demonstrates that the implementation of the isolation design leads to a reduction in exceedance probability of damage in the bridge system for each damage condition. The severity of the damage directly correlates with the effectiveness of the isolation effect. For states of minor and moderate damage, the probability of damage to the bridge system lowers, but it will still increase to a higher degree when the PGA increases. When the PGA reaches a maximum of 1.0 g, the chance of severe and complete damage to the bridge decreases by approximately 40%. Hence, it is evident that the implementation of seismic isolation design can significantly enhance the overall seismic resilience of the tied arch bridge, particularly in cases of severe and complete destruction, resulting in a more pronounced impact.
7. Conclusions
This work establishes seismic vulnerability curves for each component and system of isolated and non-isolated bridges and conducts a comparative analysis and evaluation. The primary findings can be summarized as follows:
- (1)
- As the ground motion intensity increases, the seismic vulnerability curves for each component exhibit a progressive rising trend. However, the rate of growth for the seismic vulnerability curves varies across different damage states. Typically, the seismic vulnerability curve experiences the most rapid growth in the minor damage condition, while the growth rate is the slowest in the complete damage state. This demonstrates that the bridge structure is more susceptible to minor damage when subjected to an earthquake but is not susceptible to destruction.
- (2)
- The vulnerability curve derived from the Monte Carlo simulation always falls within the range indicated by the first-order boundary method, specifically within the upper and lower limits determined by it. This confirms the validity and reasonableness of the Monte Carlo technique. Simultaneously, the findings also demonstrate that the failure probability of the bridge system, as determined by the Monte Carlo method, surpasses that of any individual component. This suggests that the seismic susceptibility of the bridge’s overall structure cannot be assessed solely based on the seismic vulnerability of a single component.
- (3)
- This paper aims to assess the impact of seismic isolation design on the seismic performance of the bridge by comparing the seismic vulnerability curve of the arch bridge after isolation with that before isolation. The implementation of isolation measures has been shown to significantly enhance the seismic resilience of the bridge, particularly in scenarios involving severe or complete damage, where the isolation effect is more pronounced.
- (4)
- This research does a detailed analysis of how seismic isolation design affects the seismic susceptibility of each component of the bridge. The utilization of high-damping rubber bearings leads to a reduction in the exceedance probability of damage for each component of the bridge but to different extents. Out of all the factors, the isolation effect on piers and arch ribs has the most significant impact, reducing damage by more than 90%. However, the reduction in the risk of damage beyond the bearing itself is less significant. This aligns with the initial purpose of designing the isolation bearing, which is to decrease the seismic reaction of the bridge’s other components by dissipating energy, thus enhancing the bridge’s seismic performance. Simultaneously, the repair and replacement of the isolation bearing is more cost-effective and straightforward compared to repairing and replacing other components of the bridge. Thus, the utilization of high-damping rubber bearings can significantly enhance the safety and functionality of the bridge.
- (5)
- This paper primarily examines the impact of using high-damping rubber bearings to isolate vibrations in concrete-filled steel tube arch bridges. It is important to acknowledge that the findings for the bridge are influenced by other structural features, such as material qualities, geometric dimensions, and load circumstances. Subsequent studies can delve more into the influence of alterations in these variables on the seismic resilience of bridges. While the finite element model and ground motion selection in this study are generally representative, there are still certain limitations present. For instance, the process of choosing ground motion records involves a degree of randomization. Future research should further investigate the impact of HDRBs on different categories of bridge structures. Furthermore, it is advisable to encourage the utilization of HDRBs in real-world engineering projects to enhance the seismic resilience and longevity of bridges.
Author Contributions
Conceptualization, Q.Z.; methodology, Q.Z.; software, Q.Z.; validation, Q.Z.; formal analysis, Q.Z.; investigation, Q.Z.; data curation, Q.Z.; writing—original draft preparation, Q.Z.; writing—review and editing, J.H.; supervision, X.W.; project administration, X.W.; funding acquisition, X.W. All authors have read and agreed to the published version of the manuscript.
Funding
This research received no external funding.
Data Availability Statement
Data are contained within the article.
Conflicts of Interest
The authors declare no conflict of interest.
References
- Hu, S. Study on Seismic Vulnerability and Seismic Strengthening Strategy of Bridges Considering Chloride Ion Erosion. Ph.D. Thesis, Hunan University, Changsha, China, 2018. [Google Scholar]
- Rossetto, T.; Elnashai, A. Derivation of vulnerability functions for European-type RC structures based on observational data. Eng. Struct. 2003, 25, 1241–1263. [Google Scholar] [CrossRef]
- Shinozuka, M.; Feng, M.Q.; Lee, J.; Naganuma, T. Statistical analysis of vulnerability curves. J. Eng. Mech. 2000, 126, 1224–1231. [Google Scholar] [CrossRef]
- Padgett, J.E. Seismic Vulnerability Assessment of Retrofitted Bridges Using Probabilistic Methods. Ph.D. Thesis, Georgia Institute of Technology, Atlanta, GA, USA, 2007. [Google Scholar]
- Choi, E.; DesRoches, R.; Nielson, B. Seismic vulnerability of typical bridges in moderate seismic zones. Eng. Struct. 2004, 26, 187–199. [Google Scholar] [CrossRef]
- Nielson, B.G.; Des Roches, R. Seismic vulnerability methodology for highway bridges using a component level approach. Earthq. Eng. Struct. Dyn. 2007, 36, 823–839. [Google Scholar] [CrossRef]
- Pan, Y.; Agrawal, A.K.; Ghosn, M. Seismic vulnerability of Continuous Steel Highway Bridges in New York State. J. Bridge Eng. 2007, 12, 689–699. [Google Scholar] [CrossRef]
- Sohn, H.; Law, K.H. Bayesian probabilistic damage detection of a reinforced-concrete bridge column. Earthq. Eng. Struct. Dyn. 2000, 29, 1131–1152. [Google Scholar] [CrossRef]
- Bensi, M.T. A Bayesian Network Methodology for Infrastructure Seismic Risk Assessment and Decision Support. Ph.D. Thesis, University of California, Berkeley, CA, USA, 2010. [Google Scholar]
- Franchin, P.; Lupoi, A.; Noto, F.; Tesfamariam, S. Seismic vulnerability of reinforced concrete girder bridges using Bayesian belief network. Earthq. Eng. Struct. Dyn. 2016, 45, 29–44. [Google Scholar] [CrossRef]
- Firouzi, N. Mechanics of nonlinear visco-hyperelastic-hysteresis membranes. Int. J. Non-Linear Mech. 2022, 147, 104231. [Google Scholar] [CrossRef]
- Kassem, M.M.; Nazri, F.M.; Noroozinejad, F.E. he seismic vulnerability assessment methodologies: A state-of-the-art review. Ain Shams Eng. J. 2020, 11, 849–864. [Google Scholar] [CrossRef]
- El-Maissi, A.M.; Kassem, M.M.; Tan, C.G.; Fikri, R.; Nazri, F.M. Damage index seismic assessment methodologies of URM buildings: A state-of-the-art review. Eng. J. 2022, 26, 39–53. [Google Scholar]
- Kassem, M.M.; Nazri, F.M.; El-Maissi, A.M. The Influence of Slope Angle Variation on Structures Resting on Hilly Region Considering Soil–Structure Interaction Under Earthquake Loadings Using Capacity Curves and Probabilistic Approach. J. Earthq. Eng. 2024, 28, 1818–1836. [Google Scholar] [CrossRef]
- Zeng, X.; Zhu, S.; Deng, K.; Pang, L.; Zhao, C. Design method and seismic vulnerability of bridges using UHPC-NSC composite pier. En-Gineering Struct. 2024, 312, 118265. [Google Scholar] [CrossRef]
- Yin, K.; Xu, Y.; Li, J.; Zhou, X. Gaussian process regression driven rapid life-cycle based seismic fragility and risk assessment of laminated rubber bearings supported highway bridges subjected to multiple uncertainty sources. Eng. Struct. 2024, 316, 118615. [Google Scholar] [CrossRef]
- Li, S.-Q. Probabilistic seismic hazard model and vulnerability analysis for typical regional structures. Bull. Earthq. Eng. 2024, 22, 4377–4412. [Google Scholar] [CrossRef]
- Lan, Y.; Xu, J.; Pinnola, F. Seismic fragility analysis of structures via an Adaptive Gaussian Mixture Model and its application to resilience assessment. Mech. Syst. Signal Process. 2024, 212, 111332. [Google Scholar] [CrossRef]
- Crisci, G.; Gentile, R.; Ceroni, F.; Galasso, C.; Lignola, G.P. Seismic vulnerability assessment of RC deck-stiffened arch bridges. Eng. Struct. 2024, 317, 118595. [Google Scholar] [CrossRef]
- Cornell, C.A.; Jalayer, F.; Hamburger, R.O.; Foutch, D.A. Probabilistic Basis for 2000 SAC Federal Emergency Management Agency Steel Moment Frame Guidelines. J. Struct. Eng. 2002, 128, 526–533. [Google Scholar] [CrossRef]
- Zhuang, X.; Shen, C.; Jin, J. Experimental study on mechanical properties of high damping rubber bearing of bridge. Earthq. Eng. Eng. Vib. 2006, 26, 208–212. [Google Scholar]
- Zhao, J. Probabilistic Seismic Evaluation and Seismic Control of Long-Span Arch Bridges. Master’s Thesis, Huazhong University of Science and Technology, Wuhan, China, 2013. [Google Scholar]
- Dong, J. Study on Near-Field Seismic Vulnerability Analysis of High-Pier and Long-Span Rigid Frame-Continuous Composite Bridge. Ph.D. Thesis, Southwest Jiaotong University, Chengdu, China, 2016. [Google Scholar]
- Zhang, J. Seismic Vulnerability Analysis of Regular Beam Bridge Piers Based on Numerical Simulation. Master’s Thesis, Tongji University, Shanghai, China, 2006. [Google Scholar]
- Li, X. Study on the Influence of Structural Parameters on Seismic Vulnerability of High-Speed Railway Continuous Girder Bridges. Master’s Thesis, Southwest Jiaotong University, Chengdu, China, 2017. [Google Scholar]
- Xu, L.; He, H.; Zhang, C.; Xu, Y. Transverse seismic performance evaluation of cable-stayed bridges based on vulnerability curves. J. Chongqing Jiaotong Univ. 2023, 42, 17–25. [Google Scholar]
- Zhang, J.; Huo, Y. Evaluating effectiveness and optimum design of isolation devices for highway bridges using the vulnerability function method. Eng. Struct. 2009, 31, 1648–1660. [Google Scholar] [CrossRef]
- Zakeri, B.; Padgett, J.E.; Amiri, G.G. vulnerability Analysis of Skewed Single-Frame Concrete Box-Girder Bridges. J. Perform. Constr. Facil. 2014, 28, 571–582. [Google Scholar] [CrossRef]
- Lv, X. Study on Seismic Vulnerability of Double-Deck Special-Shaped Continuous Girder Bridge. Master’s Thesis, Southeast University, Nanjing, China, 2020. [Google Scholar]
- Nielson, B.G. Analytical vulnerability Curves for Highway Bridges in Moderate Seismic Zones. Ph.D. Thesis, Georgia Institute of Technology, Atlanta, GA, USA, 2005. [Google Scholar]
Disclaimer/Publisher’s Note: The statements, opinions and data contained in all publications are solely those of the individual author(s) and contributor(s) and not of MDPI and/or the editor(s). MDPI and/or the editor(s) disclaim responsibility for any injury to people or property resulting from any ideas, methods, instructions or products referred to in the content. |
© 2024 by the authors. Licensee MDPI, Basel, Switzerland. This article is an open access article distributed under the terms and conditions of the Creative Commons Attribution (CC BY) license (https://creativecommons.org/licenses/by/4.0/).












