Next Article in Journal
Particle Swarm Optimization Algorithm Using Velocity Pausing and Adaptive Strategy
Previous Article in Journal
The Nuclear Physics of Neutron Stars
 
 
Font Type:
Arial Georgia Verdana
Font Size:
Aa Aa Aa
Line Spacing:
Column Width:
Background:
Article

The Additive Xgamma-Burr XII Distribution: Properties, Estimation and Applications

by
Hebatalla H. Mohammad
1,
Faten S. Alamri
1,
Heba N. Salem
2 and
Abeer A. EL-Helbawy
2,*
1
Department of Mathematical Sciences, College of Science, Princess Nourah bint Abdulrahman University, P.O. Box 84428, Riyadh 11671, Saudi Arabia
2
Department of Statistics, Faculty of Commerce, Al-Azhar University (Girls’ Branch), Cairo 11765, Egypt
*
Author to whom correspondence should be addressed.
Symmetry 2024, 16(6), 659; https://doi.org/10.3390/sym16060659
Submission received: 17 April 2024 / Revised: 16 May 2024 / Accepted: 21 May 2024 / Published: 27 May 2024
(This article belongs to the Section Mathematics)

Abstract

This paper introduces a new four-parameter additive model, named xgamma-Burr XII distribution, by considering two competing risks: the former has the xgamma distribution and the latter has the Burr XII distribution. A graphical description of the xgamma-Burr XII distribution is presented, including plots of the probability density function, hazard rate and reversed hazard rate functions. The xgamma-Burr XII density has different shapes such as decreasing, unimodal, approximately symmetric and decreasing-unimodal. The main statistical properties of the proposed model are studied. The unknown model parameters, reliability, hazard rate and reversed hazard rate functions are estimated via the maximum likelihood method. The asymptotic confidence intervals of the parameters, reliability function, hazard rate function and reversed hazard rate function are also obtained. A simulation study is carried out to evaluate the performance of the maximum likelihood estimates. In addition, three real data are applied to show the superiority of the xgamma-Burr XII distribution over some known distributions in real-life applications.

1. Introduction

In literature, several statistical distributions are beneficial in analyzing and predicting different types of real lifetime data in many areas such as economics, finance, insurance, engineering, electronic sciences, hydrology, human mortality studies and biological surveys. Therefore, different shapes of lifetime distributions are required for fitting these types of lifetime data, but in many situations, classical distributions do not present suitable fits to real data. Thus, there is a necessity for a flexible family of distributions, and several generated classes of probability distributions have been recommended. Therefore, various approaches for generating new distributions, generalizing and extending existing distributions have been suggested to provide more flexibility than the existing distributions. Some of these approaches are methods of differential equation: the Pearson system and Burr system, the method of adding parameters, the method of transformation of variables and distribution functions, probability integral transforms, compound distributions, finite and infinite mixture distributions [1].
Another method for constructing new lifetime distributions is the competing risks approach. The competing risks approach depends on the concept of competing risks which appears in life-testing experiments, where the failure of the tested item may be ascribable to more than one cause or mode of failure. These failure modes in some sense compete to cause the failure of the tested item. Due to this reason, in statistical literature this is well known as competing risks. Competing risks often occurred in reliability studies, demographic, medical and biological sciences and engineering applications. Furthermore, the importance of the competing risks approach stems from the fact that the resulting model has a flexible hazard rate function (hrf), which accommodates a bathtub shape and more complex shapes. Based on the competing risks approach, the resulting model is known as a competing risks model, series model, additive model and multi-risk model.
Based on the concept of the competing risks, there are many lifetime distributions that have been introduced in literature, such as the additive Weibull (AW) distribution that was introduced by [2]. The additive Burr XII (BXII) distribution was presented by [3]. Ref. [4] derived a new modified Weibull distribution. Ref. [5] constructed the exponential-Weibull distribution. Ref. [6] obtained the additive modified Weibull distribution. Ref. [7] proposed the log-logistic Weibull (LogL–W) distribution. Ref. [8] suggested the additive Perks–Weibull distribution. Ref. [9] derived the BXII modified Weibull distribution. Ref. [10] introduced Weibull–Chen distribution. Ref. [11] proposed the log-normal modified Weibull distribution. Ref. [12] constructed the Lomax–Weibull (L–W) distribution. Ref. [13] presented the flexible Weibull extension–BXII distribution. Ref. [14] introduced the additive Chen–Weibull distribution. Ref. [15] presented the flexible additive Weibull distribution by combining three Weibull distributions. Ref. [16] proposed the Lindley–BXII distribution. Ref. [17] introduced the flexible additive Chen–Gompertz distribution. Ref. [18] proposed the additive power-transformed half-logistic model. Ref. [19] presented the three-component additive Weibull distribution. Recently, Ref. [20] introduced the additive flexible Weibull extension–Lomax distribution. More recently, Ref. [21] presented the additive Perks distribution. Most recently, Ref. [22] proposed the additive Chen distribution. In addition, the additive Chen–Perks distribution was introduced by [23].
In this paper a new competing risks model, called xgamma-BXII (Xg-BXII) distribution, is derived by considering a series system with two components functioning independently in series. The lifetime of the first component, X 1 , has the xgamma (Xg) distribution and the lifetime of the second component, X 2 , has the BXII distribution. Therefore, the lifetime of the system is X = min X 1 , X 2 has the Xg-BXII distribution. The importance of this distribution seems to be from its pdf and hrf which display high flexibility and diversity in shape. The Xg distribution hrf has two main shapes—bathtub and modified bathtub—that are very important in reliability analyses. These shapes increase the applicability of the proposed distribution for lifetime data modeling. Moreover, the proposed distribution has some new additive models as special cases, which have not been introduced in the statistical literature, as well as some special cases that are well-known models.
The xgamma (XG) distribution was derived by [24] using a finite gamma and exponential distribution mixture to model lifetime data sets. They investigated many useful features of the xgamma distribution since they studied some statistical properties and observed that in many cases the XG distribution has more flexibility than the exponential distribution. [See [25,26,27,28]]. The reliability function (rf) and the hrf of Xg distribution are given, respectively, by:
R 1 x ; α = 1 + α + α x + α 2 x 2 2 1 + α e α x ,                       x > 0 ,   α > 0   ,  
and
h 1 x ; α = α 2 1 + α x 2 2 1 + α + α x + α 2 x 2 2 ,                                                                                         x > 0 ;   α , > 0 .  
The Burr XII distribution was proposed by [29] beside 11 other types of Burr distributions. The Burr XII is one of the important distributions which can be used for modeling real data due to its good statistical and reliability properties. It is applied in industry, medical sciences, business, finances, physics, hydrology, quality control, chemical engineering reliability, survival analysis and acceptance sampling plans. The rf and the hrf of BXII distribution are given, respectively, by:
R 2 x ; c , k = 1 + x c k ,                                             x > 0 ;   c , k > 0 ,
and
h 2 x ; c , k = c k x c 1 1 + x c ,                                               x > 0 ;   c , k > 0 .
The rest of the paper is organized as follows: The construction of the proposed model and a graphical description of its main functions is given in Section 2. In Section 3, some important statistical properties are studied. The maximum likelihood (ML) approach is applied in Section 4 to estimate the unknown model parameters, the reliability and hazard rate function. In Section 5, a simulation study is performed to assess the efficiency of the derived estimators. Finally, four applications of real-life data are given in Section 6.

2. The Model

In this section, the construction of the proposed model based on the concept of competing risks is obtained. Graphical description of the pdf, hrf and reversed hrf (rhrf) is introduced. In addition, interpretation of the behavior of the hrf is presented.

2.1. Model Construction

The rf of the Xg-BXII distribution can be obtained as follows:
R x ; ψ ¯ = i = 1 2 R i x = 1 + α + α x + α 2 x 2 2 1 + α 1 + x c k e α x ,    x > 0 ,   ψ ¯ > 0 ¯ ,
where ψ ¯ = α , c , k is a parameter vector.
The corresponding cumulative distribution function (cdf) of the Xg-BXII distribution is:
F x ; ψ ¯ = 1 R x ; ψ ¯ = 1 1 + α + α x + α 2 x 2 2 1 + α 1 + x c k e α x ,               x > 0 ;   ψ ¯ > 0 ¯ .
The hrf of the Xg-BXII distribution can be obtained as a sum of the two hrfs of the Xg and BXII distributions as follows:
h x ; ψ ¯ = h 1 x + h 2 x       = α 2 1 + α x 2 2 1 + α + α x + α 2 x 2 2 + c k x c 1 1 + x c ,               x > 0 ;   ψ ¯ > 0 ¯ .
Therefore, the probability density function (pdf) of Xg-BXII distribution can be derived as:
f x ; ψ ¯ = h x ; ψ ¯ R x ; ψ ¯                           = α 2 1 + α x 2 2 + c k x c 1 1 + α + α x + α 2 x 2 2 1 + x c 1 + x c k e α x 1 + α ,                                                                              x > 0 ,   ψ ¯ > 0 ¯ .
In addition, the rhrf and the cumulative hrf (chrf) of the Xg-BXII distribution are obtained as:
r x ; ψ ¯ = f x ; ψ ¯ F x ; ψ ¯ = α 2 1 + α x 2 2 + c k x c 1 1 + α + α x + α 2 x 2 2 1 + x c 1 + α 1 + x c k e α x 1 + α + α x + α 2 x 2 2 ,                             x > 0 ;   θ ¯ > 0 ¯ ,
and
H x ; ψ ¯ = ln R x ; ψ ¯ = ln 1 + α 1 + x c k 1 + α + α x + α 2 x 2 2 + α x ,             x > 0 ;   ψ ¯ > 0 ¯ .

2.2. Graphical Description

This subsection is devoted to present graphically the pdf, hrf and rhrf of the Xg-BXII distribution to show the model flexibility compared to the two distributions, namely Xg and BXII, of which the proposed model consists of them.
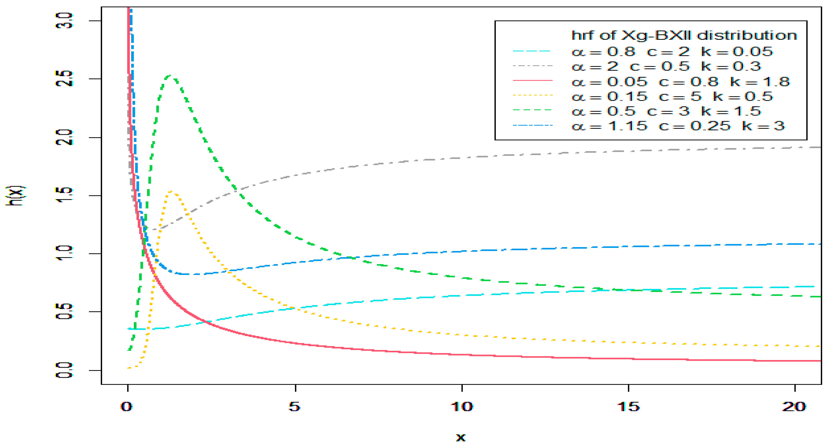
Figure 1 exhibits the pdf of the Xg-BXII distribution for different values of the parameters. It can be observed from Figure 1 that the pdf of the Xg-BXII distribution can be decreasing, unimodal, approximately symmetric and decreasing-unimodal. Figure 2 presents the hrf of the Xg-BXII distribution for some values of the parameters. The hrf of the Xg-BXII distribution displays two major failure shapes: bathtub shape and a generalized version of this, called the modified bathtub shape. Moreover, the hrf of the Xg-BXII distribution also displays an increasing and decreasing shape. Plots of the rhrf of the Xg-BXII distribution for some selected values of the parameters are given in Figure 3. The rhrf of the Xg-BXII distribution is decreasing.

2.3. Behavior of the Hazard Rate Function

Limiting behavior of the hrf, h x ; ψ ¯ , and its first derivative with respect to x are considered for studying the behavior of the hrf of the Xg-BXII distribution, which is shown in Figure 2.
Using 7 , the first derivative of h x ; ψ ¯ with respect to x is given as:
h ´ x ; ψ ¯ = d h x ; ψ ¯ d x = h ´ 1 x ; α + h ´ 2 x ; c , k ,
where
h ´ 1 x ; α = α 3 x 1 + α x 2 1 1 + α + α x + α 2 x 2 2 2 ,
and
h ´ 2 x ; c , k = c k c 1 x c 2 1 + x c c 2 k x 2 c 2 1 + x c 2 .
The behavior of the hrf of the Xg-BXII distribution for different values of c can be characterized as:
For c > 1 , lim x 0 h x ; ψ ¯ = α 2 1 + α and lim x h x ; ψ ¯ = α , in this case h 1 x ; α is an increasing hrf whereas h 2 x ; c , k is unimodal hrf. Therefore, two shapes of the hrf can be demonstrated:
i.
The modified bathtub shape: the hrf of the Xg-BXII distribution can exhibit the modified bathtub shape. In this case let x 0 and x 0 be two critical values of h x ; ψ ¯ , then for x < x 0 , h ´ 1 x ; α > 0 and h ´ 2 x ; c , k > 0 . So, h x ; ψ ¯ is increasing for x < x 0 , that is h ´ x ; ψ ¯ > 0 . For x 0 < x x 0 , h ´ 1 x ; α > 0 and h ´ 2 x ; c , k < 0 , so that the negative one dominates the positive one, therefore h ´ x ; ψ ¯ < 0 , that is h x ; θ ¯ is a decreasing hrf. For x 0 < x , h x ; ψ ¯ is increasing hrf again because h ´ 1 x ; α > 0 is positive and dominates the negative one h ´ 2 x ; c , k < 0 . In brief, the hrf of the Xg-BXII distribution exhibits the modified bathtub shape, that is, the hrf is increasing on 0 , x 0 , decreasing on x 0 , x 0 and finally takes an increasing pattern on x 0 , .
ii.
An increasing shape: when h ´ 1 x ; α dominates the negative term for h ´ 2 x ; c , k and h ´ x ; ψ ¯ > 0 . h x ; ψ ¯ is an increasing hrf.
For c 1 , lim x 0 h x ; ψ ¯ = and lim x h x ; ψ ¯ = α , in this case h 1 x ; α is an increasing hrf whereas h 2 x ; c , k is a decreasing hrf. In addition, two shapes of the hrf can be demonstrated:
i.
The bathtub shape: in the present case, h ´ 1 x ; α > 0 and h ´ 2 x ; c , k < 0 . For x < x 0 , where x 0 is a critical point at which h ´ x ; ψ ¯ = 0 , h ´ x ; ψ ¯ < 0 . For x > x 0 , h ´ x ; ψ ¯ > 0 . Therefore, the hrf of the Xg-BXII distribution is a bathtub hrf.
ii.
A decreasing shape: since h 1 x ; α is an increasing hrf and h 2 x ; c , k is a decreasing hrf. Thus, h 2 x ; c , k dominates h 1 x ; α .

2.4. Statistical Properties

In this subsection some main properties of the Xg-BXII distribution are studied including: the quantile function, mode, central and non-central moments, moment generating function, r t h incomplete moment and inequality curves, mean residual life (MRL) and mean inactivity time (MPL), mean time to failure (MTTF), mean time between failures (MTBF) and availability (Av), the order statistics and some new and well-known sub-models of the proposed distribution.

2.4.1. Quantile Function and the Mode

The quantile function of the Xg-BXII distribution can be obtained by inverting:
R x ; ψ ¯ = 1 q .
So, the quantile function of the Xg-BXII distribution can be obtained by solving the following nonlinear equation:
l n 1 + α + α x q + α 2 x q 2 2 1 + α 1 + x q c k α x q ln 1 q = 0 .  
As special cases of the quantile function the median of the Xg-BXII distribution, denoted by x m , the first quartile, denoted by x 0.25 , and the third quartile, denoted by x 0.75 , can be obtained, respectively, by setting q = 0.5, q = 0.25 and q = 0.75 into 12 and solving numerically.
The mode of a random variable X has the Xg-BXII distribution is the value of x 0 which maximizes f x ; ψ ¯ . Hence, the mode of the Xg-BXII distribution can be obtained by solving the following nonlinear equation:
α 3 1 + α + α x 0 + α 2 x 0 2 2 x 1 + α x 0 1 + α x 0 2 2 1 + α + α x 0 + α 2 x 0 2 2 + c k x 0 c 2 1 + x 0 c c 1 c x 0 c 1 + x 0 c            α 2 1 + α x 0 2 2 1 + α + α x 0 + α 2 x 0 2 2 + c k x 0 c 1 1 + x 0 c 2 1 + α + α x 0 + α 2 x 0 2 2 1 + α 1 + x 0 c k e α x 0 = 0 .
Derivatives of the mode of the Xg-BXII distribution are given in Appendix A.
Some numerical results of the first quartile, x 0.25 , median, x m , and the third quartile, x 0.75 , as special cases of the quantile function and the mode of the Xg-BXII distribution for different parameter values ψ ¯ = α , c , k using R software are presented in Table 1. From this table, it is obvious that the Xg-BXII distribution has a unimodal or non-modal pdf, which is shown clearly in Figure 1.

2.4.2. Moments

The r t h non-central moment of a random variable X has the Xg-BXII distribution is:
μ ´ r = r c i = 0 1 i α i i ! Β r + i c , k r + i c + α Β r + i + 1 c , k r + i + 1 c 1 + α            + α 2 Β r + i + 2 c , k r + i + 2 c 2 1 + α ,         r = 1,2 , . . . ,
where
0 < r + i + j c < k ,      j = 0 , 1 , 2 .
By substituting r = 1 and r = 2 into 14 , the mean and the second non-central moment of the Xg-BXII distribution can be obtained as follows:
μ = 1 c i = 0 1 i α i i ! Β i + 1 c , k i + 1 c + α Β i + 2 c , k i + 2 c 1 + α + α 2 Β i + 3 c , k i + 3 c 2 1 + α ,
where
0 < i + j + 1 c < k ,           j = 0 , 1 , 2 ,
and
μ ´ 2 = 2 c i = 0 1 i α i i ! Β i + 2 c , k i + 2 c + α Β i + 3 c , k i + 3 c 1 + α + α 2 Β i + 4 c , k i + 4 c 2 1 + α ,
where
0 < i + j + 2 c < k ,      j = 0 , 1 , 2 .
The variance of the Xg-BXII distribution can be obtained using 15 and 16 in the following equation:
V x = μ 2 = μ ´ 2 μ 2 .  
The coefficient of variation (CV), the coefficient of skewness (CS) and the coefficient of kurtosis (CK) are given, respectively, by
C V = μ 2 μ = μ ´ 2 μ 2 μ = μ ´ 2 μ 2 1 ,
C S = μ 3 μ 2 3 / 2 = μ 3 3 μ μ ´ 2 + 2 μ 3 μ ´ 2 μ 2 3 / 2 ,
and
C K = μ 4 μ 2 2 = μ ´ 4 4 μ μ ´ 3 + 6 μ 2 μ ´ 2 3 μ 4 μ ´ 2 μ 2 2 ,
where μ ,   μ ´ 2 and μ 2 are obtained, respectively, in 15 ,   16 and 17 and μ ´ 3 and μ ´ 4 can be obtained, respectively, by setting r = 3 and r = 4 into 14 .
Numerical results of the first four non-central moments, variance, CV, CS and CK of the Xg-BXII distribution for some parameter values are listed in Table 2.
Furthermore, the moment generating function, denoted by M X t , of a random variable X has the Xg-BXII distribution can be obtained as given below:
M X t = E e t x = 0 e t x f x ; ψ ¯ d x = r = 0 t r r ! μ ´ r ,
where μ ´ r is given in 14 .

2.4.3. Incomplete Moments and Inequality Curves

The r t h incomplete moment of a random variable X has the Xg-BXII distribution is given by:
μ r t = 0 t x r f x ; ψ ¯ d x = t r R t ; ψ ¯ + 0 t r x r 1 R x ; ψ ¯ d x    = r t r 1 1 + α + α t + α 2 t 2 2 1 + α 1 + t c k e α t        + r c i = 0 1 i α i i ! t c r + i c , k r + i c + α t c r + i + 1 c , k r + i + 1 c 1 + α              + α 2 t c r + i + 2 c , k r + i + 2 c 2 1 + α ,      r = 1,2 , ,
where t c . , . is a lower incomplete beta function and
0 < r + i + j c < k ,     j = 0 ,   1 ,   2 .
Lorenz and Bonferroni curves are well-known inequality curves that have been extensively used in different fields such as economics, demography, insurance, reliability analysis and life testing. These curves are important applications of the first incomplete moment. Lorenz and Bonferroni curves are denoted, respectively, by L F p and B F p which are defined by:
L p = 1 μ 0 q x f x d x = μ q μ ,
and
B p = 1 p μ 0 q x f x d x = L p p ,
where μ is obtained from 15 , μ q is the first incomplete moment which can be obtained by substituting r = 1 and t = q into 22 and q = F 1 p for 0 < p < 1 .

2.4.4. The Mean Residual Life and the Mean Inactivity Time

The MRL function or the life expectation at age t , denoted by m t , which represents the expected additional life length for a system or a unit which is alive at age t , is defined by:
m t = E X t X > t = 1 R t t R x d x .
For the Xg-BXII distribution the MRL is given by:
m t = 1 + t c k e α t c 1 + α + α t + α 2 t 2 2 i = 0 ( 1 ) i a i i ! IB t c i + 1 c , k i + 1 c            + α IB t c i + 2 c , k i + 2 c + α 2 2 IB t c i + 3 c , k i + 3 c ,  
where IB t c . , . is a lower incomplete beta function and
0 < i + τ c < k ,      τ = 1 ,   2 ,   3 .
The MPL, mean inactivity time or mean waiting time, also called the mean reversed residual life function, denoted by M t , which represents the waiting time elapsed since the failure of a system or a unit on the condition that this failure had occurred in 0 , t , is defined by:
M t = E t X X t = 1 F t 0 t F x d x .
For a random variable X has the Xg-BXII distribution, the MPL is given by:
M t = 1 + t c k 1 + α 1 + t c k 1 + α + α t + α 2 t 2 2 e α t 1 + α t            1 c i = 0 1 i α i i ! 1 + α t c i + 1 c , k i + 1 c                 + α q c i + 2 c , k i + 2 c + α 2 2 q c i + 3 c , k i + 3 c ,
where t c . , . is a lower incomplete beta function and
0 < i + τ c < k ,      τ = 1 ,   2 ,   3 .

2.4.5. Mean Time to Failure, Mean Time between Failures and Availability

The MTTF, MTBF and the Av are reliability terms for predicting the lifecycle of products. They are ways for providing numeric results to quantify a failure rate and the resulting time of expected performance based on a set of data. In addition, for designing and manufacturing a maintainable system, it is necessary to predict the MTTF, MTBF and Av. Additionally, customers can use these reliability terms when deciding what product to buy.
For Xg-BXII the MTTF and MTBF are defined, respectively, by:
M T T F = 0 R x ; ψ ¯ d x = μ
and
M T B F = x ln R x ; ψ ¯ = x H x ; ψ ¯ = x ln 1 + α 1 + x c k 1 + α + α x + α 2 x 2 2 + α x .
The Av is the probability that a product is successful at time x 0 and is defined as:
A v = M T T F M T B F .
[See, [30]].

2.4.6. Sub-Models of the Xg-BXII Distribution

In this subsection several new and well-known distributions are obtained as special cases of the Xg-BXII distribution. Table 3 summarizes these sub-models.

2.4.7. Order Statistics

Suppose that X 1 ,   X 2 , , X n are i.i.d. random variables have the Xg-BXII distribution. Then X 1   X 2 X n are the corresponding order statistics, and the pdf of the s t h order statistic is given by:
f s : n x ; ψ ¯ = C s , n f x ; ψ ¯ F x ; ψ ¯ s 1 1 F x ; ψ ¯ n s ,                             x s > 0 ,  
where
C s , n = n ! s 1 ! n s ! .
Since
R x ; ψ ¯ = e H x ; ψ ¯ ,         1 F x ; ψ ¯ n s = e n s H x ; ψ ¯ ,
F x ; ψ ¯ s 1 = 1 e H x ; ψ ¯ s 1 ,
and
f x ; ψ ¯ = h x ; ψ ¯ e H x ; ψ ¯ ,
and by using the binomial expansion of F x ; ψ ¯ s 1 , then
F x ; ψ ¯ s 1 = 1 e H x ; ψ ¯ s 1 = j = 0 s 1 s 1 j 1 j e j H x ; ψ ¯ .
Therefore, the pdf of the s t h order statistic of the Xg-BXII distribution can be rewritten as
f s : n x ; ψ ¯ = j = 0 s 1 C s , n , j h x ; ψ ¯ e j + n s + 1 H x ; ψ ¯ ,      x s > 0 ,
where
C s , n , j = n ! 1 j j ! s j 1 ! n s ! .
Substituting 7 and 10 into 31 , then the pdf of the s t h order statistic of the Xg-BXII distribution is given by:
f s : n x ; ψ ¯ = j = 0 s 1 C s , n , j α 2 1 + α x s 2 2 1 + α + α x s + α 2 x s 2 2 + c k x s c 1 1 + x s c                  × 1 + α 1 + x s c k 1 + α + α x s + α 2 x s 2 2 j + n s + 1 e j + n s + 1 α x s , x s > 0 .
Special cases:
a.
The pdf of the smallest order statistics can be obtained when s = 1 as:
f 1 : n x ; ψ ¯ = n α 2 1 + α x 1 2 2 1 + α + α x 1 + α 2 x 1 2 2 + c k x 1 c 1 1 + x 1 c                  × 1 + α 1 + x 1 c k 1 + α + α x 1 + α 2 x 1 2 2 n e n α x 1 ,                                 x 1 > 0 .
b.
The pdf of the largest order statistics can be obtained if s = n as:
f n : n x ; ψ ¯ = n j = 0 n 1 n 1 j 1 j α 2 1 + α x n 2 2 1 + α + α x n + α 2 x n 2 2 + c k x n c 1 1 + x n c          × 1 + α 1 + x n c k 1 + α + α x n + α 2 x n 2 2 j + 1 e j + 1 α x n ,       x n > 0 .

3. Maximum Likelihood Estimation

In this subsection, the ML estimators of the parameters, rf and hrf are derived. In addition, ACIs (asymptotic confidence intervals) of the parameters, rf and the hrf are obtained.
a.
Point estimation
Suppose that x 1 ,   x 2 , ,   x n is a random sample of size n from the Xg-BXII distribution with parameter vector ψ ¯ = α , c , k , then the likelihood function is given by:
  L ψ ¯ ; x ¯ = i = 1 n f x i ; ψ ¯ = i = 1 n α 2 1 + α   x i 2 2 + c k x i c 1 1 + α + α x i + α 2 x i 2 2 1 + x i c × i = 1 n 1 + x i c k e α x i 1 + α   .
The natural logarithm of the likelihood function is
l ln L ψ ¯ ; x ¯   = i = 1 n ln α 2 1 + α x i 2 2 + c k x i c 1 1 + α + α x i + α 2 x i 2 2 1 + x i c + i = 1 n l n 1 + x i c k e α x i 1 + α
By differentiating the log-likelihood function in 37 with respect to the parameters α , c and k as follows:
l α = i = 1 n 1 + x i c × α 2 1 + α x i 2 2 + c k x i c 1 1 + α + α x i + α 2 x i 2 2 1 + x i c 1            × α α x i 2 2 + 2 + α x i 2 2 + c k x i c 1 1 + x i c × 1 + x i + α x i 2              + i = 1 n 1 + α x i 1 + x i c k e α x i 1 + x i c k e α x i 1 + x i c k e α x i × 1 + α ,
l c = i = 1 n α 2 1 + α x i 2 2 + c k x i c 1 1 + α + α x i + α 2 x i 2 2 1 + x i c 1      × 1 + x i c x i c 1 k 1 + α + α x i + α 2 x i 2 2 c k x i c 1 1 + α + α x i + α 2 x i 2 2 x i c l n x i 1 + x i c 2            + i = 1 n 1 + x i c k e α x i 1 + α 1 e α x i 1 + α k 1 + x i c k + 1 x i c l n x i ,
and
l k = i = 1 n α 2 1 + α x i 2 2 + c k x i c 1 1 + α + α x i + α 2 x i 2 2 1 + x i c 1 × c x i c 1 1 + α + α x i + α 2 x i 2 2 1 + x i c i = 1 n 1 + x i c k e α x i 1 + α 1 e α x i 1 + α l n 1 + x i c 1 + x i c k .
The ML estimates of the parameters ψ ¯ = α , c , k can be obtained by equating 38 40 to zeros then solving numerically.
The ML estimators of R x ; ψ ¯ and h x ; ψ ¯ can be obtained, using the invariance property of the ML estimators, by replacing the parameters ψ ¯ = α , c , k in 5 and 7 with their ML estimators, then the ML estimators of R x ; ψ ¯ and h x ; ψ ¯ can be given, respectively, as:
R ^ x ; ψ ¯ ^ = 1 + α ^ + α ^ x + α ^ 2 x 2 2 1 + α ^ 1 + x c ^ k ^ e α ^ x , x > 0 ,
and
h ^ x ; ψ ¯ ^ = 1 + α ^ x 2 2 1 + α ^ ( 1 + x ) + α ^ 2 x 2 2 + c ^ k ^ x c ^ 1 1 + x c ^ , x > 0 .
b.
Asymptotic confidence intervals
To obtain the confidence intervals for the parameters ψ ¯ = α , c , k of the Xg-BXII distribution, the distributions of the ML estimators ψ ^ ¯ = α ^ , c ^ , k ^ are needed. Since the ML estimators ψ ^ ¯ = α ^ , c ^ , k ^ do not have closed form, their exact distribution cannot be obtained. Therefore, the ACIs can be derived by using the asymptotic distribution of the ML estimators. The ML estimators are asymptotically normal with mean α , c , k and the asymptotic variance–covariance matrix of the estimators is obtained depending on the inverse asymptotic Fisher information matrix. The asymptotic Fisher information matrix can be written as given below:
I ~   l ψ i   ψ j ,                                             i ,   j = 1,2 , 3 ,    
where ψ 1 = α , ψ 2 = c a n d ψ 3 = k .
Therefore, the 1 ω 100 % bounds of the ACIs of the parameters ψ ¯ = α , c , k are as follows:
        L w = w ^ Z ω 2   σ ^ w ^    and    U w = w ^ Z ω   2 σ ^ w ^   ,
where w ^ in this paper is α ^ , c ^ , k ^ ,   R ^ x ; ψ ¯ ^ or h ^ x ; ψ ¯ ^ , and   σ ^ w ^ is the standard deviation.

4. Simulation

This section is devoted to evaluating the performance of the ML estimates of the parameters, rf, hrf and rhrf of the Xg-BXII distribution through a simulation study as follows:
a.
The simulation study is conducted using two sets of parameters:
I : α = 2 , c = 0.5 , k = 0.3 ,
I I : α = 0.5 , c = 3 , k = 1.5 ,
and
I I I : α = 0.15 , c = 1.5 , k = 0.8 .
b.
For different sample sizes n = 30 ,   60 ,   100 ,   200 ,   500 random samples from the Xg-BXII distribution are generated.
c.
The simulation study is performed using the number of replications N R = 1000 using Mathematica 11 [31].
d.
Table 4, Table 5 and Table 6 display The ML averages, estimated risks (ER), relative errors (RE), relative absolute biases (RAB), the variances and the ACI bounds of the parameters with their lengths, where the ER and the RE are computed as follows:
E R ψ ^ = i = 1 N P ψ ^ i ψ 2 N R ,
R E ψ ^ = E R ψ ^ ψ ,
and
R A B ψ ^ = b i a s ψ ^ ψ ,  
where
b i a s ψ ^ = ψ ^ i ψ .
e.
Table 7, Table 8 and Table 9 present the ML averages, ERs, REs, RABs variances of the rf, hrf and rhrf along with their ACI bounds and the lengths of the ACIs at time x 0 = 0.5 .
f.
  • Concluding remarks:
  • Based on the simulation tables and figures, one can conclude that:
  • The ML averages of the estimates for the parameters of the Xg-BXII distribution are stabilized as the sample size n increases.
  • The ERs and REs of the ML estimates of the parameters ψ ¯ = α , c , k , rf, hrf and rhrf decrease, as the sample size increases.
  • In most cases, the RABs of the ML estimates of the parameters ψ ¯ = α , c , k , rf, hrf and rhrf decrease as the sample size increases.
  • As the sample size increases, the variances of the parameters, rf, hrf and rhrf decrease.
  • The lengths of the 95% ACIs of the parameters, rf, hrf and rhrf decrease as the sample size increases.

5. Applications

In this section the applicability of the Xg-BXII distribution is conferred. Three applications are used to demonstrate the superiority of the Xg-BXII distribution over some existing distributions namely, LogL-W, L-W, AW, two-parameter Xg (TXg), Xg and BXII distributions.
The ML estimates of the parameters and their standard errors (SE), Kolmogorov–Smirnov (K-S) statistic and its corresponding p-value, the 2 log likelihood statistic 2 L , Akaike information criterion (AIC), Bayesian information criterion (BIC) and corrected Akaike information criterion (CAIC), are used to compare the fit of the competitor distributions, where
A I C = 2 m 2 L ,
B I C = m ln n 2 L ,
and
C A I C = A I C + 2 m m + 1 n m 1 ,    
where L is the natural logarithm of the value of the likelihood function evaluated at the ML estimates, n is the number of the observations and m is the number of the estimated parameters.
The best distribution corresponds to the lowest values of AIC, BIC and CAIC, also the highest p-values.
  • Application 1:
This application is given by [3] and represents the time to failure data of 18 electronic devices. The data are tabulated in Table 10 and a summary of measures for these data is given in Table 11.
Figure 10 presents the empirical scaled TTT-transform plot, boxplot and the histogram of Wang’s data. From the empirical scaled TTT-transform plot the data have a bathtub hrf and from the boxplot and the histogram one can say that the data have a right-skewed pdf. Moreover, Figure 11 exhibits the fitted pdf, cdf and hrf plots of the Xg-BXII distribution and P-P plot of Wang’s data. It is obvious that the fitted pdf of the Xg-BXII distribution has a decreasing-unimodal and right-skewed shape and the fitted hrf is a bathtub shape. From the empirical and theoretical cdf plot and the P-P plot one can conclude that the proposed distribution fits Wang’s data very well.
Table 12 displays the ML estimates of the parameters along with their SEs, K-S statistic and its corresponding p-value, AIC, BIC and CAIC of Wang’s data for the competitor distributions. The results of this table show that the Xg-BXII distribution has the lowest K -S statistic and its corresponding p-value is the highest one. This indicates that the proposed distribution provides the best fit for Wang’s data in comparison to the other competitors. Furthermore, the Xg-BXII distribution has the lowest values of AIC, BIS, and CAIC compared to the other competitor distributions.
In Figure 12, the histogram of Wang’s data and the fitted pdfs and empirical cdf versus the fitted cdfs of the competitor models are presented. In addition, P-P plots of the competitor models are given in Figure 13. From these figures, it can be concluded that the Xg-BXII distribution provides the best fit for these data.
The estimated asymptotic variance–covariance matrix of the ML estimates for the Xg-BXII distribution for Wang’s data is as follows:
I ~ 1 ψ ¯ ψ ^ ¯ 5.6861 × 10 6 8.2406 × 10 5 1.6949 × 10 5 8.2406 × 10 5 5.2757 × 10 1 2.8599 × 10 2 1.6949 × 10 6 2.8599 × 10 2 2.6101 × 10 3 ,
Therefore, the 95% ACI bounds of ψ ¯ = α , c , k are, respectively:
0.0134 ± 1.96 5.6861 e 6 ,           0.9894 ± 1.96 5.2757 e 1 ,
and
0.0565 ± 196 2.6101 e 3 .
  • Application 2:
This application is given by [32] and represents the time to failure data of 30 devices. The data are tabulated in Table 13 and a summary of measures for these data is obtained in Table 14.
The empirical scaled TTT-transform plot, boxplot and the histogram of Meeker and Escober’s data are presented in Figure 14. The empirical scaled TTT-transform plot indicates that the data have a bathtub hrf. Furthermore, Figure 15 displays the fitted pdf, cdf and hrf plots of the Xg-BXII distribution and P-P plot of Meeker and Escober’s data. This figure shows that the fitted pdf of the Xg-BXII distribution has a decreasing-unimodal shape and the fitted hrf is a bathtub shape. The empirical and theoretical cdf plot and the P-P plot indicate that the proposed distribution fits Meeker and Escober’s data well.
ML estimates of the parameters along with their SEs, K-S statistic and its corresponding p-value, AIC, BIC and CAIC of Meeker and Escober’s data for the competitor distributions are tabulated in Table 15. From this, it is obvious that the Xg-BXII distribution has the lowest K-S statistic and the highest p-value compared to the other competitors. Moreover, the Xg-BXII distribution has the lowest values of AIC, BIS, and CAIC in comparison with the competitor distributions. The results of Table 15 are confirmed by a visual comparison of the histogram of Meeker and Escober’s data and the fitted pdfs and empirical cdf versus the fitted cdfs and the P-P plot of the competitor models are presented in Figure 16 and Figure 17. From these figures, it can be concluded that the Xg-BXII distribution provides a better fit for these data compared to the other considered distributions.
The estimated asymptotic variance–covariance matrix of the ML estimates for the Xg-BXII distribution for Meeker and Escober’s data is as follows:
I ~ 1 ψ ¯ ψ ^ ¯ 5.3082 × 10 5 0.0003 0.0001 3.1560 × 10 4 0.1122 0.0128 5.8770 × 10 5 0.0128 0.0038 ,
Therefore, the 95% ACI bounds of ψ ¯ = α , c , k are, respectively:
0.0506 ± 1.96 5.3082 × 10 5 ,           0.7605 ± 1.96 0.1122 ,
and
0.1183 ± 196 0.0038 .
  • Application 3:
This application represents the lifetime of 20 electronic components given by [33]. The data are tabulated in Table 16, while Table 17 presents a summary of measures for these data.
In Figure 18 the empirical scaled TTT-transform plot, boxplot and the histogram of Murthy’s data are given. The empirical scaled TTT-transform plot implies that the data have a bathtub hrf and from the boxplot and the histogram it is observed that the data have a right-skewed pdf. In addition, Figure 19 exhibits the fitted pdf, cdf and hrf plots of the Xg-BXII distribution and P–P plot of Murthy’s data. From which the fitted pdf of the Xg-BXII distribution has a decreasing-unimodal shape and the fitted hrf is a bathtub shape. The empirical and theoretical cdf plot and the P-P plot indicate that the Xg-BXII distribution fits well Murthy’s data.
Table 18 presents the ML estimates of the parameters along with their SEs, K-S statistic and its corresponding p-value, AIC, BIC and CAIC of Murthy’s data for the competitor distributions. From Table 18, the Xg-BXII distribution has the lowest K-S statistic and the highest p-value compared to the other competitors. In addition, the Xg-BXII distribution has the lowest values of AIC, BIS, and CAIC in comparison with the competitor distributions. A graphical comparison of the Xg-BXII distribution and the other competitor distributions is presented in Figure 20 and Figure 21. Figure 20 displays the histogram of Murthy’s data and the fitted pdfs and empirical cdf versus the fitted cdfs and the P-P plot of the competitor models is shown in Figure 21. From these figures, it can be concluded that the Xg-BXII distribution presents a very good fit for these data compared to the other considered distributions.
The estimated asymptotic variance–covariance matrix of the ML estimates for the Xg-BXII distribution for Murthy’s data is as follows:
I ~ 1 ψ ¯ ψ ^ ¯ 0.2356 0.0051 0.2596 0.0051 0.1463 0.0396 0.2596 0.0396 0.3247 .
Therefore, the 95% ACI bounds of ψ ¯ = α , c , k are, respectively:
1.6585 ± 1.96 0.2356 ,           1.4737 ± 1.96 0.1463 ,
and
0.7792 ± 196 0.3247 .
  • Application 4:
This application is from [34]. The application represents COVID-19 data belonging to the United Kingdom of 76 days, from 15 April to 30 June 2020. The data are formed of drought mortality rates. The data are tabulated in Table 19 and Table 20 presents a summary of measures for these data.
Figure 22 exhibits the empirical scaled TTT-transform plot, boxplot and the histogram of COVID-19 data in the United Kingdom. The empirical scaled TTT-transform plot indicates that the data have a modified bathtub hrf and from the boxplot and the histogram it is shown that the data have a right-skewed pdf.
Moreover, Figure 23 displays the fitted pdf, cdf and hrf plots of the Xg-BXII distribution and P–P plot of COVID-19 data in the United Kingdom. It is obvious that the fitted pdf of the Xg-BXII distribution has a unimodal shape and the fitted hrf is a modified bathtub shape. The empirical and theoretical cdf plot and the P-P plot indicate that the Xg-BXII distribution fits the given data very well.
Table 21 exhibits the ML estimates of the parameters along with their SEs, K-S statistic and its corresponding p-value, AIC, BIC and CAIC of COVID-19 data in the United Kingdom for the competitor distributions. From Table 21, the Xg-BXII distribution has the lowest K-S statistic and the highest p-value compared to the other competitors. In addition, the Xg-BXII distribution has the lowest values of AIC, BIS, and CAIC in comparison with the competitor distributions. A graphical comparison of the Xg-BXII distribution and the other competitor distributions is presented in Figure 24 and Figure 25. Figure 24 displays the histogram of the United Kingdom’s data and the fitted pdfs and empirical cdf versus the fitted cdfs, and the P-P plot of the competitor models is shown in Figure 25. From these figures, it can be concluded that the Xg-BXII distribution provides a better fit for these data compared to the other considered distributions.
The estimated asymptotic variance–covariance matrix of the ML estimates for the Xg-BXII distribution for the United Kingdom’s data is as follows:
I ~ 1 ψ ¯ ψ ^ ¯ 0.0109 0.0045 0.0095 0.0045 0.0284 0.0029 0.0095 0.0029 0.0211
Therefore, the 95% ACI bounds of ψ ¯ = α , c , k are, respectively:
1.6585 ± 1.96 0.2356 ,           1.4737 ± 1.96 0.1463 ,
and
0.7792 ± 196 0.3247 .

6. Conclusions

In this paper, a new three-parameter competing risks model, called Xg-BXII distribution, is introduced by combining Xg and BXII distributions in a series system with two components functioning independently. The pdf of the proposed model displays unimodal and decreasing-unimodal shapes, whereas the hrf exhibits important shapes: bathtub and modified bathtub shapes. These shapes increase the applicability of the proposed distribution for lifetime data modeling. Moreover, the proposed distribution has some new additive models as special cases these models have not been introduced in the statistical literature. In addition, it has some well-known models as special cases. Several statistical properties of the proposed model are derived. The ML estimators of the parameters, rf, hrf and rhrf are presented. Moreover, The ACIs of the parameters, rf, hrf and rhrf are obtained. The performance the ML estimates is evaluated through a simulation study. Furthermore, four applications are used to demonstrate the applicability of Xg-BXII distribution over some existing distributions. Xg-BXII distribution provides the best fitting compared with the used competitor distributions.

Author Contributions

Conceptualization, H.H.M. and F.S.A.; methodology, H.H.M., F.S.A., H.N.S. and A.A.E.-H.; software, A.A.E.-H. and H.N.S.; validation, H.N.S. and A.A.E.-H.; formal analysis, H.N.S. and A.A.E.-H.; investigation, H.H.M., F.S.A., H.N.S. and A.A.E.-H.; resources, H.H.M.; data curation, A.A.E.-H. and H.N.S.; writing—original draft preparation, H.H.M. and F.S.A.; writing—review and editing, A.A.E.-H. and H.N.S.; visualization, H.H.M., F.S.A., H.N.S. and A.A.E.-H.; supervision, A.A.E.-H.; project administration, H.H.M. and F.S.A.; funding acquisition, H.H.M. All authors have read and agreed to the published version of the manuscript.

Funding

This research project was funded by the Deanship of Scientific Research, Princess Nourah bint Abdulrahman University, through the Program of Research Project Funding After Publication, grant No (44-PRFA-P-142), Princess Nourah bint Abdulrahman University, Riyadh, Saudi Arabia.

Data Availability Statement

All data generated or analyzed through the paper are associated with its references and sources.

Acknowledgments

The authors acknowledge the Deanship of Scientific Research, Princess Nourah bint Abdulrahman University, through the Program of Research Project Funding After Publication, grant No (44- PRFA-P- 142), Princess Nourah bint Abdulrahman University, Riyadh, Saudi Arabia.

Conflicts of Interest

The authors state no conflicts of interest.

Appendix A

I.
The mode
The mode of the Xg-BXII distribution can be obtained by differentiating the pdf in 6 with respect to x and equating to zero as follows:
f ´ x 0 ; ψ ¯ = 0 .
Since
f x ; ψ ¯ = h x ; ψ ¯ R x ; ψ ¯ = h x ; ψ ¯ e H x ; ψ ¯ ,
where H x ; ψ ¯ is the chrf defined in 8 , then,
f ´ x ; ψ ¯ = h x ; ψ ¯ x H x ; ψ ¯ R x ; ψ ¯ + x h x ; ψ ¯ R x ; ψ ¯ ,
where
x H x ; ψ ¯ = h x ; ψ ¯ ,
and
x h x ; ψ ¯ = h ´ x ; ψ ¯ .
Hence, ( A 1 ) can be written as:
f ´ x ; ψ ¯ = h ´ x ; ψ ¯ h 2 x ; ψ ¯ R x ; ψ ¯ ,
where
h ´ x ; ψ ¯ = α 3 1 + α + α x + α 2 x 2 2 x 1 + α x 1 + α x 2 2 1 + α + α x + α 2 x 2 2 + c k x c 2 1 + x c c 1 c x c 1 + x c ,
h 2 x ; ψ ¯ = α 2 1 + α x 2 2 1 + α + α x + α 2 x 2 2 + c k x c 1 1 + x c 2 .
Therefore, equating A 2 to zero, one can obtain the following nonlinear equation
α 3 1 + α + α x 0 + α 2 x 0 2 2 x 1 + α x 0 1 + α x 0 2 2 1 + α + α x 0 + α 2 x 0 2 2 + c k x 0 c 2 1 + x 0 c c 1 c x 0 c 1 + x 0 c            α 2 1 + α x 0 2 2 1 + α + α x 0 + α 2 x 0 2 2 + c k x 0 c 1 1 + x 0 c 2 1 + α + α x 0 + α 2 x 0 2 2 1 + α 1 + x 0 c k e α x 0 = 0 .
Equation ( A 3 ) is a nonlinear equation, which can be solved numerically to obtain the mode of the Xg-BXII distribution.
II.
The r t h e non-central moment
Since the r t h e non-central moment, μ ´ r , is defined as:
μ ´ r = 0 x r f x ; ψ ¯ d x = 0 x r d R x ; ψ ¯ .
Using integration by parts, μ ´ r can be defined by:
μ ´ r = 0 r x r 1 R x ; ψ ¯ d x = 0 r x r 1 1 + α + α x + α 2 x 2 2 1 + α 1 + x c k e α x d x .
Since the power series expansion of e α x is as follows:
e α = i = 0 1 i α i i ! x i ,
then
μ ´ r = i = 0 1 i α i r i ! 0 x r + i 1 1 + x c k d x + α 1 + α 0 x r + i 1 + x c k d x + α 2 2 1 + α 0 x r + i + 1 1 + x c k d x ,
Using integration by substitution, we obtain
μ ´ r = r c i = 0 1 i α i i ! Β r + i c , k r + i c + α 1 + α Β r + i + 1 c , k r + i + 1 c     + α 2 2 1 + α Β r + i + 2 c , k r + i + 2 c , r = 1,2 , . . . ,
where
0 < r + i + j c < k , j = 0 , 1 , 2 .

References

  1. Lai, C.D. Constructions and applications of lifetime distributions. Appl. Stoch. Models Bus. Ind. 2013, 29, 127–129. [Google Scholar] [CrossRef]
  2. Xie, M.; Lai, C.D. Reliability analysis using an additive Weibull model with bathtub-shaped failure rate function. Reliab. Eng. Syst. Saf. 1995, 52, 87–93. [Google Scholar] [CrossRef]
  3. Wang, F.K. A new model with bathtub-shaped failure rate using an additive Burr XII distribution. Reliab. Eng. Syst. Saf. 2000, 70, 305–312. [Google Scholar] [CrossRef]
  4. Almalki, S.J.; Yuan, J. A new modified Weibull distribution. Reliab. Eng. Syst. Saf. 2013, 111, 164–170. [Google Scholar] [CrossRef]
  5. Cordeiro, G.M.; Ortega, E.M.; Lemonte, A. The exponential-Weibull distribution. J. Stat. Comput. Simul. 2013, 84, 2592–2606. [Google Scholar] [CrossRef]
  6. He, B.; Cui, W.; Du, X. An additive modified Weibull distribution. Reliab. Eng. Syst. Saf. 2016, 145, 28–37. [Google Scholar] [CrossRef]
  7. Oluyede, B.O.; Foya, S.; Warahena-Liyanage, G.; Huang, S. The log-logistic Weibull distribution with applications to lifetime data. Austrian J. Stat. 2016, 45, 43–69. [Google Scholar] [CrossRef]
  8. Singh, B. An additive Perks-Weibull model with bathtub-shaped hazard rate function. Commun. Math. Stat. 2016, 4, 473–493. [Google Scholar] [CrossRef]
  9. Mdlongwa, P.; Oluyede, B.O.; Amey, A.; Huang, S. The Burr XII modified Weibull distribution: Model, Properties and Applications. Electron. J. Appl. Stat. Anal. 2017, 10, 118–145. [Google Scholar]
  10. Tarvirdizade, B.; Ahmadpour, M. A new extension of Chen distribution with applications to lifetime data. Commun. Math. Stat. 2019, 9, 23–38. [Google Scholar] [CrossRef]
  11. Shakhatreh, M.K.; Lemonte, A.J.; Moreno-Arenas, G. The log-normal modified Weibull distribution and its reliability implications. Reliab. Eng. Syst. Saf. 2019, 188, 6–22. [Google Scholar] [CrossRef]
  12. Osagie, S.A.; Osemwenkhae, J.E. Lomax-Weibull distribution with properties and applications in lifetime analysis. Int. J. Math. Anal. Optim. Theory Appl. 2020, 2020, 718–732. [Google Scholar]
  13. Kamal, R.M.; Ismail, M.A. The flexible Weibull extension-Burr XII distribution: Model, properties and applications. Pak. J. Stat. Oper. Res. 2020, 16, 447–460. [Google Scholar] [CrossRef]
  14. Thach, T.T.; Bris, R. An additive Chen-Weibull distribution and its applications in reliability modeling. Qual. Reliab. Eng. Int. 2021, 37, 352–373. [Google Scholar] [CrossRef]
  15. Khalil, A.; Ijaz, M.; Ali, K.; Mashwani, W.K.; Shafiq, M.; Humam, P.; Kumam, W. A novel flexible additive Weibull distribution with real-life applications. Commun. Stat.—Theory Methods 2021, 50, 1557–1572. [Google Scholar] [CrossRef]
  16. Makubate, B.; Oluyede, B.; Gabanakgosi, M. A new Lindley-Burr XII distribution: Model, Properties and Applications. Int. J. Stat. Probab. 2021, 10, 33–51. [Google Scholar] [CrossRef]
  17. Abba, B.; Wang, H.; Bakouch, H.S. A reliability and survival model for one and two failure modes system with applications to complete and censored datasets. Reliab. Eng. Syst. Saf. 2022, 223, 1–17. [Google Scholar] [CrossRef]
  18. Xavier, T.; Jose, J.K.; Nadarajah, S. An additive power-transformed half-logistic model and its applications in reliability. Qual. Reliab. Eng. Int. 2022, 38, 3179–3196. [Google Scholar] [CrossRef]
  19. Thach, T.T. A three-component additive Weibull distribution and its reliability applications. Symmetry 2022, 14, 1455. [Google Scholar] [CrossRef]
  20. Salem, H.N.; AL-Dayian, G.R.; EL-Helbawy, A.A.; Abd EL-Kader, R.E. The additive flexible Weibull extension-Lomax distribution: Properties and estimation with applications to COVID-19 data. Acad. Period. Ref. J. AL-Azhar Univ. 2022, 28, 191–234. [Google Scholar] [CrossRef]
  21. Méndez-González, L.C.; Rodríguez-Picón, L.A.; Pérez Olguín, I.J.C.; García, V.; Luviano-Cruz, D. The additive Perks distribution and its applications in reliability analysis. Qual. Technol. Quant. Manag. 2022, 20, 784–808. [Google Scholar] [CrossRef]
  22. Méndez-González, L.C.; Rodríguez-Picón, L.A.; Pérez-Olguín, I.J.C.; Vidal Portilla, L.R. An additive Chen distribution with applications to lifetime data. Axioms 2023, 12, 118. [Google Scholar] [CrossRef]
  23. Méndez-González, L.C.; Rodríguez-Picón, L.A.; Rodríguez Borbón, M.I.; Sohn, H. The Chen–Perks distribution: Properties and Reliability Applications. Mathematics 2023, 11, 3001. [Google Scholar] [CrossRef]
  24. Sen, S.; Maiti, S.S.; Chandra, N. The xgamma distribution: Statistical properties and application. J. Mod. Appl. Stat. Methods 2016, 15, 774–788. [Google Scholar] [CrossRef]
  25. Sen, S.; Chandra, N. The quasi xgamma distribution with application in bladder cancer data. Data Sci. J. 2017, 15, 61–76. [Google Scholar] [CrossRef]
  26. Sen, S.; Chandra, N.; Maiti, S.S. The weighted xgamma distribution: Properties and application. J. Reliab. Stat. Stud. 2017, 10, 43–58. [Google Scholar]
  27. Sen, S.; Chandra, N.; Maiti, S.S. On properties and applications of a two-parameter XGamma distribution. J. Stat. Theory Appl. 2018, 17, 674–685. [Google Scholar] [CrossRef]
  28. Sen, S.; Korkmaz, M.Ç.; Yousof, H.M. The quasi xgamma- Poisson distribution: Properties and application. J. Turk. Stat. Assoc. 2018, 11, 65–76. [Google Scholar]
  29. Burr, I.W. Cumulative frequency functions. Ann. Math. Stat. 1942, 13, 215–232. [Google Scholar] [CrossRef]
  30. Eliwa, M.S.; El-Morshedy, M.; Ali, S. Exponentiated odd Chen-G family of distributions: Statistical properties, Bayesian and non-Bayesian estimation with applications. J. Appl. Stat. 2021, 48, 1948–1974. [Google Scholar] [CrossRef]
  31. Wolfram Research, Inc. Mathematica, Version 11.0; Wolfram Research, Inc.: Champaign, IL, USA, 2016. [Google Scholar]
  32. Meeker, W.Q.; Escobar, L.A. Statistical Methods for Reliability Data; Wiley: New York, NY, USA, 1998. [Google Scholar]
  33. Murthy, D.N.P.; Xie, M.; Jiang, R. Weibull Models; John Wiley and Sons: Hoboken, NJ, USA, 1998. [Google Scholar]
  34. Mubarak, A.E.; Almetwally, E.M. A new extension exponential distribution with applications of COVID-19 data. J. Financ. Bus. Res. 2021, 22, 444–460. [Google Scholar]
Figure 1. Plots of the Xg-BXII distribution pdf.
Figure 1. Plots of the Xg-BXII distribution pdf.
Symmetry 16 00659 g001
Figure 2. Plots of the Xg-BXII distribution hrf.
Figure 2. Plots of the Xg-BXII distribution hrf.
Symmetry 16 00659 g002
Figure 3. Plots of the Xg-BXII distribution rhrf.
Figure 3. Plots of the Xg-BXII distribution rhrf.
Symmetry 16 00659 g003
Figure 4. Plots of the ML averages, estimated risks, relative errors, relative absolute biases, variances and the ACI lengths of the parameters, for α = 2 , c = 0.5 , k = 0.3 versus n .
Figure 4. Plots of the ML averages, estimated risks, relative errors, relative absolute biases, variances and the ACI lengths of the parameters, for α = 2 , c = 0.5 , k = 0.3 versus n .
Symmetry 16 00659 g004
Figure 5. Plots of the ML averages, estimated risks, relative errors, relative absolute biases, variances and the ACI lengths of the parameters, for α = 0.5 , c = 3 , k = 1.5 versus n.
Figure 5. Plots of the ML averages, estimated risks, relative errors, relative absolute biases, variances and the ACI lengths of the parameters, for α = 0.5 , c = 3 , k = 1.5 versus n.
Symmetry 16 00659 g005
Figure 6. Plots of the ML averages, estimated risks, relative errors, relative absolute biases, variances and the ACI lengths of the parameters, for α = 0.15 , c = 1.5 , k = 0.8 versus n.
Figure 6. Plots of the ML averages, estimated risks, relative errors, relative absolute biases, variances and the ACI lengths of the parameters, for α = 0.15 , c = 1.5 , k = 0.8 versus n.
Symmetry 16 00659 g006
Figure 7. Plots of the ML averages, estimated risks, relative errors, relative absolute biases, variances and the ACI lengths of the rf, hrf and rhrf, for α = 2 , c = 0.5 , k = 0.3 versus n.
Figure 7. Plots of the ML averages, estimated risks, relative errors, relative absolute biases, variances and the ACI lengths of the rf, hrf and rhrf, for α = 2 , c = 0.5 , k = 0.3 versus n.
Symmetry 16 00659 g007
Figure 8. Plots of the ML averages, estimated risks, relative errors, relative absolute biases, variances and the ACI lengths of the rf, hrf and rhrf, for α = 0.5 , c = 3 , k = 1.5 versus n.
Figure 8. Plots of the ML averages, estimated risks, relative errors, relative absolute biases, variances and the ACI lengths of the rf, hrf and rhrf, for α = 0.5 , c = 3 , k = 1.5 versus n.
Symmetry 16 00659 g008
Figure 9. Plots of the ML averages, estimated risks, relative errors, relative absolute biases, variances and the ACI lengths of the rf, hrf and rhrf for   α = 0.15 , c = 1.5 , k = 0.8 versus n.
Figure 9. Plots of the ML averages, estimated risks, relative errors, relative absolute biases, variances and the ACI lengths of the rf, hrf and rhrf for   α = 0.15 , c = 1.5 , k = 0.8 versus n.
Symmetry 16 00659 g009
Figure 10. The empirical scaled TTT-transform, boxplot and histogram of Wang’s data.
Figure 10. The empirical scaled TTT-transform, boxplot and histogram of Wang’s data.
Symmetry 16 00659 g010
Figure 11. Empirical and theoretical density and cdf plots, fitted hrf and P-P plot of Wang’s data.
Figure 11. Empirical and theoretical density and cdf plots, fitted hrf and P-P plot of Wang’s data.
Symmetry 16 00659 g011
Figure 12. Histogram of Wang’s data and the fitted pdfs and empirical cdf versus the fitted cdfs of the competitor models.
Figure 12. Histogram of Wang’s data and the fitted pdfs and empirical cdf versus the fitted cdfs of the competitor models.
Symmetry 16 00659 g012
Figure 13. P-P plot of the competitor models for Wang’s data.
Figure 13. P-P plot of the competitor models for Wang’s data.
Symmetry 16 00659 g013
Figure 14. The empirical scaled TTT-transform, boxplot and histogram of Meeker and Escober’s data.
Figure 14. The empirical scaled TTT-transform, boxplot and histogram of Meeker and Escober’s data.
Symmetry 16 00659 g014
Figure 15. Empirical and theoretical density and cdf plots, fitted hrf and P-P plot of Meeker and Escober’s data.
Figure 15. Empirical and theoretical density and cdf plots, fitted hrf and P-P plot of Meeker and Escober’s data.
Symmetry 16 00659 g015
Figure 16. Histogram of Meeker and Escober’s data and the fitted pdfs and Empirical cdf versus the fitted cdfs of the competitor models.
Figure 16. Histogram of Meeker and Escober’s data and the fitted pdfs and Empirical cdf versus the fitted cdfs of the competitor models.
Symmetry 16 00659 g016
Figure 17. P-P plot of the competitor models for Meeker and Escober’s data.
Figure 17. P-P plot of the competitor models for Meeker and Escober’s data.
Symmetry 16 00659 g017
Figure 18. The empirical scaled TTT-transform, boxplot and histogram of Murthy’s data.
Figure 18. The empirical scaled TTT-transform, boxplot and histogram of Murthy’s data.
Symmetry 16 00659 g018
Figure 19. Empirical and theoretical density and cdf plots, fitted hrf and P-P plot of Murthy’s data.
Figure 19. Empirical and theoretical density and cdf plots, fitted hrf and P-P plot of Murthy’s data.
Symmetry 16 00659 g019
Figure 20. Histogram of Murthy’s data and the fitted pdfs and empirical cdf versus the fitted cdfs of the competitor models.
Figure 20. Histogram of Murthy’s data and the fitted pdfs and empirical cdf versus the fitted cdfs of the competitor models.
Symmetry 16 00659 g020
Figure 21. P-P plot of the competitor models for Murthy’s data.
Figure 21. P-P plot of the competitor models for Murthy’s data.
Symmetry 16 00659 g021
Figure 22. The empirical scaled TTT-transform, boxplot and histogram of the United Kingdom’s data.
Figure 22. The empirical scaled TTT-transform, boxplot and histogram of the United Kingdom’s data.
Symmetry 16 00659 g022
Figure 23. Empirical and theoretical density and cdf plots, fitted hrf and P-P plot of the United Kingdom’s data.
Figure 23. Empirical and theoretical density and cdf plots, fitted hrf and P-P plot of the United Kingdom’s data.
Symmetry 16 00659 g023
Figure 24. Histogram of the United Kingdom’s data and the fitted pdfs and empirical cdf versus the fitted cdfs of the competitor models.
Figure 24. Histogram of the United Kingdom’s data and the fitted pdfs and empirical cdf versus the fitted cdfs of the competitor models.
Symmetry 16 00659 g024
Figure 25. P-P plot of the United Kingdom’s data.
Figure 25. P-P plot of the United Kingdom’s data.
Symmetry 16 00659 g025
Table 1. Some quartiles and the mode of the Xg-BXII distribution for different parameters values.
Table 1. Some quartiles and the mode of the Xg-BXII distribution for different parameters values.
αckx0.25xmx0.75Mode
2.6560.16100.38070.58990.5563
20.50.50.11150.37480.9107-
0.531.50.52750.77561.08000.6789
0.25350.38100.52290.67750.4955
0.1550.80.83461.05711.34980.9533
0.05420.62630.80160.99940.7595
Table 2. Moments of the Xg-BXII distribution for different parameters values.
Table 2. Moments of the Xg-BXII distribution for different parameters values.
αckμ μ ´ 2 μ ´ 3 μ ´ 4 μ2CVCSCK
2.6560.38780.21350.13520.09290.06300.64740.21932.0180
20.50.50.63300.91871.95205.30990.51811.13711.91657.8042
0.531.50.85290.97171.46163.03610.24440.57961.788811.7837
0.25350.53910.34050.24300.19260.04990.41420.51313.5599
0.1550.81.15851.64433.183510.88320.30220.47453.482243.457
0.05420.83210.78410.83130.99740.09170.36390.94585.9130
Table 3. Sub-models of the Xg-BXII distribution.
Table 3. Sub-models of the Xg-BXII distribution.
ParameterThe Resulting DistributionPdf
c = 1Xg-compound exponential distribution f x ; α , k = α 2 1 + α x 2 2 + k ( 1 + x ) 1 + x k e α x 1 + α ,       x , α , k > 0 .
c = 2Xg-compound Rayleigh distribution f x ; α , k = α 2 1 + α x 2 2 + 2 x k ( 1 + x 2 ) 1 + x 2 k e α x 1 + α , x , α , k > 0 .
k = 1Xg-log logistic f x ; α ,   c = α 2 1 + α x 2 2 + c x c 1 ( 1 + x c ) e α x 1 + x c 1 + α , x ,   α ,   c > 0 .
α 0 BXII distribution f x ; c , k = c k x c 1 1 + x c k + 1 ,            x > 0 ;   c , k > 0 .
α 0
and
c = 1
Lomax distribution f x ; k = k 1 + x k + 1 ,              x > 0 ;   k > 0 .
α 0
and
c = 2
Compound Rayleigh distribution f x ; k = 2 k x 1 + x 2 k + 1 ,              x > 0 ;   k > 0 .
α 0
and k = 1
Log logistic distribution f x ; c = c x c 1 1 + x c 2 ,               x > 0 ;   c > 0 .
k 0 + Xgamma distribution f x ; α = α 2 1 + α 1 + α x 2 2 e α x ,           x , α > 0 .
Table 4. ML averages, estimated risks, relative errors, Relative absolute biases, variances and 95% ACI bounds and their lengths of the parameters of the Xg-BXII distribution for different n , N R = 1000 and ( α = 2 , c = 0.5 , k = 0.3 ) .
Table 4. ML averages, estimated risks, relative errors, Relative absolute biases, variances and 95% ACI bounds and their lengths of the parameters of the Xg-BXII distribution for different n , N R = 1000 and ( α = 2 , c = 0.5 , k = 0.3 ) .
n ψ ¯ AverageERRERABVarianceULLLLength
30 α 1.95020.10220.15990.02490.09982.56921.33111.2381
c 0.60090.05560.47170.20170.04551.01860.18300.8358
k 0.37360.05570.78650.24530.05030.813000.8130
60 α 1.94420.07600.13780.02790.07282.47321.41521.0579
c 0.57700.04130.40650.15410.03540.94560.20840.7372
k 0.38060.05130.75520.26870.04480.795600.7956
100 α 1.94430.04770.10920.02790.04462.35821.53040.8278
c 0.55180.03470.37240.10360.03200.90230.20130.7011
k 0.37420.04520.70900.24720.03970.764900.7649
200 α 1.94180.03560.09430.02910.03222.29361.59000.7036
c 0.53950.02650.32530.07890.02490.84880.23020.6186
k 0.36370.03550.62760.21240.03140.71100.01640.6946
500 α 1.96790.01760.06640.01600.01662.22041.71550.5049
c 0.51630.01360.23310.03260.01330.74250.29010.4524
k 0.33730.01990.46990.12440.01850.60380.07090.5329
Table 5. ML averages, estimated risks, relative errors, relative absolute biases, variances and 95% ACI bounds and their lengths of the parameters of the Xg-BXII distribution for different n , N R = 1000 and ( α = 0.5 , c = 3 , k = 1.5 ) .
Table 5. ML averages, estimated risks, relative errors, relative absolute biases, variances and 95% ACI bounds and their lengths of the parameters of the Xg-BXII distribution for different n , N R = 1000 and ( α = 0.5 , c = 3 , k = 1.5 ) .
n ψ ¯ AverageERRERABVarianceULLLLength
30 α 0.51100.11660.68300.02190.11651.179901.1799
c 3.16660.28070.17660.05550.25304.15242.18081.9716
k 1.45440.09550.20600.03040.09342.05340.85541.1981
60 α 0.49260.08810.59350.01480.08801.074001.0740
c 3.15510.23160.16040.05170.20754.04802.26221.7858
k 1.47800.07200.17890.01470.07152.00220.95381.0483
100 α 0.47540.05830.48280.04910.05770.94610.00470.9414
c 3.07000.13300.12160.02330.12813.77152.36841.4032
k 1.50320.05360.15430.00210.05361.95681.04950.9073
200 α 0.47570.02770.33280.04850.02710.79840.15310.6453
c 3.01940.07430.09090.00650.07403.55242.48641.0660
k 1.50750.03260.12030.00500.03251.86091.15410.7069
500 α 0.47860.01070.20730.04280.01030.67730.27990.3975
c 2.99670.03240.06000.00110.03243.34972.64380.7058
k 1.51140.01190.07290.00760.01181.72441.29840.4260
Table 6. ML averages, estimated risks, relative errors, relative absolute biases, variances and 95% ACI bounds and their lengths of the parameters of the Xg-BXII distribution for different n , N R = 1000 and α = 0.15 , c = 1.5 , k = 0.8 .
Table 6. ML averages, estimated risks, relative errors, relative absolute biases, variances and 95% ACI bounds and their lengths of the parameters of the Xg-BXII distribution for different n , N R = 1000 and α = 0.15 , c = 1.5 , k = 0.8 .
n ψ ¯ AverageERRERABVarianceULLLLength
30 α 0.15740.01200.72880.04950.01190.371200.3712
c 1.53220.05390.15480.02150.05291.98291.08150.9014
k 0.80330.02680.20480.00410.02681.12430.48220.6421
60 α 0.16240.01100.70030.08270.01090.366900.3669
c 1.50950.03320.12140.00630.03311.86591.15310.7128
k 0.78390.01770.16620.02020.01741.04260.52520.5174
100 α 0.16670.00890.62720.11160.00860.348200.3482
c 1.50180.02070.09600.00120.02071.78401.21960.5644
k 0.78340.01200.13660.02080.01170.99510.57160.4235
200 α 0.16740.00540.48760.11610.00510.30660.02820.2785
c 1.50140.01230.07400.00100.01231.71891.28400.4349
k 0.78480.00670.10210.01910.00640.94210.62740.3147
500 α 0.15940.00250.33280.06270.00240.25550.06330.1922
c 1.49800.00480.04620.00140.00481.63391.36210.2718
k 0.79530.00260.06350.00590.00260.89450.69610.1984
Table 7. ML averages, estimated risks, relative errors, relative absolute biases, variances and 95% ACI bounds of the rf, hrf and rhrf of the Xg-BXII distribution for different n , N R = 1000 , α = 2 , c = 0.5 , k = 0.3 and x 0 = 0.5 .
Table 7. ML averages, estimated risks, relative errors, relative absolute biases, variances and 95% ACI bounds of the rf, hrf and rhrf of the Xg-BXII distribution for different n , N R = 1000 , α = 2 , c = 0.5 , k = 0.3 and x 0 = 0.5 .
n FunctionAverageERRERABVarianceULLLLength
30 R x 0 ; ψ ¯ 0.46640.00270.10920.00780.00250.56720.36550.2017
h x 0 ; ψ ¯ 1.28080.04000.15970.03670.03791.66240.89920.7632
r x 0 ; ψ ¯ 1.11190.01690.18250.01490.01671.36490.85900.5059
60 R x 0 ; ψ ¯ 0.46810.00160.08320.00420.00160.54720.38890.1583
h x 0 ; ψ ¯ 1.25990.02330.12190.01980.02271.55510.96470.5905
r x 0 ; ψ ¯ 1.10420.01060.13930.00790.01051.30500.90350.4015
100 R x 0 ; ψ ¯ 0.46780.00080.07340.00480.00080.52370.41180.1120
h x 0 ; ψ ¯ 1.25060.01300.10630.01240.01271.47161.02960.4420
r x 0 ; ψ ¯ 1.09710.00690.10390.00140.00691.26010.93420.3259
200 R x 0 ; ψ ¯ 0.46960.00060.05260.00100.00060.51690.42230.0946
h x 0 ; ψ ¯ 1.24000.00800.09080.00380.00791.41471.06540.3493
r x 0 ; ψ ¯ 1.09660.00440.08140.00090.00441.22730.96600.2613
500 R x 0 ; ψ ¯ 0.46900.00030.05130.00210.00030.49990.43820.0617
h x 0 ; ψ ¯ 1.23830.00350.07220.00240.00351.35341.12320.2302
r x 0 ; ψ ¯ 1.09340.00200.05370.00200.00201.18111.00570.1754
Table 8. ML averages, estimated risks, relative errors, relative absolute biases, variances and 95% ACI bounds of the rf, hrf and rhrf of Xg-BXII distribution for different n , N R = 1000 , α = 0.5 , c = 3 , k = 1.5 and x 0 = 0.5 .
Table 8. ML averages, estimated risks, relative errors, relative absolute biases, variances and 95% ACI bounds of the rf, hrf and rhrf of Xg-BXII distribution for different n , N R = 1000 , α = 0.5 , c = 3 , k = 1.5 and x 0 = 0.5 .
n FunctionAverageERRERABVarianceULLLLength
30 R x 0 ; ψ ¯ 0.77280.00370.07610.00300.00370.89150.65400.2376
h x 0 ; ψ ¯ 1.10870.04840.18880.03520.04681.53270.68460.8480
r x 0 ; ψ ¯ 3.93650.88670.05560.00580.88625.78162.09143.6902
60 R x 0 ; ψ ¯ 0.77620.00220.07950.00150.00220.86900.68350.1856
h x 0 ; ψ ¯ 1.11480.03230.19540.02990.03111.46050.76910.6913
r x 0 ; ψ ¯ 3.97360.58800.04540.00360.58775.47622.47103.0052
100 R x 0 ; ψ ¯ 0.77460.00140.06110.00060.00140.84820.70110.1471
h x 0 ; ψ ¯ 1.13830.02350.15640.00940.02341.43810.83860.5995
r x 0 ; ψ ¯ 3.97580.38620.03870.00420.38605.19352.75822.4353
200 R x 0 ; ψ ¯ 0.77470.00070.04840.00040.00070.82650.72300.1035
h x 0 ; ψ ¯ 1.14580.01540.13340.00290.01541.38870.90280.4859
r x 0 ; ψ ¯ 3.96390.17420.03130.00120.17414.78183.14601.6358
500 R x 0 ; ψ ¯ 0.77540.00030.03410.00050.00030.81040.74040.0700
h x 0 ; ψ ¯ 1.15060.00690.10790.00130.00691.31370.98760.3261
r x 0 ; ψ ¯ 3.98130.06010.02100.00560.05964.45993.50270.9572
Table 9. ML averages, estimated risks, relative errors, relative absolute biases, variances and 95% ACI bounds of the rf, hrf and rhrf of the Xg-BXII distribution for different n , N R = 1000 , α = 0.15 , c = 1.5 , k = 0.8 and x 0 = 0.5 .
Table 9. ML averages, estimated risks, relative errors, relative absolute biases, variances and 95% ACI bounds of the rf, hrf and rhrf of the Xg-BXII distribution for different n , N R = 1000 , α = 0.15 , c = 1.5 , k = 0.8 and x 0 = 0.5 .
n FunctionAverageERRERABVarianceULLLLength
30 R x 0 ; ψ ¯ 0.77570.00240.05500.00230.00240.87210.67940.1927
h x 0 ; ψ ¯ 0.64930.01260.40970.00580.01260.86890.42970.4392
r x 0 ; ψ ¯ 2.30430.19000.04970.02170.18763.15321.45541.6979
60 R x 0 ; ψ ¯ 0.77790.00160.06220.00050.00160.85660.69910.1576
h x 0 ; ψ ¯ 0.63620.00790.16960.01450.00780.80910.46330.3458
r x 0 ; ψ ¯ 2.26730.11950.03930.00530.11932.94441.59031.3542
100 R x 0 ; ψ ¯ 0.77740.00110.05170.00010.00110.84190.71290.1290
h x 0 ; ψ ¯ 0.63710.00510.13740.01310.00510.77650.49780.2788
r x 0 ; ψ ¯ 2.25140.07540.03180.00180.07542.78971.71321.0765
200 R x 0 ; ψ ¯ 0.77810.00070.04230.00080.00070.82890.72730.1016
h x 0 ; ψ ¯ 0.63810.00300.11090.01160.00290.74410.53210.2120
r x 0 ; ψ ¯ 2.25350.04620.02420.00090.04622.67491.83200.8429
500 R x 0 ; ψ ¯ 0.77680.00030.03330.00090.00030.80810.74550.0626
h x 0 ; ψ ¯ 0.64420.00110.08460.00210.00110.70950.57900.1305
r x 0 ; ψ ¯ 2.24810.01820.01480.00320.01812.51191.98430.5276
Table 10. Failure times of Wang’s data.
Table 10. Failure times of Wang’s data.
Failure Times
5112131467598122145
165196224245293321330350420
Table 11. Summary measures of Wang’s data.
Table 11. Summary measures of Wang’s data.
Min x 0.25 x m x ¯ x 0.75 Max
553.25155172.11281420
Table 12. ML estimates and their relevant SEs, K-S statistics, p-values, AIC, BIC and CAIC of the fitted models of Wang’s data.
Table 12. ML estimates and their relevant SEs, K-S statistics, p-values, AIC, BIC and CAIC of the fitted models of Wang’s data.
Model ψ ¯ MLESEK-Sp-ValueAICBICCAIC
Xg-BXII α 0.01340.00240.09800.9883227.1598229.8309228.8741
c 0.98940.7263
k 0.05650.0511
LogL-W α 03.6511 × 1020.11320.9551228.8923232.4538231.9691
β 0.83316.5613 × 101
θ 0.00268.3356 × 10−4
λ 1.14627.0112 × 10−2
L-W α 0.03900.11270.11440.9512228.6825232.244231.7594
β 0.03750.1227
θ 0.00230.0008
λ 1.15380.0690
AW α 1.14240.22850.11770.9539228.8920232.4535231.9689
β 0.00560.0012
θ 3.89173.1294 × 102
λ 01.7617 × 102
TXg α 0.01680.00230.22920.2586236.7577238.5384237.5577
θ 1.67440.0159
Xg α 0.01680.00230.22630.2720233.3785234.2689233.6285
BXII c 3.42367.06500.36790.0103262.1132263.8939262.9132
k 0.03630.2104
Table 13. Failure times of Meeker and Escober’s data.
Table 13. Failure times of Meeker and Escober’s data.
Failure Times
0.10.212367111218
21323640454647505560
63677275798283848586
Table 14. Summary measures of Meeker and Escober’s data.
Table 14. Summary measures of Meeker and Escober’s data.
Min x 0.25 x m x ¯ x 0.75 Max
0.111.2545.5042.2870.7586
Table 15. ML estimates and their relevant SEs, K-S statistics, p-values, AIC, BIC and CAIC of the fitted models of Meeker and Escober’s data.
Table 15. ML estimates and their relevant SEs, K-S statistics, p-values, AIC, BIC and CAIC of the fitted models of Meeker and Escober’s data.
Model ψ ¯ MLESEK-Sp-valueAICBICCAIC
Xg-BXII α 0.05060.00730.12580.6859279.5354283.7389280.4585
c 0.76050.3349
k 0.11830.0618
LogL-W α 0.07210.04850.48690.0000323.1017328.7065324.7017
β 0.20940.2475
θ 0.00770.0068
λ 1.22390.2054
L-W α 0.00370.01690.19300.1875292.5615298.1663294.1615
β 0.17990.2451
θ 0.02830.0171
λ 0.95440.1451
AW α 1.67770.53480.14690.4912282.8124288.4172284.4124
β 0.01580.0027
θ 0.00280.0029
λ 0.46090.1411
TXg α 0.05150.00790.14460.5112283.6904286.4928284.1348
θ 0.07380.0467
Xg α 0.06460.00710.22600.0793296.3653297.7665296.5082
BXII c 1.11380.31160.30260.0062327.2089330.0113327.6533
k 0.28040.0905
Table 16. Failure times of Murthy’s data.
Table 16. Failure times of Murthy’s data.
Failure Times
0.030.120.220.350.730.791.251.411.251.79
1.801.942.382.402.872.993.143.194.725.09
Table 17. Summary of measures of Murthy’s data.
Table 17. Summary of measures of Murthy’s data.
Min x 0.25 x m x ¯ x 0.75 Max
0.030.7751.7951.9232.9005.090
Table 18. ML estimates and their relevant SEs, K-S statistics, p-values, AIC, BIC and CAIC of the fitted models of Murthy’s data.
Table 18. ML estimates and their relevant SEs, K-S statistics, p-values, AIC, BIC and CAIC of the fitted models of Murthy’s data.
Model ψ ¯ MLESEK-Sp-ValueAICBICCAIC
Xg-BXII α 1.65850.48540.07930.998568.212271.199469.7122
c 1.47370.3825
k 0.77920.5698
LogL-W α 0.76530.36800.09430.986670.635074.617973.3017
β 3.56754.4914
θ 0.06180.0962
λ 2.38880.9450
L-W α 0.80380.97190.09280.988871.186275.164673.8483
β 0.45350.6129
θ 0.06580.0906
λ 2.28080.8595
AW α 2.48741.18550.09490.985870.693574.676473.3602
β 0.29500.0954
θ 0.22140.2859
λ 0.73030.3590
TXg α 1.19990.22880.09390.987369.479171.470670.1850
θ 2.26592.0125
Xg α 1.04840.16110.14470.743971.209972.205671.4321
BXII c 1.45350.30650.23280.195277.027179.018577.7329
k 0.87630.2231
Table 19. Drought mortality rates of the United Kingdom’s data.
Table 19. Drought mortality rates of the United Kingdom’s data.
Drought Mortality Rates
0.05870.08630.11650.12470.12770.13030.16520.20790.23950.27510.2845
0.29920.31880.33170.34460.35530.36220.39260.36290.41100.46330.4690
0.49540.51390.56960.58370.61970.63650.70960.71930.74440.85901.0438
1.06021.13051.14681.15331.22601.27071.34231.41491.57091.60171.6083
1.63241.69981.81641.83921.87211.98442.13602.39872.41532.52252.7087
2.79463.36093.37153.78403.90424.19694.34514.46274.64775.36645.4500
5.75226.42417.06577.44568.23079.631510.187011.142911.201922.4584
Table 20. Summary measures of the United Kingdom’s data.
Table 20. Summary measures of the United Kingdom’s data.
Min x 0.25 x m x ¯ x 0.75 Max
0.05870.40641.24842.43723.363611.4584
Table 21. ML estimates and their relevant SEs, K-S statistics, p-values, AIC, BIC and CAIC of the fitted models of the United Kingdom’s data.
Table 21. ML estimates and their relevant SEs, K-S statistics, p-values, AIC, BIC and CAIC of the fitted models of the United Kingdom’s data.
Model ψ ¯ MLESEK-Sp-ValueAICBICAICc
Xg-BXII α 0.34540.10430.06090.9242283.9968290.9890284.3301
c 1.21840.1685
k 0.69020.1452
LogL-W α 0.86730.22710.08000.6847291.1339300.4569291.6973
β 9.62910.9726
θ 0.38030.1367
λ 0.86970.1023
L-W α 2.513123.80140.07970.6702291.4390300.7620292.0024
β 00.0602
θ 0.55470.3752
λ 0.86100.1268
AW α 0.84660.17870.08060.6764291.5037300.8266292.0671
β 0.16496.4435
θ 0.23336.7957
λ 0.84670.1421
TXg α 0.54120.08900.12790.1523288.5941293.2556288.7585
θ 0.10280.0864
Xg α 0.81540.06430.19040.0069302.7674305.0982302.8215
BXII c 1.33260.14200.06860.8431288.9744293.6359289.1388
k 0.90170.1171
Disclaimer/Publisher’s Note: The statements, opinions and data contained in all publications are solely those of the individual author(s) and contributor(s) and not of MDPI and/or the editor(s). MDPI and/or the editor(s) disclaim responsibility for any injury to people or property resulting from any ideas, methods, instructions or products referred to in the content.

Share and Cite

MDPI and ACS Style

Mohammad, H.H.; Alamri, F.S.; Salem, H.N.; EL-Helbawy, A.A. The Additive Xgamma-Burr XII Distribution: Properties, Estimation and Applications. Symmetry 2024, 16, 659. https://doi.org/10.3390/sym16060659

AMA Style

Mohammad HH, Alamri FS, Salem HN, EL-Helbawy AA. The Additive Xgamma-Burr XII Distribution: Properties, Estimation and Applications. Symmetry. 2024; 16(6):659. https://doi.org/10.3390/sym16060659

Chicago/Turabian Style

Mohammad, Hebatalla H., Faten S. Alamri, Heba N. Salem, and Abeer A. EL-Helbawy. 2024. "The Additive Xgamma-Burr XII Distribution: Properties, Estimation and Applications" Symmetry 16, no. 6: 659. https://doi.org/10.3390/sym16060659

APA Style

Mohammad, H. H., Alamri, F. S., Salem, H. N., & EL-Helbawy, A. A. (2024). The Additive Xgamma-Burr XII Distribution: Properties, Estimation and Applications. Symmetry, 16(6), 659. https://doi.org/10.3390/sym16060659

Note that from the first issue of 2016, this journal uses article numbers instead of page numbers. See further details here.

Article Metrics

Back to TopTop