Next Article in Journal
Nonstandard Nearly Exact Analysis of the FitzHugh–Nagumo Model
Previous Article in Journal
Global Models of Collapsing Scalar Field: Endstate
 
 
Font Type:
Arial Georgia Verdana
Font Size:
Aa Aa Aa
Line Spacing:
Column Width:
Background:
Article

Non-Hermitian Quantum Rényi Entropy Dynamics in Anyonic-PT Symmetric Systems

1
Department of Physics, College of Science, North China University of Technology, Beijing 100144, China
2
School of Energy Storage Science and Engineering, North China University of Technology, Beijing 100144, China
3
Beijing Laboratory of New Energy Storage Technology, Beijing 100144, China
*
Author to whom correspondence should be addressed.
Symmetry 2024, 16(5), 584; https://doi.org/10.3390/sym16050584
Submission received: 1 April 2024 / Revised: 29 April 2024 / Accepted: 7 May 2024 / Published: 9 May 2024
(This article belongs to the Topic Quantum Information and Quantum Computing, 2nd Volume)

Abstract

We reveal the continuous change of information dynamics patterns in anyonic-PT symmetric systems that originates from the continuity of anyonic-PT symmetry. We find there are three information dynamics patterns for anyonic-PT symmetric systems: damped oscillations with an overall decrease (increase) and asymptotically stable damped oscillations, which are three-fold degenerate and are distorted using the Hermitian quantum Rényi entropy or distinguishability. It is the normalization of the non-unitary evolved density matrix that causes the degeneracy and distortion. We give a justification for non-Hermitian quantum Rényi entropy being negative. By exploring the mathematics and physical meaning of the negative entropy in open quantum systems, we connect negative non-Hermitian quantum Rényi entropy and negative quantum conditional entropy, paving the way to rigorously investigate negative entropy in open quantum systems.

1. Introduction

The two fundamental discrete symmetries in physics are given by the parity operator P and the time reversal operator T. In recent decades, parity-time-reversal (PT) symmetry and its spontaneous symmetry breaking has attracted growing interesting both in theory and experiments. On the one hand, non-Hermitian (NH) physics with parity-time symmetry can be seen as a complex extension of conventional quantum mechanics that has novel properties. On the other hand, it is closely related to open and dissipative systems of realistic physics [1,2,3,4,5,6]. Symmetries such as PT symmetry [7,8,9,10], anti-PT (APT) symmetry [11,12,13,14,15,16,17,18], pseudo-Hermitian symmetry [19,20,21,22], and anyonic-PT symmetry [23,24,25] play a central role in typical NH systems. In the quantum regime, various aspects of PT symmetry have been studied, such as Bose–Einstein condensates [26,27], entanglement [28,29,30], critical phenomena [8,31], etc. For a PT symmetric system, the Hamiltonian H PT satisfies [ P T , H PT ] = 0 . It is in the PT-unbroken phase if each eigenstate of the Hamiltonian is simultaneously the eigenstate of the PT operator, in which case the entire spectrum is real. Otherwise, it is in a PT symmetry broken phase, and some pairs of eigenvalues become complex conjugate to each other. Between the two phases lie exceptional points (EPs) where an unconventional phase transition occurs [7,32,33,34,35,36,37], and this is related to many intriguing phenomena [8,38,39,40,41].
Anyonic-PT symmetry can be seen as the complex generalization of PT symmetry, and the relationships between PT, APT, and anyonic-PT symmetry can be an analogy to relationships between bosons, fermions, and anyons [23,24,25]. In this spirit, it was named anyonic-PT symmetry. PT, anti-PT, and anyonic-PT symmetric systems can be simulated [9,17,23,42] by current quantum devices using the linear combination of unitaries (LCU) in the scheme of duality quantum computing [43,44]. While (anti-)PT symmetry is discrete, anyonic-PT symmetry is continuous with respect to the phase parameter in a way similar to rotational symmetry [32]. The investigation of information dynamics in (anti-)PT symmetric systems [8,18] shows that the change of information dynamics patterns in (anti-)PT symmetric systems are discontinuous. In this paper, through a new information dynamics description, which is found to be synchronous and correlated with NH quantum Rényi entropy [45,46,47], we investigate the non-Hermitian (NH) quantum Rényi entropy dynamics of anyonic-PT symmetric systems. Our results show: in contrast to the discontinuous change of information dynamics patterns in (anti-)PT symmetric systems, the change of information dynamics patterns in anyonic-PT symmetry is continuous and originates from the interplay of features of (anti-)PT symmetry and the continuity of anyonic-PT symmetry.
While Hermiticity ensures the conservation of probability in an isolated quantum system and guarantees the real spectrum of eigenvalues of energy, it is ubiquitous in nature that the probability in an open quantum system effectively becomes non-conserved due to the flows of energy, particles, and information between the system and the external environment [33]. In the study of radiative decay in reactive nuclei, which is analyzed by an effective NH Hamiltonian, the essential idea is that the decay of the norm of a quantum state indicates the presence of nonzero probability flow to the outside of the nucleus [48,49]. The non-conserved norm indicates there is information flow between the NH system and the environment. Thus, the non-conserved norm is essential for describing information dynamics in NH systems. In quantum information, a trace of the density matrix is a central concept in various formulae characterizing information properties, such as von Neumann entropy [50], Rényi entropy [45,46,47,51], and trace distance measuring of the distinguishability of two quantum states [8,18,52,53].
In this work, we investigate the NH quantum Rényi entropy dynamics of anyonic-PT symmetric systems through a new information dynamics description, which is found to be synchronous and correlated with NH quantum Rényi entropy. Our results show that the intertwining of (anti-)PT symmetry leads to new information dynamics patterns: damped oscillation with an overall decrease (increase) and asymptotically stable damped oscillation. The approaches of Hermitian quantum Rényi entropy or distinguishability adopted in [8,18,53,54] not only degenerate the three distinguished patterns to the same one, but they also distort it. The degeneracy is caused by the normalization of the non-unitary evolved density matrix, which leads to the loss of information about the total probability flow between the open system and the environment, while our approach based on the non-normalized density matrix reserves all the information related to the non-unitary time evolution. Furthermore, our results show that the lower bounds of both von Neumann entropy and distinguishability being zero is related to their distortion of the information dynamics in the NH systems. The discussion of the degeneracy and distortion also serves as a justification for NH quantum Rényi entropy being negative. We further explore the mathematical reason and physical meaning of the negative entropy in open quantum systems, revealing a connection between negative NH entropy and negative quantum conditional entropy [55,56,57]. Our work paves the way to rigorously investigate the physical interpretations and the application prospects of negative entropy in open quantum system. In contrast to the discontinuous change of information dynamics patterns in (anti-)PT symmetric systems, we find that the change of information dynamics patterns in anyonic-PT symmetry is continuous and originates from the interplay of features of (anti-)PT symmetry and the continuity of anyonic-PT symmetry.

2. NH Quantum Rényi Entropy in Anyonic-PT Symmetric Systems

Quantum Rényi entropy [47] is suitable for Hermitian quantum systems (thus, we call it Hermitian quantum Rényi entropy) as it requires the trace of the density matrix to satisfy Tr ρ ( 0 , 1 ] . The Hermitian quantum Rényi entropy is defined as:
S α H ( ρ ) = ln Tr ρ α 1 α ,
where α ( 0 , 1 ) ( 1 , ) . If the initial quantum state ρ ( 0 ) is a pure state, S α H ( ρ ) is trivial as it is always zero under unitary time evolution. For open quantum systems with a trace of the initial density matrix less than 1, due to the nonzero probability flow between the systems and the environment, Tr ρ > 1 is possible with the time evolution of the systems. Thus, the condition Tr ρ ( 0 , 1 ] should be relaxed to Tr ρ 0 for open quantum systems. To describe the information dynamics in NH open quantum systems properly, NH quantum Rényi entropy [46] is defined using both the non-normalized density matrix Ω and the normalized one ρ = Ω / Tr Ω as
S α ( Ω ) = ln Tr ( Ω α 1 ρ ) 1 α α ( 0 , 1 ) ( 1 , ) ,
with S 0 , 1 , ( Ω ) = S α 0 , 1 , ( Ω ) ,
S 1 ( Ω ) = Tr ( ρ ln Ω ) .
Another commonly adopted description of information dynamics is the distinguishability D of two quantum states [8,52,58]:
D ρ 1 t , ρ 2 t = 1 2 Tr ρ 1 t ρ 2 t ,
where | ρ | : = ρ ρ , and ρ 1 , 2 are normalized density matrices. We notice that the only difference between the expressions of S α ( Ω ) and S α H ( ρ ) is the use of Ω . Investigation of S 1 ( Ω ) is enough for our purpose, as the dynamics of NH quantum Rényi entropy for different values of α are similar [46,47]. Boltzmann’s entropy formula and Shannon’s entropy formula state the logarithmic connection between entropy and probability. We borrow this wisdom and take the natural logarithm of Tr Ω . We find that ln Tr Ω ( t ) can serve as a new description for the information dynamics in NH systems, as it is found to be synchronous and correlated with NH quantum Rényi entropy. The function ln Tr Ω ( t ) captures the essence of the information dynamics in NH systems, as we show in Figure 1.

2.1. Anyonic-PT Symmetry

Anyonic-PT symmetric Hamiltonians H φ satisfy ( PT ) H φ ( PT ) 1 = e i φ H φ , and thus,
H φ = e i φ 2 H PT = p H PT + q ( i H PT ) ,
where p = cos φ 2 , q = sin φ 2 , and H PT are PT symmetric, and i H PT satisfy anti-PT symmetry (thus, we denote H APT = i H PT ). H PT and H APT commute, which means the two can be simultaneously diagonalized, and so the eigenfunctions of H φ ( H PT and H APT ) are independent of φ even though the eigenvalues vary with φ . The eigenvalues of H PT ( H APT ) undergo an abrupt change with the symmetry breaking, indicating a discontinuous change of information dynamics patterns [8,18]. In contrast, the change of eigenvalues of H φ with symmetry breaking can be continuous because of the phase e i φ 2 , indicating the possibility of continuous change of information dynamics patterns.
We employ the usual Hilbert–Schmidt inner product when we investigate the effective non-unitary dynamics of open quantum systems governed by H φ (it is worth comparing the results with calculations using biorthogonal inner products; please refer to Appendix B for details) [8,59,60]:
Ω ( t ) = e i H φ t Ω ( 0 ) e i H φ t ,
ρ ( t ) = Ω ( t ) / Tr Ω ( t ) .
For H φ with eigenenergies E n + i Γ n ,
H φ φ n = E n + i Γ n φ n ,
with φ n | φ n = 1 . Define the eigenstates with the largest (second largest) imaginary part as φ 1 ( φ 2 ). After a sufficiently long time, φ 1 and φ 2 dominate the dynamics. With arbitrary initial state φ 0 = n = 1 c n φ n and Ω ( 0 ) = φ 0 φ 0 , we have
ln Tr Ω ( t ) ln [ | c 1 | 2 e 2 Γ 1 t + | c 2 | 2 e 2 Γ 2 t + ( c 1 c 2 e i ( E 1 E 2 ) t φ 2 | φ 1 + c . c . ) e ( Γ 1 + Γ 2 ) t ] .
For H PT in the PT-unbroken phase, Γ n = 0 , ln Tr Ω ( t ) periodically oscillates; for H PT in the PT-broken phase, some pairs of its eigenvalues become complex conjugate to each other; the biggest positive Γ n determines the dynamics of ln Tr Ω ( t ) : it asymptotically decreases. For H APT in the PT-unbroken phase, E n = 0 , Γ 1 , 2 determines the overall trend of ln Tr Ω ( t ) : it may be asymptotically decreasing (increasing or stable) without oscillation; for H APT in the PT-broken phase, Γ 1 , 2 determines the overall trend of ln Tr Ω ( t ) : it may be asymptotically decreasing (increasing or stable) with oscillation. Investigations [8,18] of information dynamics in (anti-)PT symmetric systems show that the change of information dynamics patterns in them is discontinuous, which is connected with the fact that parity-time (PT) symmetry and anti-PT symmetry are discrete. By Equation (5), we know that the information dynamics of H φ are the result of the interplay of H PT and H APT . According to our analysis of H PT and H APT , damped oscillation of information dynamics is possible for H φ in the PT-unbroken phase or the PT-broken phase, showing that the change of information dynamics patterns in anyonic-PT symmetry is continuous.

2.2. Two-Level Systems

As a proof-of-principle example, we consider a generic two-level anyonic-PT symmetric system governed by H φ . With the parity operator P given by 0 1 1 0 and the time reversal operator T being the operation of complex conjugation, H φ can be expressed as a family of matrices:
H φ = e i φ 2 r e i θ r 1 e i θ 1 r 1 e i θ 1 r e i θ ,
where φ , r , θ , r 1 , θ 1 are real. The energy eigenvalues of H φ are
E ± = e i φ 2 ( r cos θ ± δ ) ,
with
δ = r 1 2 r 2 sin 2 θ .
When δ > 0 , H φ is in the PT-unbroken phase; when δ < 0 , H φ is in the PT-broken phase; the exceptional point of H φ is located at δ = 0 . When δ > 0 , with a = r 1 2 + r 2 sin 2 θ δ 1 ,
Tr Ω ( t ) = e q · 2 t r cos θ · 1 a 2 cos 2 p δ t + e q · 2 t r cos θ · 1 + a 2 cos 2 i q δ t ,
where 1 a 2 cos 2 p δ t is the feature of H PT in the PT-unbroken phase, and 1 + a 2 cos 2 i q δ t and e q · 2 t r cos θ are the features of H APT in the PT-unbroken phase. The interplay of H PT and H APT leads to new novel properties unique to H φ . When δ < 0 , with b = r 1 2 + r 2 sin 2 θ δ 1 , we have
Tr Ω ( t ) = e q · 2 t r cos θ · 1 + b 2 cos 2 i p δ t + e q · 2 t r cos θ · 1 b 2 cos 2 q δ t .
So, similar to Equation (13), Equation (14) is a combination of underdamped oscillation and overdamped oscillation (see Appendix A for details), and thus, the information dynamics patterns of H φ in the PT-unbroken phase or the PT-broken phase can be similar, which shows that the change of information dynamics patterns in two-level anyonic-PT symmetry is continuous. The asymptotically stable damped oscillation of S 1 ( Ω ) of H φ in the PT-broken phase is shown in Figure 2.
For H φ 1 and H φ 2 with φ 1 + φ 2 = 2 π or 2 π , the trace expressions of H φ 1 and H φ 2 are the same. Therefore, we only consider π < φ < 0 ( p > 0 , q > 0 ). For significantly large t,
Tr Ω ( t ) 1 + a 4 e 2 q λ t
Equation (15) determines the overall trend of Equation (13), with λ = r cos θ + δ ( λ = 0 if and only if r 1 = r and r cos θ < 0 ). There are three information dynamics patterns for anyonic-PT symmetric systems: damped oscillation with an overall decrease (increase) and asymptotically stable damped oscillation, as we show in Figure 3. If we use the Hermitian quantum Rényi entropy or distinguishability, a three-fold degeneration and distortion happen, as we show in Figure 4. The three-fold degeneration and distortion happen in the PT-broken phase of H φ too, as we show in Figure 2 for the case of asymptotically stable damped oscillation. The degeneracy is caused by the normalization of the non-unitary evolved density matrix Ω , which washes out the effects of decay parts e Γ n t and thus leads to the loss of information about the total probability flow between the open system and the environment, while our approach based on the non-normalized density matrix reserves all the information related to the non-unitary time evolution. The asymptotically stable damped oscillations and their relaxation time varying with φ are showed in Figure 5.

3. Negative Entropy

Here comes the problem that S α ( Ω ) can be negative, and the comparison above in Figure 4 gives a phenomenological justification for the necessity of it. We go one step further and discuss the negative entropy in NH open quantum system. Entropy measures the degree of uncertainty. In the sense of a classical statistical mixture, a closed system with complete certainty is possible, and thus, it is reasonable that the lower bound of the von Neumann entropy is zero. However, a general open quantum system cannot possess complete certainty since it constantly interacts with its external environment in a unpredictable way. Therefore, if we take the entropy of closed systems as reference, it is natural that for open quantum systems, entropy might be negative. For example, unique properties of PT symmetric systems are always predicted and observed in classical or quantum systems where gain and loss of energy or amplitude are balanced. Then, we can reasonably expect that different magnitudes of the balanced gain and loss will lead to different lower bounds of entropy. Negative entropy is possible and important in Hermitian physics too. It is well known that quantum information theory has peculiar properties that cannot be found in its classical counterpart. For example, an observer’s uncertainty about a system, if measured by von Neumann conditional entropy, can become negative [55,56,57]. With the density matrix of the combined system of A and B being ρ A B ( Tr ρ A B = 1 ), von Neumann conditional entropy is defined as
S ( A | B ) = Tr ( ρ A B ln ρ A | B )
which is based on a conditional ‘amplitude’ operator ρ A | B [57]. The eigenvalues of ρ A | B can exceed 1, and it is precisely for this reason that the von Neumann conditional entropy can be negative [57]. For our purpose, the similarity between Equation (16) and Equation (3) inspires a comparison of the role of non-normalized density matrix Ω in NH entropy S 1 ( Ω ) and the role of ρ A | B in von Neumann conditional entropy S ( A | B ) ; we remark that the mathematical reason why S 1 ( Ω ) can be negative is similar to S ( A | B ) , as Tr Ω can exceed 1. The strong correlation between ln Tr Ω and S 1 ( Ω ) also suggests that Tr Ω > 1 will lead to negative entropy. Negative von Neumann conditional entropy has been given a physical interpretation in terms of how much quantum communication is needed to gain complete quantum information [55]. Furthermore, a direct thermodynamic interpretation of negative conditional entropy is given in [56]. For NH entropy, our results above demonstrate that allowing NH entropy to be negative is necessary and inevitable if we want to characterize the information dynamics of NH systems properly.

4. Conclusions

We investigate the NH quantum Rényi entropy dynamics of anyonic-PT symmetric systems through a new information dynamics description, i.e., ln Tr Ω , which is found to be synchronous and correlated with NH quantum Rényi entropy. While the information dynamics in PT symmetric systems and anti-PT symmetric systems show that the change of information dynamics patterns in them is discontinuous, we demonstrate that the change of information dynamics patterns in anyonic-PT symmetry is continuous. Based on the analysis of spectra and the information dynamics in PT symmetric systems and anti-PT symmetric systems, we find that the continuous change of information dynamics patterns originates from the interplay of features of PT symmetry and anti-PT symmetry plus the continuity of anyonic-PT symmetry. We find that there are three information dynamics patterns for anyonic-PT symmetric systems: damped oscillation with an overall decrease, damped oscillation with an overall increase, and asymptotically stable damped oscillation. We then use the Hermitian quantum Rényi entropy and distinguishability to investigate the information dynamics in anyonic-PT symmetric and find that the three patterns are distorted and degenerate to the same one. The discussion of the degeneracy and distortion serves as a justification for negative NH quantum Rényi entropy. We further explore the mathematical reason and physical meaning of the negative entropy in open quantum systems, revealing a connection between negative NH entropy and negative quantum conditional entropy, as both quantities can be negative for similar mathematical reasons. Since the physical interpretation and the following applications of negative quantum conditional entropy are successful and promising, our work gives a direction to rigorously investigate the physical interpretations and the application prospects of negative entropy in open quantum system.

Author Contributions

Conceptualization, C.Z.; methodology, C.Z.; software, C.Z. and Z.L.; validation, C.Z. and Z.L.; formal analysis, C.Z. and Z.L.; investigation, C.Z. and Z.L.; resources, C.Z.; data curation, C.Z.; writing—original draft preparation, C.Z. and Z.L.; writing—review and editing, C.Z. and Z.L.; visualization, C.Z. and Z.L.; supervision, C.Z.; project administration, C.Z.; funding acquisition, C.Z. All authors have read and agreed to the published version of the manuscript.

Funding

This work was supported by the National Natural Science Foundation of China (grant Nos. 12175002, 11705004, and 12381240288), the Natural Science Foundation of Beijing (grant No. 1222020), and the Project of Cultivation for Young top-notch Talents of Beijing Municipal Institutions (BPHR202203034).

Data Availability Statement

Data are contained within the article.

Acknowledgments

Zhihang Liu acknowledges valuable discussions with Daili Li.

Conflicts of Interest

The authors declare no conflicts of interest.

Abbreviations

The following abbreviations are used in this manuscript:
NHnon-Hermitian
LCUlinear combination of unitaries
PTparity-time-reversal
APTanti-PT

Appendix A. Derivation of Equations (13) and (14)

Define the two-level PT symmetric H PT as
H PT = r e i θ r 1 e i θ 1 r 1 e i θ 1 r e i θ .
Decompose H PT in a Pauli matrix: H PT = r cos θ I + r 1 cos θ 1 σ 1 r 1 sin θ 1 σ 2 + i r sin θ σ 3 and define M = r 1 cos θ 1 σ 1 r 1 sin θ 1 σ 2 + i r sin θ σ 3 . When δ 0 , the time-evolution operator U φ of H φ = e i φ 2 H PT is
U φ = e i t e i φ 2 r cos θ · ( cos ( t e i φ 2 δ ) I i sin ( t e i φ 2 δ ) δ M ) .
Denote
M 1 = cos ( t e i φ 2 δ ) I i sin ( t e i φ 2 δ ) δ M .
With Ω ( 0 ) = 1 2 I ,
Ω ( t ) = U φ Ω ( 0 ) U φ = 1 2 e q · 2 t r cos θ · M 1 M 1 .
When δ > 0 , with a = r 1 2 + r 2 sin 2 θ δ 1 , we get Equation (13):
Tr Ω ( t ) = e q · 2 t r cos θ · 1 a 2 cos 2 p δ t + e q · 2 t r cos θ · 1 + a 2 cos 2 i q δ t .
When q · 2 r cos θ < 0 , the first term in Equation (13) is the equation of underdamped oscillation, with the undamped frequency ω 2 = 4 ( p 2 δ + q 2 r 2 cos 2 θ ) ; in particular, when r = r 1 , ω 2 = 4 r 2 cos 2 θ ; the second term in Equation (13) is the equation of overdamped oscillation, with the undamped frequency ω 2 = 4 q 2 ( r 2 r 1 2 ) ; in particular, when r = r 1 , ω 2 = 0 . So Equation (13) is a combination of the underdamped oscillation and the overdamped oscillation, and the undamped frequencies are independent of φ when r = r 1 . When q · 2 r cos θ > 0 , corresponding amplified oscillations can be analyzed in the same way. When δ < 0 , with b = r 1 2 + r 2 sin 2 θ δ 1 , we get Equation (14):
Tr Ω ( t ) = e q · 2 t r cos θ · 1 + b 2 cos 2 i p δ t + e q · 2 t r cos θ · 1 b 2 cos 2 q δ t .
By Equation (A4)–(A6), we know that the normalization procedure ρ ( t ) = Ω ( t ) Tr Ω ( t ) washes out the decay part e q · 2 t r cos θ ( q = 1 for H APT ; q = 0 for H PT ) and causes loss of information about the total probability flow between the NH open quantum system and the environment.

Appendix B. Results Using Biorthogonal Inner Product

Appendix B.1. Biorthogonal Inner Product

We employ the Hilbert–Schmidt inner product when we investigate the non-unitary dynamics governed by H φ . It is worth comparing the results with calculations using the biorthogonal inner product. To this end, we restate the essential ideas of biorthogonal quantum mechanics [61].
Let K ^ = H ^ i Γ ^ , with H ^ = H ^ and Γ ^ = Γ ^ , be a complex Hamiltonian with eigenstates { | ϕ n } and non-degenerate eigenvalues { κ n } :
K ^ | ϕ n = κ n | ϕ n .
The biorthogonal basis { χ n | } is defined as:
K ^ | χ n = ν n | χ n and χ n | K ^ = ν ¯ n χ n | ,
where κ n = ν ¯ n and χ m | ϕ n = δ n m .
For an arbitrary state | ψ , the associated state  | ψ ˜ is defined as:
| ψ = n c n | ϕ n ψ ˜ | = n c ¯ n χ n | | ψ ˜ = n c n | χ n .
The density matrix of any mixed state is
ρ ^ = n , m ρ n m | ϕ n χ m | .
A density matrix ρ ^ is ‘Hermitian’ with respect to the choice of biorthogonal basis { | ϕ n , | χ n } so that ρ ¯ n m = ρ m n .
If { κ n } are real, then the evolution operator U ^ = e i K ^ t in effect is unitary in the sense of biorthogonal quantum mechanics so that the norms of states and transition probabilities are preserved under the time evolution. With initial condition | ψ 0 = n c n | ϕ n , | ψ t = U ^ | ψ 0 is given by
| ψ t = n c n e i κ n t | ϕ n .
According to the conjugation rule (A9),
ψ ˜ t | = n c ¯ n e i κ ¯ n t χ n | | ψ ˜ t = n c n e i κ n t | χ n .
ψ ˜ t | ψ t = n c ¯ n c n e i ( κ n κ ¯ n ) t .
| ψ t ψ ˜ t | = n , m c n c ¯ m e i ( κ n κ ¯ m ) t | ϕ n χ m | .
If κ n are real so that κ ¯ n = κ n , then for all time t > 0 , we have ψ ˜ t | ψ t = ψ ˜ 0 | ψ 0 .

Appendix B.2. Two-Level Systems

As an elementary example, consider the two-level PT symmetric Hamiltonian K ^ = σ ^ x i γ σ ^ z . The eigenvalues κ n = ± 1 γ 2 and the eigenstates of K ^ and K ^ are | ϕ ± and | χ ± , respectively. With the initial state being the maximal mixed state 1 2 | ϕ + χ + | + 1 2 | ϕ χ | , the non-normalized density matrix is
Ω ( t ) = 1 2 e i ( κ 1 κ ¯ 1 ) t | ϕ + χ + | + 1 2 e i ( κ 2 κ ¯ 2 ) t | ϕ χ | .
In the region γ 2 < 1 , κ n are real, and K ^ is in the PT-unbroken phase,
Tr Ω ( t ) = 1 ,
as expected. In the region γ 2 > 1 , κ n = ± i γ 2 1 are pure imaginary, and K ^ is in the PT-broken phase,
Tr Ω ( t ) = cosh 2 t γ 2 1 .
If we accept that the definition of NH Rényi entropy S α ( Ω ) is applicable to biorthogonal quantum systems, then according to Equations (A16) and (A17), there are two information dynamics patterns for PT and anti-PT symmetric systems in the sense of biorthogonal quantum mechanics. Case (i): If the eigenvalues are entirely real, the NH quantum Rényi entropy S α ( Ω ) , distinguishability D, and Hermitian quantum Rényi entropy S α H ( ρ ) ) are constant because U ^ = e i K ^ t is unitary in effect based on the biorthogonal inner product [61], which is similar to the Hermitian case based on the Hilbert–Schmidt inner product. Case (ii): If complex eigenvalues exist, the largest positive imaginary part of the eigenvalues determines the information dynamics pattern, and the information dynamics pattern is monotonically decreasing, which is similar to the general anyonic-PT symmetric cases.
Given that the Hamiltonian H φ = e i φ 2 K ^ of a general anyonic-PT symmetric system is the combination of PT symmetric K ^ and anti-PT symmetric i K ^ , S α ( Ω ) monotonically decreases for H φ in the PT-unbroken or PT-broken phases, as we show in Figure A1. We have performed further numerical studies, the results of which also indicate that when the eigenvalues of K ^ are real, the three kinds of information dynamics descriptions ( S α ( Ω ) , D, and S α H ( ρ ) ) are constant; when one or more of the eigenvalues is complex with a positive imaginary part, S α ( Ω ) , D, and S α H ( ρ ) monotonically decrease. In conclusion, if we adopt a biorthogonal inner product to study the information dynamics of general anyonic-PT symmetric systems, there will be only one information dynamics patterns, i.e., monotonically decreasing.
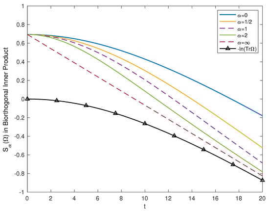
Figure A1. If we adopt a biorthogonal inner product, S α ( Ω ) monotonically decreases for typical values of α . The variable φ = π / 18 . The variable γ = 0.9 , H φ = e i φ 2 K ^ in the PT-unbroken phase.
Figure A1. If we adopt a biorthogonal inner product, S α ( Ω ) monotonically decreases for typical values of α . The variable φ = π / 18 . The variable γ = 0.9 , H φ = e i φ 2 K ^ in the PT-unbroken phase.
Symmetry 16 00584 g0a1

References

  1. Breuer, H.P.; Petruccione, F. The Theory of Open Quantum Systems; Oxford University Press: New York, USA, 2002. [Google Scholar]
  2. Barreiro, J.T.; Müller, M.; Schindler, P.; Nigg, D.; Monz, T.; Chwalla, M.; Hennrich, M.; Roos, C.F.; Zoller, P.; Blatt, R. An open-system quantum simulator with trapped ions. Nature 2011, 470, 486–491. [Google Scholar] [CrossRef] [PubMed]
  3. Hu, Z.; Xia, R.; Kais, S. A quantum algorithm for evolving open quantum dynamics on quantum computing devices. Sci. Rep. 2020, 10, 3301. [Google Scholar] [CrossRef]
  4. Del Re, L.; Rost, B.; Kemper, A.; Freericks, J. Driven-dissipative quantum mechanics on a lattice: Simulating a fermionic reservoir on a quantum computer. Phys. Rev. B 2020, 102, 125112. [Google Scholar] [CrossRef]
  5. Zheng, C. Universal quantum simulation of single-qubit nonunitary operators using duality quantum algorithm. Sci. Rep. 2021, 11, 3960. [Google Scholar] [CrossRef]
  6. Del Re, L.; Rost, B.; Foss-Feig, M.; Kemper, A.; Freericks, J. Robust measurements of n-point correlation functions of driven-dissipative quantum systems on a digital quantum computer. Phys. Rev. Lett. 2024, 132, 100601. [Google Scholar] [CrossRef]
  7. Bender, C.M.; Boettcher, S. Real spectra in non-Hermitian Hamiltonians having P T symmetry. Phys. Rev. Lett. 1998, 80, 5243. [Google Scholar] [CrossRef]
  8. Kawabata, K.; Ashida, Y.; Ueda, M. Information retrieval and criticality in parity-time-symmetric systems. Phys. Rev. Lett. 2017, 119, 190401. [Google Scholar] [CrossRef]
  9. Zheng, C.; Hao, L.; Long, G.L. Observation of a fast evolution in a parity-time-symmetric system. Philos. Trans. R. Soc. A Math. Phys. Eng. Sci. 2013, 371, 20120053. [Google Scholar] [CrossRef]
  10. Wu, H.C.; Xu, H.S.; Xie, L.C.; Jin, L. Edge State, Band Topology, and Time Boundary Effect in the Fine-Grained Categorization of Chern Insulators. Phys. Rev. Lett. 2024, 132, 083801. [Google Scholar] [CrossRef]
  11. Yang, F.; Liu, Y.C.; You, L. Anti-PT symmetry in dissipatively coupled optical systems. Phys. Rev. A 2017, 96, 053845. [Google Scholar] [CrossRef]
  12. Li, Y.; Peng, Y.G.; Han, L.; Miri, M.A.; Li, W.; Xiao, M.; Zhu, X.F.; Zhao, J.; Alù, A.; Fan, S.; et al. Anti–parity-time symmetry in diffusive systems. Science 2019, 364, 170–173. [Google Scholar] [CrossRef]
  13. Peng, P.; Cao, W.; Shen, C.; Qu, W.; Wen, J.; Jiang, L.; Xiao, Y. Anti-parity–time symmetry with flying atoms. Nat. Phys. 2016, 12, 1139–1145. [Google Scholar] [CrossRef]
  14. Bergman, A.; Duggan, R.; Sharma, K.; Tur, M.; Zadok, A.; Alù, A. Observation of anti-parity-time-symmetry, phase transitions and exceptional points in an optical fibre. Nat. Commun. 2021, 12, 486. [Google Scholar] [CrossRef]
  15. Yang, Y.; Wang, Y.P.; Rao, J.; Gui, Y.; Yao, B.; Lu, W.; Hu, C.M. Unconventional singularity in anti-parity-time symmetric cavity magnonics. Phys. Rev. Lett. 2020, 125, 147202. [Google Scholar] [CrossRef]
  16. Choi, Y.; Hahn, C.; Yoon, J.W.; Song, S.H. Observation of an anti-PT-symmetric exceptional point and energy-difference conserving dynamics in electrical circuit resonators. Nat. Commun. 2018, 9, 2182. [Google Scholar] [CrossRef]
  17. Zheng, C. Duality quantum simulation of a generalized anti-PT-symmetric two-level system. Europhys. Lett. 2019, 126, 30005. [Google Scholar] [CrossRef]
  18. Wen, J.; Qin, G.; Zheng, C.; Wei, S.; Kong, X.; Xin, T.; Long, G. Observation of information flow in the anti-PT-symmetric system with nuclear spins. npj Quantum Inf. 2020, 6, 28. [Google Scholar] [CrossRef]
  19. Mostafazadeh, A. Pseudo-Hermiticity versus PT symmetry: The necessary condition for the reality of the spectrum of a non-Hermitian Hamiltonian. J. Math. Phys. 2002, 43, 205–214. [Google Scholar] [CrossRef]
  20. Mostafazadeh, A. Pseudounitary operators and pseudounitary quantum dynamics. J. Math. Phys. 2004, 45, 932–946. [Google Scholar] [CrossRef]
  21. Jin, L. Unitary scattering protected by pseudo-hermiticity. Chin. Phys. Lett. 2022, 39, 037302. [Google Scholar] [CrossRef]
  22. Xu, H.; Jin, L. Pseudo-Hermiticity protects the energy-difference conservation in the scattering. Phys. Rev. Res. 2023, 5, L042005. [Google Scholar] [CrossRef]
  23. Zheng, C. Quantum simulation of PT-arbitrary-phase–symmetric systems. Europhys. Lett. 2022, 136, 30002. [Google Scholar] [CrossRef]
  24. Longhi, S.; Pinotti, E. Anyonic symmetry, drifting potentials and non-Hermitian delocalization. Europhys. Lett. 2019, 125, 10006. [Google Scholar] [CrossRef]
  25. Arwas, G.; Gadasi, S.; Gershenzon, I.; Friesem, A.; Davidson, N.; Raz, O. Anyonic-parity-time symmetry in complex-coupled lasers. Sci. Adv. 2022, 8, eabm7454. [Google Scholar] [CrossRef]
  26. Klaiman, S.; Günther, U.; Moiseyev, N. Visualization of branch points in p t-symmetric waveguides. Phys. Rev. Lett. 2008, 101, 080402. [Google Scholar] [CrossRef]
  27. Konotop, V.V.; Yang, J.; Zezyulin, D.A. Nonlinear waves in PT-symmetric systems. Rev. Mod. Phys. 2016, 88, 035002. [Google Scholar] [CrossRef]
  28. Chen, S.L.; Chen, G.Y.; Chen, Y.N. Increase of entanglement by local PT-symmetric operations. Phys. Rev. A 2014, 90, 054301. [Google Scholar] [CrossRef]
  29. Lee, T.E.; Reiter, F.; Moiseyev, N. Entanglement and spin squeezing in non-Hermitian phase transitions. Phys. Rev. Lett. 2014, 113, 250401. [Google Scholar] [CrossRef]
  30. Couvreur, R.; Jacobsen, J.L.; Saleur, H. Entanglement in nonunitary quantum critical spin chains. Phys. Rev. Lett. 2017, 119, 040601. [Google Scholar] [CrossRef]
  31. Ashida, Y.; Furukawa, S.; Ueda, M. Parity-time-symmetric quantum critical phenomena. Nat. Commun. 2017, 8, 15791. [Google Scholar] [CrossRef]
  32. Goldenfeld, N. Lectures on Phase Transitions and the Renormalization Group; CRC Press: Boca Raton, FL, USA, 2018. [Google Scholar]
  33. Ashida, Y.; Gong, Z.; Ueda, M. Non-hermitian physics. Adv. Phys. 2020, 69, 249–435. [Google Scholar] [CrossRef]
  34. Li, J.; Harter, A.K.; Liu, J.; de Melo, L.; Joglekar, Y.N.; Luo, L. Observation of parity-time symmetry breaking transitions in a dissipative Floquet system of ultracold atoms. Nat. Commun. 2019, 10, 855. [Google Scholar] [CrossRef] [PubMed]
  35. Zhang, S.; He, T.; Jin, L. Localization Dynamics at the Exceptional Point of Non-Hermitian Creutz Ladder. Chin. Phys. Lett. 2024, 41, 027201. [Google Scholar] [CrossRef]
  36. Guo, Z.; Xie, Z.; Li, Z.; Li, T. Reconfigurable high-order exceptional points in coupled optical parametric oscillators for enhanced sensing. J. Phys. D Appl. Phys. 2024, 57, 255103. [Google Scholar] [CrossRef]
  37. Kazmina, A.S.; Zalivako, I.V.; Borisenko, A.S.; Nemkov, N.A.; Nikolaeva, A.S.; Simakov, I.A.; Kuznetsova, A.V.; Egorova, E.Y.; Galstyan, K.P.; Semenin, N.V.; et al. Demonstration of a parity-time-symmetry-breaking phase transition using superconducting and trapped-ion qutrits. Phys. Rev. A 2024, 109, 032619. [Google Scholar] [CrossRef]
  38. Wang, J.; Mukhopadhyay, D.; Agarwal, G. Quantum Fisher information perspective on sensing in anti-PT symmetric systems. Phys. Rev. Res. 2022, 4, 013131. [Google Scholar] [CrossRef]
  39. Wu, J.H.; Artoni, M.; La Rocca, G. Non-Hermitian degeneracies and unidirectional reflectionless atomic lattices. Phys. Rev. Lett. 2014, 113, 123004. [Google Scholar] [CrossRef] [PubMed]
  40. Lin, Z.; Ramezani, H.; Eichelkraut, T.; Kottos, T.; Cao, H.; Christodoulides, D.N. Unidirectional invisibility induced by P T-symmetric periodic structures. Phys. Rev. Lett. 2011, 106, 213901. [Google Scholar] [CrossRef]
  41. Regensburger, A.; Bersch, C.; Miri, M.A.; Onishchukov, G.; Christodoulides, D.N.; Peschel, U. Parity–time synthetic photonic lattices. Nature 2012, 488, 167–171. [Google Scholar] [CrossRef]
  42. Zheng, C. Duality quantum simulation of a general parity-time-symmetric two-level system. Europhys. Lett. 2018, 123, 40002. [Google Scholar] [CrossRef]
  43. Gui-Lu, L. General quantum interference principle and duality computer. Commun. Theor. Phys. 2006, 45, 825. [Google Scholar] [CrossRef]
  44. Xiao, J.; Wen, J.; Zhou, Z.; Qian, L.; Huang, Z.; Wei, S.; Long, G. A quantum algorithm for linear differential equations with layerwise parameterized quantum circuits. AAPPS Bull. 2024, 34, 12. [Google Scholar] [CrossRef]
  45. Rényi, A. On measures of entropy and information. In Proceedings of the Fourth Berkeley Symposium on Mathematical Statistics and Probability, Berkeley, CA, USA, 20 June–30 July 1960; Volume 1: Contributions to the Theory of Statistics. University of California Press: Berkeley, CA, USA, 1961; Volume 4, pp. 547–562. [Google Scholar]
  46. Li, D.; Zheng, C. Non-Hermitian generalization of Rényi entropy. Entropy 2022, 24, 1563. [Google Scholar] [CrossRef]
  47. Müller-Lennert, M.; Dupuis, F.; Szehr, O.; Fehr, S.; Tomamichel, M. On quantum Rényi entropies: A new generalization and some properties. J. Math. Phys. 2013, 54, 122203. [Google Scholar] [CrossRef]
  48. Feshbach, H. Unified theory of nuclear reactions. Ann. Phys. 1958, 5, 357–390. [Google Scholar] [CrossRef]
  49. Feshbach, H. A unified theory of nuclear reactions. II. Ann. Phys. 1962, 19, 287–313. [Google Scholar] [CrossRef]
  50. Von Neumann, J. Mathematical Foundations of Quantum Mechanics: New Edition; Princeton University Press: Princeton, NJ, USA, 2018; Volume 53. [Google Scholar]
  51. Fehr, S.; Berens, S. On the conditional Rényi entropy. IEEE Trans. Inf. Theory 2014, 60, 6801–6810. [Google Scholar] [CrossRef]
  52. Nielsen, M.A.; Chuang, I.L. Quantum Computation and Quantum Information; Cambridge University Press: Cambridge, UK, 2010. [Google Scholar]
  53. Xiao, L.; Wang, K.; Zhan, X.; Bian, Z.; Kawabata, K.; Ueda, M.; Yi, W.; Xue, P. Observation of critical phenomena in parity-time-symmetric quantum dynamics. Phys. Rev. Lett. 2019, 123, 230401. [Google Scholar] [CrossRef]
  54. Bian, Z.; Xiao, L.; Wang, K.; Onanga, F.A.; Ruzicka, F.; Yi, W.; Joglekar, Y.N.; Xue, P. Quantum information dynamics in a high-dimensional parity-time-symmetric system. Phys. Rev. A 2020, 102, 030201. [Google Scholar] [CrossRef]
  55. Horodecki, M.; Oppenheim, J.; Winter, A. Partial quantum information. Nature 2005, 436, 673–676. [Google Scholar] [CrossRef]
  56. Rio, L.d.; Åberg, J.; Renner, R.; Dahlsten, O.; Vedral, V. The thermodynamic meaning of negative entropy. Nature 2011, 474, 61–63. [Google Scholar] [CrossRef]
  57. Cerf, N.J.; Adami, C. Negative entropy and information in quantum mechanics. Phys. Rev. Lett. 1997, 79, 5194. [Google Scholar] [CrossRef]
  58. Breuer, H.P.; Laine, E.M.; Piilo, J. Measure for the degree of non-Markovian behavior of quantum processes in open systems. Phys. Rev. Lett. 2009, 103, 210401. [Google Scholar] [CrossRef]
  59. Brody, D.C. Consistency of PT-symmetric quantum mechanics. J. Phys. A Math. Theor. 2016, 49, 10LT03. [Google Scholar] [CrossRef]
  60. Brody, D.C.; Graefe, E.M. Mixed-state evolution in the presence of gain and loss. Phys. Rev. Lett. 2012, 109, 230405. [Google Scholar] [CrossRef] [PubMed]
  61. Brody, D.C. Biorthogonal quantum mechanics. J. Phys. A Math. Theor. 2013, 47, 035305. [Google Scholar] [CrossRef]
Figure 1. S α ( Ω ) behaves similarly for typical values of α ; φ = π / 18 ; λ = 0 , δ > 0 , and H φ in Equation (10) in PT-unbroken phase. The black line marked with △ represents ln Tr Ω ( t ) , which is shown to be synchronous and highly correlated with S α ( Ω ) .
Figure 1. S α ( Ω ) behaves similarly for typical values of α ; φ = π / 18 ; λ = 0 , δ > 0 , and H φ in Equation (10) in PT-unbroken phase. The black line marked with △ represents ln Tr Ω ( t ) , which is shown to be synchronous and highly correlated with S α ( Ω ) .
Symmetry 16 00584 g001
Figure 2. The asymptotically stable damped oscillation of S 1 ( Ω ) and the distortion if adopting D ( ρ ) or von Neumann entropy S vN ( ρ ) when H φ is in the PT-broken phase: r = 40 , r 1 = 32 , θ = 33 π / 64 , φ = 2 arctan δ r 2 cos 2 θ , δ < 0 , and H φ in the PT-broken phase.
Figure 2. The asymptotically stable damped oscillation of S 1 ( Ω ) and the distortion if adopting D ( ρ ) or von Neumann entropy S vN ( ρ ) when H φ is in the PT-broken phase: r = 40 , r 1 = 32 , θ = 33 π / 64 , φ = 2 arctan δ r 2 cos 2 θ , δ < 0 , and H φ in the PT-broken phase.
Symmetry 16 00584 g002
Figure 3. Variable φ = π / 36 ; δ > 0 and H φ in the PT-unbroken phase. The red line represents S 1 ( Ω ) ; the dashed blue line represents ln Tr Ω . (a) r = 0.8 , λ > 0 ; (b) r = 1 , λ = 0 ; (c) r = 1.2 , λ < 0 . The three information dynamics patterns—damped oscillation with an overall decrease (increase) and asymptotically stable damped oscillation—are well predicted by Equation (15).
Figure 3. Variable φ = π / 36 ; δ > 0 and H φ in the PT-unbroken phase. The red line represents S 1 ( Ω ) ; the dashed blue line represents ln Tr Ω . (a) r = 0.8 , λ > 0 ; (b) r = 1 , λ = 0 ; (c) r = 1.2 , λ < 0 . The three information dynamics patterns—damped oscillation with an overall decrease (increase) and asymptotically stable damped oscillation—are well predicted by Equation (15).
Symmetry 16 00584 g003
Figure 4. The black line represents distinguishability D; the dashed green line represents S 1 H ( ρ ) , i.e., the von Neumann entropy. The variable φ = π / 36 . (a) r = 0.8 , λ > 0 ; all parameters are the same as in Figure 3a; (b) r = 1.2 , λ < 0 ; all parameters are the same as in Figure 3c; (c) r = 1 , λ = 0 ; all parameters are the same as in Figure 3b. While S 1 ( Ω ) and ln Tr ( Ω ) show that there are three information dynamics patterns for anyonic-PT symmetric systems—damped oscillation with an overall decrease (increase) and asymptotically stable damped oscillation—the three patterns are distorted by D and S 1 H ( ρ ) and are degenerate to the same pattern, as we show here. We see that the distortion is related to the lower bounds of D and S 1 H ( ρ ) being zero.
Figure 4. The black line represents distinguishability D; the dashed green line represents S 1 H ( ρ ) , i.e., the von Neumann entropy. The variable φ = π / 36 . (a) r = 0.8 , λ > 0 ; all parameters are the same as in Figure 3a; (b) r = 1.2 , λ < 0 ; all parameters are the same as in Figure 3c; (c) r = 1 , λ = 0 ; all parameters are the same as in Figure 3b. While S 1 ( Ω ) and ln Tr ( Ω ) show that there are three information dynamics patterns for anyonic-PT symmetric systems—damped oscillation with an overall decrease (increase) and asymptotically stable damped oscillation—the three patterns are distorted by D and S 1 H ( ρ ) and are degenerate to the same pattern, as we show here. We see that the distortion is related to the lower bounds of D and S 1 H ( ρ ) being zero.
Symmetry 16 00584 g004
Figure 5. When λ = 0 , S 1 ( Ω ) is asymptotically stable. The red line represents S 1 ( Ω ) ; the dashed blue line represents ln Tr Ω ( t ) . The function r cos θ = 2 / 2 , δ > 0 , and H φ in the PT-unbroken phase. (a) φ = π / 36 , (b) φ = π / 12 , (c) φ = π / 6 , and (d) φ = 3 π / 4 . Clearly, the relaxation time of the damped oscillation is determined by q · 2 r cos θ .
Figure 5. When λ = 0 , S 1 ( Ω ) is asymptotically stable. The red line represents S 1 ( Ω ) ; the dashed blue line represents ln Tr Ω ( t ) . The function r cos θ = 2 / 2 , δ > 0 , and H φ in the PT-unbroken phase. (a) φ = π / 36 , (b) φ = π / 12 , (c) φ = π / 6 , and (d) φ = 3 π / 4 . Clearly, the relaxation time of the damped oscillation is determined by q · 2 r cos θ .
Symmetry 16 00584 g005
Disclaimer/Publisher’s Note: The statements, opinions and data contained in all publications are solely those of the individual author(s) and contributor(s) and not of MDPI and/or the editor(s). MDPI and/or the editor(s) disclaim responsibility for any injury to people or property resulting from any ideas, methods, instructions or products referred to in the content.

Share and Cite

MDPI and ACS Style

Liu, Z.; Zheng, C. Non-Hermitian Quantum Rényi Entropy Dynamics in Anyonic-PT Symmetric Systems. Symmetry 2024, 16, 584. https://doi.org/10.3390/sym16050584

AMA Style

Liu Z, Zheng C. Non-Hermitian Quantum Rényi Entropy Dynamics in Anyonic-PT Symmetric Systems. Symmetry. 2024; 16(5):584. https://doi.org/10.3390/sym16050584

Chicago/Turabian Style

Liu, Zhihang, and Chao Zheng. 2024. "Non-Hermitian Quantum Rényi Entropy Dynamics in Anyonic-PT Symmetric Systems" Symmetry 16, no. 5: 584. https://doi.org/10.3390/sym16050584

APA Style

Liu, Z., & Zheng, C. (2024). Non-Hermitian Quantum Rényi Entropy Dynamics in Anyonic-PT Symmetric Systems. Symmetry, 16(5), 584. https://doi.org/10.3390/sym16050584

Note that from the first issue of 2016, this journal uses article numbers instead of page numbers. See further details here.

Article Metrics

Back to TopTop