Cross-Water–Air Optical Wireless Communication Using Orthogonal Time–Frequency Space Modulation
Abstract
1. Introduction
2. Optical OTFS for Cross-Water–Air System
2.1. Transmitted Signal
2.2. Channel Model
2.3. Received Signal Processing
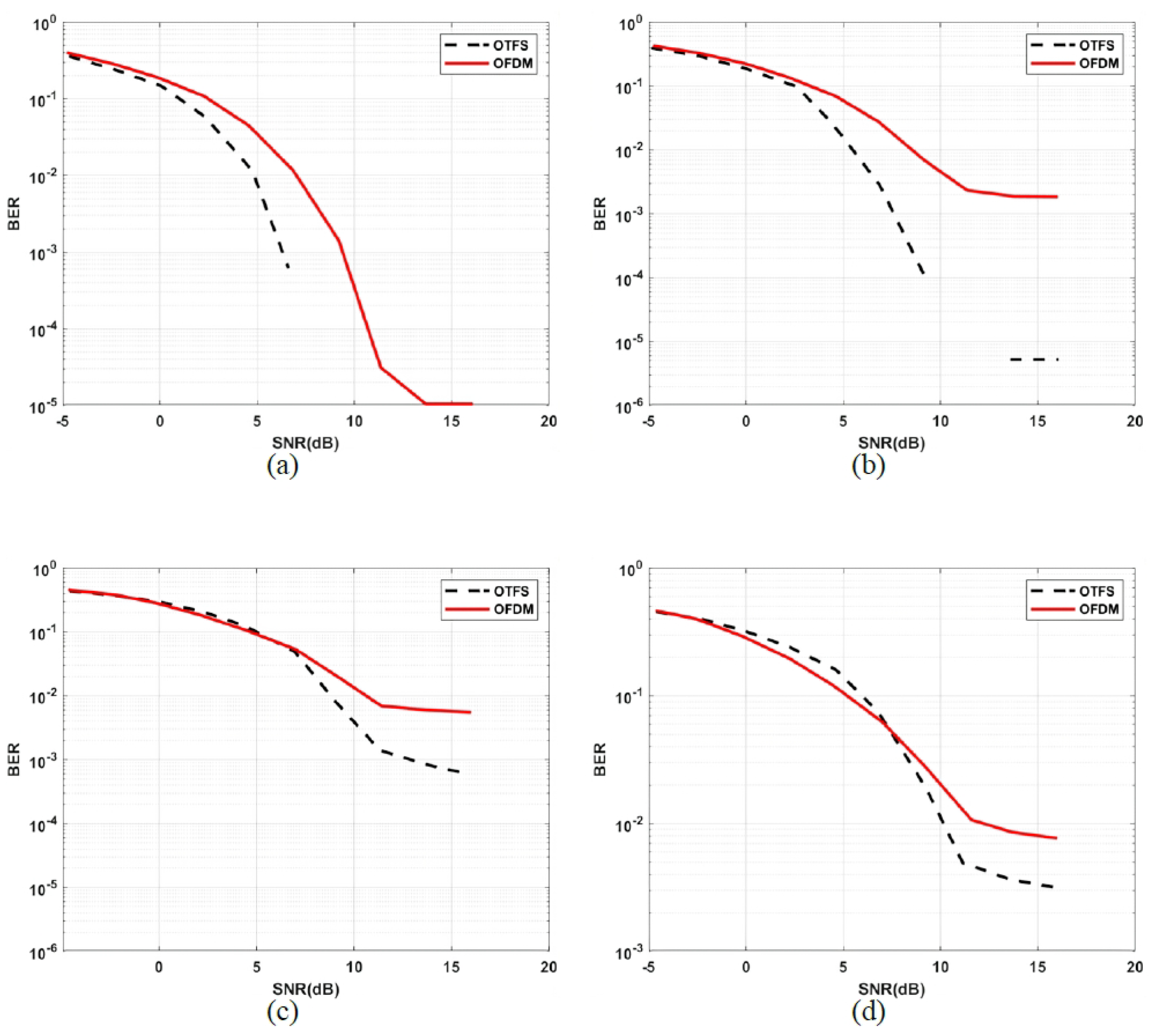
3. Simulation Results and Discussions
4. Conclusions and Future Work
Author Contributions
Funding
Data Availability Statement
Conflicts of Interest
References
- Khan, R.; Qiao, G. A Survey of Underwater Acoustic Communication and Networking Techniques. Res. J. Appl. Sci. Eng. Technol. 2013, 5, 778–789. [Google Scholar] [CrossRef]
- Lin, T.; Huang, N.; Gong, C.; Luo, J.; Xu, Z. Preliminary characterization of coverage for water-to-air visible light communication through wavy water surface. IEEE Photonics J. 2021, 13, 1–13. [Google Scholar] [CrossRef]
- Sun, X.; Kong, M.; Shen, C.; Kang, C.H.; Ng, T.K.; Ooi, B.S. On the realization of across wavy water-air-interface diffuse-line-of-sight communication based on an ultraviolet emitter. Opt. Express 2019, 27, 19635–19649. [Google Scholar] [CrossRef] [PubMed]
- Fu, C.; Lin, T.; Gong, C.; Huang, N.; Wei, T.; Liu, X.; Tang, L.; Su, L.; Luo, J.; Xu, Z. Anti error and erasure coding for water-to-air visible light communication through wavy water surface with wave height up to 0.6 meters. Opt. Express 2022, 30, 18743–18761. [Google Scholar] [CrossRef] [PubMed]
- Li, Y.; Liang, H.; Gao, C.; Miao, M.; Li, X. Temporal dispersion compensation for turbid underwater optical wireless communication links. Opt. Commun. 2019, 435, 355–361. [Google Scholar] [CrossRef]
- Geldard, C.T.; Guler, E.; Hamilton, A.; Popoola, W.O. An Empirical Comparison of Modulation Schemes in Turbulent Underwater Optical Wireless Communications. J. Light. Technol. 2021, 40, 2000–2007. [Google Scholar] [CrossRef]
- Yang, Y.; Yang, F.; Liu, W.; Zhao, P.; Zhang, J.; He, F.; Lan, X. Performance analysis of dual-mode adaptive switching blind equalization algorithm in an underwater wireless optical communication system. Opt. Eng. 2021, 60, 126104. [Google Scholar] [CrossRef]
- Alkhasraji, J.; Tsimenidis, C. Coded OFDM over short range underwater optical wireless channels using LED. In Proceedings of the IEEE Proc. Oceans 2017-Aberdeen, Aberdeen, UK, 19–22 June 2017; pp. 1–7. [Google Scholar]
- Chi, N.; Zhao, Y.; Shi, M.; Zou, P.; Lu, X. Gaussian kernel-aided deep neural network equalizer utilized in underwater PAM8 visible light communication system. Opt. Express 2018, 26, 26700–26712. [Google Scholar] [CrossRef] [PubMed]
- Song, X.; Zhao, Z.; Wei, Y.; Wang, M. Research and performance analysis on multi-point light-emitting diodes-array intra-vehicle visible light communication systems with DC-biased optical—Orthogonal frequency-division multiplexing. Int. J. Distrib. Sens. Netw. 2017, 13, 1550147717729785. [Google Scholar] [CrossRef]
- Sharma, M.; Chadha, D.; Chandra, V. Capacity evaluation of MIMO-OFDM Free Space Optical communication system. In Proceedings of the 2013 Annual IEEE India Conference (INDICON), Mumbai, India, 13–15 December 2013; pp. 1–4. [Google Scholar] [CrossRef]
- Bekkali, A.; Naila, C.B.; Kazaura, K.; Wakamori, K.; Matsumoto, M. Transmission Analysis of OFDM-Based Wireless Services Over Turbulent Radio-on-FSO Links Modeled by Gamma–Gamma Distribution. IEEE Photonics J. 2010, 2, 510–520. [Google Scholar] [CrossRef]
- Essalih, T.; Khalighi, M.A.; Hranilovic, S.; Akhouayri, H. Optical OFDM for SiPM-Based Underwater Optical Wireless Communication Links. Sensors 2020, 20, 6057. [Google Scholar] [CrossRef] [PubMed]
- Hadani, R.; Rakib, S.; Tsatsanis, M.; Monk, A.; Goldsmith, A.J.; Molisch, A.F.; Calderbank, R. Orthogonal Time Frequency Space Modulation. In Proceedings of the 2017 IEEE Wireless Communications and Networking Conference (WCNC), San Francisco, CA, USA, 19–22 March 2017; pp. 1–6. [Google Scholar] [CrossRef]
- Hadani, R.; Monk, A. OTFS: A New Generation of Modulation Addressing the Challenges of 5G. arXiv 2018, arXiv:1802.02623. [Google Scholar]
- Umakoglu, I.; Namdar, M.; Basgumus, A.; Özyurt, S.; Kulaç, S. BER Performance Analysis for NOMA Systems with OTFS Modulation. In Proceedings of the 2023 31st Signal Processing and Communications Applications Conference (SIU), Istanbul, Turkiye, 5–8 July 2023; pp. 1–4. [Google Scholar] [CrossRef]
- Hong, Y.; Thaj, T.; Viterbo, E. Chapter 3—OFDM review and its limitations. In Delay-Doppler Communications; Hong, Y., Thaj, T., Viterbo, E., Eds.; Academic Press: Cambridge, MA, USA, 2022; pp. 29–46. [Google Scholar] [CrossRef]
- Zhang, Y.; Zhang, S.; Wang, B.; Liu, Y.; Bai, W.; Shen, X. Deep Learning-Based Signal Detection for Underwater Acoustic OTFS Communication. J. Mar. Sci. Eng. 2022, 10, 1920. [Google Scholar] [CrossRef]
- Bocus, M.J.; Doufexi, A.; Agrafiotis, D. Performance of OFDM-based massive MIMO OTFS systems for underwater acoustic communication. IET Commun. 2020, 14, 588–593. [Google Scholar] [CrossRef]
- Zhong, J.; Zhou, J.; Liu, W.; Qin, J. Orthogonal Time-Frequency Multiplexing With 2D Hermitian Symmetry for Optical-Wireless Communications. IEEE Photonics J. 2020, 12, 1–10. [Google Scholar] [CrossRef]
- Surabhi, G.D.; Augustine, R.M.; Chockalingam, A. Peak-to-Average Power Ratio of OTFS Modulation. IEEE Commun. Lett. 2019, 23, 999–1002. [Google Scholar] [CrossRef]
- Myung, H.G.; Lim, J.; Goodman, D.J. Single carrier FDMA for uplink wireless transmission. IEEE Veh. Technol. Mag. 2006, 1, 30–38. [Google Scholar] [CrossRef]
- Mobley, C. Light and Water: Radiative Transfer in Natural Waters. Bull. Am. Meteorol. Soc. 1994, 76, 60–63. [Google Scholar]
- Smith, R.C.; Austin, R.W.; Petzold, T.J. Volume-scattering functions in ocean waters. In Suspended Solids in Water; Gibbs, R.J., Ed.; Springer US: Boston, MA, USA, 1974; pp. 61–72. [Google Scholar]
- Cox, W.C. Simulation, Modeling, and Design of Underwater Optical Communication Systems. Ph.D. Thesis, North Carolina State University, Raleigh, NC, USA, 2012. [Google Scholar]
- Gabriel, C.; Khalighi, M.A.; Bourennane, S.; Léon, P.; Rigaud, V. Monte-Carlo-based channel characterization for underwater optical communication systems. J. Opt. Commun. Netw. 2013, 5, 1–12. [Google Scholar] [CrossRef]








| Water type | ||
| Clean water | 50 m | 50 m |
| Beam width | FOV | Photons number |
| /6 | ||
| Aperture | Aircraft speed | Wind speed |
| 0.2 m × 0.2 m | 50/100/200 m/s | 10 m/s |
Disclaimer/Publisher’s Note: The statements, opinions and data contained in all publications are solely those of the individual author(s) and contributor(s) and not of MDPI and/or the editor(s). MDPI and/or the editor(s) disclaim responsibility for any injury to people or property resulting from any ideas, methods, instructions or products referred to in the content. |
© 2024 by the authors. Licensee MDPI, Basel, Switzerland. This article is an open access article distributed under the terms and conditions of the Creative Commons Attribution (CC BY) license (https://creativecommons.org/licenses/by/4.0/).
Share and Cite
Lian, D.; Gao, Y.; Lian, J. Cross-Water–Air Optical Wireless Communication Using Orthogonal Time–Frequency Space Modulation. Symmetry 2024, 16, 571. https://doi.org/10.3390/sym16050571
Lian D, Gao Y, Lian J. Cross-Water–Air Optical Wireless Communication Using Orthogonal Time–Frequency Space Modulation. Symmetry. 2024; 16(5):571. https://doi.org/10.3390/sym16050571
Chicago/Turabian StyleLian, Dianbin, Yan Gao, and Jie Lian. 2024. "Cross-Water–Air Optical Wireless Communication Using Orthogonal Time–Frequency Space Modulation" Symmetry 16, no. 5: 571. https://doi.org/10.3390/sym16050571
APA StyleLian, D., Gao, Y., & Lian, J. (2024). Cross-Water–Air Optical Wireless Communication Using Orthogonal Time–Frequency Space Modulation. Symmetry, 16(5), 571. https://doi.org/10.3390/sym16050571

