The Relation between Infants’ Manual Lateralization and Their Performance of Object Manipulation and Tool Use
Abstract
1. Introduction
1.1. Manual Lateralization and Motor Coordination
1.2. Manual Lateralization and Object Management/Construction
1.3. Manual Lateralization and Role-Differentiated Bimanual Manipulation
1.4. Manual Lateralization and Tool Use
1.5. Sex Differences in Manual Lateralization
1.6. Current Study
2. Methods
2.1. Participants
2.2. Procedures and Measures
2.2.1. Manual Lateralization in Object Acquisition
2.2.2. Role-Differentiated Bimanual Manipulation
2.2.3. Tool Use
2.3. Statistical Analyses
3. Results
3.1. Manual Lateralization in Object Acquisition
3.2. Manual Lateralization and RDBM Performance
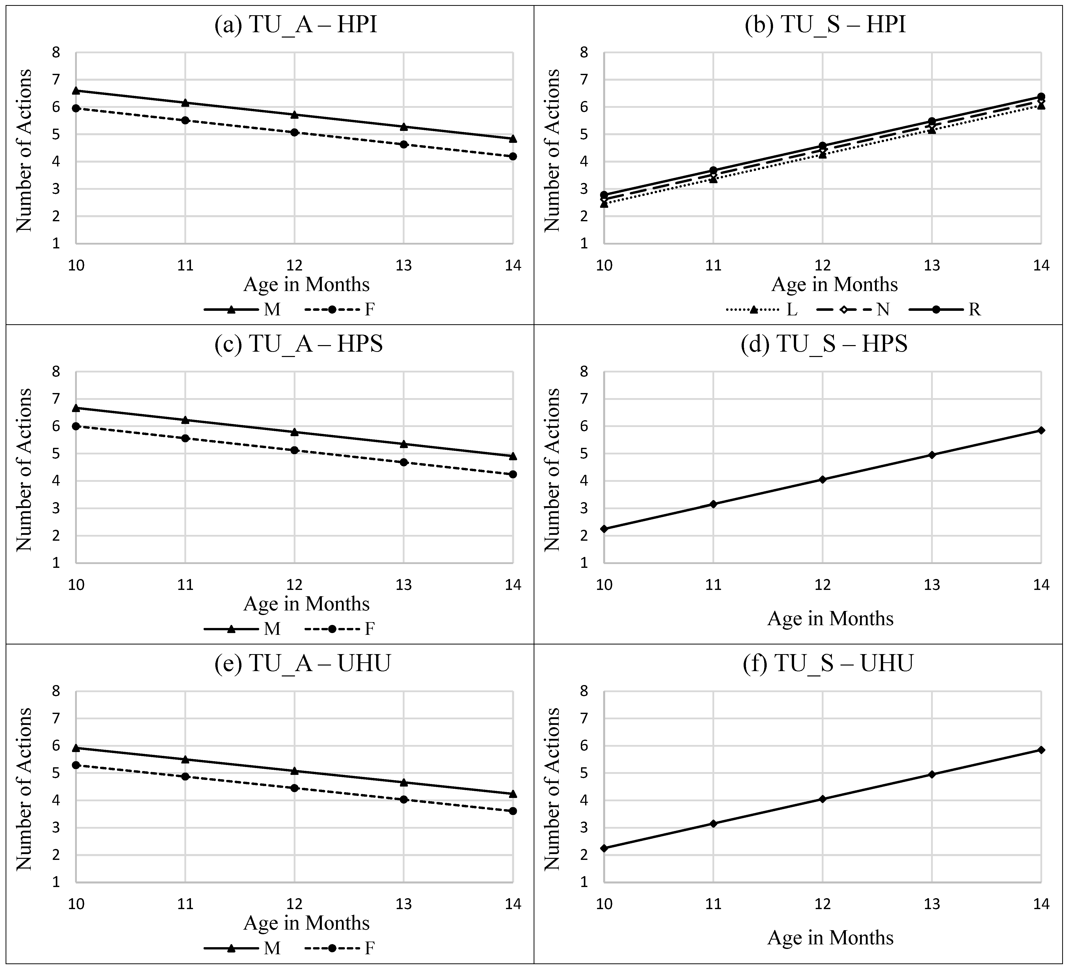
3.3. Manual Lateralization and Tool-Use Performance
4. Discussion
4.1. Manual Lateralization and RDBM Performance
4.2. Manual Lateralization and Tool-Use Performance
4.3. Manual Lateralization and Performance: The Role of Sex
4.4. Conclusions, Limitations, and Future Directions
Author Contributions
Funding
Institutional Review Board Statement
Informed Consent Statement
Data Availability Statement
Acknowledgments
Conflicts of Interest
References
- Michel, G.F.; Nelson, E.L.; Babik, I.; Campbell, J.M.; Marcinowski, E.C. Multiple trajectories in the developmental psychobiology of human handedness. Adv. Child Dev. Behav. 2013, 45, 227–260. [Google Scholar] [CrossRef] [PubMed]
- Babik, I.; Lobo, M.A. Hand-use preferences for reaching and object exploration in children with impaired upper extremity functioning: The role of environmental affordances. Symmetry 2023, 15, 2161. [Google Scholar] [CrossRef]
- Vallortigara, G.; Rogers, L.J. Survival with an asymmetrical brain: Advantages and disadvantages of cerebral lateralization. Behav. Brain Sci. 2005, 28, 575–633. [Google Scholar] [CrossRef]
- Pandya, D.; Karol, E.; Heilbronn, D. The topographical distribution of interhemispheric projections in the corpus callosum of the rhesus monkey. Brain Res. 1971, 32, 31–43. [Google Scholar] [CrossRef]
- Sperry, R.W. Cerebral organization and behavior. Science 1961, 133, 1749–1757. [Google Scholar] [CrossRef]
- Corballis, M.C. The evolution of lateralized brain circuits. Front. Psychol. 2017, 8, 1021. [Google Scholar] [CrossRef] [PubMed]
- Gazzaniga, M.S. Cerebral specialization and interhemispheric communication: Does the corpus callosum enable the human condition? Brain 2000, 123, 1293–1326. [Google Scholar] [CrossRef]
- Güntürkün, O.; Ocklenburg, S. Ontogenesis of lateralization. Neuron 2017, 94, 249–263. [Google Scholar] [CrossRef] [PubMed]
- Rogers, L.J.; Zucca, P.; Vallortigara, G. Advantages of having a lateralized brain. Proc. R. Soc. B 2004, 271, S420–S422. [Google Scholar] [CrossRef]
- Babik, I. From hemispheric asymmetry through sensorimotor experiences to cognitive outcomes in children with cerebral palsy. Symmetry 2022, 14, 345. [Google Scholar] [CrossRef]
- Ferre, C.L.; Babik, I.; Michel, G.F. A perspective on the development of hemispheric specialization, infant handedness, and cerebral palsy. Cortex 2020, 127, 208–220. [Google Scholar] [CrossRef] [PubMed]
- Kaufman, A.S.; Zalma, R.; Kaufman, N.L. The relationship of hand dominance to the motor coordination, mental ability, and right-left awareness of young normal children. Child Dev. 1978, 49, 885–888. [Google Scholar] [CrossRef] [PubMed]
- Peters, M.; Durding, B.M. Handedness measured by finger tapping: A continuous variable. Can. J. Psychol. 1978, 32, 257–261. [Google Scholar] [CrossRef] [PubMed]
- Gabbard, C.; Hart, S. Foot performance of right- and left-handers: A question of environmental influence. Percept. Mot. Skills 1995, 80, 671–674. [Google Scholar] [CrossRef] [PubMed]
- Gabbard, C.; Hart, S.; Kanipe, D. Hand preference consistency and fine motor performance in young children. Cortex 1993, 29, 749–753. [Google Scholar] [CrossRef] [PubMed]
- Rigal, R.A. Which handedness: Preference or performance? Percept. Mot. Skills 1992, 75, 851–866. [Google Scholar] [CrossRef]
- Souza, R.M.; de Azevedo Neto, R.M.; Tudella, E.; Teixeira, L.A. Is early manual preference in infants defined by intermanual performance asymmetry in reaching? Infant Behav. Dev. 2012, 35, 742–750. [Google Scholar] [CrossRef] [PubMed]
- Goldfield, E.C.; Michel, G.F. The ontogeny of infant bimanual reaching during the first year. Infant Behav. Dev. 1986, 9, 81–89. [Google Scholar] [CrossRef]
- Michel, G.F. Development of infant handedness. In Conceptions of Development; Lewkowicz, D.J., Lickliter, R., Eds.; Psychology Press: New York, NY, USA, 2002; pp. 165–186. [Google Scholar] [CrossRef]
- Fagard, J.; Corroyer, D. Using a continuous index of laterality to determine how laterality is related to interhemispheric transfer and bimanual coordination in children. Dev. Psychobiol. 2003, 43, 44–56. [Google Scholar] [CrossRef]
- Jeeves, M.A.; Silver, P.H.; Milne, A.B. Role of the corpus callosum in the development of a bimanual motor skill. Dev. Neuropsychol. 1988, 4, 305–323. [Google Scholar] [CrossRef]
- Luders, E.; Cherbuin, N.; Thompson, P.M.; Gutman, B.; Anstey, K.J.; Sachdev, P.; Toga, A.W. When more is less: Associations between corpus callosum size and handedness lateralization. Neuroimage 2010, 52, 43–49. [Google Scholar] [CrossRef]
- Preuss, U.W.; Meisenzahl, E.M.; Frodl, T.; Zetzsche, T.; Holder, J.; Leinsinger, G.; Hegerl, U.; Hahn, K.; Moller, H.J. Handedness and corpus callosum morphology. Psychiatry Res. 2002, 116, 33–42. [Google Scholar] [CrossRef] [PubMed]
- Sacco, S.; Moutard, M.L.; Fagard, J. Agenesis of the corpus callosum and the establishment of handedness. Dev. Psychobiol. 2006, 48, 472–481. [Google Scholar] [CrossRef] [PubMed]
- Boles, D.B.; Barth, J.M.; Merrill, E.C. Asymmetry and performance. Toward a neurodevelopmental theory. Brain Cogn. 2008, 66, 124–139. [Google Scholar] [CrossRef] [PubMed]
- Kotwica, K.A.; Ferre, C.L.; Michel, G.F. Relation of stable hand-use preferences to the development of skill for managing multiple objects from 7 to 13 months of age. Dev. Psychobiol. 2008, 50, 519–529. [Google Scholar] [CrossRef]
- Bruner, J.S. Beyond the Information Given; W.W. Norton and Co.: New York, NY, USA, 1973. [Google Scholar]
- Marcinowski, E.C.; Campbell, J.M.; Faldowski, R.A.; Michel, G.F. Do hand preferences predict stacking skill during infancy? Dev. Psychobiol. 2016, 58, 958–967. [Google Scholar] [CrossRef]
- Connolly, K.; Dalgleish, M. The emergence of a tool-using skill in infancy. Dev. Psychol. 1989, 25, 894. [Google Scholar] [CrossRef]
- Babik, I.; Michel, G.F. Development of role-differentiated bimanual manipulation in infancy: Part 1. The emergence of the skill. Dev. Psychobiol. 2016, 58, 243–256. [Google Scholar] [CrossRef]
- Michel, G.F.; Ovrut, M.R.; Harkins, D.A. Hand-use preference for reaching and object manipulation in 6- through 13-month-old infants. Genet. Soc. Gen. Psychol. Monogr. 1985, 111, 407–427. [Google Scholar]
- Ramsay, D.S. Fluctuations in unimanual hand preference in infants following the onset of duplicated syllable babbling. Dev. Psychol. 1985, 21, 318–324. [Google Scholar] [CrossRef]
- Serrien, D.J.; Sovijärvi-Spapé, M.M. Manual dexterity: Functional lateralisation patterns and motor efficiency. Brain Cogn. 2016, 108, 42–46. [Google Scholar] [CrossRef] [PubMed]
- Wolff, P.H.; Michel, G.F.; Ovrut, M.R. Rate and timing precision of motor coordination in developmental dyslexia. Dev. Psychol. 1990, 26, 82–89. [Google Scholar] [CrossRef]
- de Schonen, S. Functional asymmetries in the development of bimanual coordination in human infants. J. Hum. Mov. Stud. 1977, 3, 144–156. [Google Scholar]
- Fagard, J. Changes in grasping skills and the emergence of bimanual coordination during the first year of life. Clin. Dev. Med. 1998, 147, 123–143. [Google Scholar]
- Fagard, J.; Jacquet, A.Y. Onset of bimanual coordination and symmetry versus asymmetry of movement. Infant Behav. Dev. 1989, 12, 229–235. [Google Scholar] [CrossRef]
- Fagard, J.; Marks, A. Unimanual and bimanual tasks and the assessment of handedness in toddlers. Dev. Science 2000, 3, 137–147. [Google Scholar] [CrossRef]
- Fagard, J.; Pezé, A. Age changes in interlimb coupling and the development of bimanual coordination. J. Mot. Behav. 1997, 29, 199–208. [Google Scholar] [CrossRef] [PubMed]
- Kimmerle, M.; Ferre, C.L.; Kotwica, K.A.; Michel, G.F. Development of role-differentiated bimanual manipulation during the infant’s first year. Infant Behav. Dev. 2010, 52, 168–180. [Google Scholar] [CrossRef] [PubMed]
- Kimmerle, M.; Mick, L.A.; Michel, G.F. Bimanual role-differentiated toy play during infancy. Infant Behav. Dev. 1995, 18, 299–307. [Google Scholar] [CrossRef]
- Babik, I.; Michel, G.F. Development of role-differentiated bimanual manipulation in infancy: Part 3. Its relation to the development of bimanual object acquisition and bimanual non-differentiated manipulation. Dev. Psychobiol. 2016, 58, 268–277. [Google Scholar] [CrossRef]
- Kahrs, B.A.; Lockman, J.J. Tool use of objects emerge continuously. Enfance 2012, 64, 61–72. [Google Scholar] [CrossRef] [PubMed]
- Maravita, A.; Iriki, A. Tools for the body (schema). Trends Cogn. Sci. 2004, 8, 79–86. [Google Scholar] [CrossRef]
- Cox, R.F.; Smitsman, W. Action planning in young children’s tool use. Dev. Sci. 2006, 9, 628–641. [Google Scholar] [CrossRef] [PubMed]
- Bourgeois, K.S.; Khawar, A.W.; Neal, S.A.; Lockman, J.J. Infant manual exploration of objects, surfaces, and their interrelations. Infancy 2005, 8, 233–252. [Google Scholar] [CrossRef]
- Lockman, J.J. A perception–action perspective on tool use development. Child Dev. 2000, 71, 137–144. [Google Scholar] [CrossRef] [PubMed]
- Kahrs, B.A.; Lockman, J.J. Building tool use from object manipulation: A perception–action perspective. Ecol. Psychol. 2014, 26, 88–97. [Google Scholar] [CrossRef] [PubMed]
- Ladwig, S.; Sutter, C.; Müsseler, J. Crosstalk between proximal and distal action effects during tool use. J. Psychol. 2012, 220, 10–15. [Google Scholar] [CrossRef]
- Lockman, J.J.; Kahrs, B.A. New insights into the development of human tool use. Curr. Dir. Psychol. Sci. 2017, 26, 330–334. [Google Scholar] [CrossRef] [PubMed]
- Sommerville, J.A.; Hildebrand, E.A.; Crane, C.C. Experience matters: The impact of doing versus watching on infants’ subsequent perception of tool use events. Dev. Psychol. 2008, 44, 1249–1256. [Google Scholar] [CrossRef]
- Fagard, J.; Rat-Fischer, L.; O’Regan, J.K. The emergence of use of a rake-like tool: A longitudinal study in human infants. Front. Psychol. 2014, 5, 491. [Google Scholar] [CrossRef]
- Keen, R. The development of problem solving in young children: A critical cognitive skill. Annu. Rev. Psychol. 2011, 62, 1–21. [Google Scholar] [CrossRef]
- Claxton, L.; McCarty, M.E.; Keen, R. Self-directed action affects planning in tool-use task with toddlers. Infant Behav. Dev. 2009, 32, 230–233. [Google Scholar] [CrossRef] [PubMed]
- McCarty, M.E.; Clifton, R.K.; Collard, R.R. Problem solving in infancy: The emergence of an action plan. Dev. Psychol. 1999, 35, 1091–1101. [Google Scholar] [CrossRef] [PubMed]
- Geschwind, N.; Galaburda, A.M. Cerebral lateralization. Biological mechanisms, associations, and pathology: I. A hypothesis and a program for research. Arch. Neurol. 1985, 42, 428–459. [Google Scholar] [CrossRef] [PubMed]
- Hines, M.; Shipley, C. Prenatal exposure to diethylstilbestrol (DES) and the development of sexually dimorphic cognitive abilities and cerebral lateralization. Dev. Psychol. 1984, 20, 81–94. [Google Scholar] [CrossRef]
- Lust, J.M.; Geuze, R.H.; Van de Beek, C.; Cohen-Kettenis, P.T.; Groothuis, A.G.G.; Bouma, A. Sex specific effect of prenatal testosterone on language lateralization in children. Neuropsychologia 2010, 48, 536–540. [Google Scholar] [CrossRef]
- Wisniewski, A.B. Sexually-dimorphic patterns of cortical asymmetry, and the role for sex steroid hormones in determining cortical patterns of lateralization. Psychoneuroendocrinology 1998, 23, 519–547. [Google Scholar] [CrossRef] [PubMed]
- Witelson, S.F.; Nowakowski, R.S. Left out axons make men right: A hypothesis for the origin of handedness and functional asymmetry. Neuropsychologia 1991, 29, 327–333. [Google Scholar] [CrossRef]
- Hirnstein, M.; Hugdahl, K.; Hausmann, M. Cognitive sex differences and hemispheric asymmetry: A critical review of 40 years of research. Laterality 2019, 24, 204–252. [Google Scholar] [CrossRef]
- Hiscock, M.; Perachio, N.; Inch, R. Is there a sex difference in human laterality? IV. An exhaustive survey of dual-task interference studies from six neuropsychology journals. J. Clin. Exp. Neuropsychol. 2001, 23, 137–148. [Google Scholar] [CrossRef]
- Springer, S.P.; Deutsch, G. Left Brain, Right Brain; Freeman: New York, NY, USA, 1985. [Google Scholar]
- Voyer, D. On the magnitude of laterality effects and sex differences in functional lateralities. Laterality 1996, 1, 51–84. [Google Scholar] [CrossRef] [PubMed]
- Wallentin, M. Putative sex differences in verbal abilities and language cortex: A critical review. Brain Lang. 2009, 108, 175–183. [Google Scholar] [CrossRef] [PubMed]
- Denenberg, V.H.; Kertesz, A.; Cowell, P.E. A factor analysis of the human’s corpus callosum. Brain Res. 1991, 548, 126–132. [Google Scholar] [CrossRef] [PubMed]
- Habib, M.; Gayraud, D.; Oliva, A.; Regis, J.; Salamon, G.; Khalil, R. Effects of handedness and sex on the morphology of the corpus callosum: A study with brain magnetic resonance imaging. Brain Cogn. 1991, 16, 41–61. [Google Scholar] [CrossRef] [PubMed]
- Welcome, S.E.; Chiarello, C.; Towler, S.; Halderman, L.K.; Otto, R.; Leonard, C.M. Behavioral correlates of corpus callosum size: Anatomical/behavioral relationships vary across sex/handedness groups. Neuropsychologia 2009, 47, 2427–2435. [Google Scholar] [CrossRef] [PubMed]
- Babik, I.; Campbell, J.M.; Michel, G.F. Postural influences on the development of infant lateralized and symmetric hand-use. Child Dev. 2014, 85, 294–307. [Google Scholar] [CrossRef] [PubMed]
- Michel, G.F.; Babik, I.; Sheu, C.F.; Campbell, J.M. Latent classes in the developmental trajectories of infant handedness. Dev. Psychol. 2014, 50, 349–359. [Google Scholar] [CrossRef][Green Version]
- Michel, G.F.; Sheu, C.F.; Brumley, M.R. Evidence of a right-shift factor affecting infant hand-use preferences from 7 to 11 months of age as revealed by latent class analysis. Dev. Psychobiol. 2002, 40, 1–13. [Google Scholar] [CrossRef] [PubMed]
- Raudenbush, S.; Bryk, A.; Cheong, Y.F.; Congdon, R.; du Toit, M. HLM 6: Hierarchical Linear and Nonlinear Modeling; Scientific Software International, Inc.: Lincolnwood, IL, USA, 2004. [Google Scholar]
- Cohen, J. Statistical Power Analysis for the Behavioral Sciences, 2nd ed.; Lawrence Erlbaum Associates: Hillsdale, NJ, USA, 1988. [Google Scholar]
- Sawilowsky, S.S. New effect size rules of thumb. J. Mod. Appl. Stat. Methods 2009, 8, 467–474. [Google Scholar] [CrossRef]
- Carlson, D.F.; Harris, L.J. Development of the infant’s hand preference for visually directed reaching: Preliminary report of a longitudinal study. IMHJ 1985, 6, 158–174. [Google Scholar] [CrossRef]
- Corbetta, D.; Thelen, E. Lateral biases and fluctuations in infants’ spontaneous arm movements and reaching. Dev. Psychobiol. 1999, 34, 237–255. [Google Scholar] [CrossRef]
- Fagard, J.; Lockman, J. The effect of task constraints on infants’ (bi)manual strategy for grasping and exploring objects. Infant Behav. Dev. 2005, 28, 305–315. [Google Scholar] [CrossRef]
- Hiscock, M.; Chapieski, L. Hand preference, manual asymmetry, and manual skill. In Developmental Motor Disorders: A Neuropsychological Perspective; Dewey, D., Tupper, D.E., Eds.; Guilford Press: New York, NY, USA, 2004; pp. 353–388. [Google Scholar]
- Jacobsohn, L.; Rodrigues, P.; Vasconcelos, O.; Corbetta, D.; Barreiros, J. Lateral manual asymmetries: A longitudinal study from birth to 24 months. Dev. Psychobiol. 2014, 56, 58–72. [Google Scholar] [CrossRef] [PubMed]
- McCormick, C.M.; Maurer, D.M. Unimanual hand preferences in 6-month-olds: Consistency and relation to familial handedness. Infant Behav. Dev. 1988, 11, 21–29. [Google Scholar] [CrossRef]
- McManus, I.C.; Sik, G.; Cole, D.R.; Mellon, A.F.; Wong, J.; Kloss, J. The development of handedness in children. Br. J. Dev. Psychol. 1988, 6, 257–273. [Google Scholar] [CrossRef]
- Brandi, M.L.; Wohlschläger, A.; Sorg, C.; Hermsdörfer, J. The neural correlates of planning and executing actual tool use. J. Neurosci. 2014, 34, 13183–13194. [Google Scholar] [CrossRef]
- Frey, S.H. Tool use, communicative gesture and cerebral asymmetries in the modern human brain. Philos. Trans. R. Soc. B 2008, 363, 1951–1957. [Google Scholar] [CrossRef]
- Boulinguez, P.; Nougier, V.; Velay, J.L. Manual asymmetries in reaching movement control. I: Study of right-handers. Cortex 2001, 37, 101–122. [Google Scholar] [CrossRef]
- Bradshaw, J.L.; Bradshaw, J.A.; Nettleton, N.C. Abduction, adduction and hand differences in simple and serial movements. Neuropsychologia 1990, 28, 917–931. [Google Scholar] [CrossRef]
- Goodale, M.A. Brain asymmetries in the control of reaching. In Vision and Action: The Control of Grasping; Goodale, M.A., Ed.; Ablex: Norwood, NJ, USA, 1990; pp. 14–32. [Google Scholar]
- Babik, I.; Michel, G.F. Development of role-differentiated bimanual manipulation in infancy: Part 2. Hand preferences for object acquisition and RDBM—Continuity or discontinuity? Dev. Psychobiol. 2016, 58, 257–267. [Google Scholar] [CrossRef]
- Nelson, E.L.; Campbell, J.M.; Michel, G.F. Unimanual to bimanual: Tracking the development of handedness from 6 to 24 months. Infant Behav. Dev. 2013, 36, 181–188. [Google Scholar] [CrossRef]
- Tuncer, M.C.; Hatipoglu, E.S.; Ozates, M. Sexual dimorphism and handedness in the human corpus callosum based on magnetic resonance imaging. Surg. Radiol. Anat. 2005, 27, 254–259. [Google Scholar] [CrossRef]
- Witelson, S.F.; Goldsmith, C.H. The relationship of hand preference to anatomy of the corpus callosum in men. Brain Res. 1991, 545, 175–182. [Google Scholar] [CrossRef]
- Raaf, N.; Westerhausen, R. Hand preference and the corpus callosum: Is there really no association? Neuroimage Rep. 2023, 3, 100160. [Google Scholar] [CrossRef]
- Westerhausen, R.; Papadatou-Pastou, M. Handedness and midsagittal corpus callosum morphology: A meta-analytic evaluation. Brain Struct. Funct. 2022, 227, 545–559. [Google Scholar] [CrossRef]
- Baxter, P.; Morris, C.; Rosenbaum, P.; Paneth, N.; Leviton, A.; Goldstein, M.; Bax, M.; Colver, A.; Damiano, D.; Graham, H.K.; et al. The definition and classification of cerebral palsy. Dev. Med. Child Neurol. 2007, 49, 1–44. [Google Scholar] [CrossRef]
- Morris, C. Definition and classification of cerebral palsy: A historical perspective. Dev. Med. Child Neurol. 2007, 49, 3–7. [Google Scholar] [CrossRef] [PubMed]
- Bamshad, M.; Van Heest, A.E.; Pleasure, D. Arthrogryposis: A review and update. J. Bone Jt. Surg. 2009, 91, 40–46. [Google Scholar] [CrossRef]
- Wallach, E.; Walther, L.U.; Espil-Taris, C.; Rivier, F.; Baudou, E.; Cances, C. Arthrogryposis in children: Etiological assessments and preparation of a protocol for etiological investigations. Arch. Pediatr. 2018, 25, 322–326. [Google Scholar] [CrossRef] [PubMed]
- Fox, N.A. The relationship of perinatal birth status to handedness: A prospective study. Infant Ment. Health J. 1985, 6, 175–184. [Google Scholar] [CrossRef]
- Garcia, J.M.; Teixeira, L.A. Modulating children’s manual preference through spontaneous nondominant hand use. Percept. Mot. Skills 2017, 124, 932–945. [Google Scholar] [CrossRef] [PubMed]
- Lin, K.R.; Prabhu, V.; Shah, H.; Kamath, A.; Joseph, B. Handedness in diplegic cerebral palsy. Dev. Neurorehabilit. 2012, 15, 386–389. [Google Scholar] [CrossRef] [PubMed]
- Kokštejn, J.; Musálek, M.; Tufano, J.J. Are sex differences in fundamental motor skills uniform throughout the entire preschool period? PLoS ONE 2017, 12, e0176556. [Google Scholar] [CrossRef] [PubMed]





| Trial # | Tool | Object | Correct Tool-Use Action |
|---|---|---|---|
| 1 | Mallet | Xylophone | The stick hits the top of the xylophone (at least 2 hits) |
| 2 | Block | Base | The block rubs on the base (no banging) |
| 3 | Hammer | Pegs | The hammer hits the pegs (at least 2 hits) |
| 4 | Roller | Cake | The roller rolls on the top of the cake (no banging) |
| 5 | Brush | Bowl | The brush strokes inside the bowl (no banging) |
| 6 | Wooden brush | Keys | The out-of-reach keys are moved towards the child |
| 7 | Hand stick | Chicken | The hand stick is inserted in the chicken (either stick or hand side) |
| 8 | Rake | Caterpillar | The out-of-reach caterpillar is moved towards the child |
| 9 | Stick | Food box | The stick successfully catches a food piece from the box |
| 10 | Crayon | Cake | The crayon is “drawing” on the top of the cake (no banging) |
| Dependent Variables | Statistical Parameters |
|---|---|
| HPI | Intercept: β = 0.71, SE = 0.46, t(156) = 1.54, p = .125 SEX: β = 0.26, SE = 0.23, t(156) = 1.15, p = .254 AGE: β = −0.004, SE = 0.04, t(157) = −0.12, p = .906 |
| HPS | Intercept: β = 6.37, SE = 2.54, t(156) = 2.51, p = .013 SEX: β = −10.14, SE = 4.29, t(156) = −2.36, p = .019 AGE: β = −0.73, SE = 0.44, t(156) = −1.67, p = .097 AGE*SEX: β = 1.76, SE = 0.74, t(156) = 2.38, p = .018 AGE2: β = 0.03, SE = 0.02, t(561) = 1.51, p = .132 AGE2*SEX: β = −0.08, SE = 0.03, t(561) = −2.40, p = .017 |
| UHU | Intercept: β = 0.94, SE = 0.04, t(156) = 23.99, p < .001 SEX: β = −0.05, SE = 0.02, t(156) = −2.53, p = .012 AGE: β = −0.02, SE = 0.003, t(157) = −6.49, p < .001 |
| Independent Variables | Dependent Variables |
|---|---|
| Simple RDBMs | |
| HPI | Intercept: β = −26.70, SE = 10.25, t(156) = −2.60, p = .010 SEX: β = 42.74, SE = 16.49, t(156) = 2.59, p = .010 AGE: β = 6.47, SE = 1.79, t(716) = 3.62, p < .001 AGE*SEX: β = −7.25, SE = 2.87, t(716) = −2.53, p = .012 AGE2: β = −0.26, SE = 0.08, t(716) = −3.42, p < .001 AGE2*SEX: β = 0.30, SE = 0.12, t(716) = 2.44, p = .015 HPI: β = −0.14, SE = 0.10, t(716) = −1.51, p = .132, d = 0.11 |
| HPS | Intercept: β = −23.90, SE = 11.19, t(156) = −2.14, p = .034 SEX: β = 39.20, SE = 18.27, t(156) = 2.15, p = .033 AGE: β = 6.10, SE = 1.91, t(716) = 3.20, p = .001 AGE*SEX: β = −6.64, SE = 3.13, t(716) = −2.12, p = .034 AGE2: β = −0.25, SE = 0.08, t(716) = −3.08, p = .002 AGE2*SEX: β = 0.27, SE = 0.13, t(716) = 2.06, p = .039 HPS: β = −0.35, SE = 0.15, t(716) = −2.37, p = .018, d = 0.18 |
| UHU | Intercept: β = −23.89, SE = 11.07, t(156) = −2.16, p = .033 SEX: β = 42.32, SE = 18.43, t(156) = 2.30, p = .023 AGE: β = 6.39, SE = 1.89, t(156) = 3.38, p < .001 AGE*SEX: β = −7.22, SE = 3.16, t(156) = −2.29, p = .024 AGE2: β = −0.26, SE = 0.08, t(560) = −3.28, p = .001 AGE2*SEX: β = 0.30, SE = 0.13, t(560) = 2.24, p = .026 UHU: β = −2.99, SE = 1.08, t(560) = −2.77, p = .006, d = 0.23 |
| Difficult RDBMs | |
| HPI | Intercept: β = −17.08, SE = 0.99, t(156) = −17.35, p < .001 SEX: β = 1.93, SE = 0.50, t(156) = 3.84, p < .001 AGE: β = 2.17, SE = 0.09, t(157) = 24.00, p < .001 HPI: β = −0.05, SE = 0.07, t(562) = −0.74, p = .461, d = 0.06 |
| HPS | Intercept: β = −16.10, SE = 1.05, t(156) = −15.27, p < .001 SEX: β = 1.90, SE = 0.50, t(156) = 3.84, p < .001 AGE: β = 2.14, SE = 0.09, t(157) = 23.63, p < .001 HPS: β = −0.38, SE = 0.11, t(562) = −3.37, p < .001, d = 0.28 |
| UHU | Intercept: β = −14.98, SE = 1.32, t(156) = −11.34, p < .001 SEX: β = 1.81, SE = 0.50, t(156) = 3.61, p < .001 AGE: β = 2.12, SE = 0.09, t(157) = 22.79, p < .001 UHU: β = −2.27, SE = 0.88, t(562) = −2.58, p = .001, d = 0.22 |
| Independent Variables | Dependent Variables |
|---|---|
| Incorrect Tool-Use Actions (TU_ATT) | |
| HPI | Intercept: β = 11.00, SE = 1.28, t(106) = 8.59, p < .001 SEX: β = −0.65, SE = 0.28, t(106) = −2.34, p = .021 AGE: β = −0.44, SE = 0.10, t(107) = −4.24, p < .001 HPI: β = −0.07, SE = 0.07, t(317) = −1.06, p = .292, d = 0.12 |
| HPS | Intercept: β = 11.07, SE = 1.26, t(106) = 8.78, p < .001 SEX: β = −0.67, SE = 0.28, t(106) = −2.41, p = .018 AGE: β = −0.44, SE = 0.10, t(107) = −4.28, p < .001 HPS: β = −0.06, SE = 0.11, t(317) = −0.58, p = .562, d = 0.07 |
| UHU | Intercept: β = 10.12, SE = 1.38, t(106) = 7.31, p < .001 SEX: β = −0.63, SE = 0.28, t(106) = −2.21, p = .029 AGE: β = −0.42, SE = 0.10, t(107) = −4.14, p < .001 UHU: β = 0.88, SE = 0.81, t(317) = 1.09, p = .278, d = 0.12 |
| Correct Tool-Use Actions (TU_S) | |
| HPI | Intercept: β = −6.38, SE = 0.65, t(107) = −9.77, p < .001 AGE: β = 0.90, SE = 0.05, t(107) = 17.32, p < .001 HPI: β = 0.08, SE = 0.03, t(317) = 2.26, p = .025, d = 0.25 |
| HPS | Intercept: β = −6.36, SE = 0.67, t(107) = −9.52, p < .001 AGE: β = 0.89, SE = 0.05, t(107) = 17.20, p < .001 HPS: β = 0.04, SE = 0.05, t(317) = 0.72, p = .472, d = 0.08 |
| UHU | Intercept: β = −6.75, SE = 0.78, t(107) = −8.61, p < .001 AGE: β = 0.91, SE = 0.05, t(107) = 17.10, p < .001 UHU: β = 0.55, SE = 0.46, t(317) = 1.20, p = .233, d = 0.13 |
Disclaimer/Publisher’s Note: The statements, opinions and data contained in all publications are solely those of the individual author(s) and contributor(s) and not of MDPI and/or the editor(s). MDPI and/or the editor(s) disclaim responsibility for any injury to people or property resulting from any ideas, methods, instructions or products referred to in the content. |
© 2024 by the authors. Licensee MDPI, Basel, Switzerland. This article is an open access article distributed under the terms and conditions of the Creative Commons Attribution (CC BY) license (https://creativecommons.org/licenses/by/4.0/).
Share and Cite
Babik, I.; Llamas, K.; Michel, G.F. The Relation between Infants’ Manual Lateralization and Their Performance of Object Manipulation and Tool Use. Symmetry 2024, 16, 434. https://doi.org/10.3390/sym16040434
Babik I, Llamas K, Michel GF. The Relation between Infants’ Manual Lateralization and Their Performance of Object Manipulation and Tool Use. Symmetry. 2024; 16(4):434. https://doi.org/10.3390/sym16040434
Chicago/Turabian StyleBabik, Iryna, Kylie Llamas, and George F. Michel. 2024. "The Relation between Infants’ Manual Lateralization and Their Performance of Object Manipulation and Tool Use" Symmetry 16, no. 4: 434. https://doi.org/10.3390/sym16040434
APA StyleBabik, I., Llamas, K., & Michel, G. F. (2024). The Relation between Infants’ Manual Lateralization and Their Performance of Object Manipulation and Tool Use. Symmetry, 16(4), 434. https://doi.org/10.3390/sym16040434

