Analysis of Magnetohydrodynamic Free Convection in Micropolar Fluids over a Permeable Shrinking Sheet with Slip Boundary Conditions
Abstract
1. Introduction
2. Materials and Methods
2.1. Mathematical Formulations
2.2. Methodology
2.3. Zeroth-Order Deformation Problems
2.4. mth-Order Deformation Problem
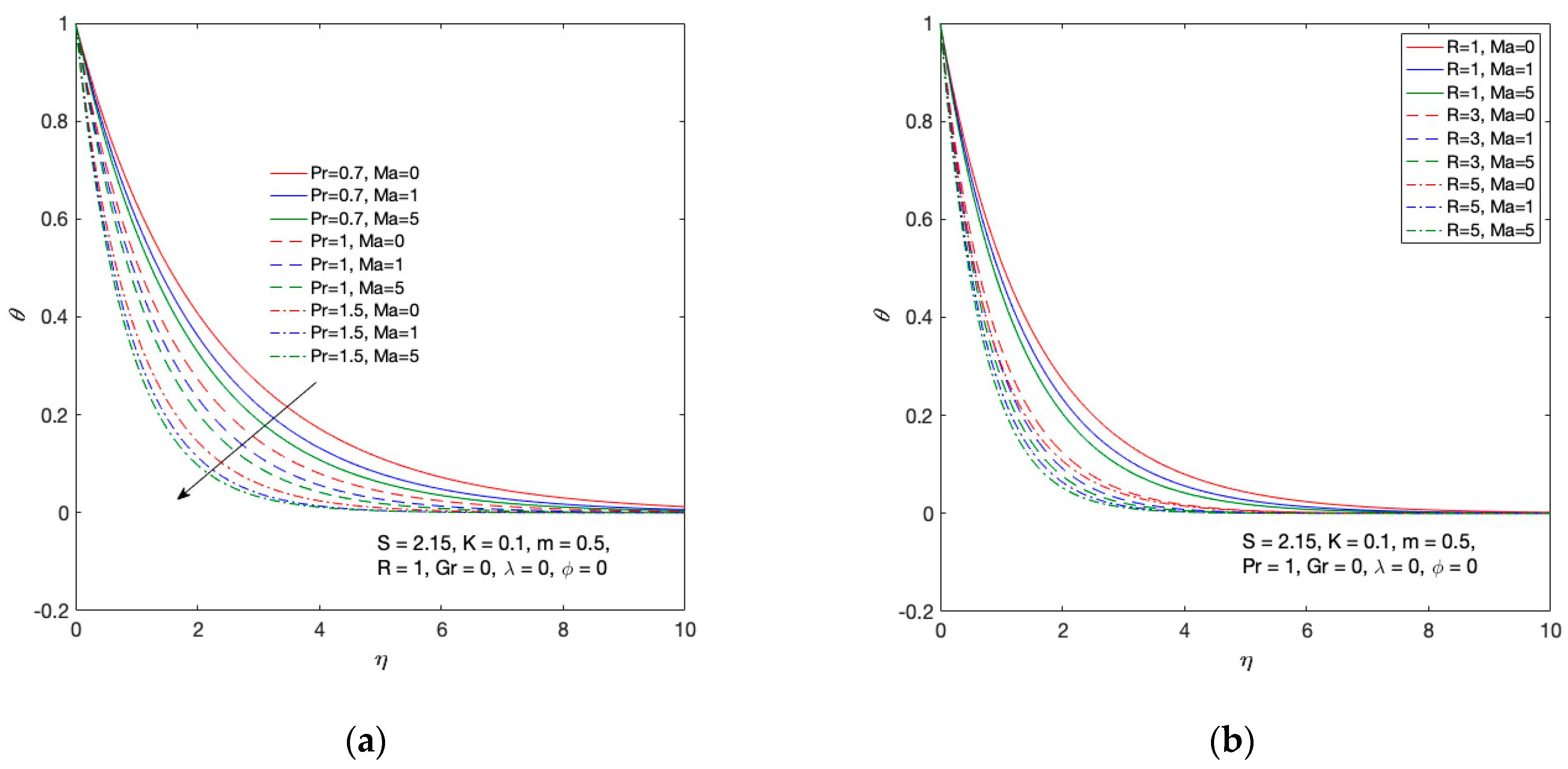
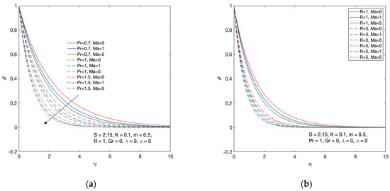
3. Results
4. Conclusions
- Incorporating slip conditions at the boundary significantly affects the flow behavior near the surface. The altered velocity profiles and shear stress distributions due to slip have notable implications for boundary layer development and heat transfer rates.
- The study underscores the significant impact of magnetic fields and micropolar fluid characteristics on flow patterns, heat transfer, and microrotation effects. The interplay of these factors governs the system’s overall behavior, influencing boundary layer development and flow structures.
- The micropolar fluid properties, particularly the microinertia density and material constants, are crucial in shaping the flow patterns, micro-rotational effects, and thermal characteristics. These parameters influence the fluid’s response to the shrinking sheet and permeability effects.
- Efforts have been made to validate theoretical findings by comparing them with the available literature to ensure the accuracy and reliability of the proposed model and the numerical solutions obtained. The present solutions agree with the first solution given in [31] by Bhattacharyya et al.
Author Contributions
Funding
Data Availability Statement
Conflicts of Interest
Nomenclature
| Cartesian coordinates | gravity |
| Magnetic field component | Dimensionless function |
| Temperature | Dynamic viscosity |
| Temperature at the sheet | free stream temperature |
| Micro inertia | Shrinking constant |
| magnetic parameter | Density |
| Vortex viscosity | Velocity vector |
| Microrotation or angular velocity | Spin gradient viscosity |
| Thermal conductivity | Coefficient of viscosity |
| Wall mass transfer | Conductivity of the medium |
| Constant | Sheet permeability |
| Material parameter | Radiative heat flux |
| Absorption coefficient | Source/sink coefficient |
| Stefan–Boltzmann constant | Specific heat |
| Prandtl number | Radiation parameter |
| Grashof number | Heat source parameter |
| Stream function | Non-dimensional length or variable |
| Wall mass transfer parameter | Slip coefficient |
| Linear operator | Initial guess for OHAM |
| Auxiliary function | Embedding parameter |
| Control convergence parameter | Non- linear operator |
References
- Sakiadis, B.C. Boundary-layer behavior on continuous solid surfaces: I. Boundary-layer equations for two-dimensional and axisymmetric flow. AIChE J. 1961, 7, 26–28. [Google Scholar] [CrossRef]
- Sakiadis, B.C. Boundary-layer behavior on continuous solid surfaces: II. The boundary layer on a continuous flat surface. AiChE J. 1961, 7, 221–225. [Google Scholar] [CrossRef]
- Sakiadis, B.C. Boundary-layer behavior on continuous solid surfaces: III. The boundary layer on a continuous cylindrical surface. AiChE J. 1961, 7, 467–472. [Google Scholar] [CrossRef]
- Crane, L.J. Flow past a stretching plate. Z. Für Angew. Math. Und Phys. ZAMP 1970, 21, 645–647. [Google Scholar] [CrossRef]
- Afzal, N. Momentum transfer on power law stretching plate with free stream pressure gradient. Int. J. Eng. Sci. 2003, 41, 1197–1207. [Google Scholar] [CrossRef]
- Fang, T. Similarity solutions for a moving-flat plate thermal boundary layer. Acta Mech. 2003, 163, 161–172. [Google Scholar] [CrossRef]
- Fang, T.; Zhang, J.; Yao, S. Slip MHD viscous flow over a stretching sheet—An exact solution. Commun. Nonlinear Sci. Numer. Simul. 2009, 14, 3731–3737. [Google Scholar] [CrossRef]
- Fang, T.; Jing, W. Flow, heat, and species transfer over a stretching plate considering coupled Stefan blowing effects from species transfer. Commun. Nonlinear Sci. Numer. Simul. 2014, 19, 3086–3097. [Google Scholar] [CrossRef]
- Kudenatti, R.B.; Kirsur, S.R.; Achala, L.N.; Bujurke, N.M. MHD boundary layer flow over a nonlinear stretching boundary with suction and injection. Int. J. Non-Linear Mech. 2013, 50, 58–67. [Google Scholar] [CrossRef]
- Wang, C.Y. Analysis of viscous flow due to a stretching sheet with surface slip and suction. Nonlinear Anal. Real World Appl. 2009, 10, 375–380. [Google Scholar] [CrossRef]
- Chen, C.-H. Heat transfer in a power-law fluid film over a unsteady stretching sheet. Heat Mass Transf. 2003, 39, 791–796. [Google Scholar] [CrossRef]
- Pal, D.; Hiremath, P.S. Computational modeling of heat transfer over an unsteady stretching surface embedded in a porous medium. Meccanica 2010, 45, 415–424. [Google Scholar] [CrossRef]
- ERINGEN, A.C. Theory of Micropolar Fluids. J. Math. Mech. 1966, 16, 1–18. Available online: http://www.jstor.org/stable/24901466 (accessed on 28 January 2024). [CrossRef]
- Turk, T.A.M.A.; Sylvester, N.D. Application of microcontinum fluid mechanics. Int. J. Eng. Sci. 1974, 12, 273–293. [Google Scholar]
- Lukaszewicz, G. Micropolar Fluids: Theory and Applications; Modeling and Simulation in Science, Engineering and Technology; Birkhäuser: Basel, Switzerland, 1999. [Google Scholar]
- Ramachandran, P.S.; Mathur, M.N.; Ojha, S.K. Heat transfer in boundary layer flow of a micropolar fluid past a curved surface with suction and injection. Int. J. Eng. Sci. 1979, 17, 625–639. [Google Scholar] [CrossRef]
- Miklavčič, M.; Wang, C.Y. Viscous flow due to a shrinking sheet. Q. Appl. Math. 2006, 64, 283–290. [Google Scholar] [CrossRef]
- Wang, C.Y. Stagnation flow towards a shrinking sheet. Int. J. Nonlinear Mech. 2008, 43, 377–382. [Google Scholar] [CrossRef]
- Fang, T. Boundary layer flow over a shrinking sheet with power-law velocity. Int. J. Heat Mass Transf. 2008, 51, 5838–5843. [Google Scholar] [CrossRef]
- Fang, T.; Liang, W.; Lee, C.-F.F. A new solution branch for the Blasius equation—A shrinking sheet problem. Comput. Math. Appl. 2008, 56, 3088–3095. [Google Scholar] [CrossRef]
- Fang, T.; Zhang, J. Closed-form exact solutions of MHD viscous flow over a shrinking sheet. Commun. Nonlinear Sci. Numer. Simul. 2009, 14, 2853–2857. [Google Scholar] [CrossRef]
- Fang, T.-G.; Zhang, J.; Yao, S.-S. Viscous flow over an unsteady shrinking sheet with mass transfer. Chin. Phys. Lett. 2009, 26, 014703. [Google Scholar] [CrossRef]
- Fang, T.; Zhang, J. Thermal boundary layers over a shrinking sheet: An analytical solution. Acta Mech. 2010, 209, 325–343. [Google Scholar] [CrossRef]
- Fang, T.; Yao, S.; Zhang, J.; Aziz, A. Viscous flow over a shrinking sheet with a second order slip flow model. Commun. Nonlinear Sci. Numer. Simul. 2010, 15, 1831–1842. [Google Scholar] [CrossRef]
- Sajid, M.; Javed, T.; Hayat, T. MHD rotating flow of a viscous fluid over a shrinking surface. Nonlinear Dyn. 2008, 51, 259–265. [Google Scholar] [CrossRef]
- Yacob, N.A.; Ishak, A. Micropolar fluid flow over a shrinking sheet. Meccanica 2012, 47, 293–299. [Google Scholar] [CrossRef]
- Turkyilmazoglu, M. Mixed convection flow of magnetohydrodynamic micropolar fluid due to a porous heated/cooled deformable plate: Exact solutions. Int. J. Heat Mass Transf. 2017, 106, 127–134. [Google Scholar] [CrossRef]
- Nield, D.A.; Kuznetsov, A.V. The Cheng-Minkowycz problem for natural convective boundary-layer flow in a porous medium saturated by a nanofluid. Int. J. Heat Mass Transf. 2009, 52, 5796–5801. [Google Scholar] [CrossRef]
- Ali, F.M.; Nazar, R.; Arifin, N.M.; Pop, I. Unsteady flow and heat transfer past an axisymmetric permeable shrinking sheet with radiation effect. Int. J. Numer. Methods Fluids 2011, 67, 1310–1320. [Google Scholar] [CrossRef]
- Bhattacharyya, K.; Layek, G.C. Effects of suction/blowing on steady boundary layer stagnation-point flow and heat transfer towards a shrinking sheet with thermal radiation. Int. J. Heat Mass Transf. 2011, 54, 302–307. [Google Scholar] [CrossRef]
- Bhattacharyya, K.; Mukhopadhyay, S.; Layek, G.C.; Pop, I. Effects of thermal radiation on micropolar fluid flow and heat transfer over a porous shrinking sheet. Int. J. Heat Mass Transf. 2012, 55, 2945–2952. [Google Scholar] [CrossRef]
- Dash, G.C.; Tripathy, R.S.; Rashidi, M.M.; Mishra, S.R. Numerical approach to boundary layer stagnation-point flow past a stretching/shrinking sheet. J. Mol. Liq. 2016, 221, 860–866. [Google Scholar] [CrossRef]
- Mishra, S.R.; Khan, I.; Al-mdallal, Q.M.; Asifa, T. Free convective micropolar fluid flow and heat transfer over a shrinking sheet with heat source. Case Stud. Therm. Eng. 2018, 11, 113–119. [Google Scholar] [CrossRef]
- Bejan, A. Convection Heat Transfer, 4th ed.; Wiley: Hoboken, NJ, USA, 2013. [Google Scholar]
- Mansur, S.; Ishak, A.; Pop, I. Flow and heat transfer of nanofluid past Stretching/shrinking sheet with partial slip boundary conditions. Appl. Math. Mech.-Engl. Ed. 2014, 35, 1401–1410. [Google Scholar] [CrossRef]
- Baranovskii, E.S. Optimal Control for steady flows of the Jeffreys Fluids with slip boundary condition. J. Appl. Ind. Math. 2014, 8, 168–176. [Google Scholar] [CrossRef]
- Dero, S.; Rohni, A.M.; Saaban, A. MHD micropolar nanofluid flow over an exponentially stretching/shrinking surface: Triple solutions. J. Adv. Res. Fluid Mech. Therm. Sci. 2019, 56, 165–174. [Google Scholar]
- Bhat, A.; Katagi, N.N. Magnetohydrodynamic flow of micropolar fluid and heat transfer between a porous and a non-porous disk. J. Adv. Res. Fluid Mech. Therm. Sci. 2020, 75, 59–78. [Google Scholar] [CrossRef]
- Guedri, K.; Mahmood, Z.; Fadhl, B.M.; Makhdoum, B.M.; Eldin, S.M.; Khan, U. Mathematical analysis of nonlinear thermal radiation and nanoparticle aggregation on unsteady MHD flow of micropolar nanofluid over shrinking sheet. Heliyon 2023, 9, e14248. [Google Scholar] [CrossRef]
- Choi, C.K. Slip flow past a solid sphere in a viscous fluid. J. Fluid Mech. 1991, 227, 113–127. [Google Scholar]
- Liao, S. Homotopy Analysis Method in Nonlinear Differential Equations; Springer: Berlin/Heidelberg, Germany, 2012. [Google Scholar]












Disclaimer/Publisher’s Note: The statements, opinions and data contained in all publications are solely those of the individual author(s) and contributor(s) and not of MDPI and/or the editor(s). MDPI and/or the editor(s) disclaim responsibility for any injury to people or property resulting from any ideas, methods, instructions or products referred to in the content. |
© 2024 by the authors. Licensee MDPI, Basel, Switzerland. This article is an open access article distributed under the terms and conditions of the Creative Commons Attribution (CC BY) license (https://creativecommons.org/licenses/by/4.0/).
Share and Cite
Tangsali, P.R.; Katagi, N.N.; Bhat, A.; Shettar, M. Analysis of Magnetohydrodynamic Free Convection in Micropolar Fluids over a Permeable Shrinking Sheet with Slip Boundary Conditions. Symmetry 2024, 16, 400. https://doi.org/10.3390/sym16040400
Tangsali PR, Katagi NN, Bhat A, Shettar M. Analysis of Magnetohydrodynamic Free Convection in Micropolar Fluids over a Permeable Shrinking Sheet with Slip Boundary Conditions. Symmetry. 2024; 16(4):400. https://doi.org/10.3390/sym16040400
Chicago/Turabian StyleTangsali, Param R., Nagaraj N. Katagi, Ashwini Bhat, and Manjunath Shettar. 2024. "Analysis of Magnetohydrodynamic Free Convection in Micropolar Fluids over a Permeable Shrinking Sheet with Slip Boundary Conditions" Symmetry 16, no. 4: 400. https://doi.org/10.3390/sym16040400
APA StyleTangsali, P. R., Katagi, N. N., Bhat, A., & Shettar, M. (2024). Analysis of Magnetohydrodynamic Free Convection in Micropolar Fluids over a Permeable Shrinking Sheet with Slip Boundary Conditions. Symmetry, 16(4), 400. https://doi.org/10.3390/sym16040400

