Structure and Thermodynamics of Li+Arn Clusters beyond the Second Solvation Shell
Abstract
1. Introduction
2. Methods
2.1. Potential Energy Surface
2.2. Evolutionary Algorithm for Structure Optimization
2.3. Parallel Tempering Monte Carlo Method
3. Results and Discussion
3.1. Global Optimization
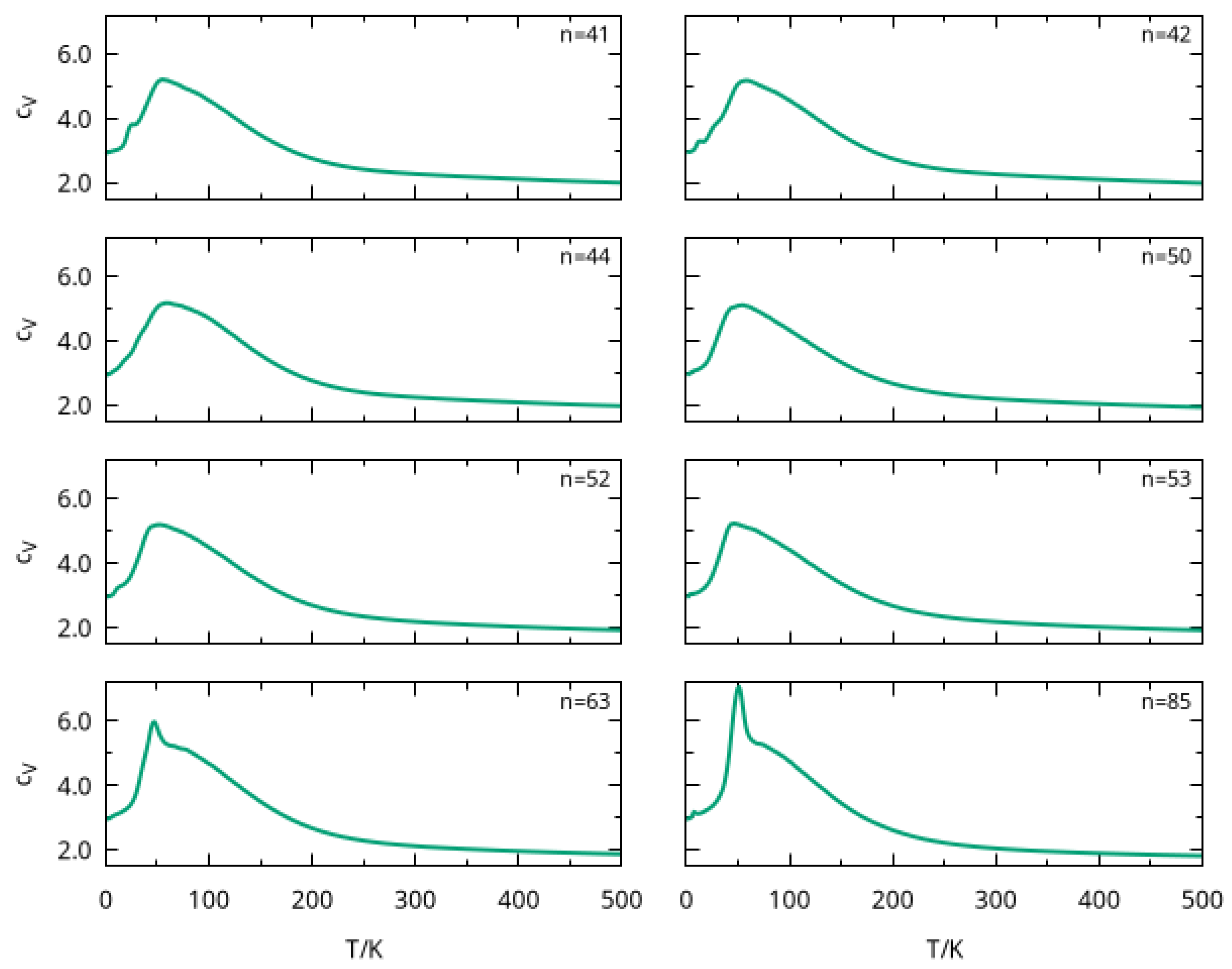
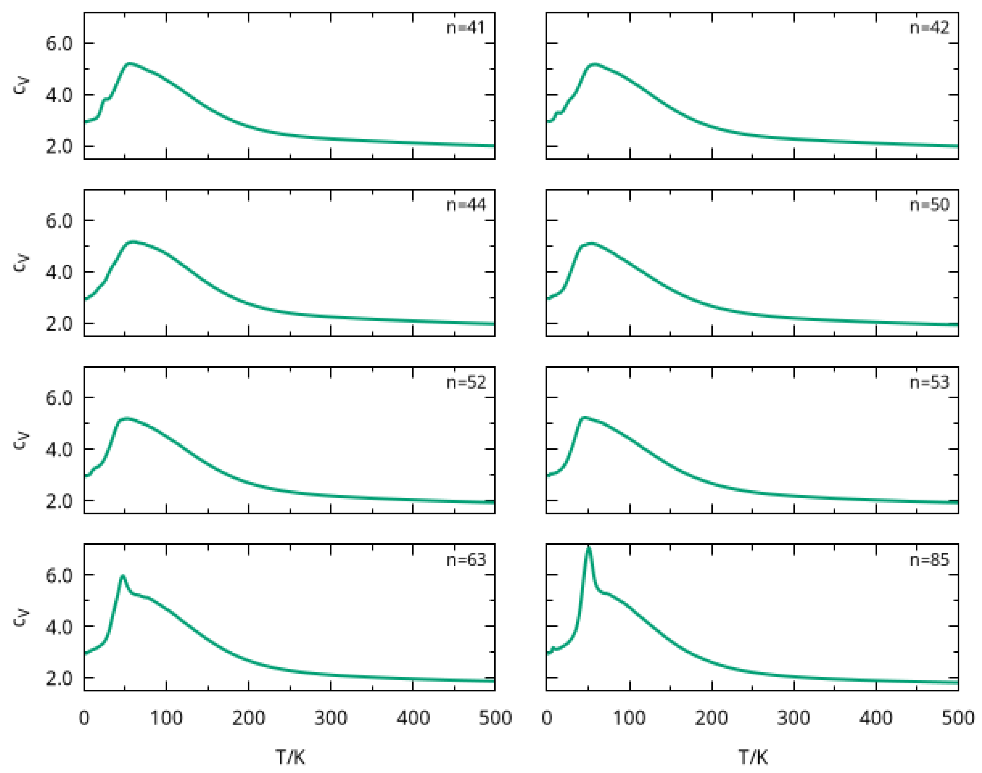
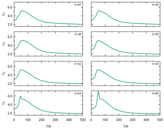
3.2. PTMC Calculations
4. Conclusions
Supplementary Materials
Author Contributions
Funding
Data Availability Statement
Acknowledgments
Conflicts of Interest
References
- Bäck, T.; Schwefel, H.P. An Overview of Evolutionary Algorithms for Parameter Optimization. Evol. Comput. 1993, 1, 1–23. [Google Scholar] [CrossRef]
- Hartke, B. Global Geometry Optimization of Clusters Using Genetic Algorithms. J. Phys. Chem. 1993, 97, 9973–9976. [Google Scholar] [CrossRef]
- Gregurick, S.K.; Alexander, M.H.; Hartke, B. Global geometry optimization of (Ar)n and B(Ar)n clusters using a modified genetic algorithm. J. Chem. Phys. 1996, 104, 2684–2691. [Google Scholar] [CrossRef]
- Wales, D.J.; Doye, J.P.K. Global Optimization by Basin-Hopping and the Lowest Energy Structures of Lennard-Jones Clusters Containing up to 110 Atoms. J. Phys. Chem. A 1997, 101, 5111–5116. [Google Scholar] [CrossRef]
- Li, Z.; Scheraga, H.A. Structure and free energy of complex thermodynamic systems. J. Mol. Struct. THEOCHEM 1988, 179, 333–352. [Google Scholar] [CrossRef]
- Iwamatsu, M. Applying evolutionary programming to structural optimization of atomic clusters. Comput. Phys. Commun. 2001, 142, 214–218. [Google Scholar] [CrossRef]
- Alexandrova, A.N.; Boldyrev, A.I. Search for the (n = 5–7) Lowest-Energy Structures Using the ab Initio Gradient Embedded Genetic Algorithm (GEGA). Elucidation of the Chemical Bonding in the Lithium Clusters. J. Chem. Theory Comput. 2005, 1, 566–580. [Google Scholar] [CrossRef] [PubMed]
- Alexandrova, A.N.; Boldyrev, A.I.; Fu, Y.J.; Yang, X.; Wang, X.B.; Wang, L.S. Structure of the Nax (x = 1–4) clusters via ab initio genetic algorithm and photoelectron spectroscopy. J. Chem. Phys. 2004, 121, 5709–5719. [Google Scholar] [CrossRef] [PubMed]
- Schulz, F.; Hartke, B. Dodecahedral Clathrate Structures and Magic Numbers in Alkali Cation Microhydration Clusters. ChemPhysChem 2002, 3, 98–106. [Google Scholar] [CrossRef] [PubMed]
- Hartke, B.; Charvat, A.; Reich, M.; Abel, B. Experimental and theoretical investigation of microsolvation of Na+-ions in the gas phase by high resolution mass spectrometry and global cluster geometry optimization. J. Chem. Phys. 2002, 116, 3588–3600. [Google Scholar] [CrossRef]
- Hernández-Rojas, J.; Wales, D.J. Global minima for rare gas clusters containing one alkali metal ion. J. Chem. Phys. 2003, 119, 7800. [Google Scholar] [CrossRef]
- Schulz, F.; Hartke, B. A new proposal for the reason of magic numbers in alkali cation microhydration clusters. Theor. Chem. Acc. 2005, 114, 357. [Google Scholar] [CrossRef]
- González, B.S.; Hernández-Rojas, J.; Wales, D.J. Global Minima and Energetics of Li+(H2O), and Ca2+(H2O)(n) Clusters for n <= 20. Chem. Phys. Lett. 2005, 412, 23–28. [Google Scholar]
- Rhouma, M.B.H.; Calvo, F.; Spiegelman, F. Solvation of Na+ in argon clusters. J. Phys. Chem. A 2006, 110, 5010. [Google Scholar] [CrossRef]
- Marinetti, F.; Bodo, E.; Gianturco, F.A. Microsolvation of an Ionic Dopant in Small 4He Clusters: OH+(3Σ)(4He)N via Genetic Algorithm Optimizations. ChemPhysChem 2007, 8, 93–100. [Google Scholar] [CrossRef] [PubMed]
- Alexandrova, A.N. H·(H2O)n Clusters: Microsolvation of the Hydrogen Atom via Molecular ab Initio Gradient Embedded Genetic Algorithm (GEGA). J. Phys. Chem. A 2010, 114, 12591–12599. [Google Scholar] [CrossRef] [PubMed]
- Llanio-Trujillo, J.L.; Marques, J.M.C.; Pereira, F.B. New Insights on Lithium-Cation Microsolvation by Solvents Forming Hydrogen-Bonds: Water Versus Methanol. Comput. Theor. Chem. 2013, 1021, 124–134. [Google Scholar] [CrossRef]
- Pereira, F.B.; Marques, J.M.C.; Leitão, T.; Tavares, J. Analysis of Locality in Hybrid Evolutionary Cluster Optimization. In Proceedings of the 2006 IEEE Congress on Evolutionary Computation, Vancouver, BC, Canada, 16–21 July 2006; Volume 1–6, pp. 2270–2277. [Google Scholar]
- Pereira, F.B.; Marques, J.M.C. A Study on Diversity for Cluster Geometry Optimization. Evol. Intell. 2009, 2, 121–140. [Google Scholar] [CrossRef]
- Marques, J.M.C.; Pereira, F.B. An Evolutionary Algorithm for Global Minimum Search of Binary Atomic Clusters. Chem. Phys. Lett. 2010, 485, 211–216. [Google Scholar] [CrossRef]
- Marques, J.M.C.; Jesus, W.S.; Prudente, F.V.; Pereira, F.B.; Lourenço, N. Revealing Energy Landscapes of Atomic Clusters by Applying Adaptive Bio-Inspired Algorithms. In Physical Chemistry for Chemists and Chemical Engineers: Multidisciplinary Research Perspectives; Vakhrushev, A.V., R. Haghi, J.V.J., Eds.; Apple Academic Press: Oakville, ON, Canada, 2018; pp. 47–74. [Google Scholar]
- Slama, M.; Laajimi, M.; Ghalla, H.; Ben El Hadj Rhouma, M. Structures and stability of K+ cation solvated in Arn clusters. J. Mol. Graph. Model. 2024, 127, 108692. [Google Scholar] [CrossRef] [PubMed]
- Prudente, F.V.; Marques, J.M.C.; Pereira, F.B. Solvation of Li+ by Argon: How Important are Three-Body Forces? Phys. Chem. Chem. Phys. 2017, 19, 25707–25716, Erratum in Phys. Chem. Chem. Phys. 2018, 20, 16877–16882. [Google Scholar] [CrossRef]
- Guimarães, M.N.; de Almeida, M.M.; Marques, J.M.C.; Prudente, F.V. A thermodynamic view on the microsolvation of ions by rare gas: Application to Li+ with argon. Phys. Chem. Chem. Phys. 2020, 22, 10882–10892. [Google Scholar] [CrossRef]
- Jesus, W.S.; Marques, J.M.C.; Prudente, F.V.; Pereira, F.B. Exploring the First-Shell and Second-Shell Structures Arising in the Microsolvation of Li+ by Rare Gases. Int. J. Quantum Chem. 2019, 119, e25860. [Google Scholar] [CrossRef]
- Dunning, T.H., Jr. Gaussian Basis Sets for Use in Correlated Molecular Calculations. I. The Atoms Boron Through Neon and Hydrogen. J. Chem. Phys. 1989, 90, 1007–1023. [Google Scholar] [CrossRef]
- Woon, D.E.; Dunning, T.H., Jr. Gaussian Basis Sets for Use in Correlated Molecular Calculations. III. The Atoms Aluminum Through Argon. J. Chem. Phys. 1993, 98, 1358–1371. [Google Scholar] [CrossRef]
- Cahill, K.; Parsegian, V.A. Rydberg–London Potential for Diatomic Molecules and Unbonded Atom Pairs. J. Chem. Phys. 2004, 121, 10839. [Google Scholar] [CrossRef]
- Aziz, R.A. A highly accurate interatomic potential for argon. J. Chem. Phys. 1993, 99, 4518–4525. [Google Scholar] [CrossRef]
- Pereira, F.B.; Marques, J.M.C.; Leitão, T.; Tavares, J. Designing Efficient Evolutionary Algorithms for Cluster Optimization: A Study on Locality. In Advances in Metaheuristics for Hard Optimization; Springer Natural Computing, Series; Siarry, P., Michalewicz, Z., Eds.; Springer: Berlin, Germany, 2008; pp. 223–250. [Google Scholar]
- Cruz, S.M.A.; Marques, J.M.C.; Pereira, F.B. Improved evolutionary algorithm for the global optimization of clusters with competing attractive and repulsive interactions. J. Chem. Phys. 2016, 145, 154109. [Google Scholar] [CrossRef] [PubMed]
- Zanvettor, C.M.A.; Marques, J.M.C. On the lowest-energy structure of binary Zn-Cd nanoparticles: Size and composition. Chem. Phys. Lett. 2014, 608, 373–379. [Google Scholar] [CrossRef]
- Rodrigues, S.G.; Pais, A.A.C.C.; Marques, J.M.C. Two-dimensional clusters from the self-assembly of oppositely charged particles. Chem. Phys. Lett. 2018, 706, 586–593. [Google Scholar] [CrossRef]
- Jesus, W.S.; Marques, J.M.C.; Prudente, F.V. Microsolvation of Li+ in a Mixture of Argon and Krypton: Unveiling the Most Stable Structures of the Clusters. J. Phys. Chem. A 2019, 123, 2867–2873. [Google Scholar] [CrossRef] [PubMed]
- Andrade, M.D.d.; Jesus, W.S.; Prudente, F.V.; Marques, J.M.C. On the stabilization of the Li+-Li+ interaction by microsolvation with rare-gas atoms. Theor. Chem. Acc. 2021, 140, 65. [Google Scholar] [CrossRef]
- Nocedal, J. Updating quasi-Newton matrices with Limited storage. Math. Comp. 1980, 35, 773–782. [Google Scholar] [CrossRef]
- Liu, D.; Nocedal, J. On the limited memory BFGS method for large scale optimization. Math. Program. B 1989, 45, 503–528. [Google Scholar] [CrossRef]
- Deaven, D.M.; Ho, K.M. Molecular Geometry Optimization with a Genetic Algorithm. Phys. Rev. Lett. 1995, 75, 288–291. [Google Scholar] [CrossRef]
- Prudente, F.V.; Marques, J.M.C. Thermodynamic Signatures of Structural Transitions and Dissociation of Charged Colloidal Clusters: A Parallel Tempering Monte Carlo Study. Molecules 2022, 27, 2581. [Google Scholar] [CrossRef]
- Okabe, T.; Kawata, M.; Okamoto, Y.; Mikami, M. Replica-exchange Monte Carlo method for the isobaric-isothermal ensemble. Chem. Phys. Lett. 2001, 335, 435–439. [Google Scholar] [CrossRef]
- Lingenheil, M.; Denschlag, R.; Mathias, G.; Tavan, P. Efficiency of exchange schemes in replica exchange. Chem. Phys. Lett. 2009, 478, 80–84. [Google Scholar] [CrossRef]
- Swendsen, R.H. How the maximum step size in Monte Carlo simulations should be adjusted. Phys. Procedia 2011, 15, 81–86. [Google Scholar] [CrossRef]
- Froudakis, G.E.; Farantos, S.C.; Velegrakis, M. Mass spectra and theoretical modeling of Li+Nen, Li+Arn and Li+Krn clusters. Chem. Phys. 2000, 258, 13–20. [Google Scholar] [CrossRef]
- Pahl, E.; Calvo, F.; Koči, L.; Schwerdtfeger, P. Accurate Melting Temperatures for Neon and Argon from Ab Initio Monte Carlo Simulations. Angew. Chem. Int. Ed. 2008, 47, 8207–8210. [Google Scholar] [CrossRef]
- Mandelshtam, V.A.; Frantsuzov, P.A. Multiple structural transformations in Lennard-Jones clusters: Generic versus size-specific behavior. J. Chem. Phys. 2006, 124, 204511. [Google Scholar] [CrossRef]
- Senn, F.; Wiebke, J.; Schumann, O.; Gohr, S.; Schwerdtfeger, P.; Pahl, E. Melting of “non-magic” argon clusters and extrapolation to the bulk limit. J. Chem. Phys. 2014, 140, 044325. [Google Scholar] [CrossRef]
- Neirotti, J.P.; Calvo, F.; Freeman, D.L.; Doll, J.D. Phase changes in 38-atom Lennard-Jones clusters. I. A parallel tempering study in the canonical ensemble. J. Chem. Phys. 2000, 112, 10340–10349. [Google Scholar] [CrossRef]
- Mandelshtam, V.A.; Frantsuzov, P.A.; Calvo, F. Structural Transitions and Melting in LJ74-78 Lennard-Jones Clusters from Adaptive Exchange Monte Carlo Simulations. J. Phys. Chem. A 2006, 110, 5326–5332. [Google Scholar] [CrossRef]
- Noya, E.G.; Doye, J.P.K. Structural transitions in the 309-atom magic number Lennard-Jones cluster. J. Chem. Phys. 2006, 124, 104503. [Google Scholar] [CrossRef]
- Cezar, H.M.; Rondina, G.G.; da Silva, J.L.F. Parallel tempering Monte Carlo combined with clustering Euclidean metric analysis to study the thermodynamic stability of Lennard-Jones nanoclusters. J. Chem. Phys. 2017, 146, 064114. [Google Scholar] [CrossRef] [PubMed]
- Johnson, W.W.; Glaberson, W.I. Positive Impurity Ions in He II. Phys. Rev. Lett. 1972, 29, 214–217. [Google Scholar] [CrossRef]
- González-Lezana, T.; Echt, O.; Gatchell, M.; Bartolomei, M.; Campos-Martínez, J.; Scheier, P. Solvation of ions in helium. Int. Rev. Phys. Chem. 2020, 39, 465–516. [Google Scholar] [CrossRef]
- Ortiz de Zárate, J.; Bartolomei, M.; González-Lezana, T.; Campos-Martínez, J.; Hernández, M.I.; Pérez de Tudela, R.; Hernández-Rojas, J.; Bretón, J.; Pirani, F.; Kranabetter, L.; et al. Snowball formation for Cs+ solvation in molecular hydrogen and deuterium. Phys. Chem. Chem. Phys. 2019, 21, 15662–15668. [Google Scholar] [CrossRef] [PubMed]
- Lide, D.R. (Ed.) CRC Handbook of Chemistry and Physics, 85th ed.; CRC Press Inc.: Boca Raton, FL, USA, 2005. [Google Scholar]
- Axilrod, B.M.; Teller, E. Interaction of the Van Der Waals Type Between Three Atoms. J. Chem. Phys. 1943, 11, 299–300. [Google Scholar] [CrossRef]
- Muto, Y. Force Between Nonpolar Molecules. Proc. Phys. Math. Soc. Jpn. 1943, 17, 629–631. [Google Scholar] [CrossRef]
- Axilrod, B.M. Triple-Dipole Interaction. I. Theory. J. Chem. Phys. 1951, 19, 719–724. [Google Scholar] [CrossRef]






Disclaimer/Publisher’s Note: The statements, opinions and data contained in all publications are solely those of the individual author(s) and contributor(s) and not of MDPI and/or the editor(s). MDPI and/or the editor(s) disclaim responsibility for any injury to people or property resulting from any ideas, methods, instructions or products referred to in the content. |
© 2024 by the authors. Licensee MDPI, Basel, Switzerland. This article is an open access article distributed under the terms and conditions of the Creative Commons Attribution (CC BY) license (https://creativecommons.org/licenses/by/4.0/).
Share and Cite
Marques, J.M.C.; Prudente, F.V. Structure and Thermodynamics of Li+Arn Clusters beyond the Second Solvation Shell. Symmetry 2024, 16, 229. https://doi.org/10.3390/sym16020229
Marques JMC, Prudente FV. Structure and Thermodynamics of Li+Arn Clusters beyond the Second Solvation Shell. Symmetry. 2024; 16(2):229. https://doi.org/10.3390/sym16020229
Chicago/Turabian StyleMarques, Jorge M. C., and Frederico V. Prudente. 2024. "Structure and Thermodynamics of Li+Arn Clusters beyond the Second Solvation Shell" Symmetry 16, no. 2: 229. https://doi.org/10.3390/sym16020229
APA StyleMarques, J. M. C., & Prudente, F. V. (2024). Structure and Thermodynamics of Li+Arn Clusters beyond the Second Solvation Shell. Symmetry, 16(2), 229. https://doi.org/10.3390/sym16020229

