Analysis of Measurements of the Magnetic Flux Density in Steel Blocks of the Compact Muon Solenoid Magnet Yoke with Solenoid Coil Fast Discharges
Abstract
1. Introduction
2. Materials and Methods
2.1. Description of the Flux Loop Measuring System
2.2. Estimation of the Eddy Current Contribution into the Induced Voltages
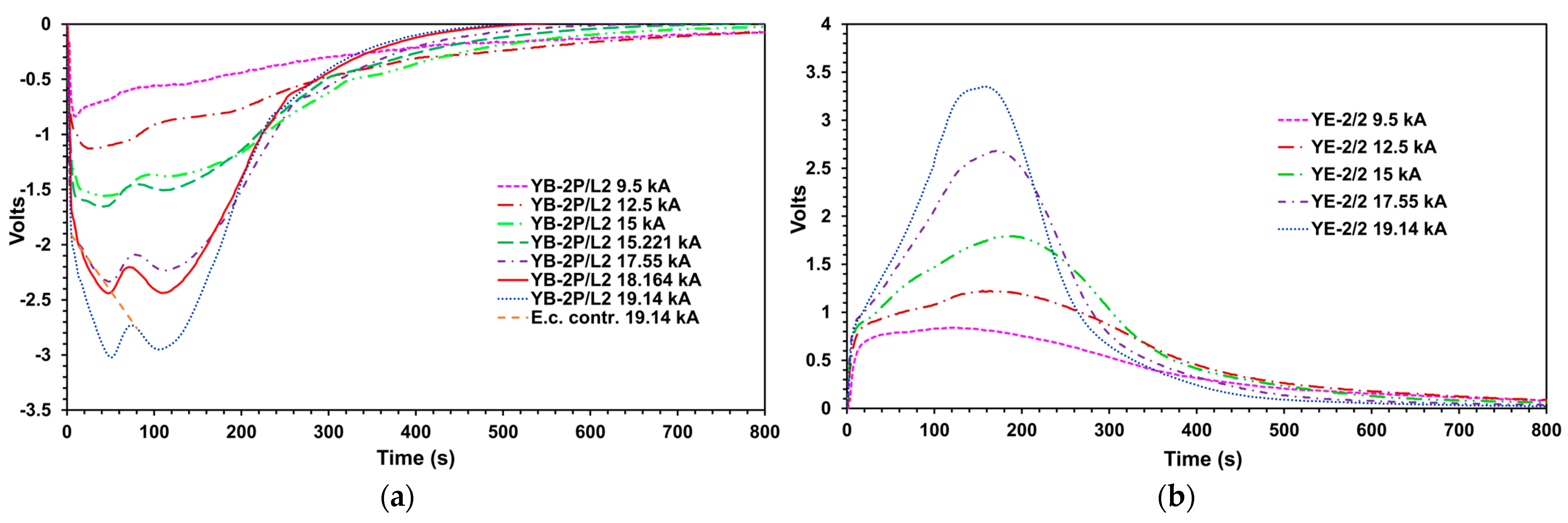
3. Results
4. Discussion
5. Conclusions
Author Contributions
Funding
Data Availability Statement
Acknowledgments
Conflicts of Interest
Correction Statement
References
- CMS Collaboration. The CMS experiment at the CERN LHC. J. Instrum. 2008, 3, S08004. [Google Scholar] [CrossRef]
- Evans, L.; Bryant, P. LHC Machine. J. Instrum. 2008, 3, S08001. [Google Scholar] [CrossRef]
- Hervé, A. Constructing a 4-Tesla large thin solenoid at the limit of what can be safely operated. Mod. Phys. Lett. A 2010, 25, 1647–1666. [Google Scholar] [CrossRef]
- CMS Collaboration. Performance of the CMS drift tube chambers with cosmic rays. J. Instrum. 2010, 5, T03015. [Google Scholar] [CrossRef]
- CMS Collaboration. Performance of the CMS cathode strip chambers with cosmic rays. J. Instrum. 2010, 5, T03018. [Google Scholar] [CrossRef]
- Klyukhin, V.; Ball, A.; Bergsma, F.; Boterenbrood, H.; Curé, B.; Dattola, D.; Gaddi, A.; Gerwig, H.; Hervé, A.; Loveless, R.; et al. The CMS Magnetic Field Measuring and Monitoring Systems. Symmetry 2022, 14, 169. [Google Scholar] [CrossRef]
- Klyukhin, V. Design and Description of the CMS Magnetic System Model. Symmetry 2021, 13, 1052. [Google Scholar] [CrossRef]
- TOSCA/OPERA-3d 18R2 Reference Manual; Cobham CTS Ltd.: Kidlington, UK, 2018; pp. 1–916.
- Simkin, J.; Trowbridge, C. Three-dimensional nonlinear electromagnetic field computations, using scalar potentials. In IEE Proceedings B Electric Power Applications; Institution of Engineering and Technology (IET): London, UK, 1980; Volume 127, pp. 368–374. [Google Scholar] [CrossRef]
- Amapane, N.; Klyukhin, V. Development of the CMS Magnetic Field Map. Symmetry 2023, 15, 1030. [Google Scholar] [CrossRef]
- Campi, D.; Curé, B.; Gaddi, A.; Gerwig, H.; Hervé, A.; Klyukhin, V.; Maire, G.; Perinic, G.; Bredy, P.; Fazilleau, P.; et al. Commissioning of the CMS Magnet. IEEE Trans. Appl. Supercond. 2007, 17, 1185–1190. [Google Scholar] [CrossRef]
- Klyukhin, V.I.; Amapane, N.; Ball, A.; Curé, B.; Gaddi, A.; Gerwig, H.; Mulders, M.; Hervé, A.; Loveless, R. Measuring the Magnetic Flux Density in the CMS Steel Yoke. J. Supercond. Nov. Magn. 2012, 26, 1307–1311. [Google Scholar] [CrossRef][Green Version]
- Klyukhin, V.; Campi, D.; Curé, B.; Gaddi, A.; Gerwig, H.; Grillet, J.P.; Hervé, A.; Loveless, R.; Smith, R.P. Developing the Technique of Measurements of Magnetic Field in the CMS Steel Yoke Elements with Flux-loops and Hall Probes. IEEE Trans. Nucl. Sci. 2004, 51, 2187–2192. [Google Scholar] [CrossRef]
- Klyukhin, V.; Curé, B.; Amapane, N.; Ball, A.; Gaddi, A.; Gerwig, H.; Hervé, A.; Loveless, R.; Mulders, M. Using the Standard Linear Ramps of the CMS Superconducting Magnet for Measuring the Magnetic Flux Density in the Steel Flux-Return Yoke. IEEE Trans. Magn. 2019, 55, 8300504. [Google Scholar] [CrossRef]
- Siemens AG Digital Industries. Functional Manual SIMATIC S7-1500; A5E03735815-AL; SIEMENS: Nurnberg, Germany, 2023; Available online: https://support.industry.siemens.com/cs/attachments/59192925/s71500_communication_function_manual_en-US_en-US.pdf (accessed on 15 November 2024).
- Abada, A.; Abbrescia, M.; AbdusSalam, S.S.; Abdyukhanov, I.; Abelleira Fernandez, J.; Abramov, A.; Aburaia, M.; Acar, A.O.; Adzic, P.R.; Agrawal, P.; et al. FCC-ee: The Lepton Collider: Future Circular Collider Conceptual Design Report Volume 2. Eur. Phys. J. Spec. Top. 2019, 228, 261–623. [Google Scholar] [CrossRef]
- CEPC Study Group. CEPC Conceptual Design Report: Volume 2—Physics & Detector. arXiv 2018, arXiv:1811.10545. [Google Scholar]
- Sun, Y.G.; Wang, S.M.; Lu, Y.; Xu, J.Q.; Xie, S. Control of Time Delay in Magnetic Levitation Systems. IEEE Magn. Lett. 2022, 13, 8100305. [Google Scholar] [CrossRef]












| Current (kA) | L1 and TC | L2 | L3 | EC−1 | EC−2/1 | Barrel | Endcap | Yoke |
|---|---|---|---|---|---|---|---|---|
| 9.5 | 9.96 ± 5.17 | 5.53 ± 2.43 | 2.67 ± 0.47 | 5.88 ± 0.33 | 7.50 | 6.30 ± 4.53 | 6.28 ± 0.85 | 6.29 ± 4.04 |
| 12.5 | 8.85 ± 4.73 | 4.74 ± 2.02 | 1.66 ± 1.16 | 5.68 ± 0.40 | 5.05 | 5.32 ± 4.29 | 5.52 ± 0.45 | 5.36 ± 3.82 |
| 15 | 8.07 ± 4.74 | 4.37 ± 2.00 | 1.83 ± 0.94 | 5.30 ± 0.73 | 3.77 | 4.97 ± 4.01 | 4.92 ± 0.97 | 4.96 ± 3.58 |
| 15.221 | 6.68 ± 6.81 | 4.38 ± 2.02 | 1.81 ± 0.96 | 5.25 ± 0.75 | 3.70 | 4.44 ± 4.60 | 4.86 ± 0.99 | 4.53 ± 4.11 |
| 17.55 | 7.43 ± 4.83 | 4.48 ± 2.04 | 1.84 ± 0.96 | 4.94 ± 0.46 | 3.19 | 4.76 ± 3.85 | 4.51 ± 0.95 | 4.71 ± 3.45 |
| 18.164 | 7.98 ± 5.09 | 4.86 ± 2.26 | 1.79 ± 1.56 | 5.01 ± 0.25 | 3.16 | 5.27 ± 4.25 | 4.39 ± 1.08 | 5.44 ± 3.80 |
| 19.14 | 7.10 ± 4.89 | 4.69 ± 2.08 | 1.93 ± 0.93 | 4.63 ± 0.15 | 3.20 | 4.73 ± 3.77 | 4.28 ± 0.73 | 4.64 ± 3.37 |
| Current (kA) | L1 and TC | L2 | L3 | EC−1 | EC−2 | Barrel | Endcap | Yoke |
|---|---|---|---|---|---|---|---|---|
| 9.5 (new) | −3.60 ± 4.91 | −4.71 ± 7.74 | −7.39 ± 10.45 | 2.77 ± 3.38 | 4.98 ± 6.87 | −5.13 ± 7.47 | 3.88 ± 4.99 | −2.67 ± 7.92 |
| 12.5 (old) | −0.76 ± 10.15 | 7.65 ± 8.51 | −2.85 ± 10.79 | 0.69 ± 5.51 | 3.24 ± 2.22 | 1.22 ± 10.27 | 1.97 ± 4.01 | 1.42 ± 8.91 |
| 15 (old) | 2.30 ± 2.77 | 5.39 ± 7.27 | −2.44 ± 9.45 | 1.59 ± 2.37 | 2.29 ± 3.97 | 1.78 ± 7.13 | 1.94 ± 2.95 | 1.82 ± 6.20 |
| 15.221 (new) | 0.22 ± 1.30 | −2.61 ± 6.81 | −5.73 ± 8.44 | 1.09 ± 1.08 | 1.61 ± 7.57 | −2.52 ± 6.19 | 1.35 ± 4.84 | −1.46 ± 6.01 |
| 17.55 (old) | 3.16 ± 2.37 | 3.48 ± 5.53 | −2.47 ± 8.58 | 1.03 ± 1.06 | 1.14 ± 4.15 | 1.50 ± 6.11 | 1.08 ± 2.71 | 1.39 ± 5.33 |
| 18.164 (new) | −0.39 ± 0.84 | −4.58 ± 6.01 | −6.48 ± 8.17 | 0.09 ± 0.23 | 2.62 ± 3.29 | −3.60 ± 5.91 | 1.36 ± 2.50 | −2.25 ± 5.62 |
| 19.14 (old) | 1.66 ± 1.99 | 0.78 ± 5.07 | −3.66 ± 8.21 | 0.14 ± 0.67 | −0.13 ± 4.37 | −0.27 ± 5.64 | 0.005 ± 2.80 | −0.20 ± 4.96 |
Disclaimer/Publisher’s Note: The statements, opinions and data contained in all publications are solely those of the individual author(s) and contributor(s) and not of MDPI and/or the editor(s). MDPI and/or the editor(s) disclaim responsibility for any injury to people or property resulting from any ideas, methods, instructions or products referred to in the content. |
© 2024 by the authors. Licensee MDPI, Basel, Switzerland. This article is an open access article distributed under the terms and conditions of the Creative Commons Attribution (CC BY) license (https://creativecommons.org/licenses/by/4.0/).
Share and Cite
Klyukhin, V.; Curé, B.; Gaddi, A.; Kehrli, A.; Ostrega, M.; Pons, X. Analysis of Measurements of the Magnetic Flux Density in Steel Blocks of the Compact Muon Solenoid Magnet Yoke with Solenoid Coil Fast Discharges. Symmetry 2024, 16, 1689. https://doi.org/10.3390/sym16121689
Klyukhin V, Curé B, Gaddi A, Kehrli A, Ostrega M, Pons X. Analysis of Measurements of the Magnetic Flux Density in Steel Blocks of the Compact Muon Solenoid Magnet Yoke with Solenoid Coil Fast Discharges. Symmetry. 2024; 16(12):1689. https://doi.org/10.3390/sym16121689
Chicago/Turabian StyleKlyukhin, Vyacheslav, Benoit Curé, Andrea Gaddi, Antoine Kehrli, Maciej Ostrega, and Xavier Pons. 2024. "Analysis of Measurements of the Magnetic Flux Density in Steel Blocks of the Compact Muon Solenoid Magnet Yoke with Solenoid Coil Fast Discharges" Symmetry 16, no. 12: 1689. https://doi.org/10.3390/sym16121689
APA StyleKlyukhin, V., Curé, B., Gaddi, A., Kehrli, A., Ostrega, M., & Pons, X. (2024). Analysis of Measurements of the Magnetic Flux Density in Steel Blocks of the Compact Muon Solenoid Magnet Yoke with Solenoid Coil Fast Discharges. Symmetry, 16(12), 1689. https://doi.org/10.3390/sym16121689

