The Test–Retest Reliability of a Belt-Fixated Dynamometer for Assessing Maximal Knee Strength, Inter-Limb Asymmetries, and Hamstring–Quadriceps Ratios
Abstract
1. Introduction
2. Materials and Methods
2.1. Participants
2.2. Study Design
2.3. Measurement Procedures
2.4. Statistical Analysis
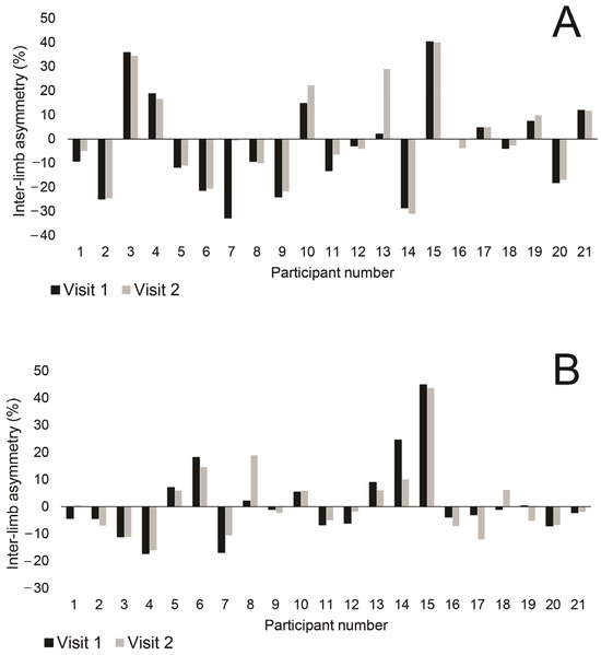
3. Results
4. Discussion
Study Limitations
5. Conclusions
Author Contributions
Funding
Institutional Review Board Statement
Informed Consent Statement
Data Availability Statement
Conflicts of Interest
References
- McMaster, D.T.; Gill, N.; Cronin, J.; McGuigan, M. A Brief Review of Strength and Ballistic Assessment Methodologies in Sport. Sports Med. 2014, 44, 603–623. [Google Scholar] [CrossRef] [PubMed]
- Vanpee, G.; Hermans, G.; Segers, J.; Gosselink, R. Assessment of Limb Muscle Strength in Critically Ill Patients: A Systematic Review. Crit. Care Med. 2014, 42, 701–711. [Google Scholar] [CrossRef] [PubMed]
- de la Motte, S.J.; Gribbin, T.C.; Lisman, P.; Murphy, K.; Deuster, P.A. Systematic Review of the Association Between Physical Fitness and Musculoskeletal Injury Risk: Part 2—Muscular Endurance and Muscular Strength. J. Strength Cond. Res. 2017, 31, 3218–3234. [Google Scholar] [CrossRef]
- Hirschmann, M.T.; Müller, W. Complex Function of the Knee Joint: The Current Understanding of the Knee. Knee Surg. Sports Traumatol. Arthrosc. 2015, 23, 2780–2788. [Google Scholar] [CrossRef]
- Murray, A.M.; Thomas, A.C.; Armstrong, C.W.; Pietrosimone, B.G.; Tevald, M.A. The Associations between Quadriceps Muscle Strength, Power, and Knee Joint Mechanics in Knee Osteoarthritis: A Cross-Sectional Study. Clin. Biomech. 2015, 30, 1140–1145. [Google Scholar] [CrossRef] [PubMed]
- Xu, D.; Zhou, H.; Quan, W.; Gusztav, F.; Wang, M.; Baker, J.S.; Gu, Y. Accurately and Effectively Predict the ACL Force: Utilizing Biomechanical Landing Pattern before and after-Fatigue. Comput. Methods Programs Biomed. 2023, 241, 107761. [Google Scholar] [CrossRef] [PubMed]
- Xu, D.; Lu, J.; Baker, J.S.; Fekete, G.; Gu, Y. Temporal Kinematic and Kinetics Differences throughout Different Landing Ways Following Volleyball Spike Shots. Proc. Inst. Mech. Eng. Part P J. Sports Eng. Technol. 2022, 236, 200–208. [Google Scholar] [CrossRef]
- Parkinson, A.O.; Apps, C.L.; Morris, J.G.; Barnett, C.T.; Lewis, M.G.C. The Calculation, Thresholds and Reporting of Inter-Limb Strength Asymmetry: A Systematic Review. J. Sports Sci. Med. 2021, 20, 594–617. [Google Scholar] [CrossRef]
- Bishop, C.; De Keijzer, K.L.; Turner, A.N.; Beato, M. Measuring Interlimb Asymmetry for Strength and Power: A Brief Review of Assessment Methods, Data Analysis, Current Evidence, and Practical Recommendations. J. Strength Cond. Res. 2023, 37, 745–750. [Google Scholar] [CrossRef]
- Afonso, J.; Peña, J.; Sá, M.; Virgile, A.; García-de-Alcaraz, A.; Bishop, C. Why Sports Should Embrace Bilateral Asymmetry: A Narrative Review. Symmetry 2022, 14, 1993. [Google Scholar] [CrossRef]
- Hirano, M.; Katoh, M.; Gomi, M.; Arai, S. Validity and Reliability of Isometric Knee Extension Muscle Strength Measurements Using a Belt-Stabilized Hand-Held Dynamometer: A Comparison with the Measurement Using an Isokinetic Dynamometer in a Sitting Posture. J. Phys. Ther. Sci. 2020, 32, 120–124. [Google Scholar] [CrossRef] [PubMed]
- Lesnak, J.; Anderson, D.; Farmer, B.; Katsavelis, D.; Grindstaff, T.L. Validity of Hand-Held Dynamometry in Measuring Quadriceps Strength and Rate of Torque Development. Int. J. Sports Phys. Ther. 2019, 14, 180–187. [Google Scholar] [CrossRef]
- Stark, T.; Walker, B.; Phillips, J.K.; Fejer, R.; Beck, R. Hand-Held Dynamometry Correlation with the Gold Standard Isokinetic Dynamometry: A Systematic Review. PM R 2011, 3, 472–479. [Google Scholar] [CrossRef]
- Martins, J.; Da Silva, J.R.; Da Silva, M.R.B.; Bevilaqua-Grossi, D. Reliability and Validity of the Belt-Stabilized Handheld Dynamometer in Hip-and Knee-Strength Tests. J. Athl. Train. 2017, 52, 809–819. [Google Scholar] [CrossRef] [PubMed]
- Bohannon, R.W.; Pritchard, R.O.; Glenney, S.S. Portable Belt-Stabilized Hand-Held Dynamometry Set-up for Measuring Knee Extension Force. Isokinet. Exerc. Sci. 2013, 21, 325–329. [Google Scholar] [CrossRef]
- Kozinc, Ž.; Smajla, D.; Trajković, N.; Šarabon, N. Reliability of EasyForce Dynamometer for Assessment of Maximal Knee and Hip Strength, and Comparison to Rigid Isometric Dynamometers with External Fixation. Meas. Phys. Educ. Exerc. Sci. 2022, 26, 232–244. [Google Scholar] [CrossRef]
- Trajković, N.; Kozinc, Ž.; Smajla, D.; Šarabon, N. Interrater and Intrarater Reliability of the EasyForce Dynamometer for Assessment of Maximal Shoulder, Knee and Hip Strength. Diagnostics 2022, 12, 442. [Google Scholar] [CrossRef] [PubMed]
- Bohannon, R.W.; Kindig, J.; Sabo, G.; Duni, A.E.; Cram, P. Isometric Knee Extension Force Measured Using a Handheld Dynamometer with and without Belt-Stabilization. Physiother. Theory Pract. 2012, 28, 562–568. [Google Scholar] [CrossRef]
- Cuthbert, M.; Comfort, P.; Ripley, N.; McMahon, J.J.; Evans, M.; Bishop, C. Unilateral vs. Bilateral Hamstring Strength Assessments: Comparing Reliability and Inter-Limb Asymmetries in Female Soccer Players. J. Sports Sci. 2021, 39, 1481–1488. [Google Scholar] [CrossRef]
- Bishop, C.; Lake, J.; Loturco, I.; Papadopoulos, K.; Turner, A.; Read, P. Interlimb Asymmetries: The Need for an Individual Approach to Data Analysis. J. Strength Cond. Res. 2021, 35, 695–701. [Google Scholar] [CrossRef]
- Bishop, C.; Coratella, G.; Beato, M. Intra-and Inter-Limb Strength Asymmetry in Soccer: A Comparison of Professional and under-18 Players. Sports 2021, 9, 129. [Google Scholar] [CrossRef] [PubMed]
- Sarabon, N.; Kozinc, Z.; Bishop, C.; Maffiuletti, N.A. Factors Influencing Bilateral Deficit and Inter-Limb Asymmetry of Maximal and Explosive Strength: Motor Task, Outcome Measure and Muscle Group. Eur. J. Appl. Physiol. 2020, 120, 1681–1688. [Google Scholar] [CrossRef] [PubMed]
- Hohmann, E.; Tetsworth, K.; Glatt, V. The Hamstring/Quadriceps Ratio Is an Indicator of Function in ACL-Deficient, but Not in ACL-Reconstructed Knees. Arch. Orthop. Trauma Surg. 2019, 139, 91–98. [Google Scholar] [CrossRef] [PubMed]
- Bishop, C.; Turner, A.; Gonzalo-Skok, O.; Read, P. Inter-Limb Asymmetry During Rehabilitation: Understanding Formulas and Monitoring the “Magnitude” and “Direction”. Aspetar Sports Med. J. 2020, 9, 18–22. [Google Scholar]
- Helme, M.; Tee, J.; Emmonds, S.; Low, C. Does Lower-Limb Asymmetry Increase Injury Risk in Sport? A Systematic Review. Phys. Ther. Sport 2021, 49, 204–213. [Google Scholar] [CrossRef] [PubMed]
- Donner, A.; Eliasziw, M. Sample Size Requirements for Reliability Studies. Stat. Med. 1987, 6, 441–448. [Google Scholar] [CrossRef]
- Koo, T.K.; Li, M.Y. A Guideline of Selecting and Reporting Intraclass Correlation Coefficients for Reliability Research. J. Chiropr. Med. 2016, 15, 155–163. [Google Scholar] [CrossRef]
- Banyard, H.G.; Nosaka, K.; Haff, G.G. Reliability and Validity of the Load-Velocity Relationship to Predict the 1RM Back Squat. J. Strength Cond. Res. 2017, 31, 1897–1904. [Google Scholar] [CrossRef]
- Chmura Kraemer, H.; Periyakoil, V.S.; Noda, A. Kappa Coefficients in Medical Research. Stat. Med. 2002, 21, 2109–2129. [Google Scholar] [CrossRef]
- Lu, T.W.; Hsu, H.C.; Chang, L.Y.; Chen, H.L. Enhancing the Examiner’s Resisting Force Improves the Reliability of Manual Muscle Strength Measurements: Comparison of a New Device with Hand-Held Dynamometry. J. Rehabil. Med. 2007, 39, 679–684. [Google Scholar] [CrossRef]
- Davey, K.; Read, P.; Coyne, J.; Jarvis, P.; Turner, A.; Brazier, J.; Šarabon, N.; Jordan, M.J.; Bishop, C. An Assessment of the Hopping Strategy and Inter-Limb Asymmetry during the Triple Hop Test: A Test–Retest Pilot Study. Symmetry 2021, 13, 1890. [Google Scholar] [CrossRef]
- Bishop, C.; Pereira, L.A.; Reis, V.P.; Read, P.; Turner, A.N.; Loturco, I. Comparing the Magnitude and Direction of Asymmetry during the Squat, Countermovement and Drop Jump Tests in Elite Youth Female Soccer Players. Sci. Footb. 2023, 38, 100–107. [Google Scholar] [CrossRef]
- Aagaard, P.; Simonsen, E.B.; Magnusson, S.P.; Larsson, B.; Dyhre-Poulsen, P. A New Concept for Isokinetic Hamstring: Quadriceps Muscle Strength Ratio. Am. J. Sports Med. 1998, 26, 231–237. [Google Scholar] [CrossRef] [PubMed]
- Hiemstra, L.A.; Webber, S.; MacDonald, P.B.; Kriellaars, D.J. Hamstring and Quadriceps Strength Balance in Normal and Hamstring Anterior Cruciate Ligament-Reconstructed Subjects. Clin. J. Sport Med. 2004, 14, 274–280. [Google Scholar] [CrossRef] [PubMed]
- Ruas, C.V.; Pinto, R.S.; Haff, G.G.; Lima, C.D.; Pinto, M.D.; Brown, L.E. Alternative Methods of Determining Hamstrings-to-Quadriceps Ratios: A Comprehensive Review. Sport. Med.—Open 2019, 5, 11. [Google Scholar] [CrossRef]
- Miralles-Iborra, A.; Moreno-Pérez, V.; Del Coso, J.; Courel-Ibáñez, J.; Elvira, J.L.L. Reliability of a Field-Based Test for Hamstrings and Quadriceps Strength Assessment in Football Players. Appl. Sci. 2023, 13, 4918. [Google Scholar] [CrossRef]
- Baron, M.; Divernois, G.; Grandjean, B.; Guex, K. Validity and Reliability of Handheld Dynamometry to Assess Isometric Hamstrings and Quadriceps Strength at Varying Muscle Lengths. J. Sport Rehabil. 2024, 33, 267–274. [Google Scholar] [CrossRef]


| Outcome Measure | Visit 1 | Visit 2 | Relative Reliability | Absolute Reliability | |||||||||
|---|---|---|---|---|---|---|---|---|---|---|---|---|---|
| Mean | SD | Mean | SD | ICC | 95% CI | TE | 95% CI | CV | 95% CI | ||||
| Knee extension, Right (N) | 327.6 | 108.75 | 331.12 | 103.55 | 0.99 | 0.97 | 0.99 | 12.98 | 9.93 | 18.74 | 3.94 | 3.01 | 5.69 |
| Knee extension, Left (N) | 345.4 | 140.04 | 336.64 | 138.13 | 0.99 | 0.97 | 0.99 | 16.44 | 12.58 | 23.74 | 4.82 | 3.69 | 6.96 |
| Asymmetry (%) | −3.03 | 19.84 | 0.53 | 19.66 | 0.90 | 0.78 | 0.96 | 6.44 | 4.92 | 9.29 | / | / | / |
| Knee flexion, Right (N) | 140.5 | 39.79 | 143.17 | 42.80 | 0.95 | 0.88 | 0.98 | 9.65 | 7.38 | 13.94 | 6.80 | 5.21 | 9.83 |
| Knee flexion, Left (N) | 138.3 | 42.32 | 140.81 | 44.17 | 0.98 | 0.96 | 0.99 | 5.63 | 4.31 | 8.14 | 4.04 | 3.09 | 5.83 |
| Asymmetry (%) | 1.29 | 14.11 | 1.22 | 13.32 | 0.90 | 0.78 | 0.96 | 4.45 | 3.40 | 6.42 | / | / | / |
| HQ ratio, Right | 0.43 | 0.10 | 0.44 | 0.10 | 0.92 | 0.82 | 0.97 | 0.03 | 0.02 | 0.04 | 6.90 | 5.28 | 9.97 |
| HQ ratio, Left | 0.44 | 0.08 | 0.44 | 0.08 | 0.91 | 0.80 | 0.96 | 0.02 | 0.02 | 0.04 | 5.65 | 4.32 | 8.15 |
Disclaimer/Publisher’s Note: The statements, opinions and data contained in all publications are solely those of the individual author(s) and contributor(s) and not of MDPI and/or the editor(s). MDPI and/or the editor(s) disclaim responsibility for any injury to people or property resulting from any ideas, methods, instructions or products referred to in the content. |
© 2024 by the authors. Licensee MDPI, Basel, Switzerland. This article is an open access article distributed under the terms and conditions of the Creative Commons Attribution (CC BY) license (https://creativecommons.org/licenses/by/4.0/).
Share and Cite
Nedović, N.; Jovanović, S.; Vujičić, D.; Bishop, C.; Kozinc, Ž. The Test–Retest Reliability of a Belt-Fixated Dynamometer for Assessing Maximal Knee Strength, Inter-Limb Asymmetries, and Hamstring–Quadriceps Ratios. Symmetry 2024, 16, 1541. https://doi.org/10.3390/sym16111541
Nedović N, Jovanović S, Vujičić D, Bishop C, Kozinc Ž. The Test–Retest Reliability of a Belt-Fixated Dynamometer for Assessing Maximal Knee Strength, Inter-Limb Asymmetries, and Hamstring–Quadriceps Ratios. Symmetry. 2024; 16(11):1541. https://doi.org/10.3390/sym16111541
Chicago/Turabian StyleNedović, Nenad, Stevan Jovanović, Danilo Vujičić, Chris Bishop, and Žiga Kozinc. 2024. "The Test–Retest Reliability of a Belt-Fixated Dynamometer for Assessing Maximal Knee Strength, Inter-Limb Asymmetries, and Hamstring–Quadriceps Ratios" Symmetry 16, no. 11: 1541. https://doi.org/10.3390/sym16111541
APA StyleNedović, N., Jovanović, S., Vujičić, D., Bishop, C., & Kozinc, Ž. (2024). The Test–Retest Reliability of a Belt-Fixated Dynamometer for Assessing Maximal Knee Strength, Inter-Limb Asymmetries, and Hamstring–Quadriceps Ratios. Symmetry, 16(11), 1541. https://doi.org/10.3390/sym16111541

