Abstract
The present paper reports the theoretical results on the thermal performance of proposed Integrated Hybrid Nanofluid Hemi-Spherical Fin Model assuming a combination of Fe3O4-Ni/C6H18OSi2 hybrid nanofluid. The model leverages the concept of symmetrical geometries and optimized nanoparticle shapes to enhance the heat flux, with a focus on symmetrical design applications in thermal engineering. The simulations are carried out by assuming a silicone oil as a base fluid, due to its exceptional stability in hot and humid conditions, enriched with superparamagnetic Fe3O4 and Ni nanoparticles to enhance the heat transfer capabilities, with the aim of contributing to the field of nanotechnology, electronics and thermal engineering, The focus of this work is to optimize the heat dissipation in systems that require high thermal efficiency and stability such as automotive cooling systems, aerospace components and power electronics. In addition, the study explores the influence of key parameters such as heat transfer coefficients and thermal conductivity that play an important role in improving the thermal performance of cooling systems. The overall thermal performance of the model is evaluated based on its heat flux and thermal efficiency. The study also examines the impact of the shape optimized nanoparticles in silicone oil by incorporating shape-factor in its modelling equations and proposes optimization of parameters to enhance the overall thermal performance of the system. Darcy’s flow model is used to analyse the key parameters in the system and study the thermal behaviour of the hybrid nanofluid within the fin by incorporating natural convection, temperature-dependent internal heat generation, and radiation effects. By using the similarity approach, the governing equations were reduced to non-linear ordinary differential equations and numerical solutions were obtained by using four-stage Lobatto-IIIA numerical technique due to its robust stability and convergence properties. This enables a systematic investigation of various influential parameters, including thermal conductivity, emissivity and heat transfer coefficients. Additionally, it stimulates interest among researchers in applying mathematical techniques to complex heat transfer systems, thereby contributing towards the development of highly efficient cooling system. Our findings indicate that there is a significant enhancement in the heat flux as well as improvement in the thermal efficiency due to the mixture of silicone oil and shape optimized nanoparticles, that was visualized through comprehensive graphical analysis. Quantitatively, the proposed model displays a maximum thermal efficiency of 57.5% for lamina shaped nanoparticles at = 0.5, = 0.2, = 0.2 and = 0.4. The maximum enhancement in the heat flux occurs when doubles from 5 to 10 for = 0.2 and = 0.1. Optimal thermal performance is found for , and values in the range 5 to 10, 0.2 to 0.4 and 0.4 to 0.8 respectively.
1. Introduction
Nanomaterial science and design have revolutionized the field of heat transfer enhancement and efficient management of heat dissipation, offering new possibilities to improve the thermal performance in various engineering applications, ranging from power electronics to aerospace design [1]. Efficient heat transfer plays a major role in countless technological advancements, from the miniaturization of electronics to the optimization of energy production. In recent times, numerous researchers and engineers have tried to find multiple solutions to this issue. Cooling the fluid over a variety of geometries is one of the approaches used in industrial processes [2,3,4,5,6]. In this relentless pursuit of thermal management solutions, extended surfaces that increase heat dissipation which are referred to as fins, have become a mainstream strategy. Due to the increase in demand for the best fin design, many researchers conducted thermal analysis of various shaped fins [7,8,9,10]. Kundu and Wongwises [11] examined the performance of a fin with variable properties and mixed convection-radiation heat transfer using decomposition method, which highlighted the significance of mixed convection in enhancing thermal performance. The findings showed the synergistics effects of hybrid nanofluids.
Kiwan and Al-Nimr [12] introduced the innovative concept of porous fins through their reserach, unveiling the potential of the Darcy model in fin design. Their work provoked a wave of research, with several authors exploring the potential of hemi-spherical fins, building upon the foundation laid for fins with various cross-sections [13,14,15,16]. Awasarmol and Pise [17] experimentally studied and established a Nusselt number correlation by comparing perforated fin arrays with various configurations and found that two rows of zigzag inline perforations had optimal heat transfer at 45 degrees angle of orientation. Nabati et al. [18] employed the Sinc collocation method to study the temperature distribution and heat transfer capabilities of porous fins exposed to radiation, magnetic fields, and a porous medium. They validated their approaches with the previously established analytical and numerical methods to verify its accuracy. Hoseinzadeh et al. [19] investigated the heat transfer using different analytical approaches in a porous rectangular fin using collocation method, homotopy perturbation method and homotopy analysis method. Here, the results implied that the porosity, convection and radiation parameters increase the heat transmission rate along the fin length, and the radiation parameter has more impact on the overall temperature distribution.
Since different application domain demands flexible fin geometries, Hosseinzadeh et al. [20] investigated the impact of fin shapes, shape-dependent hybrid nanofluid, and magnetic fields on moving porous fins, validating Akbari-Ganji’s method for solving the governing equations. In this study, increasing the Peclet number, the dimensionless temperature distribution enhances, which confirmed that the faster fin movement leads to higher temperatures. They have analyzed the thermal fields of different longitudinal fin profiles. However, conventional fin geometries often fall short in maximizing heat transfer, particularly in applications with space constraints or demanding cooling requirements. Atouei et al. [21] investigated the thermal performance of hemi-spherical fins with heat generation, radiation, and temperature dependent properties using least square and collocation methods, validating the analytical solutions with numerical results and demonstrating the effectiveness and accuracy of these methods for complex fin analysis.
Conventional coolants like water and ethylene glycol, although widely accessible and cost-effective, typically have the trouble of effectively dissipating heat due to their low thermal conductivity. This limitation can be addressed by adding metallic nanoparticles to enhance the fluids thermal conductivity [22]. Choi and Eastman [23] first proposed the above concepts where they studied copper nanoparticles in nanofluids, which lead to significant reduction in energy consumptions in heat exchangers due to the efficient heat transfer in the system. This work served as a catalyst to many investigations by researchers of diverse fields to optimize cooling applications. Based on the above studies in cooling fins using nanofluids, Baslem et al. [24] examined three different types of water-based nanoparticles with porous fins, considering various thermal factors like convection and radiation. The comparison of the nanoparticles was highlighted in their research, and it was concluded that the heat dissipation is enhanced with the effective balance in nanofluid characteristics and fin properties in fully wetted state. However, while thermal conductivity might have improved by using the nanofluid, there were many limitations seen in its rheological qualities [25,26]. To address this issue, nanofluid researchers started developing and testing hybrid nanofluids, which leverage the synergic effects of two different nanoparticles, tailored to meet the required applications of various domains [27,28,29]. Keerthi et al. [30] investigates how the wet surroundings affect the fin structure in heat transfer enhancement. Their study shows that improved thermal efficiency and steady-state thermal profiles are achieved gradually by increasing dimensionless time. Notably, they found that lamina-shaped nanoparticles perform the best and larger volume fractions of nanoparticles in hybrid nanofluids improve thermal efficiency. The significance of shape factor analysis is highlighted by the authors in comprehending the impact of distinct nanoparticle shapes on the overall heat transfer efficiency of fins. Francy et al. [31] analyzed the surface hydrophobicity of silicone oil impregnated with silica nanomaterials. The result exhibits improvement in the tensile strength. Pattnaik et al. [32] studied the effect of various shapes of nanoparticles in Fe3O4/H2O nanofluid on heat transfer characteristics. The result showed an attenuation in the heat transfer rate with the decrease in the nanoparticle shape factor. Stability along with thermal conductivity of Fe3O4-OA-MWCNT nanocomposite at various temperatures were experimentally analyzed by Nadeem et al. [33]. The result indicates that the ferrofluids have high aggregation stability with no sign of sedimentation and linear thermal conductivity variation with respect to volume fraction and temperature. Ananth Subray et al. [34] focussed on obtaining the effect of hybrid nanoparticle shape factor on the convective heat transfer of fluid in an inclined duct by using perturbation technique. An enhancement in the fluid flow and temperature distribution was observed with an increase in the value of shape factor. Arifutzzaman et al. [35] evaluated the stability and thermal properties of Ti3C2–f-Gr/Silicone oil hybrid nanofluid for electronic cooling systems. The result showed a decrease in viscosity with the rise in temperature. This finding is beneficial, as it facilitates smoother flow of fluid through channels during the cooling operation of the device. Paul et al. [36] investigated the heat and mass distribution of silicone oil based Casson hybrid nanofluids with copper and silver nanoparticles. The result reveals an enhancement in heat and mass distribution rate with the increase in the Casson parameter. Saranya et al. [37] analysed the effect of shape factor of nanoparticle in a silicone oil based nanofluid around a rotating disk that is extended radially in the presence of magnetic field. The analysis was carried by solving the nonlinear differential equation using shooting method. Blade shaped nanoparticles showed maximum thermal conductivity, while the platelet shaped nanoparticle displayed maximum dynamic viscosity.
Despite the rapid advancements in nanofluid based cooling systems, there are still gaps in understanding the impact of various similarity parameters on the overall thermal performance of these systems. While the previous studies have investigated the various types of nanofluid, the combination of nanoparticles that have good thermal stability, resistant to corrosion and oxidation added to silicone oil and integrated with a porous fin structures have not been studied. In addition, the studies have focused on idealized boundary conditions, overlooking the practical implications of insulated boundary conditions. The proposed model addresses these gaps by employing symmetrical geometries and a unique type of hybrid nanofluid, providing insights into the concentration, boundary condition and the shape of the nanoparticles on the thermal performance of the integrated system, as well as the effectiveness of these hybrid nanofluids in improving the heat transfer rate and thermal efficiency in practical engineering applications. Our study aims to fill the gap in the scientific literature related to mathematical modelling in nanotechnology and advanced thermal engineering. To improve the heat transfer capabilities of hybrid nanofluid in the thermal systems, we need to consider various features like the fin geometry, base fluid properties, and the type of nanoparticles added to the base fluid. This study investigates hemi-spherical porous fin design specifically used for applications with limited space and complex fin base geometries, offering superior heat transfer performance due to its maximized heat dissipation surface area and enhanced forced convection through the porous structure. In our proposed model, we have used silicone oil as base fluid. Silicone oil finds its application at high operating temperature making it an ideal replacement for traditional base fluids such as water and ethylene glycol. The exceptional stability of silicone oil under variation in temperature makes it suitable for use in hybrid nanofluids [38]. Apart from this, silicone oil displays low variation in viscosity across a wide range of temperatures. This property can help in improving heat transfer efficiency of the cooling system. The hydrophobic nature of silicone oil prevents the absorption of water [39]. This can help in reducing corrosion and can improve the thermal performance of the cooling system used in industries. Chemically, the inert nature of silicone oil can lower the maintenance cost of the cooling system, as it can lead to longer operational life. Apart from fin geometry and base fluid properties, the types of nanoparticles added to the base fluid also play a crucial role in enhancing the heat transfer rate. Heat dissipation can be improved by increasing the heat conduction of the base fluid through addition of metal-based nanoparticles to the base fluid. The combination of Fe3O4 and Ni nanoparticles in a hybrid nanofluid creates a synergy that enhances both the thermal conductivity and the stability of the base fluid. These properties make it suitable for thermal management systems in applications such as electronics cooling, aerospace heat exchangers, and automotive engines, where both high thermal conductivity and stability under extreme conditions are critical.
The supermagnetic properties Fe3O4 [40] help in improving thermal efficiency in thermal management systems. Both Fe3O4 and Ni possess very high thermal conductivity that helps in efficient heat regulation in fin structures. Along with high thermal conductivity Ni offers a high melting point up to 1455 degree Celsius that enhances the thermal stability of the system at extreme temperatures [41]. Ni nanoparticles are synthesized through various techniques, exhibits catalytic properties help in boosting thermal efficiency in hybrid nanofluids [42]. The thermal diffusivity of the Nickel allows faster heat spreading, contributing towards better thermal management in high-performance systems. Fe3O4 offers good stability under different thermal conditions, as it is highly resistant to oxidation. This helps in ensuring the reliability of the proposed systems. The mechanical strength and resistance to corrosion of Nickel makes it ideal to use in a harsh operating environment. A key component in the process of enhancing heat transfer is described by the geometry of the hybrid nanoparticles, by considering the shape-factor. In this work, we analyze the shape factor impact on the heat transfer enhancement.
The primary objective of the study is to examine the heat transfer enhancement capabilities and dynamic behavior of the hybrid nanofluid in a moving porous hemi-spherical fin. By thorough examination of the impact of various form factors on heat transfer within the hybrid nanofluid, we gain a deeper understanding of the ideal design parameters that optimize the thermal performance. To accomplish the objectives, we use numerical techniques to investigate the synergic effects of free convective and thermal radiative flow in the moving hemi-spherical fin. The governing equations will be resolved by employing Darcy’s flow model. Numerical simulations will be performed to analyze the hybrid nanofluid’s dynamic behavior and heat transfer enhancement capabilities in a moving hemi-spherical fin. The results obtained are graphically analyzed, and the influence of different shape factors on heat transfer in the hybrid nanofluid are also discussed, with a focus on identifying optimal parameters for maximizing thermal performance. The novelty of this work lies in the effective utilization of three stage Lobatto quadrature numerical technique in analyzing and optimizing the heat flux and thermal efficiency of hybrid nanofluid (Fe3O4 and Ni nanoparticles in silicone oil) integrated with a hemi-spherical shaped porous moving fin structure for various shapes of nanoparticles.
2. Materials and Methods
2.1. Mathematical Formulations
Consider a penetrable hemispherical moving fin embedded in Fe3O4-Ni/C6H18OSi2 hybrid nanofluid. The arrangement of this Integrated Hybrid Nanofluid Hemi-Spherical Fin Model (IHNFHSFM) is depicted in Figure 1. The fin tip is assumed to be adiabatic, as the cooling systems with high efficiency, such as electronic cooling system and heat exchangers in automobile often incorporates mechanisms to minimize heat loss, through insulation. Porous fin has been considered in the model, as it can enhance the convective heat transfer rate. This is due to the increase in the surface area that allows for more contact between the fin and the surrounding fluid. If the pores are filled with a fluid that has high thermal conductivity, the overall heat dissipation can be improved. Darcy’s model is often used to describe the flow of fluid in porous media. The permeability of the pores effects the flow of fluid, in turn the heat transfer rate. Heat transfer to the fin occurs through radiation and convection process, while the fin generates heat internally that is temperature dependent. The temperature-dependent internal heat generation is critical in realistic environments, like heating of electronic devices at high power or heating due to chemical reaction in nuclear reactors. The surrounding hybrid nanofluid absorbs the thermal radiation due to the emissivity of the exposed surface. The model is simplified with the following pre-assumptions.
Figure 1.
Schematic of the flow configuration of the proposed model.
- The shape of the nanoparticles is spherical.
- As the nanoparticles considered in the proposed model are stable over wide range of temperature, the Surface emissivity is assumed stable over operational temperature.
- The heat transfer coefficient is constant. The heat transfer coefficient is often influenced by the temperature difference between the surface and the surroundings, thermal properties of the nanoparticles used in the fluid and the flow properties of the hybrid nanofluid. As the temperature difference between the surface and surrounding fluid is small, nanomaterials used in our study exhibit excellent stability for wide range of operating temperature and the flow of nanofluid is considered to be uniform, heat transfer coefficient is assumed to be constant. This simplifies the mathematical model in carrying out the analysis on the thermal performance of the model with prime focus on nanoparticle shape and concentration, as well as boundary condition.
- The hemispherical fin initially rests at a position with the base temperature and ambient temperature .
Subsequently, the horizontal movement of the fin with a steady velocity results in a loss of heat due to the effect of both radiation and natural convection.
2.2. Mathematical Model
Nomenclature of all used physical quantities is provided after the reference section. The thermal equilibrium equation of a hemispherical porous fin at cross-section ‘dx’ in a hybrid nanofluid based on the specified pre-assumptions is [21,43]:
where
- is internal heat generation given as [43]:
- is the mass flow rate given as:
- is the passage velocity, from the Darcy’s model it is given as:
Using Equations (2)–(4) in Equation (1), the thermal equilibrium equation is rewritten as:
where denotes the heat flux. the volumetric coefficient of thermal expansion, effective dynamic viscosity, specific heat with constant pressure, effective density, local fin temperature and ambient temperature of the fin respectively. The subscript ℎnf denotes hybrid nanofluid. The axial distance is denoted by where as , , h1, ,, ω, , , , are Permeability, Shape factor, Acceleration due to gravity, Heat transfer coefficient, Latent heat of water evaporation, Porosity, Humidity ratio of the saturated air, Humidity ratio of the surrounding air, Surface emissivity of fin, Stefan –Boltzmann constant, Uniform mass transfer Coefficient respectively.
Using Fourier law of conduction, the heat flux is given by [43]
where denotes the cross-sectional area. The cross-sectional radius in terms of radius R1 of the sphere and the distance is given by
The coefficient of heat transfer in terms of convective heat transfer coefficient at ambient temperature and power law index is given by [43]
Further it is written in terms of mass transfer coefficient, Lewis number and specific heat capacity as
On substituting Equations (6)–(8) in Equation (5) reduces to
As the fin tip is adiabatic, the boundary constraints are given by
Rescaling the variables of Equation (9)
Applying the Equation (11) in (9) the equation transforms to the dimensionless ODE is given by
The non-dimensionalised boundary constraints are given by
In the equation, n, and are non-dimensional ambient temperature, wet porous parameter, generation parameter, power index, radiative parameter and convective parameter respectively. The dimensionless axial distance and temperature are where as are constants.
2.3. Physical Properties
Table 1 [44,45] presents the physical characteristics of nanofluid and hybrid nanofluids, where the variable is the empirical constant, indicates solid nanoparticle 1 (Ni), solid nanoparticle 2 (Fe3O4), base fluid and nanofluid, represents solid volume fraction of Ni and Fe3O4. Table 2 displays the physical properties of contents of hybrid nanofluid mixture.
Table 1.
Physical characteristics of fluids.
Table 2.
Properties of each content of hybrid nanofluid [45,46,47].
2.4. Thermal Efficiency
Fin efficiency aids in evaluating the thermal performance of the fin as well as their design. Higher efficiency indicates the effective dissipation of heat by the fin. It quantifies the heat dissipated by the fin compared to its maximum potential.
Mathematically it is given by,
where is the actual heat dissipation and is the maximum potential heat dissipation.
2.5. Numerical Procedure
Due to nonlinear nature of the obtained ODE, the differential equation presented in the Equation (12) requires numerical integration. Here, four-stage Lobatto IIIA (L-IIIA) numerical technique [48] is used, due to its robust stability and convergence properties. Four-stage Lobatto-IIIA numerical technique offers greater accuracy and stability with fewer steps as compared to lower order methods such as Euler’s and Runge kutta’s numercal techniques. This helps in handling stiff nonlinear ODEs in the heat transfer models with temperature dependent parameters. This technique belongs to the family collocation methods. It breaks down the differential equation solution into four interdependent stages i.e the solution obtained in the one stage depends on the others, ensuring the balance between the accuracy and computational efficiency. The method applied results in a very precise representation of the solution’s curvature in our graphs.
The dimensionless governing equation is rewritten as
where and
Integrating from to , where is the interval length, the system of integral equations are given by
Applying four point quadrature formula to solve the integral Equations (15) and (16) to move from to , , is the step size.
where , . The Equation (17) to Equation (26) are solved for the boundary condition given in Equation (13) with a step size of 0.001 and convergence criteria of to obtain the fin dimensionless temperature and temperature gradient using MATLAB simulation tool.
3. Results
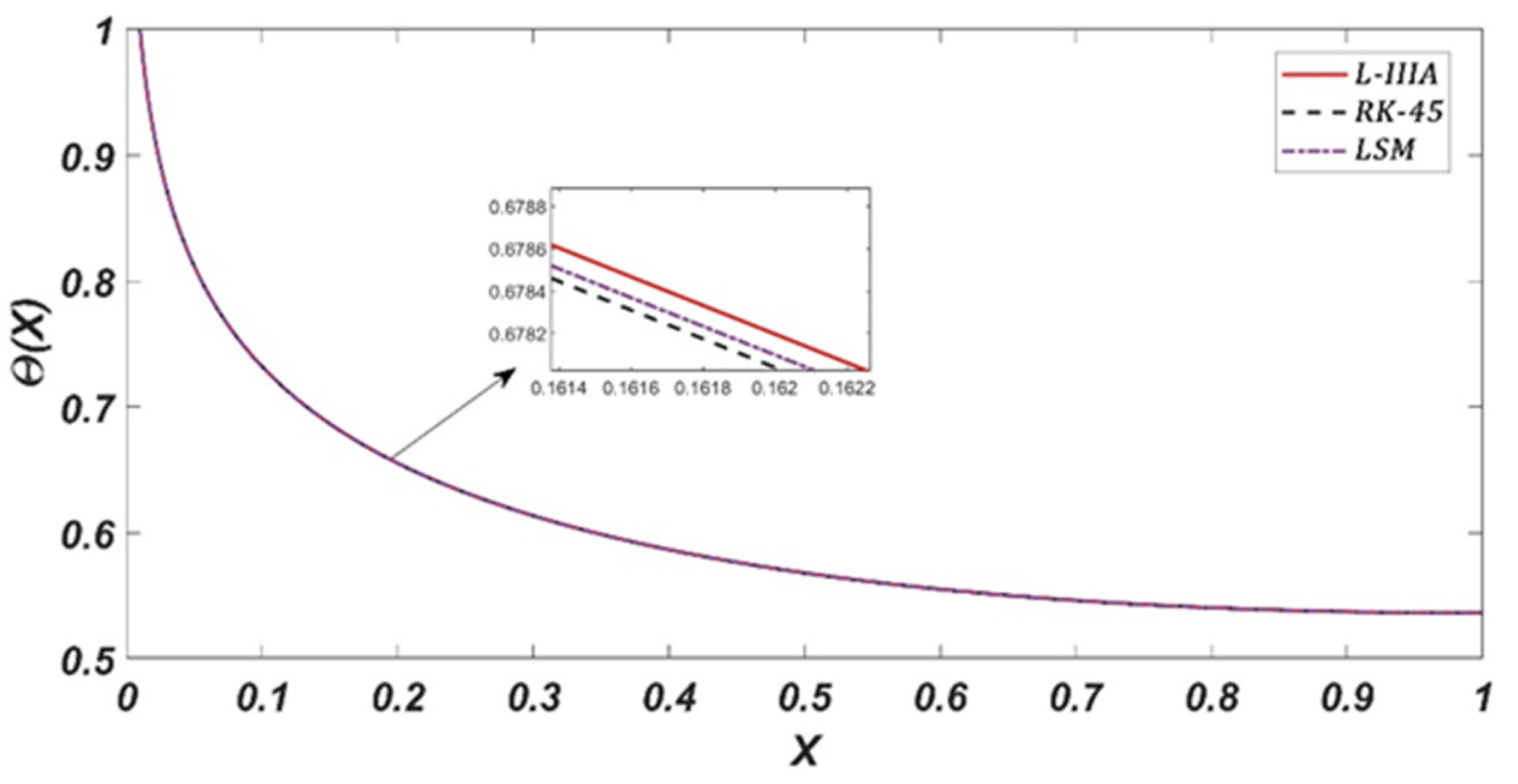
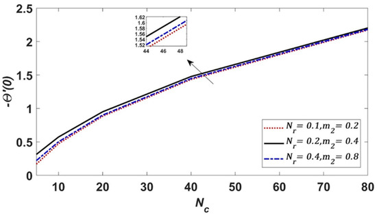
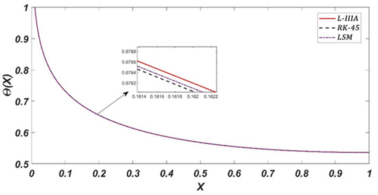
Figure 2 displays the variation of along its axial distance using L-IIIA, RKF and LSM numerical technique for hemi-spherical fin with . Table 3 displays the record of the comparison between the values obtained using L-IIIA numerical technique that is used in our present investigation and the existing values [49]. It clearly confirms the congruence of all the three solutions.
Figure 2.
Variation of along its axial distance.
Table 3.
Comparison of L-IIIA numerical technique with the existing result of Ramesh et al. [49] for .
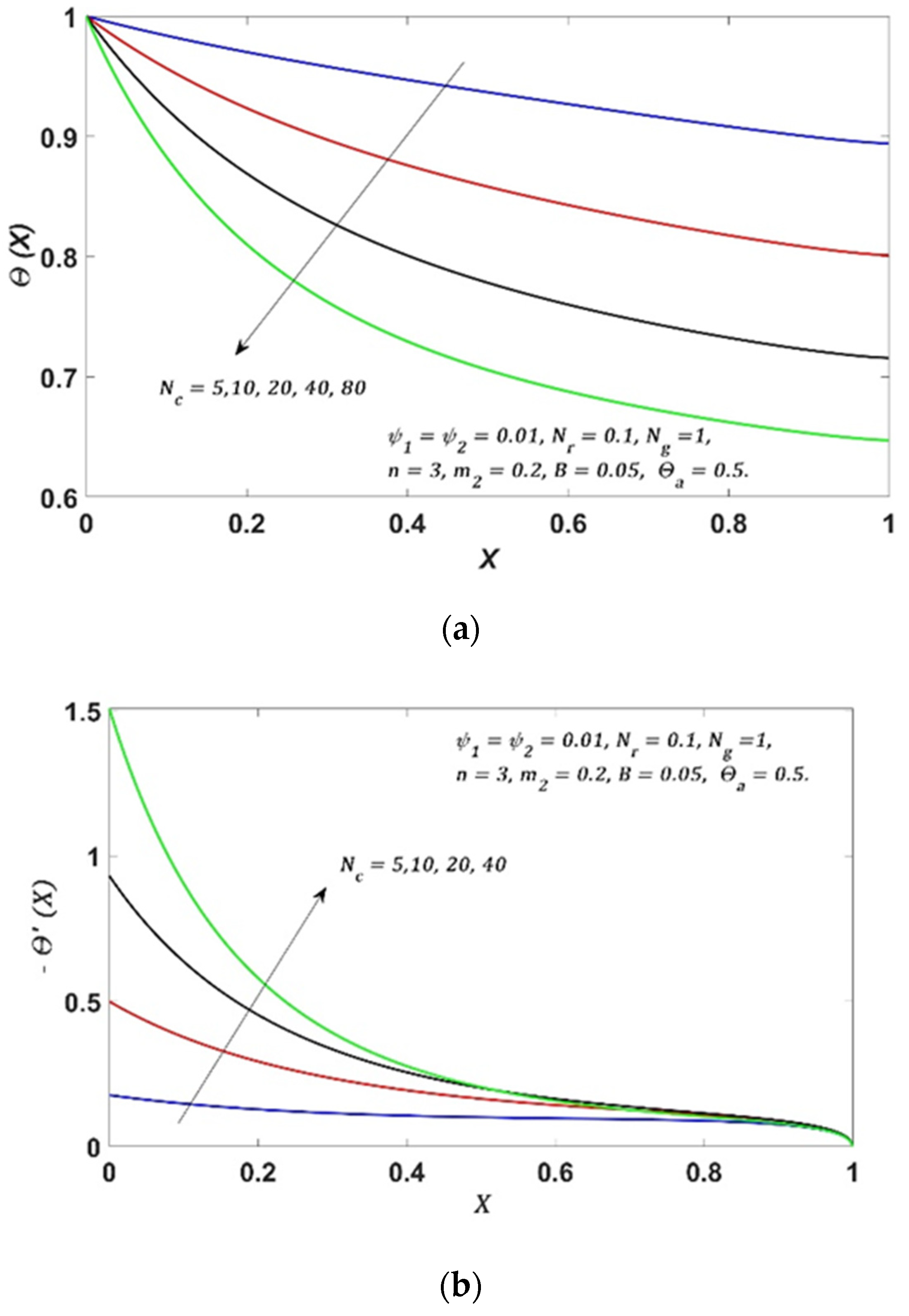
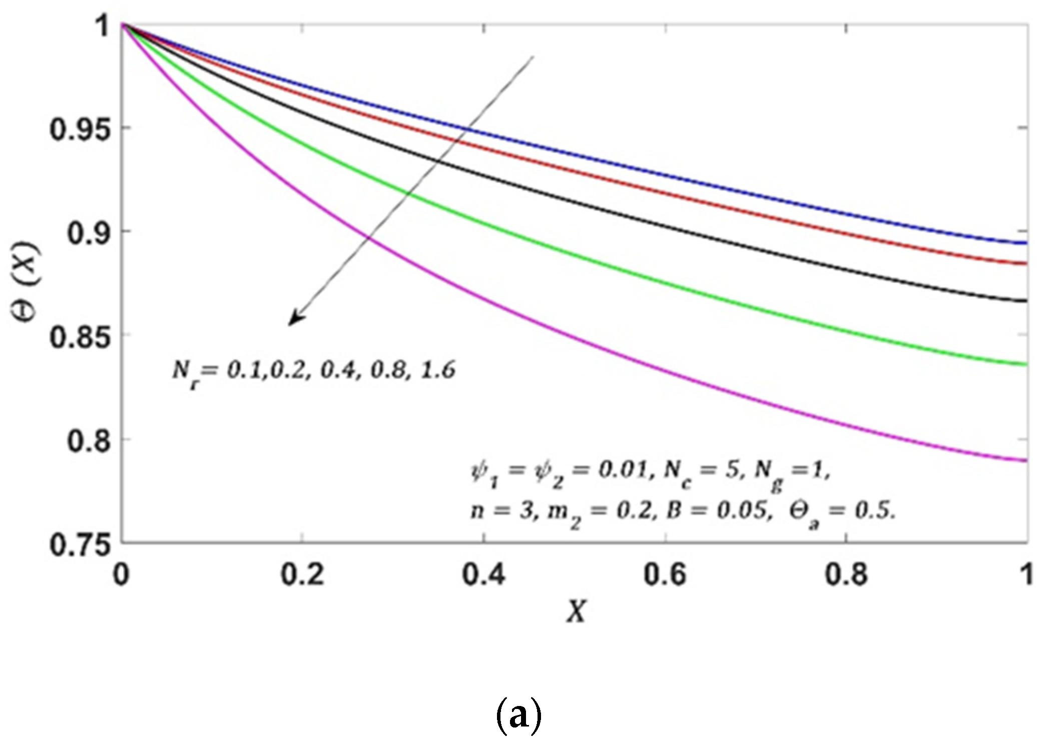
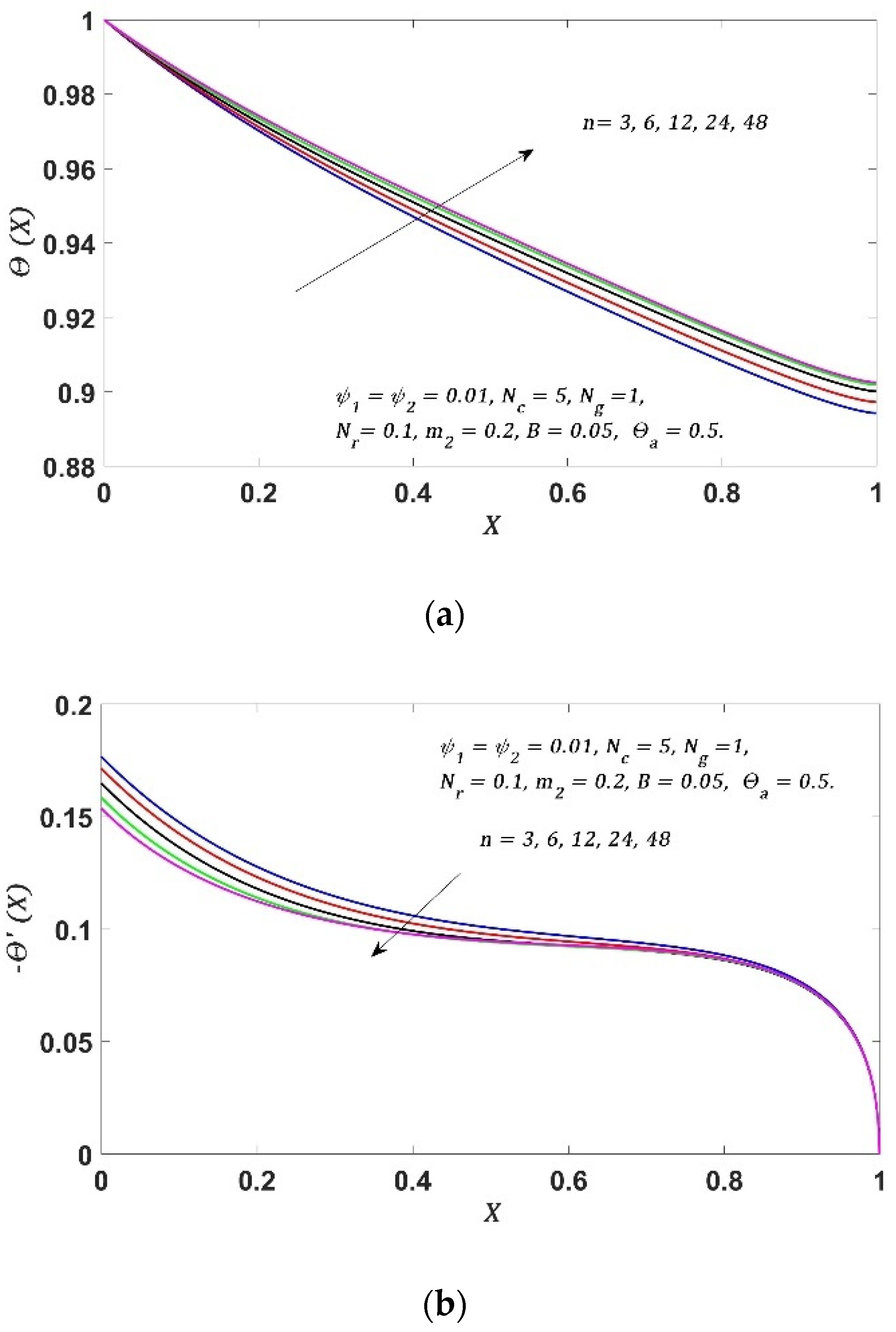
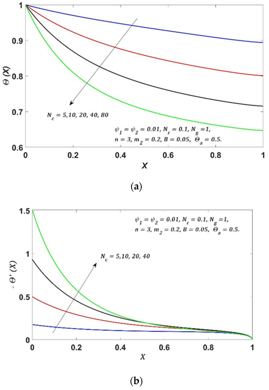
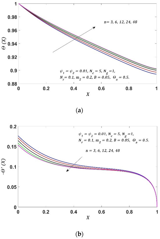
The convective heat transfer performance of hybrid nanofluids is quantitatively characterized using convective parameter ‘’. The dimensionless fin temperature and temperature gradient for different values of are shown in Figure 3a,b. The thermal profile reduces, and the thermal gradient increases with the increase in the values, which means temperature is uniformly distributed across the system. If we relate this to Darcy’s model, as convective parameter increases, the Darcy’s number increases, thereby influencing in the rise of the permeability effect, which will ease the fluid flow in our porous medium. Quantitatively, a drop of 7.67% in the temperature distribution profile is observed with 100% rise in the value of , implying a better contact of the fluid with the pores, thereby enhancing the heat transfer rate of IHNFHSFM. The Figure 4a,b displays the control of radiative parameter over the dimensionless fin temperature and the temperature gradient. Increasing the value of radiative parameter decreases the temperature profile along the fin length and increases the temperature gradient. This implies that the radiation effect from the fin gets stronger as we increase the radiation parameter, and more heat is radiated away from fin surface to the surrounding hybrid nanofluid. From our simulation, a drop of 5.54% in the dimensionless fin temperature is observed with 100% rise in the value of ‘’, implying that the system is cooling the fin at a faster rate leading to a lower temperature profile. The flow behaviour of hybrid nanofluid is represented by the power law index ‘n’, and its impact on the temperature distribution and temperature gradient are depicted in Figure 5a,b. An Increase in the value of ‘n’ parameter enhances the thermal profile and decreases the temperature gradient, as the fluid gains more resistance due to increase in non-linearity in its flow. It traps the heat and keeps the fin warmer, thereby increasing the heat transfer rate internally. For smaller values of ‘n’, fluid flow is linear, and the heat is efficiently dissipated from the fin due to lower resistance, keeping the fin cooler. In this case, the temperature difference is higher between the fin and the fluid, thereby increasing the heat transfer rate of IHNFHSFM. From our simulations, it was observed that decreasing the value of ‘n’ by 100%, the temperature profile drops by 0.33%.
Figure 3.
(a) Repercussion of on thermal profile. (b) Repercussion of on thermal gradient.

Figure 4.
(a) Repercussion of on thermal profile. (b) Repercussion of on thermal gradient.
Figure 5.
(a) Repercussion of n on thermal profile. (b) Repercussion of n on thermal gradient.
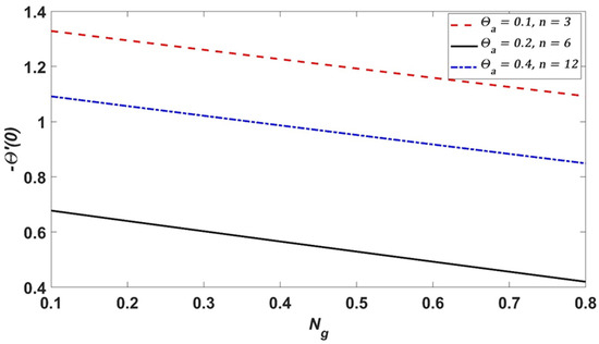
The interaction of Fe3O4-Co/C6H18OSi2 hybrid nanofluid within the porous structure of the hemi-spherical fin is described by the wet porous parameter ‘’. Its influence on the dimensionless fin temperature and temperature gradient are shown in Figure 6a,b. As value increases, the fin holds more fluid, increasing its overall heat capacity. The findings from our simulation demonstrates that, as the value of increases, the temperature distribution decreased by an average of 3.20%, implying higher surface area for the heat transfer. The surrounding hybrid nanofluid temperature is represented by ambient temperature . Its effect on fin temperature and temperature gradient are graphically illustrated in Figure 7a,b. As per our simulated results, a rise of 100% in , enhances the temperature profile by 15.88%, implying a decrease in the convective heat transfer, as the thermal gradient between the fin and the surrounding hybrid nanofluid decreases. The impact of generation parameter ‘’ provides a spatial variation of heat generated per unit volume of the fin, which is analysed in Figure 8. The simulation outcome shows that the thermal profile shifts up with increase in the value of . An average increase of 4.74% in thermal profile is observed with 100% rise in values, thereby enhancing the thermal efficiency of IHNFHSFM.
Figure 6.
(a) Repercussion of on thermal profile. (b) Repercussion of on thermal gradient.
Figure 7.
(a) Repercussion of on thermal profile. (b) Repercussion of on thermal gradient.

Figure 8.
(a) Repercussion of on thermal profile. (b) Repercussion of on thermal gradient.
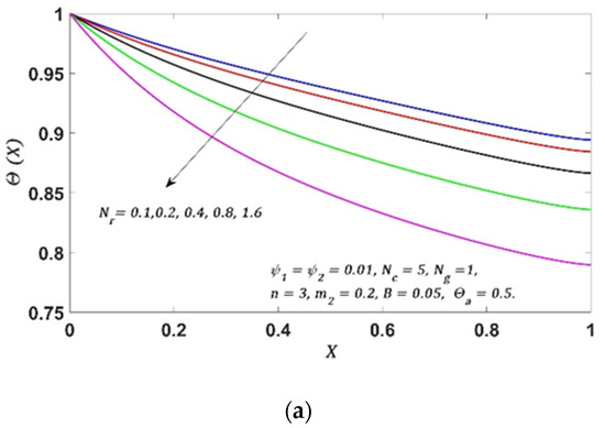
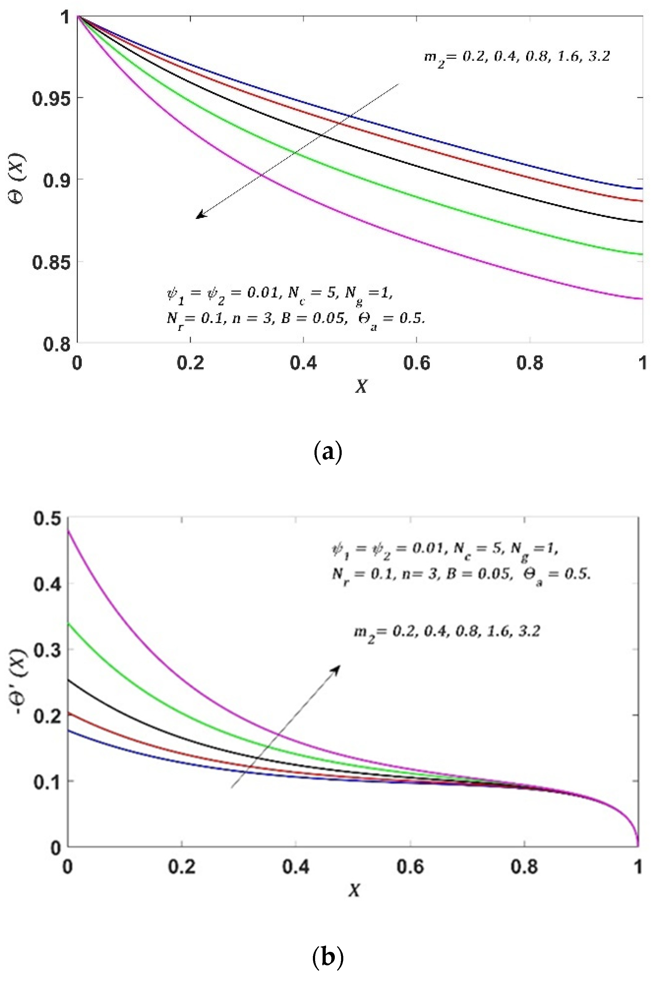
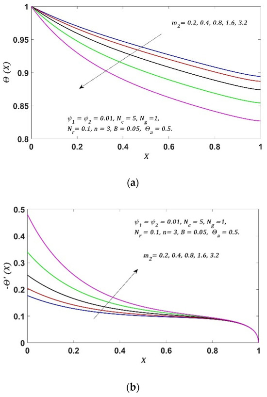
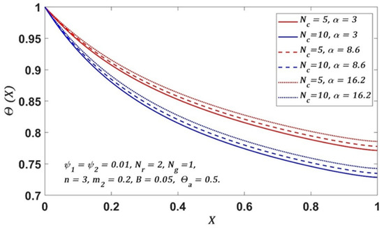
The shape-factor of the hybrid nanoparticles in hybrid nanofluid significantly contributes towards enhancing the heat transfer efficiency. The simulated result for various considered values of shape factor is graphically illustrated in Figure 9, Figure 10, Figure 11 and Figure 12. The nanofluid containing lamina-shaped nanoparticles demonstrated the most significant elevation in temperature profiles, with blade-shaped nanoparticles exhibiting a moderately lower enhancement, followed by spherical shaped nanoparticles, which showed the least enhancement. Higher value of shape factor implies that the nanoparticle has a larger surface area to interact, which can help in enhancing the transfer of convective thermal energy from the fin surface. The result from the analysis indicates that, as we change the shape of the nanoparticles from spherical to blade, 0.51% enhancement in the thermal profile is observed. This further enhances by 0.59% in the case of shift in change from blade to lamina-shaped nanoparticles, thus making them an optimal choice for selection as they exhibit the best heat transfer performance compared to the other shapes considered.
Figure 9.
Repercussion of Shape-factor on thermal profile.
Figure 10.
Temperature profile for spherical shape nanoparticles and various values of .
Figure 11.
Temperature profile for blade shape nanoparticles and various values of .
Figure 12.
Temperature profile for lamina shape nanoparticles and various values of .
4. Discussion
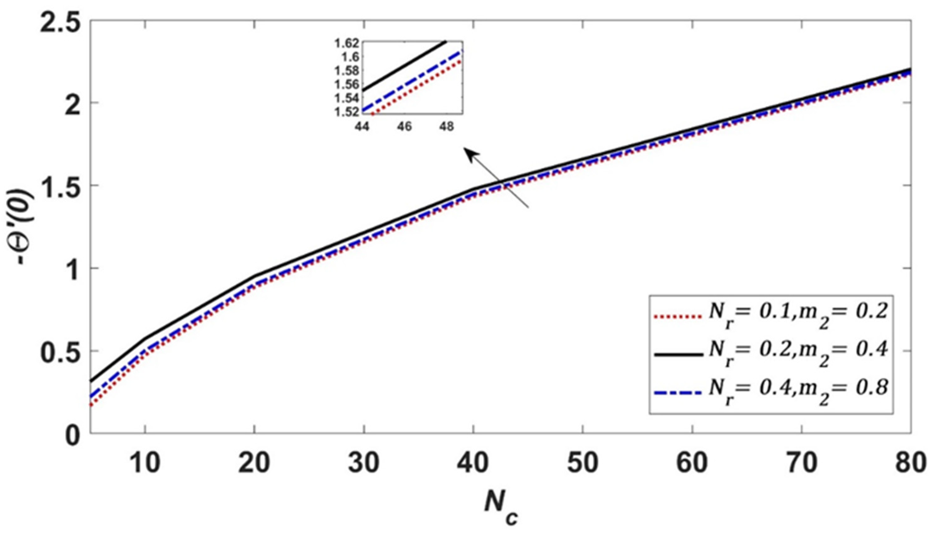
The overall thermal performance of the proposed model is evaluated in terms of heat flux and thermal efficiency. The heat flux is determined by the temperature gradient, which is responsible for the variation in the ambient temperature and the internal heat generation in the system. In addition, it is also influenced by the convective heat transfer coefficient, which is affected by the fluid flow and the porosity of the medium. Figure 13 depicts the variation of heat flux with respect to and values. The heat flux increases with the increase in the values of and m2. From the simulation result obtained, it is observed that the maximum percentage enhancement in the heat flux occurs when the value of changes two-fold from 5 to 10 for m2 = 0.2, and m2, value changes two-fold from 0.4 to 0.8, 0.2 to 0.4 for = 5. For optimized enhancement in heat flux, and m2 values can be adjusted in the range of 5 to 10, 0.2 to 0.4 and 0.4 to 0.8. In devices like computer processors, power electronics, managing the heat flux is essential for preventing the thermal bottlenecks that can significantly impact the device performance and durability. Optimizing the heat flux by adjusting the values of Nc and Nr can improve the heat dissipation and reduce localized hotspots. Optimizing the heat flux by adjusting the values of can enhance the fluid flow and convective heat transfer in heat exchangers. Figure 14 depicts the repercussion of , n on heat flux for various values of . The heat flux decreases with the increase in the values of , n and . The negative repercussion on the heat flux can help in mitigating adverse thermal gradients and can improve thermal efficiency. In energy recovery systems, reducing the values of can improve the heat flux and can maximize the energy capture.
Figure 13.
Repercussion of on for various values of .
Figure 14.
Repercussion of , n on for various values of .
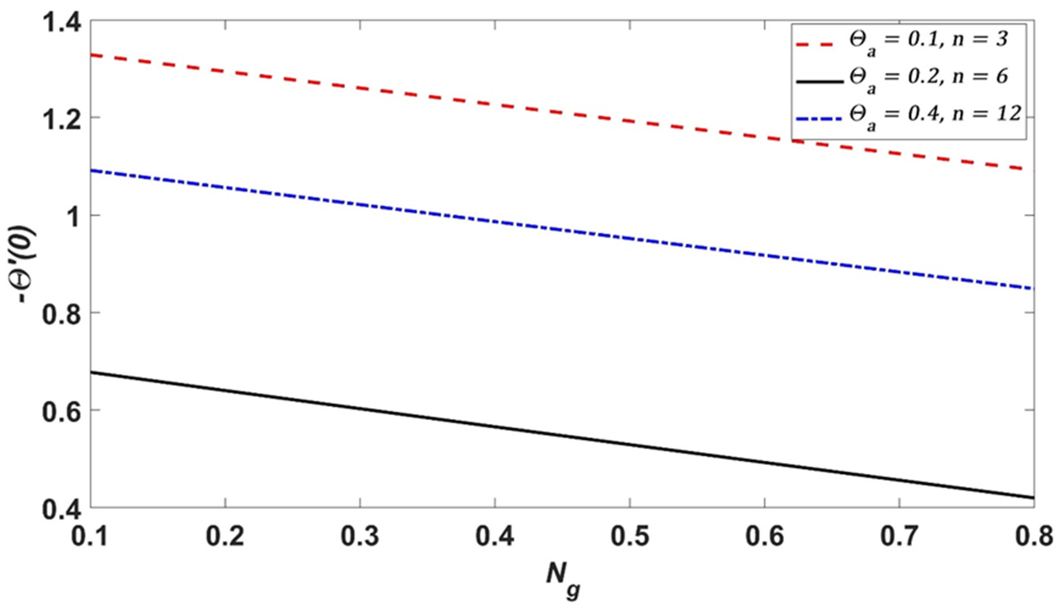
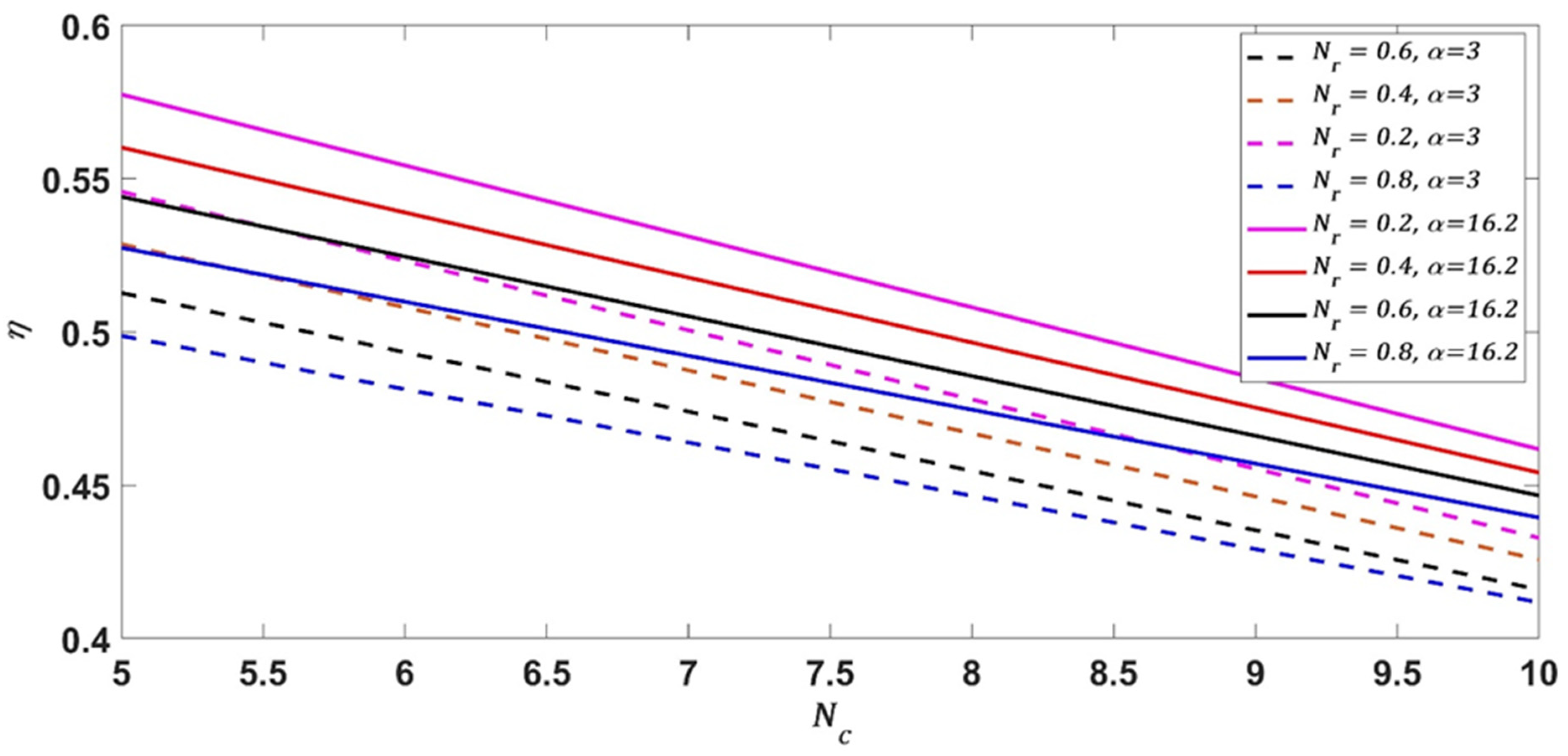
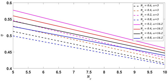
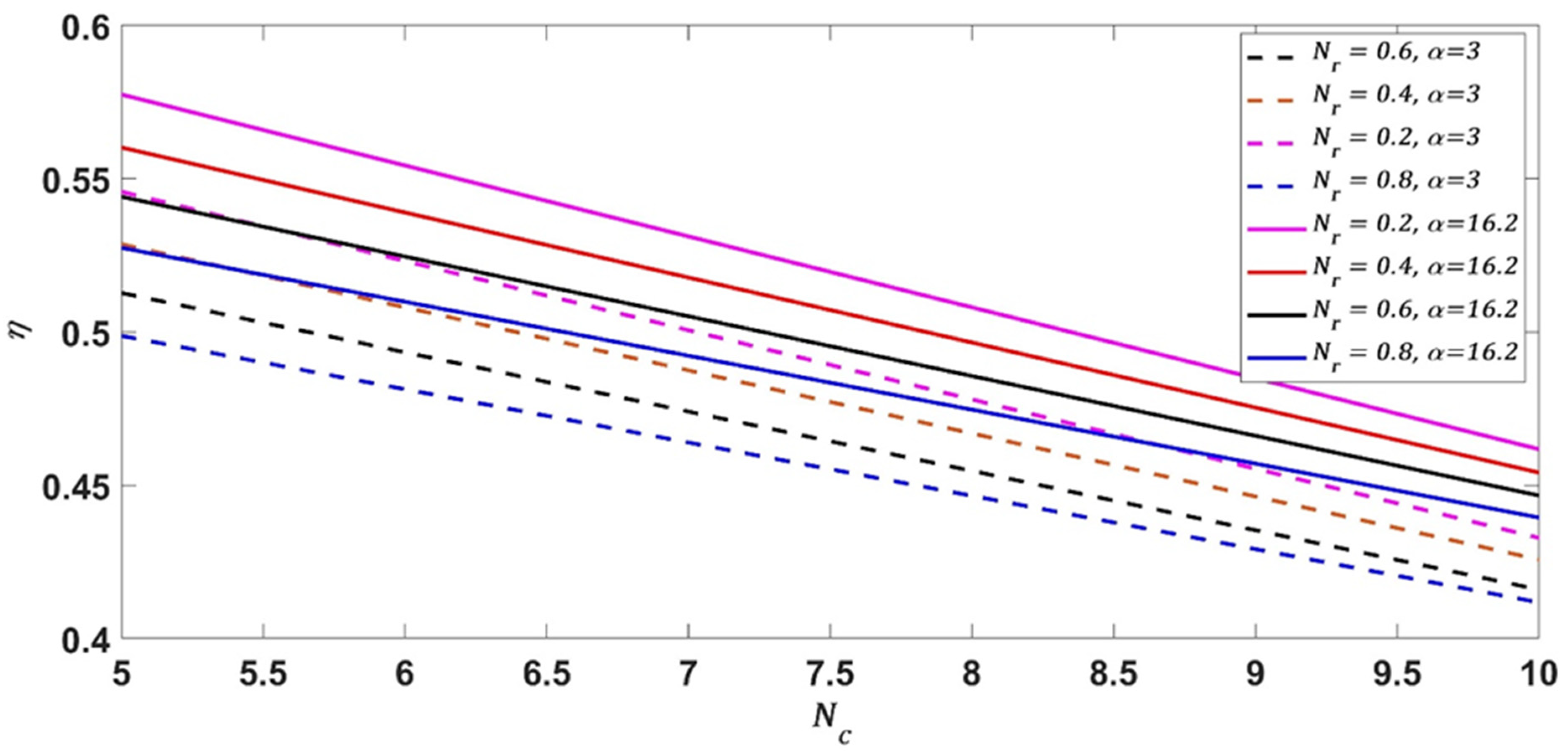
Figure 15 depicts the repercussion of and shape factor on thermal efficiency for various values of . It is observed that the fin efficiency decreases with increase in , values, but increases with the nanoparticle shape factor. To optimize the thermal performance, the fin efficiency can be enhanced at lower values of and by changing the shape of the nanoparticles from spherical to lamina, as lamina shape outperforms the rest of the shapes considered. In addition, the fin efficiency increases with and values as well as with the shape factor. The variation of fin efficiency with and values for various values of shape factor is depicted in Figure 16. The simulation result shows that the lamina shape combination of nanoparticles outperforms the rest of the shape combination. By changing the shape of the nanoparticles from spherical to lamina, designers can achieve superior thermal efficiency in heat sink applications. This can improve the durability of the components in microprocessors. Also, larger surface area of lamina shaped nanoparticle effectively enhances the heat transfer and better thermal conductivity that can help in dissipating heat during battery operation. The percentage enhancement in the heat flux for two-fold rise in and values are depicted in Figure 17 and Figure 18.
Figure 15.
Repercussion of and shape factor on η for various values of .
Figure 16.
Repercussion of and shape factor on η for various values of .
Figure 17.
% Enhancement in heat flux with two-fold rise in for various values of ,.
Figure 18.
% Enhancement in heat flux with two-fold rise in , for various values of .
5. Conclusions
The findings of this study demonstrate the use of silicone oil-based hybrid nanofluid Fe3O4-Ni/C6H18OSi2 for efficient heat transfer applications, by optimizing the influence of thermal parameters and nanoparticle shapes in a moving wet porous hemi-spherical fin. The thermal performance of IHNFHSFM is assessed based on the fin’s thermal efficiency and the heat flux for various value of similarity parameters and shape factor. The results are summarized below:
- An increase in convective , radiative , and wet porous media parameters resulted in a decrease in Θ, signifying an elevated heat transfer rate and reduced thermal resistance. This enables faster temperature regulation, reducing energy consumption and operational costs in industries like power generation and chemical processing. Also, the lifespan of the integrated chips used in power electronics that dissipate heat during its operation can be enhanced by incorporating this model as a heat sink.
- Higher values of power law index n, ambient non-dimensional temperature , internal heat generation B, and generation parameter increases Θ, implying an increased internal heat generation and a stronger thermal driving force.
- The shape factor of nanoparticles critically affects heat transfer, with lamina shaped nanoparticles outperforming the spherical and blade shapes. The better interaction of lamina shaped nanoparticle with the base fluid due to its larger surface area to volume ratio as compared to spherical and blade shapes improves thermal conductivity and convective heat transfer coefficient of the hybrid nanofluid, helps to maintain optimal heat in automotive radiators and aerospace cooling units. This can reduce the risk of component failure due to excessive heat. Although, the spherical shape at least enhances the thermal conductivity as compared to lamina and blade shapes, still it is preferred in microelectronics cooling due to its stability and lower impact on viscosity.
- Heat flux enhances with the increase in and values but decreases with increase in the values of and . Optimizing the heat flux can prevent thermal bottle necks that can improve the durability of the device through efficient heat dissipation in applications such as computer processors.
- Fin efficiency enhances with the increase in and values. but decreases with the increase in the values of and . Adjusting , values to enhance the fin efficiency can be useful in cooling the engine temperature more effectively in high performance vehicles, improving fuel efficiency. Optimizing the fin efficiency by adjusting and values can prolong the lifespan of solar panels through better energy conversion in hot climates.
- Limitations:
The conducted simulations shed light on the thermal performance of the model that can be incorporated in high power applications. However, it’s crucial to mention certain limitations. One such significant constraints are the reliance on a numerical model that provides valuable insights without experimental validation. The assumptions and the simplifications may not fully capture the complexities of the real-world systems. Nano particle sedimentation, agglomeration and temperature fluctuation can lead to discrepancies between the results obtained from simulation and experiment.
Future studies can be carried on:
- Exploring alternative nanoparticle size, shapes and materials that can further improve the thermal performance of the system.
- Investigating non-toxic, biodegradable nanoparticles that can maintain high performance and yield sustainable solutions
- Utilizing machine learning and artificial intelligence to improve the accuracy of model predicting the thermal behaviour.
- Validating the model through experiments by replicating the simulated conditions, also conducting sensitivity analysis to identify the critical parameters that significantly affect the model. This will ensure the application of findings in the real-world scenarios. Further research can be explored on their long-term stability of hybrid nanofluids with different nanoparticle shapes and investigating their economic and environmental impacts of large-scale implementation, can enable the way for their commercial use.
Author Contributions
Conceptualization, R.G.P., A.G.P. and K.P.; methodology, R.G.P. and A.G.P.; software, A.G.P., K.P. and L.R.; validation, R.G.P., A.G.P. and K.P.; formal analysis, R.G.P., A.G.P., K.P. and L.R.; investigation, R.G.P. and A.G.P.; data curation, K.P. and L.R.; writing, R.G.P., A.G.P. and L.R.; writing—review and editing, R.G.P. and A.G.P.; visualization, R.G.P. and K.P.; supervision, R.G.P. and A.G.P.; project administration, R.G.P. All authors have read and agreed to the published version of the manuscript.
Funding
This research received no external funding.
Data Availability Statement
The data that support the findings of this study are available from the corresponding author [R.G.P.], upon reasonable request.
Conflicts of Interest
The authors declare no conflicts of interest.
Nomenclature
| Heat flux | f | Shape factor | |
| Mass flow rate | Acceleration due to gravity (m/s2) | ||
| Internal heat generation | h1 | Heat transfer coefficient (W/m2K) | |
| Passage velocity | Convective heat transfer coefficient | ||
| Volumetric coefficient of thermal expansion (1/K) | Latent heat of water evaporation (J/Kg) | ||
| Effective dynamic viscosity (Kg/ms) | Porosity | ||
| specific heat with constant pressure(J/KgK) | Surface emissivity of fin | ||
| Effective density (Kg/m3) | Stefan –Boltzmann constant | ||
| Local fin temperature (K) | Uniform mass transfer Coefficient | ||
| Permeability (N/A2) | Steady velocity | ||
| Ambient temperature of the fin (K) | ω | Humidity ratio of the saturated air | |
| Base temperature | Humidity ratio of the surrounding air | ||
| Axial distance (m) | Lewis Number | ||
| The cross–sectional radius | Temperature sensitivity coefficient | ||
| R1 | Radius of the Sphere | The dimensionless axial distance | |
| Power law index | The dimensionless temperature | ||
| constants | Ambient non-dimensional temperature | ||
| Convective parameter | B | Internal heat generation | |
| Radiative parameter | Generation parameter | ||
| Wet porous media parameter | Thermal conductivity (W/mK) | ||
| Empirical constant | Base fluid | ||
| volume fraction of Ni and Fe3O4 | Nanofluid | ||
| nanoparticle 1 (Ni), solid nanoparticle 2 (Fe3O4) | Hybrid nanofluid |
References
- Obalalu, A.M.; Ahmad, H.; Salawu, S.O.; Olayemi, O.A.; Odetunde, C.B.; Ajala, A.O.; Abdulraheem, A. Improvement of mechanical energy using thermal efficiency of hybrid nanofluid on solar aircraft wings: An application of renewable, sustainable energy. Waves Random Complex Media 2023, 1–30. [Google Scholar] [CrossRef]
- Benkhedda, M.; Boufendi, T.; Tayebi, T.; Chamkha, A.J. Convective heat transfer performance of hybrid nanofluid in a horizontal pipe considering nanoparticles shapes effect. J. Therm. Anal. Calorim. 2020, 140, 411–425. [Google Scholar] [CrossRef]
- Farhan, M.; Saad Hameed, M.; Suleman, H.M.; Anwar, M. Heat transfer enhancement in transformers by optimizing fin designs and using nanofluids. Arab. J. Sci. Eng. 2019, 44, 5733–5742. [Google Scholar] [CrossRef]
- Ma, F.; Zhu, T.; Zhang, Y.; Lu, X.; Zhang, W.; Ma, F. A review on heat transfer enhancement of phase change materials using fin tubes. Energies 2023, 16, 545. [Google Scholar] [CrossRef]
- Gaikwad, A.; Sathe, A.; Sanap, S. A design approach for thermal enhancement in heat sinks using different types of fins: A review. Front. Therm. Eng. 2023, 2, 980985. [Google Scholar] [CrossRef]
- Sharma, P.O.; Barewar, S.D.; Chougule, S.S. Experimental investigation of heat transfer enhancement in pool boiling using novel Ag/ZnO hybrid nanofluids. J. Therm. Anal. Calorim. 2021, 143, 1051–1061. [Google Scholar] [CrossRef]
- Dhumal, A.R.; Kulkarni, A.P.; Ambhore, N.H. A comprehensive review on thermal management of electronic devices. J. Eng. Appl. Sci. 2023, 70, 140. [Google Scholar] [CrossRef]
- Kannan, C.; Sathyabalan, P.; Ramanathan, S. A numerical research of heat transfer in rectangular fins with different perforations. Int. J. Innov. Technol. Explor. Eng. 2019, 8, 367–371. [Google Scholar] [CrossRef]
- Abdulateef, A.M.; Mat, S.; Abdulateef, J.; Sopian, K.; Al-Abidi, A.A. Geometric and design parameters of fins employed for enhancing thermal energy storage systems: A review. Renew. Sustain. Energy Rev. 2018, 82, 1620–1635. [Google Scholar] [CrossRef]
- Khudhur, D.S.; Al-Zuhairy, R.C.; Kassim, M.S. Thermal analysis of heat transfer with different fin geometry through straight plate-fin heat sinks. Int. J. Therm. Sci. 2022, 174, 107443. [Google Scholar] [CrossRef]
- Kundu, B.; Wongwises, S. A decomposition analysis on convecting–radiating rectangular plate fins for variable thermal conductivity and heat transfer coefficient. J. Frankl. Inst. 2012, 349, 966–984. [Google Scholar] [CrossRef]
- Kiwan, S.; Al-Nimr, M.A. Using porous fins for heat transfer enhancement. J. Heat Transfer 2001, 123, 790–795. [Google Scholar] [CrossRef]
- Ramesh, G.K.; Manohar, G.R.; Madhukesh, J.K.; Venkatesh, P.; Gireesha, B.J. Thermal aspects of a radiative-convective semi-spherical porous fin of functionally graded material. Eur. Phys. J. Plus 2024, 139, 97. [Google Scholar] [CrossRef]
- Asadian, H.; Zaretabar, M.; Ganji, D.D.; Gorji-Bandpy, M.; Sohrabi, S. Investigation of Heat Transfer in Rectangular Porous Fins (Si3N4) with Temperature-Dependent Internal Heat Generation by Galerkin’s Method (GM) and Akbari-Ganji’s Method (AGM). Int. J. Appl. Comput. Math. 2017, 3, 2987–3000. [Google Scholar] [CrossRef]
- Darvishi, M.T.; Gorla, R.S.R.; Khani, F. Natural convection and radiation in porous fins. Int. J. Numer. Methods Heat Fluid Flow 2013, 23, 1406–1420. [Google Scholar] [CrossRef]
- Khan, N.A.; Sulaiman, M.; Alshammari, F.S. Heat transfer analysis of an inclined longitudinal porous fin of trapezoidal, rectangular and dovetail profiles using cascade neural networks. Struct. Multidiscip. Optim. 2022, 65, 251. [Google Scholar] [CrossRef]
- Awasarmol, U.V.; Pise, A.T. An experimental investigation of natural convection heat transfer enhancement from perforated rectangular fins array at different inclinations. Exp. Therm. Fluid Sci. 2015, 68, 145–154. [Google Scholar] [CrossRef]
- Nabati, M.; Jalalvand, M.; Taherifar, S. Sinc collocation approach through thermal analysis of porous fin with magnetic field. J. Therm. Anal. Calorim. 2021, 144, 2145–2158. [Google Scholar] [CrossRef]
- Hoseinzadeh, S.; Heyns, P.S.; Chamkha, A.J.; Shirkhani, A. Thermal analysis of porous fins enclosure with the comparison of analytical and numerical methods. J. Therm. Anal. Calorim. 2019, 138, 727–735. [Google Scholar] [CrossRef]
- Hosseinzadeh, S.; Hosseinzadeh, K.; Hasibi, A.; Ganji, D.D. Thermal analysis of moving porous fin wetted by hybrid nanofluid with trapezoidal, concave parabolic and convex cross sections. Case Stud. Therm. Eng. 2022, 30, 101757. [Google Scholar] [CrossRef]
- Atouei, S.A.; Hosseinzadeh, K.; Hatami, M.; Ghasemi, S.E.; Sahebi, S.A.R.; Ganji, D.D. Heat transfer study on convective–radiative semi-spherical fins with temperature-dependent properties and heat generation using efficient computational methods. Appl. Therm. Eng. 2015, 89, 299–305. [Google Scholar] [CrossRef]
- Manohar, G.R.; Venkatesh, P.; Gireesha, B.J.; Madhukesh, J.K.; Ramesh, G.K. Dynamics of hybrid nanofluid through a semi spherical porous fin with internal heat generation. Partial. Differ. Equ. Appl. Math. 2021, 4, 100150. [Google Scholar] [CrossRef]
- Choi, S.U.; Eastman, J.A. Enhancing Thermal Conductivity of Fluids with Nanoparticles; No. ANL/MSD/CP-84938; CONF-951135-29; Argonne National Lab. (ANL): Argonne, IL, USA, 1995. [Google Scholar]
- Baslem, A.; Sowmya, G.; Gireesha, B.J.; Prasannakumara, B.C.; Rahimi-Gorji, M.; Hoang, N.M. Analysis of thermal behavior of a porous fin fully wetted with nanofluids: Convection and radiation. J. Mol. Liq. 2020, 307, 112920. [Google Scholar] [CrossRef]
- Kanthimathi, T.; Bhramara, P.; Atgur, V.; Rao, B.N.; Banapurmath, N.R.; Sajjan, A.M.; Krishnappa, S. Thermophysical properties and heat transfer in mono and hybrid nanofluids with different base fluids: An overview. J. Therm. Anal. Calorim. 2024, 149, 1649–1666. [Google Scholar] [CrossRef]
- Alfellag, M.A.; Kamar, H.M.; Sidik, N.A.C.; Muhsan, A.S.; Kazi, S.N.; Alawi, O.A.; Abidin, U. Rheological and thermophysical properties of hybrid nanofluids and their application in flat-plate solar collectors: A comprehensive review. J. Therm. Anal. Calorim. 2023, 148, 6645–6686. [Google Scholar] [CrossRef]
- Shaik, A.H.; Chakraborty, S.; Saboor, S.; Kumar, K.R.; Majumdar, A.; Rizwan, M.; Chandan, M.R. Cu-Graphene water-based hybrid nanofluids: Synthesis, stability, thermophysical characterization, and figure of merit analysis. J. Therm. Anal. Calorim. 2024, 149, 2953–2968. [Google Scholar] [CrossRef]
- Ribeiro, H.; Taha-Tijerina, J.J.; Gomez, O.; Acosta, E.; Pinto, G.M.; Moraes, L.R.; Lozano, K. Thermal Transport and Rheological Properties of Hybrid Nanofluids Based on Vegetable Lubricants. Nanomaterials 2023, 13, 2739. [Google Scholar] [CrossRef]
- Parashar, N.; Yahya, S.M. Thermophysical and rheological properties of hybrid nanofluids: A review on recent studies. J. Therm. Anal. Calorim. 2021, 147, 4411–4449. [Google Scholar] [CrossRef]
- Keerthi, M.L.; Gireesha, B.J.; Sowmya, G. Impact of shape-dependent hybrid nanofluid on transient efficiency of a fully wet porous longitudinal fin. Arab. J. Sci. Eng. 2024, 49, 2017–2026. [Google Scholar] [CrossRef]
- Francy, A.; Ragi, T.M.; Mohamed, A.P.; Ananthakumar, S. Fabrication of hydrophobic coatings on paper substrates using silicone oil impregnated silica: A promising sustainable packaging material. J. Coat. Technol. Res. 2024, 21, 1131–1144. [Google Scholar] [CrossRef]
- Pattnaik, P.K.; Pattnaik, J.R.; Mishra, S.R.; Nisar, K.S. Variation of the shape of Fe3O4-nanoparticles on the heat transfer phenomenon with the inclusion of thermal radiation. J. Therm. Anal. Calorim. 2022, 2022, 1859698. [Google Scholar] [CrossRef]
- Nadeem, M.; Purree, S.; Ashiq, M.G.B.; Ali, H.M. Stability Analysis of Fe3O4-OA-MWCNT Nanocomposite-Based Nanofluid. J. Nanomater. 2022, 2022, 1859698. [Google Scholar] [CrossRef]
- Ananth Subray, P.V.; Hanumagowda, B.N.; Varma, S.V.K.; Hatami, M. The impacts of shape factor and heat transfer on two-phase flow of nano and hybrid nanofluid in a saturated porous medium. Sci. Rep. 2022, 12, 21864. [Google Scholar] [CrossRef] [PubMed]
- Arifutzzaman, A.; Saidur, R.; Aslfattahi, N. MXene and functionalized graphene hybridized nanoflakes based silicone-oil nanofluids as new class of media for micro-cooling application. Ceram. Int. 2023, 49, 5922–5935. [Google Scholar] [CrossRef]
- Paul, A.; Patgiri, B. Modelling of silicone oil–based Casson hybrid nanofluid across a porous rotating disk. In Modeling and Simulation of Fluid Flow and Heat Transfer; CRC Press: Boca Raton, FL, USA, 2024; pp. 162–179. [Google Scholar]
- Saranya, S.; Al-Mdallal, Q.M. Computational study on nanoparticle shape effects of Al2O3-silicon oil nanofluid flow over a radially stretching rotating disk. Case Stud. Therm. Eng. 2021, 25, 100943. [Google Scholar] [CrossRef]
- Tao, P.; Shu, L.; Zhang, J.; Lee, C.; Ye, Q.; Guo, H.; Deng, T. Silicone oil-based solar-thermal fluids dispersed with PDMS-modified Fe3O4 @ graphene hybrid nanoparticles. Prog. Nat. Sci. Mater. Int. 2018, 28, 554–562. [Google Scholar] [CrossRef]
- Zhou, S.; Zhu, X.; Ma, L.; Yan, Q.; Wang, S. Outstanding superhydrophobicity and corrosion resistance on carbon-based film surfaces coupled with multi-walled carbon nanotubes and nickel nano-particles. Surf. Sci. 2018, 677, 193–202. [Google Scholar] [CrossRef]
- Devi, S.M.; Nivetha, A.; Prabha, I. Superparamagnetic properties and significant applications of iron oxide nanoparticles for astonishing efficacy—A review. J. Supercond. Nov. Magn. 2019, 32, 127–144. [Google Scholar] [CrossRef]
- Sharma, A.; Hickman, J.; Gazit, N.; Rabkin, E.; Mishin, Y. Nickel nanoparticles set a new record of strength. Nat. Commun. 2018, 9, 4102. [Google Scholar] [CrossRef]
- Jaji, N.D.; Lee, H.L.; Hussin, M.H.; Akil, H.M.; Zakaria, M.R.; Othman, M.B.H. Advanced nickel nanoparticles technology: From synthesis to applications. Nanotechnol. Rev. 2020, 9, 1456–1480. [Google Scholar] [CrossRef]
- Hatami, M.; Ahangar GR, M.; Ganji, D.D.; Boubaker, K. Refrigeration efficiency analysis for fully wet semi-spherical porous fins. Energy Convers. Manag. 2014, 84, 533–540. [Google Scholar] [CrossRef]
- Gireesha, B.J.; Sowmya, G.; Khan, M.I.; Öztop, H.F. Flow of hybrid nanofluid across a permeable longitudinal moving fin along with thermal radiation and natural convection. Comput. Methods Programs Biomed. 2020, 185, 105166. [Google Scholar] [CrossRef] [PubMed]
- Ullah, I.; Jan, R.U.; Khan, H.; Alam, M.M. Improving the thermal performance of (ZnO-Ni/H2O) hybrid nanofluid flow over a rotating system: The applications of Darcy Forchheimer theory. Waves Random Complex Media 2022, 1–17. [Google Scholar] [CrossRef]
- Nabwey, H.A.; Mahdy, A. Transient flow of micropolar dusty hybrid nanofluid loaded with Fe3O4-Ag nanoparticles through a porous stretching sheet. Results Phys. 2021, 21, 103777. [Google Scholar] [CrossRef]
- Teitel, M.; Schwabe, D.; Gelfgat, A.Y. Experimental and computational study of flow instabilities in a model of Czochralski growth. J. Cryst. Growth 2008, 310, 1343–1348. [Google Scholar] [CrossRef]
- Ouyang, C.; Akhtar, R.; Raja MA, Z.; Touseef Sabir, M.; Awais, M.; Shoaib, M. Numerical treatment with Lobatto IIIA technique for radiative flow of MHD hybrid nanofluid (Al2O3—Cu/H2O) over a convectively heated stretchable rotating disk with velocity slip effects. AIP Adv. 2020, 10, 055122. [Google Scholar] [CrossRef]
- Ramesh, G.K.; Manohar, G.R.; Venkatesh, P.; Gireesha, B.J.; Shah, N.A.; Chung, J.D. Thermal analysis through cylindrical porous fin having insulated tip: A hybrid nanomaterial approach. Phys. Scr. 2021, 96, 094014. [Google Scholar] [CrossRef]
Disclaimer/Publisher’s Note: The statements, opinions and data contained in all publications are solely those of the individual author(s) and contributor(s) and not of MDPI and/or the editor(s). MDPI and/or the editor(s) disclaim responsibility for any injury to people or property resulting from any ideas, methods, instructions or products referred to in the content. |
© 2024 by the authors. Licensee MDPI, Basel, Switzerland. This article is an open access article distributed under the terms and conditions of the Creative Commons Attribution (CC BY) license (https://creativecommons.org/licenses/by/4.0/).



















