Adaptive Model Predictive Control Scheme Based on Non-Minimal State Space Representation
Abstract
1. Introduction
2. Background and Literature Review
2.1. Non-Minimal State Space-Based MPC
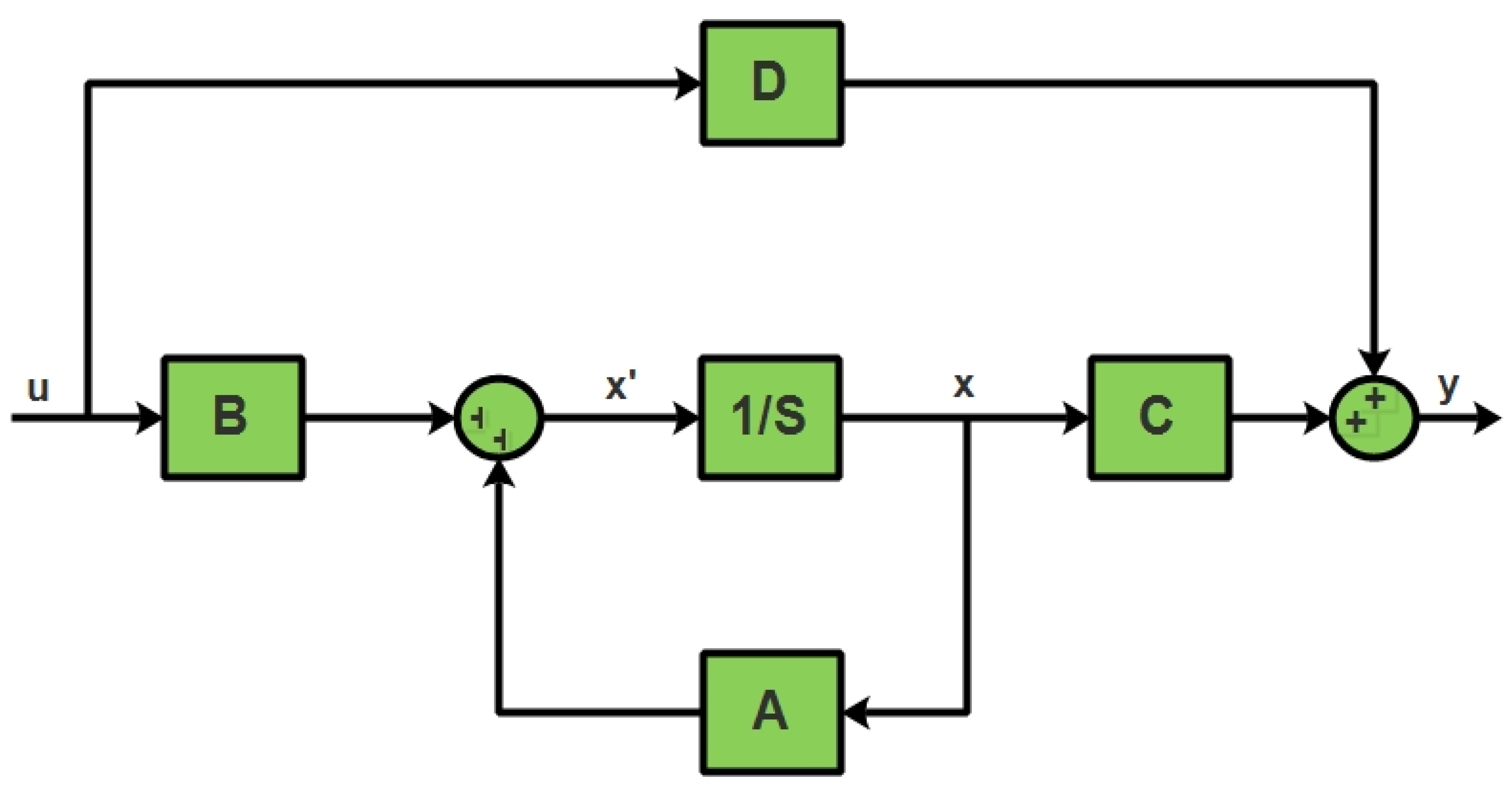
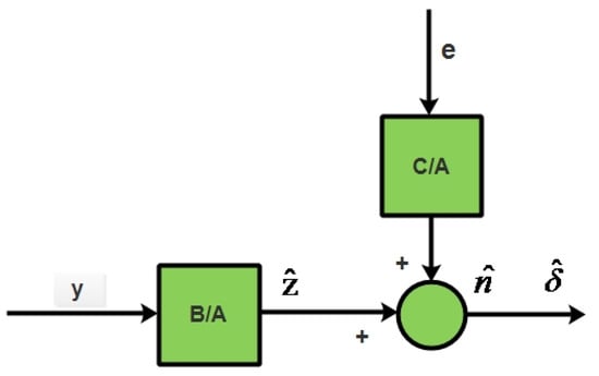
2.2. Model Representation
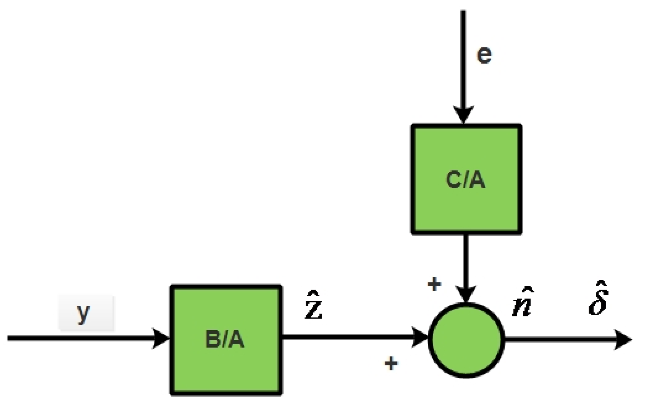
2.3. Parameter Estimation
2.4. MPC Modeling
2.5. Non-Minimal State Space Representation
3. Methodology
3.1. Online Parameter Estimation
3.2. MIRLS
3.3. Parameter Estimation with Constraint
4. Results and Discussion
4.1. Parameter Estimation with MIRLS and Sensitivity Analysis
4.2. Simulation Result of Adaptive MPC
4.3. Adaptive MPC with Constraints Simulation Results
5. Conclusions and Future Work
Author Contributions
Funding
Data Availability Statement
Acknowledgments
Conflicts of Interest
References
- Sun, Z.; Qin, S.J.; Singhal, A.; Megan, L. Performance monitoring of model-predictive controllers via model residual assessment. J. Process Control 2013, 23, 473–482. [Google Scholar] [CrossRef]
- Karra, S.; Shaw, R.; Patwardhan, S.C.; Noronha, S. Adaptive Model Predictive Control of Multivariable Time-varying Systems. Ind. Eng. Chem. Res. 2008, 47, 2708–2720. [Google Scholar] [CrossRef]
- Zhu, Y. System identification for process control: Recent experience and outlook. Int. J. Model. Identif. Control 2009, 6, 89–103. [Google Scholar] [CrossRef]
- Bingül, Ö.; Yıldız, A. Fuzzy logic and proportional integral derivative based multi-objective optimization of active suspension system of a 4×4 in-wheel motor driven electrical vehicle. J. Vib. Control 2023, 29, 1366–1386. [Google Scholar] [CrossRef]
- Heirung, T.A.N.; Foss, B.; Ydstie, B.E. MPC-based dual control with online experiment design. J. Process Control 2015, 32, 64–76. [Google Scholar] [CrossRef]
- Ljung, L. System identification. In Signal Analysis and Prediction; Birkhäuser Boston: Boston, MA, USA, 1998; pp. 163–173. [Google Scholar]
- Kesson, J. MPCtools 1.0: Reference Manual; Department of Automatic Control, Lund University: Lund, Sweden, 2006. [Google Scholar]
- Duan, H.; Jia, J.; Ding, R. Two-stage recursive least squares parameter estimation algorithm for output error models. Math. Comput. Model. 2012, 55, 1151–1159. [Google Scholar] [CrossRef]
- Friedland, B. Control System Design: An Introduction to State-Space Methods; Courier Corporation: Chelmsford, MA, USA, 2012. [Google Scholar]
- Wang, L.; Young, P.C. An improved structure for model predictive control using non-minimal state space realisation. J. Process Control 2006, 16, 355–371. [Google Scholar] [CrossRef]
- Junsheng, C.; Dejie, Y.; Yu, Y. A fault diagnosis approach for roller bearings based on EMD method and AR model. Mech. Syst. Signal Process. 2006, 20, 350–362. [Google Scholar] [CrossRef]
- Gaines, B.R. System identification, approximation, and complexity. Int. J. Gen. Syst. 1977, 3, 145–174. [Google Scholar] [CrossRef]
- Sharma, T.C.; Panu, U.S. Analytical procedures for weekly hydrological droughts: A case of Canadian rivers. Hydrol. Sci. J.–J. Des Sci. Hydrol. 2010, 55, 79–92. [Google Scholar] [CrossRef]
- Ström, K.J.; Eykhoff, P. System identification—A survey. Automatica 1971, 7, 123–162. [Google Scholar] [CrossRef]
- Kersting, S.; Buss, M. Direct and indirect model reference adaptive control for multivariable piecewise affine systems. IEEE Trans. Autom. Control 2017, 62, 5634–5649. [Google Scholar] [CrossRef]
- Toplis, B.; Pasupathy, S. Tracking improvements in fast RLS algorithms using a variable forgetting factor. IEEE Trans. Acoust. Speech Signal Process. 1988, 36, 206–227. [Google Scholar] [CrossRef]
- Fedorov, V.V.; Leonov, S.L. Parameter estimation for models with unknown parameters in variance. Commun. Stat.-Theory Methods 2004, 33, 2627–2657. [Google Scholar] [CrossRef]
- Ding, F.; Liu, P.X.; Liu, G. Auxiliary model based multi-innovation extended stochastic gradient parameter estimation with colored measurement noises. Signal Process. 2009, 89, 1883–1890. [Google Scholar] [CrossRef]
- Taylor, C.J.; Chotai, A.; Young, P.C. State space control system design based on non-minimal state-variable feedback: Further generalization and unification results. Int. J. Control 2000, 73, 1329–1345. [Google Scholar] [CrossRef]
- Shouche, M.; Genceli, H.; Premkiran, V.; Nikolaou, M. Simultaneous Constrained Model Predictive Control and Identification of DARX Processes. Automatica 1998, 34, 1521–1530. [Google Scholar] [CrossRef]
- Chen, H.; Gong, Y.; Hong, X. Adaptive modelling with tunable RBF network using multi-innovation RLS algorithm assisted by swarm intelligence. In Proceedings of the 2011 IEEE International Conference on Acoustics, Speech and Signal Processing (ICASSP), Prague, Czech Republic, 22–27 May 2011; pp. 2132–2135. [Google Scholar] [CrossRef]
- Sirmatel, I.I. Adaptive Model Predictive Control of Constrained Multiple-Input Multiple-Output Systems and Its Application to the Quad Tank System. Master’s Thesis, ETH-Zürich, Zürich, Switzerland, 2014. [Google Scholar]
- Rathouský, J.; Havlena, V. MPC-based approximate dual controller by information matrix maximization. Int. J. Adapt. Control Signal Process. 2013, 27, 974–999. [Google Scholar] [CrossRef]
- Gorman, J.; Hero, A. Lower bounds for parametric estimation with constraints. IEEE Trans. Inf. Theory 1990, 36, 1285–1301. [Google Scholar] [CrossRef]
- González, A.H.; Perez, J.M.; Odloak, D. Infinite horizon MPC with non-minimal state space feedback. J. Process Control 2009, 19, 473–481. [Google Scholar] [CrossRef]
- Hildreth, C. A quadratic programming procedure. Nav. Res. Logist. Q. 1957, 4, 79–85. [Google Scholar] [CrossRef]
- Herman, G.T.; Lent, A. A family of iterative quadratic optimization algorithms for pairs of inequalities, with application in diagnostic radiology. In Mathematical Programming in Use; Springer: Berlin/Heidelberg, Germany, 1978; pp. 15–29. [Google Scholar] [CrossRef]














Disclaimer/Publisher’s Note: The statements, opinions and data contained in all publications are solely those of the individual author(s) and contributor(s) and not of MDPI and/or the editor(s). MDPI and/or the editor(s) disclaim responsibility for any injury to people or property resulting from any ideas, methods, instructions or products referred to in the content. |
© 2023 by the authors. Licensee MDPI, Basel, Switzerland. This article is an open access article distributed under the terms and conditions of the Creative Commons Attribution (CC BY) license (https://creativecommons.org/licenses/by/4.0/).
Share and Cite
Rehman, Z.U.; Khan, M.A.A.; Ma, H.; Rahman, M. Adaptive Model Predictive Control Scheme Based on Non-Minimal State Space Representation. Symmetry 2023, 15, 1508. https://doi.org/10.3390/sym15081508
Rehman ZU, Khan MAA, Ma H, Rahman M. Adaptive Model Predictive Control Scheme Based on Non-Minimal State Space Representation. Symmetry. 2023; 15(8):1508. https://doi.org/10.3390/sym15081508
Chicago/Turabian StyleRehman, Zia Ur, Malak Abid Ali Khan, Hongbin Ma, and Mizanur Rahman. 2023. "Adaptive Model Predictive Control Scheme Based on Non-Minimal State Space Representation" Symmetry 15, no. 8: 1508. https://doi.org/10.3390/sym15081508
APA StyleRehman, Z. U., Khan, M. A. A., Ma, H., & Rahman, M. (2023). Adaptive Model Predictive Control Scheme Based on Non-Minimal State Space Representation. Symmetry, 15(8), 1508. https://doi.org/10.3390/sym15081508

