Ternary Hybrid Nanofluid Flow Emerging on a Symmetrically Stretching Sheet Optimization with Machine Learning Prediction Scheme
Abstract
1. Introduction
- Copper contains significantly higher thermal and electrical conductivity than and ; it is exploited as a structural material, a conductor of heat and electricity, and a component of many metal alloys;
- Titanium dioxide is a divalent metal and non-toxic; it is widely used in photoelectric solar panels, thermal energy storage, and thermal management of electronic devices, due to its unique thermal characteristics;
- Due to the greater electron negativity of , sulfatase is not produced by comparably to .
2. Modeling and Mathematical Formulation
3. Materials and Methods
3.1. Numerical Scheme
Verification of Simulation Results
3.2. Machine Learning Scheme
3.2.1. Description of Dataset
3.2.2. Prediction Algorithm
3.2.3. Evaluation Criteria
- Mean square error
- Root mean square error
- Mean absolute error
- Mean absolute percentage error
- Coefficient of determination
4. Result and Discussion
4.1. Result of ML-Based Model
4.2. Model Accuracy
5. Enumerated Key Points
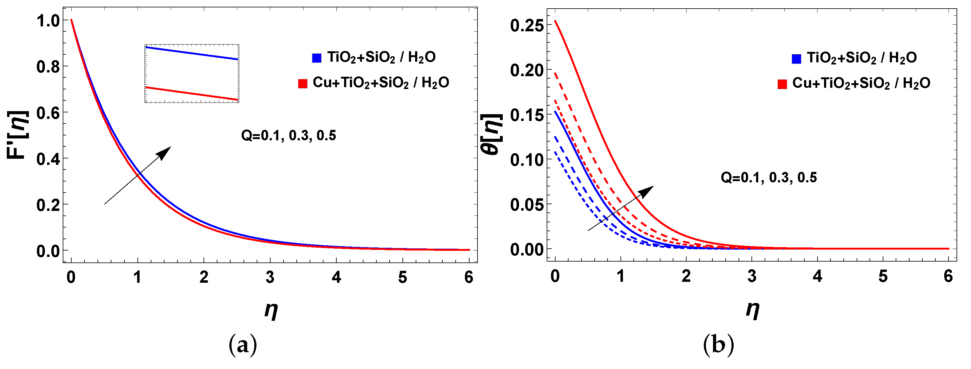
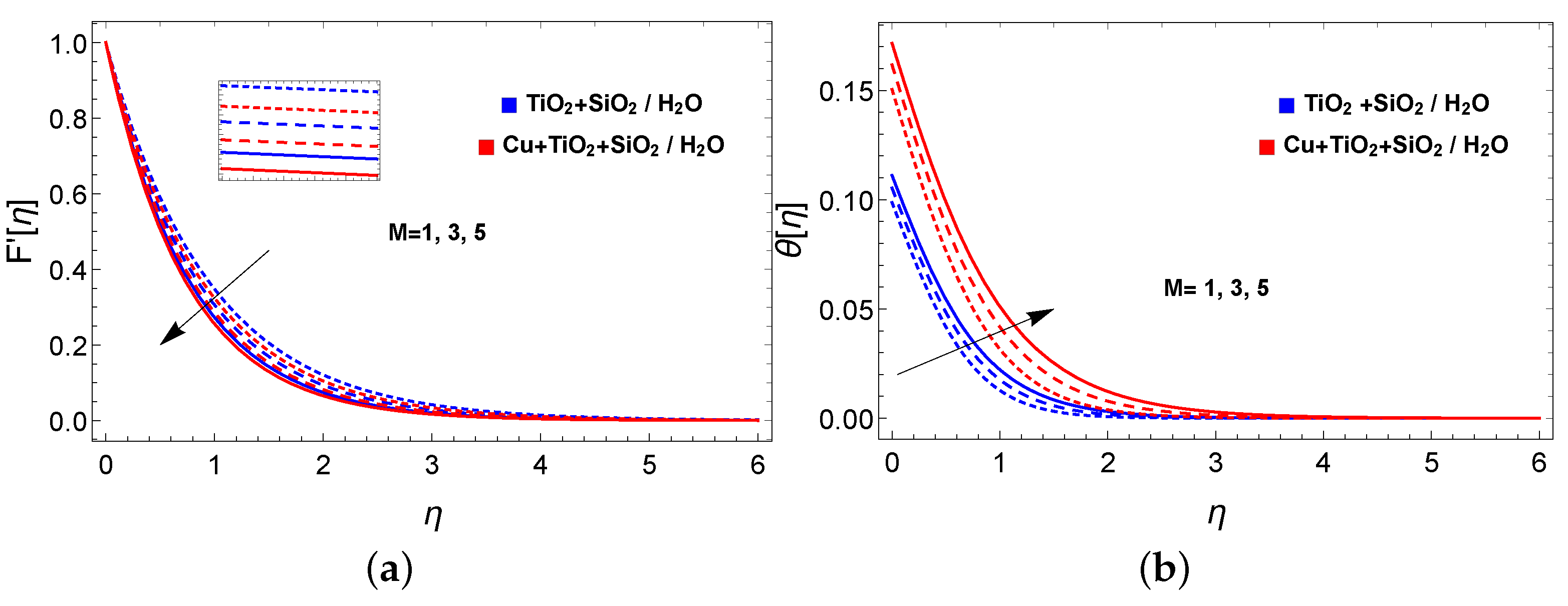
- The boundary layer thickness of the momentum and thermal profile was diminished and improved for an increasing magnetic parameter; this observation will play a vital role in both industrial and scientific progress;
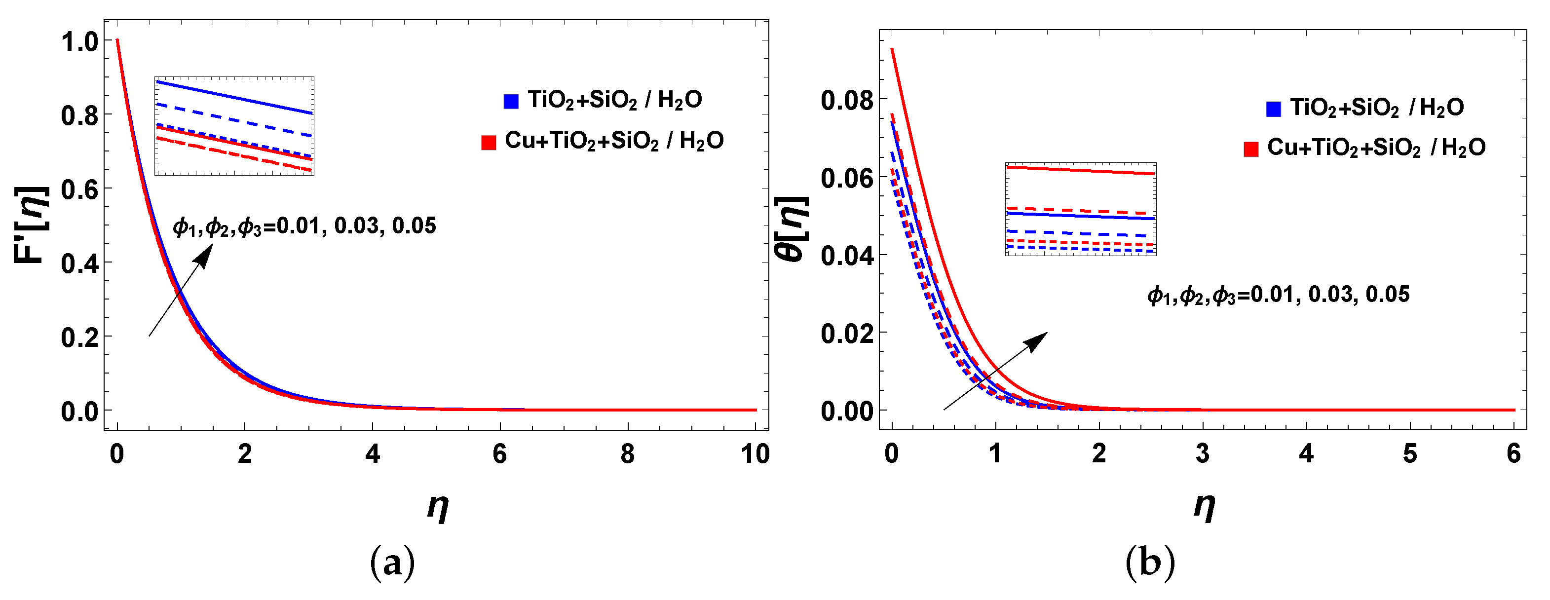
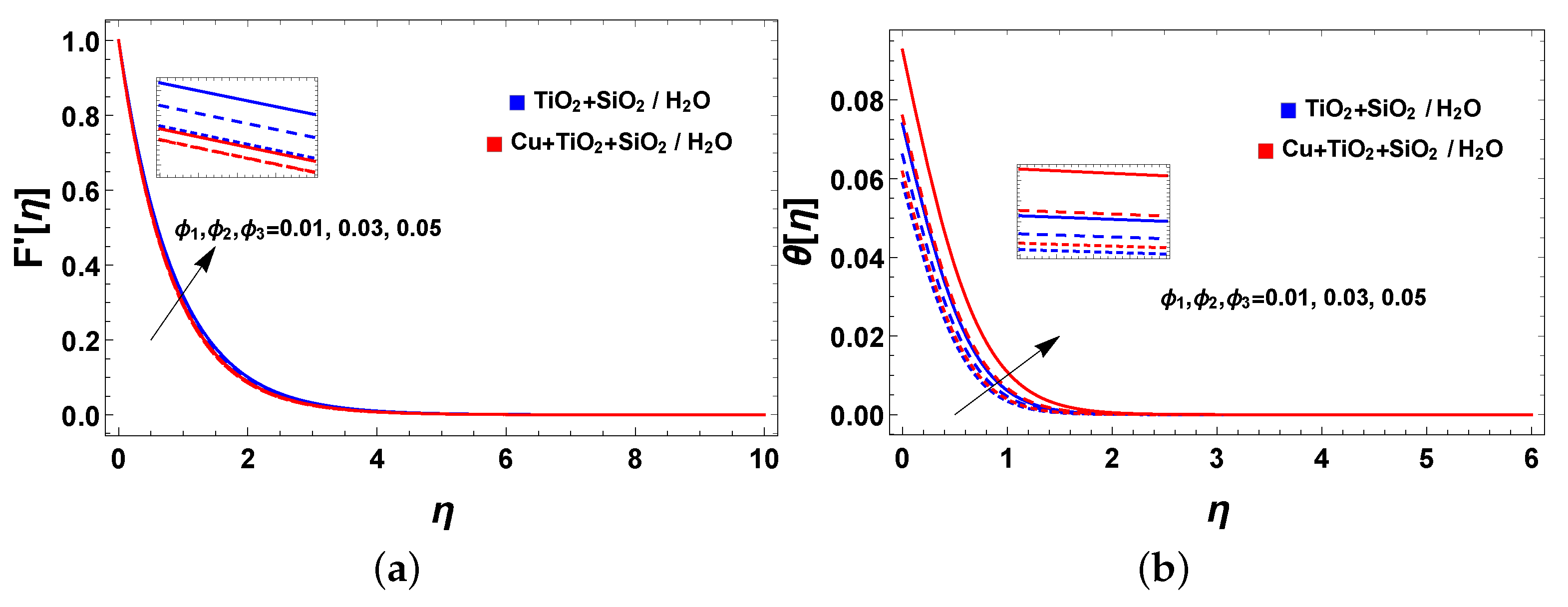
- The proposed mixture of nanoparticles became slightly dense, and moved more rapidly in the nanofluid as it achieved more heat effectively. It is interesting to note that the volume fraction improved the velocity and temperature fields. The same behavior was observed in the heat source/sink parameter;
- Based on the numerical simulation of skin friction coefficient and Nusselt number, the support vector machine delivers the possibility of specifying the physical phenomena of hybrid and ternary hybrid nanofluids with minimal error;
- The observations revealed that ternary hybrid nanofluids exhibit a higher thermal performance through the stretched sheet than fluids containing dual-phase nanoparticles. It is noteworthy that the tri-nanosized particle dispersion in the base fluid was suggested for cooling applications;
- Ternary hybrid nanoparticles are considered in solar cells, optical chemical sensors, biosensors, and electrical insulators; they are mainly utilized to putrefy dangerous compounds and cooling procedures.
- In the future, the K-means clustering machine learning scheme is expected to reduce the error of for three-phase nanoparticles suspended in water. In addition, exploring different physical factors can reveal remarkable occurrences.
Author Contributions
Funding
Institutional Review Board Statement
Informed Consent Statement
Data Availability Statement
Acknowledgments
Conflicts of Interest
Abbreviations
| T | temperature (K) |
| temperature gradient at walls (K) | |
| k | thermal conductivity (W m K) |
| dynamic viscosity (kgms) | |
| density of the fluid (kgm) | |
| electrical conductivity (sm) | |
| skin friction coefficient | |
| Nusselt number | |
| specific heat (JkgK) | |
| volume fraction of nanoparticle | |
| volume fraction of nanoparticle | |
| volume fraction of nanoparticle | |
| velocity in -direction (m s) | |
| regression coefficient | |
| method of lines | |
| machine learning | |
| mean absolute error | |
| mean square error | |
| root mean square error | |
| coefficient of determination | |
| support vector machine | |
| f | clear fluid |
| nanofluid | |
| hybrid nanofluid | |
| ternary hybrid nanofluid |
References
- Elbashbeshy, E.M.A.; Bazid, M.A.A. Heat transfer over an unsteady stretching surface. Int. J. Heat Mass Transf. 2004, 41, 1–4. [Google Scholar] [CrossRef]
- Elbashbeshy, E.M.A.; Aldawody, D.A. Effect of thermal radiation and magnetic field on unsteady mixed convection flow and heat transfer over a porous stretching surface. Int. J. Nonlinear Sci. 2010, 9, 448–454. [Google Scholar]
- Ullah, Z.; Bilal, M.; Sarris, I.E.; Hussanan, A. MHD and Thermal Slip Effects on Viscous Fluid over Symmetrically Vertical Heated Plate in Porous Medium: Keller Box Analysis. Symmetry 2022, 14, 2421. [Google Scholar] [CrossRef]
- Choi, S.U.S.; Eastman, J.A. Enhancing thermal conductivity of fluids with nanoparticles. ASME Publ.-Fed. 1995, 231, 99–106. [Google Scholar]
- Makinde, O.; Aziz, A. Boundary layer flow of a nanofluid past a stretching sheet with a convective boundary condition. Int. J. Therm. Sci. 2011, 50, 1326–1332. [Google Scholar] [CrossRef]
- Mahian, O.; Kianifar, A.; Kalogirou, S.A.; Pop, I.; Wongwises, S. A review of the applications of nanofluids in solar energy. Int. J. Heat Mass Transf. 2013, 57, 582–594. [Google Scholar] [CrossRef]
- Srinivas, S.; Vijayalakshmi, A.; Reddy, A.S.; Ramamohan, T. MHD flow of a nanofluid in an expanding or contracting porous pipe with chemical reaction and heat source/sink. Propuls. Power Res. 2016, 5, 134–148. [Google Scholar] [CrossRef]
- Patil, P.M.; Shashikant, A.; Momoniant, E. Transport phenomena in MHD mixed convective nanofluid flow. Int. J. Numer. Methods Heat Fluid Flow 2020, 30, 769–791. [Google Scholar] [CrossRef]
- Jana, S.; Khojin, A.S.; Zhong, W.H. Enhancement of fluid thermal conductivity by the addition of single and hybrid nano-additives. Thermochimica 2007, 462, 45–55. [Google Scholar] [CrossRef]
- Suresh, S.; Venkitaraj, K.P.; Selvakumar, P. Synthesis, characterization of Al2O3-Cu nanocomposite powder and water based nanofluids. Adv. Mater. Res. 2011, 328, 1560–1567. [Google Scholar] [CrossRef]
- Izady, M.; Dinarvand, S.; Pop, I.; Chamkha, A. Flow of aqueous Fe2O3-CuO hybrid nanofluid over a permeable stretching/shrinking wedge: A development on Falkner-Skan problem. Chin. J. Phys. 2021, 74, 406–420. [Google Scholar] [CrossRef]
- Rajesh, V.; Sheremet, M.A.; Öztop, H.F. Impact of hybrid nanofluids on MHD flow and heat transfer near a vertical plate with ramped wall temperature. Case Stud. Therm. Eng. 2021, 28, 101557. [Google Scholar] [CrossRef]
- Khan, S.A.; Hayat, T.; Alsaedi, A. Irreversibility analysis for nanofluid (NiZnFe2O4-C8H18 and MnZnFe2O4-C8H18) flow with radiation effect. Appl. Math. Comput. 2022, 419, 126879. [Google Scholar] [CrossRef]
- Qomi, M.E.; Sheikhzadeh, G.A.; Fattahi, A. On the micro-scale battery cooling with a sinusoidal hybrid nanofluid flow. J. Energy Storage 2021, 46, 103819. [Google Scholar] [CrossRef]
- Rauf, A.; Shah, N.A.; Mushtaq, A.; Botmart, T. Heat transport and magnetohydrodynamic hybrid micropolar ferrofluid flow over a non-linearly stretching sheet. AIMS Math. 2023, 8, 164–193. [Google Scholar] [CrossRef]
- Ajeena, A.M.; Víg, P.; Farkas, I. A comprehensive analysis of nanofluids and their practical applications for flat plate solar collectors: Fundamentals, thermophysical properties, stability, and difficulties. Energy Rep. 2022, 8, 4461–4490. [Google Scholar] [CrossRef]
- Ramesh, G.; Madhukesh, J.; Shah, N.A.; Yook, S.-J. Flow of hybrid CNTs past a rotating sphere subjected to thermal radiation and thermophoretic particle deposition. Alex. Eng. J. 2023, 64, 969–979. [Google Scholar] [CrossRef]
- Qureshi, M.Z.A.; Faisal, M.; Raza, Q.; Ali, B.; Botmart, T.; Shah, N.A. Morphological nanolayer impact on hybrid nanofluids flow due to dispersion of polymer/CNT matrix nanocomposite material. AIMS Math. 2023, 8, 633–656. [Google Scholar] [CrossRef]
- Bhatti, M.; Öztop, H.F.; Ellahi, R.; Sarris, I.E.; Doranehgard, M. Insight into the investigation of diamond (C) and Silica (SiO2) nanoparticles suspended in water-based hybrid nanofluid with application in solar collector. J. Mol. Liq. 2022, 357, 119134. [Google Scholar] [CrossRef]
- Mousavi, S.M.; Esmaeilzadeh, F.; Wang, X.P. Effects of temperature and particles volume concentration on the thermophysical properties and the rheological behavior of CuO/MgO/TiO2 aqueous ternary hybrid nanofluid. J. Therm. Anal. Calorim. 2019, 137, 879–901. [Google Scholar] [CrossRef]
- Sahoo, R.R.; Kumar, V. Development of a new correlation to determine the viscosity of ternary hybrid nanofluid. Int. Commun. Heat Mass Transf. 2019, 111, 104451. [Google Scholar] [CrossRef]
- Guedri, K.; Khan, A.; Gul, T.; Mukhtar, S.; Alghamdi, W.; Yassen, M.F.; Eldin, E.T. Thermally Dissipative Flow and Entropy Analysis for Electromagnetic Trihybrid Nanofluid Flow Past a Stretching Surface. ACS Omega 2022, 7, 33432–33442. [Google Scholar] [CrossRef]
- Xuan, Z.; Zhai, Y.; Ma, M.; Li, Y.; Wang, H. Thermo-economic performance and sensitivity analysis of ternary hybrid nanofluids. J. Mol. Liq. 2020, 323, 114889. [Google Scholar] [CrossRef]
- Khan, S.A.; Hayat, T.; Alsaedi, A. Thermal conductivity performance for ternary hybrid nanomaterial subject to entropy generation. Energy Rep. 2022, 8, 9997–10005. [Google Scholar] [CrossRef]
- Algehyne, E.A.; Alrihieli, H.F.; Bilal, M.; Saeed, A.; Weera, W. Numerical approach toward ternary hybrid nanofluid flow using variable diffusion and non-Fourier’s concept. ACS Omega 2022, 7, 29380–29390. [Google Scholar] [CrossRef]
- Ramesh, G.K.; Madhukesh, J.K.; Khan, U.; Hussain, S.M.; Galal, A.M. Inspection of hybrid nanoparticles flow across a nonlinear/linear stretching surface when heat sink/source and thermophoresis particle deposition impacts are significant. Int. J. Mod. Phys. B 2022, 37, 2350008. [Google Scholar] [CrossRef]
- Kumar, S.S.; Prasad, R.V.; Kumar, M.S.; Mamatha, S.U.; Raju, C.S.K.; Raju, K.V.B. Dynamical nonlinear moments of internal heating impact on hydro-magnetic flow suspended with pure water-based CNT+Graphene+Al2O3 and Paraffin wax+Sand+AA7072 mixtures. Int. J. Mod. Phys. B 2022, 37, 2350150. [Google Scholar] [CrossRef]
- Manjunatha, S.; Puneeth, V.; Gireesha, B.J.; Chamkha, A.J. Theoretical Study of Convective Heat Transfer in Ternary Nanofluid flowing past a Stretching Sheet. J. Appl. Comput. Mech. 2021, 8, 1279–1286. [Google Scholar]
- Manjunatha, S.; Kuttan, B.A.; Jayanthi, S.; Chamkha, A.; Gireesha, B. Heat transfer enhancement in the boundary layer flow of hybrid nanofluids due to variable viscosity and natural convection. Heliyon 2019, 5, e01469. [Google Scholar] [CrossRef]
- Brinkman, C. The viscosity of concentrated suspensions and solutions. J. Chem. Phys. 1952, 20, 571. [Google Scholar] [CrossRef]
- Sahoo, R.R. Experimental study on the viscosity of hybrid nanofluid and development of a new correlation. Heat Mass Transf. 2020, 56, 3023–3033. [Google Scholar] [CrossRef]
- Anuradha, S.; Priyadharshini, P. MHD Free Convection Boundary Layer Flow of a Nanofluid over a Permeable Shrinking Sheet in the Presence of Thermal Radiation and Chemical Reaction. Chem. Process. Eng. Res. 2016, 46, 2225-0913. [Google Scholar]
- Khan, W.A.; Pop, I. Boundary-layer flow of a nanofluid past a stretching sheet. Int. J. Heat Mass Transfer. 2010, 53, 2477–2483. [Google Scholar] [CrossRef]
- Reddy Gorla, R.S.; Sidawi, I. Free convection on a vertical stretching surface with suction and blowing. Appl. Sci. Res. 1994, 52, 247–257. [Google Scholar] [CrossRef]
- Priyadharshini, P.; Archana, M.V.; Ahammad, N.A.; Raju, C.; Yook, S.-J.; Shah, N.A. Gradient descent machine learning regression for MHD flow: Metallurgy process. Int. Commun. Heat Mass Transf. 2022, 138, 106307. [Google Scholar] [CrossRef]
- Priyadharshini, P.; Archana, M.V. Augmentation of magnetohydrodynamic nanofluid flow through a permeable stretching sheet employing Machine learning algorithm. Ex. Counterex. 2023, 3, 100093. [Google Scholar] [CrossRef]
- Mamatha, S.U.; Devi, R.L.V.R.; Ahammad, N.A.; Shah, N.A.; Rao, B.M.; Raju, C.S.K.; Khan, M.I.; Guedri, K. Multi-linear regression of triple diffusive convectively heated boundary layer flow with suction and injection: Lie group transformations. Int. J. Mod. Phys. B 2022, 37, 2350007. [Google Scholar] [CrossRef]
- Lu, C.-J.; Lee, T.-S.; Chiu, C.-C. Financial time series forecasting using independent component analysis and support vector regression. Decis. Support Syst. 2009, 47, 115–125. [Google Scholar] [CrossRef]
- Salcedo-Sanz, S.; Rojo-Álvarez, J.L.; Martínez-Ramón, M.; Camps-Valls, G. Support vector machines in engineering: An overview. Wiley Interdiscip. Rev. Data Min. Knowl. Discov. 2014, 4, 234–267. [Google Scholar] [CrossRef]
- Zendehboudi, A.; Baseer, M.; Saidur, R. Application of support vector machine models for forecasting solar and wind energy resources: A review. J. Clean. Prod. 2018, 199, 272–285. [Google Scholar] [CrossRef]
- Oyehan, T.A.; Liadi, M.A.; Alade, I.O. Modeling the efficiency of TiO2 photocatalytic degradation of MTBE in contaminated water: A support vector regression approach. SN Appl. Sci. 2019, 1, 386. [Google Scholar] [CrossRef]
- Orrù, G.; Pettersson-Yeo, W.; Marquand, A.F.; Sartori, G.; Mechelli, A. Using Support Vector Machine to identify imaging biomarkers of neurological and psychiatric disease: A critical review. Neurosci. Biobehav. Rev. 2012, 36, 1140–1152. [Google Scholar] [CrossRef] [PubMed]







| Properties | Ternary Hybrid Nanofluid |
|---|---|
| Viscosity | |
| Density | |
| Heat capacity | |
| Electrical conductivity | |
| Thermal conductivity | |
| Properties | ||||
|---|---|---|---|---|
| (kg/m) | 8933 | 4250 | 2270 | 997 |
| (J/kg K) | 385 | 686.2 | 765 | 4179 |
| (S/m) | 1.67 | |||
| k (W/m K) | 400 | 8.953 | 1.4013 | 0.6071 |
| Khan and Pop [33] | Gorla and Sidawi [34] | Manjunatha et al. [28] | Present Result | |
|---|---|---|---|---|
| 2 | 0.9113 | 0.9114 | 0.9113 | 0.9114 |
| 7 | 1.8954 | 1.8905 | 1.8954 | 1.8954 |
| 20 | 3.3539 | 3.3539 | 3.3539 | 3.3539 |
| Dataset | Parameter | Physical Quantities | |||||
|---|---|---|---|---|---|---|---|
| Training | M | 0.07142 | 0.07142 | 0.07142 | 0.2672 | 0.7083 | |
| Testing | 0 | 0 | 0 | 0 | 1 | ||
| Training | Q | 0 | 0 | 0 | 0 | 1 | |
| Testing | 0 | 0 | 0 | 0 | 1 | ||
| Training | 0 | 0 | 0 | 0 | 1 | ||
| Testing | 0 | 0 | 0 | 0 | 1 |
Disclaimer/Publisher’s Note: The statements, opinions and data contained in all publications are solely those of the individual author(s) and contributor(s) and not of MDPI and/or the editor(s). MDPI and/or the editor(s) disclaim responsibility for any injury to people or property resulting from any ideas, methods, instructions or products referred to in the content. |
© 2023 by the authors. Licensee MDPI, Basel, Switzerland. This article is an open access article distributed under the terms and conditions of the Creative Commons Attribution (CC BY) license (https://creativecommons.org/licenses/by/4.0/).
Share and Cite
Priyadharshini, P.; Archana, M.V.; Shah, N.A.; Alshehri, M.H. Ternary Hybrid Nanofluid Flow Emerging on a Symmetrically Stretching Sheet Optimization with Machine Learning Prediction Scheme. Symmetry 2023, 15, 1225. https://doi.org/10.3390/sym15061225
Priyadharshini P, Archana MV, Shah NA, Alshehri MH. Ternary Hybrid Nanofluid Flow Emerging on a Symmetrically Stretching Sheet Optimization with Machine Learning Prediction Scheme. Symmetry. 2023; 15(6):1225. https://doi.org/10.3390/sym15061225
Chicago/Turabian StylePriyadharshini, P., M. Vanitha Archana, Nehad Ali Shah, and Mansoor H. Alshehri. 2023. "Ternary Hybrid Nanofluid Flow Emerging on a Symmetrically Stretching Sheet Optimization with Machine Learning Prediction Scheme" Symmetry 15, no. 6: 1225. https://doi.org/10.3390/sym15061225
APA StylePriyadharshini, P., Archana, M. V., Shah, N. A., & Alshehri, M. H. (2023). Ternary Hybrid Nanofluid Flow Emerging on a Symmetrically Stretching Sheet Optimization with Machine Learning Prediction Scheme. Symmetry, 15(6), 1225. https://doi.org/10.3390/sym15061225

