Abstract
In general, structures with rotational joints and linearized dynamic equations are used to facilitate the control of manipulator robots. However, in some cases, the workspace is limited, which reduces the accuracy and performance of this type of robot, especially when uncertainties are considered. To counter this problem, this work presents a redundant planar manipulator robot with Six-Degree-of-Freedom (6-DoF), which has an innovative structural configuration that includes rotary and prismatic joints. Three control strategies are designed for the monitoring and regulation of the joint trajectory tracking problem of this robot under the action of variable loads. Two advanced control strategies—predictive and Fuzzy-Logic Control (FLC)—were simulated and compared with the classical Proportional–Integral–Derivative (PID) controller. The graphic simulator was implemented using tools from the MATLAB/Simulink software to model the behavior of the redundant planar manipulator in a virtual environment before its physical construction, in order to conduct performance tests for its controllers and to anticipate possible damages/faults in the system mechanics before the implementation of control strategies in a real robot. The inverse dynamics were obtained through the Lagrange–Euler (L-E) formulation. According to the property of symmetry, this model was obtained in a simplified way based on the main diagonal of the inertia matrix of the robot. Additionally, the model includes the dynamics of the actuators and the estimation of the friction forces, both with central symmetry present in the joints. The effectiveness of these three control strategies was validated through qualitative comparisons—performance graphs of trajectory tracking—and quantitative comparisons—the Common Mode Rejection Ratio (CMRR) performance indicator and joint error indexes such as the Residual Mean Square (RMS), Residual Standard Deviation (RSD), and Index of Agreement (IA). In this regard, FLC based on the dynamic model was the most-suitable control strategy.
1. Introduction
Increasing requirements for industrial control have made it necessary to develop smart control algorithms that are robust and perform better in the control of complex industrial processes. Currently, thanks to the development of both control theory and computational technology, the main control strategies designed for industrial robots include PID control, adaptive control, robust control, iterative learning control, and sliding mode control, among others. However, new strategies continue to arise to improve industrial robot controllers, which also improve the dynamic performance of these robots [1,2,3].
The conventional PID controller has been demonstrated to have good performance in linear systems. This controller is widely used in the industry due to its simple structure and robustness under diverse operating conditions. However, it is difficult to adjust the parameters of this controller with accuracy as most industrial plants are represented by complex dynamic systems of superior order that do not include linearities or time delays. Owing to the limitations of PID control and to the complexity inherent to most industrial plants, simple PID control cannot meet the industrial requirements, and therefore, it is necessary to use or combine some smart control strategies [4,5].
As mentioned above, in industrial robot systems, some classic control strategies have become obsolete, and advanced control strategies are consequently employed for solving complex tasks. In this sense, Fuzzy-Logic Control (FLC) has been one of the most-successful intelligent control techniques from the earlier Mamdani to more recent applications. The main advantage is that the mentioned controller does not depend on the dynamics of the manipulator robot [6]. Nevertheless, the effectiveness of FLC can be improved if the dynamic modeling is incorporated. For example, in [7], inverse dynamics were used in a fuzzy-model-based adaptive robust controller for the tracking control of a parallel manipulator and for reducing the chattering, and in [8], a dynamics-based optimal fuzzy controller for a robot manipulator via particle swarm optimization was inspected. It was found that the fuzzy controller based on inverse dynamics provides a near-zero steady state error. In the study in [9], a new fuzzy adaptive state-feedback controller based on dynamics was introduced to control the joint positions for the stabilization of a 3-DoF robot manipulator. In this work, the proposed strategy showed some advantages such as a shorter settling time and more robustness, in comparison with other controllers. In addition, the fuzzy controller improves system performance by ruling out disturbances and uncertainties. The efficacy of this controller was recently studied in [10] on a non-redundant 3-DoF manipulator robot that assists complicated surgeries in the event of external joint disturbances. In [11], an adaptive time-search algorithm based on a first-order fuzzy controller was proposed, so that the end effector of a 6-DoF manipulator can run along a straight line for the shortest time, while avoiding the sudden change in the torque of each joint. The Model Predictive Control (MPC) technique has also been a powerful tool for the control of both linear and nonlinear Multiple Input, Multiple Output (MIMO) systems [12,13]. In [14], for example, a model predictive tracking control algorithm for a 2-DoF rigid manipulator robot was studied considering the existence of external time-varying disturbances. The work in [15] also proposed a robust MPC for time-varying trajectory tracking control of a robot manipulator with 2-DoF affected by bounded disturbances, which is subject to both joint state constraints and input torque limits. The authors of [16] suggested a control strategy similar to MPC, but extended to a wider range of robot structures. In this work, a manipulator robot with links connected in series was modeled, and the state space representation and control regulation scheme with a predictive linear function were used; this regulation scheme was activated by an internal robot model and by its inverse transposition. The combination of the advantages of control strategies on manipulator robots has also been found to be efficient in various applications. The article [17], for example, presented the whole-body control of a nonholonomic mobile manipulator robot using MPC and a Fuzzy-Logic System (FLS). Adaptive FLS was employed to approximate the unknown dynamics of the servomotors. The paper [18] proposed a neural predictive control structure to control force and position in a robot, and in [19], a fuzzy sliding mode method based on radial basis function neural networks was designed in order to improve the input control chattering and overall response of a 3-DoF control system.
Over the last few decades, the trajectory tracking problem has been widely researched in order to reduce the tracking error to zero. If the parameters of a robot model are known, a feedback linearization method can facilitate the tracking task by converting a robot system into a linear system. Nevertheless, manipulator robots often suffer diverse uncertainties, such as non-structured dynamics, external disturbances, unknown load variations, and nonlinear friction. These uncertainties deteriorate the system performance and even ruin the system stability [20,21,22]. Limited knowledge about the system parameters often makes accurate linearization impossible, and therefore, tracking tasks are affected [23]. To deal with these uncertainties, in [24], a new control strategy based on Type-3 Fuzzy Logic Systems (T3-FLSs) was developed for the trajectory tracking of Robotic Manipulators (RMs). T3-FLSs were used to estimate the dynamics of RMs and eliminate symmetrical perturbations. The adaptive control strategy was also employed, but as is well known, this strategy requires a constant unknown parameter [25]. This condition is only met if the load of a manipulator robot is fixed, which does not occur in practice, as a manipulator robot often needs to pick up and put down, repeatedly, some specific loads, which leads to jumps in the values of the robot unknown parameters [26]. These jumps imply a challenge for designing new control strategies for manipulator robots.
Compared with the existing literature, the design of the aforementioned control methodologies has focused mainly on non-redundant robots, where the preference stands out for manipulators with rotational joints, which omit the linear type due to its complexity for joint control. The effectiveness of most of these approaches has been shown through experimental results or systematic analyses; however, they do not provide a rigorous mathematical analysis of both the robot and servomotors. In addition, in some cases, uncertainty is considered to be bounded, because disturbances derived from physical processes are usually finite.
The use of manipulator robots has increased due to the wide range of applications in industry, agriculture, medicine, and mining, among others. In general, to facilitate the handling of these robots, structures with rotary joints and dynamic equations that do not vary over time are employed. This can simplify the manipulation of the robot, but in some cases, the accuracy and performance of this type of robot are degraded. A way of countering this problem is by incorporating prismatic joints, but their use results in a more complex structure for manipulator robots. Therefore, this implies working with a robot model that is also more complex despite allowing for more accessibility to the environment by extending the workspace, performing linear movements, increasing precision, and/or improving energy consumption, among other advantages [27,28,29].
This article deals with the impact of variable loads applied at the joints of a novel 6-DoF planar robot and how these disturbances influence the dynamic performance of the mechanism in the context of the trajectory tracking problem. The robot model is original since it not only includes rotary joints in its configuration, but also prismatic joints. It is expected that the current angular position q will reach a desired angular position as strictly as possible when the robot is subject to the action of variable loads over time. To achieve this goal, three control strategies were designed: PID control, predictive control, and fuzzy-logic control. All these strategies were tested in a graphic simulator—designed and implemented in MATLAB R2020a—which allows for characterizing the kinematic and dynamic behavior of the robot. Through feedback in a closed loop, the dynamic response and stability of the robot were improved. Finally, the performance of the graphic simulator and the effectiveness of these three control strategies in the general dynamic behavior of the robot were validated through qualitative comparisons—graphs of trajectory tracking performance—and quantitative comparisons—joint error indexes and the CMRR performance indicator.
2. Mathematical Model of 6-DoF Planar Robot
For the design and implementation of trajectory tracking controllers with good performance, knowing the physical characteristics and mathematical equations that describe the behavior of the robot is essential, i.e., knowing its kinematic and dynamic model. The coupling of these models in control strategies will be helpful to increase the efficiency and robustness of the system. The 6-DoF planar robot model is described below.
2.1. Kinematic Modeling of 6-DoF Planar Robot
To characterize the kinematic behavior of the robot, the Denavit–Hartenberg (D-H) convention is employed. The problem considers the allocation of axes in the geometrical configuration in Figure 1. For the sake of space and conciseness, both the joint parameters for the D-H and the 6-DoF robot kinematics derived by the authors are available in https://doi.org/10.3390/app10196770.
Figure 1.
Geometrical configuration of 6-DoF planar robot and allocation of the D-H coordinate system (perspective view).
2.2. Dynamic Modeling of a 6-DoF Planar Robot
Given the RPRPRP configuration of this robot and according to the L-E method, the following nonlinear vector dynamic Equation (1) is obtained [30,31,32]:
where is the vector for external forces or torques applied by the actuators over the robot’s joints; is the vector for unknown input disturbances; is the inertia matrix, with symmetry with respect to the main diagonal; is the centrifuge and Coriolis force matrix; is the vector for the gravitational forces, of (6 × 1) dimensions; is the friction forces vector; and are the joint position, speed, and acceleration vectors, respectively.
The results of the motion equations of the robot dynamic model are presented in Appendix A. Thanks to the inertia matrix symmetry property, elements and and elements and , among others, can be set equal, as indicated in Equations (A2) and (A3), respectively.
The elements of the centrifuge and Coriolis forces matrix are calculated by Equation (2), obtaining
where n is the number of DoFs (); is the component of the generalized velocity vector; and are Christoffel symbols (coefficients) of the first kind, with , according to Equation (3) [33]:
where is the element of the inertia matrix . The elements of the matrix are presented in Appendix A.
Given that the workspace of this robot is restricted to the horizontal plane, is zero because the gravity force acts perpendicularly to its motion plane.
The friction force vector of the robot is defined in Equation (4):
where represents the friction coefficients in the robot’s joints.
It is clear that the obtained dynamic model is highly complex due to its large number of nonlinear terms. Thus, this requires some control-oriented modeling approach able to handle this complexity. In Appendix A, a compact dynamic 6-DoF model is presented, which was obtained by abbreviating the notation of common expressions that are present in the elements and components of the robot dynamics. This model does not substitute the original model and is more suited for the implementation of the dynamic-model-based real-time controller. The dynamic modeling of the redundant mechanism inherits the RPR robot dynamic model that is described in Appendix B.
2.3. Actuator Dynamics
In this work, the considered actuators correspond to servomotors, which are constituted by a DC motor, a potentiometer, and an electronic amplifier. This last element is a feedback control circuit that converts a Pulse-Width-Modulation (PWM)-type input signal into the voltage, then compares it with the feedback position and, finally, amplifies it to activate an H-bridge to produce spin with a certain speed. In addition, a servomotor consists of a gear train to reduce the spin speed and increase the torque in the drive axle (spindle). A potentiometer used to know the position is connected to this output shaft.
Figure 2 and Figure 3 show the schematic and block diagram, respectively, of a servomotor coupled as the load to a robotic manipulator.
Figure 2.
Schematic diagram of a servomotor coupled as the load to a robotic manipulator.
Figure 3.
Block diagram of a servomotor coupled as load to a robotic manipulator.
is the motor armature voltage; is the counter-electromotive force; is the input voltage to the servomotor; is the motor armature current; is the charge torque; is the total torque in the axis; is the load position; is the DC motor spindle position; is the motor’s inertial momentum; is the motor’s viscous friction; is the armature resistance; is the armature inductance; A is the gain of the current amplifier; is the gain of the voltage to the PWM converter; is the gain of the PWM to the voltage converter; is the comparator sensibility; p is the position sensor gain (potentiometer); and and are the teeth of the input gear (motor) and output gear (load), respectively.
is the unloaded motor torque; is the motor torque constant; is the constant of inverse electromotive force; and n is the gear ratio ().
The servomotor dynamic model can be expressed through Equations (5) and (6) [34]:
where is the total gain of the PWM conversion (); k is the slope gain of the tanh function used to increase or reduce the slope of the curve as it crosses zero; and and are the magnitudes of the Coulomb friction forces, both with central symmetry.
3. Design of Controllers
Figure 4 shows the block diagram of the simulator implemented in the MATLAB/Simulink programming environment, proposed to test the control strategies based on the dynamic model of the 6-DoF manipulator robot and its servomotor-type actuators.
Figure 4.
Simulation diagram of the controllers for the 6-DoF planar robot with variable load applied to its joints.
In this work, robot parameters already validated in other studies were employed. This simulator allows modeling the behavior of the redundant planar manipulator in a virtual environment before its physical construction and allows conducting performance tests on its controllers, as well as anticipate possible damage/faults in the system mechanics before implementing the control strategies in a real robot. Table 1 below shows the parameter values of each link of the robot presented in Figure 1.
Table 1.
Physical parameters for 6-DoF planar robot [35].
Table 2 shows the set of values of the parameters used for each actuator.
Table 2.
Parameters considered for servomotors [36].
In order to apply the control algorithms in a real redundant robot and prevent collisions between its links, the mechanical restrictions of its joints were respected. The value range of these joints is shown in Table 3.
Table 3.
Mechanical limitations of joints of 6-DoF planar robot.
3.1. Design of Classic PID Controller
In this section, six classic PID controllers were designed separately, i.e., one per degree of freedom of the 6-DoF planar robot. This was conducted to assess the quantitative and qualitative performance of the robot and to compare it with two advanced control methodologies explained in the following sections.
The tuning parameters of the PID controller that yielded the best performance were obtained in a decoupled way, considering the scheme in Figure 4 and using the automated tuning application of the MATLAB/Simulink software. The PID controllers were implemented one by one in the control scheme and were tuned in the following order: PID1, PID3, PID2, PID4, PID6, PID5, PID2, and PID3. Note that the PID2 and PID3 controllers were re-tuned to improve the system response. Through different PID arrangements, the overshoot and general response of some joints were improved, but the dynamic performance of the robot was degraded in general. The values of these parameters are presented in Table 4.
Table 4.
Tuning parameters for PID parameters.
3.2. Design of Predictive Controller
To solve the trajectory tracking of the robot in the joint space, an MPC-based controller was designed in this section. To design and linearize this controller, its structure was configured, i.e., the number of manipulated variables () and the number of measured output () were established. Therefore, the value was defined, which corresponds to the forces and torques applied in each robot joint. In addition, the value was also set for the current position of each joint, which was subsequently fed back to the controller. Then, using the MATLAB/Simulink software, computational simulations were conducted to analyze both the dynamic model of the robot, developed in Section 2, and the performance of this controller.
To control the robot joints, the scheme in Figure 4 was considered, while the parameters of the MPC-based controller were tuned based on the scheme shown in Figure 5. Additionally, to improve the operating life of the robot actuators, saturating blocks were incorporated at the output of the controller in order to limit the extreme values (minimum and maximum) corresponding to the power signals of all the actuators, as observed in Figure 4.
Figure 5.
Tuning of MPC-based controller.
3.3. Design of Fuzzy-Logic Controller
The fuzzy-logic controller was designed with four main units, as shown in Figure 6. These units were fuzzification, inference mechanism, knowledge base, and defuzzification. Fuzzification makes physical input data compatible with the fuzzy control rule base in the nucleus of the controller; the inference mechanism performs the control action in fuzzy terms according to the information from fuzzification; the knowledge base comprises the rule base and the database, while defuzzification is the inverse process of fuzzification [37,38].
Figure 6.
General structure of a fuzzy controller.
To perform the joint control of the 6-DoF planar robot, an independent fuzzy controller was designed for each degree of freedom of the robot. The controller configuration was conducted using the Fuzzy Inference System (FIS) of the MATLAB/Simulink software, considering the Mamdani inference mechanism and the centroid method for defuzzification. The design of each FLC has two inputs and one output; the two control variables (inputs) are the position error (e) and the first derivative of position error () of the links; the position error is obtained from the subtraction between the set-point and the current position, and the control signal (output) corresponds to the generalized force () required for moving each robot joint. The general scheme of each FLC is shown in Figure 7.
Figure 7.
General scheme of fuzzy system for each articulation.
Three fuzzy membership functions are proposed for the two inputs, whose linguistic variables are defined as Positive (P), Zero (Z), and Negative (N). In turn, the membership functions for the output are five, whose associated linguistic variables are Negative Big Force (NBF), Negative Force (NF), Zero Force (ZF), Positive Force (PF), and Positive Big Force (PBF). To build the knowledge base, the rules of the controller related to the inputs and output are defined through the rule base IF, THEN. Table 5 summarizes the nine-rule base designed for the FLCs, which were formulated based on the observation of the robot dynamic performance, considering error processing, error, and generalized forces. Figure 8 shows schematically how the rule base of the FLCs is generated, considering that the robot is at rest when located on the X axis.
Table 5.
Rule base added into each fuzzy-logic controller.
Figure 8.
Explanatory scheme of rule base generation for FLCs.
An example of one of these IF-THEN fuzzy rules is provided in the relation below:
Table 6 shows the universes or ranges of the fuzzy variables involved in each FLC, which were determined through the analysis of their computational simulation. Figure 9 presents the membership functions of the variables—error, error derivative, and generalized forced—for FLC 1. These graphs are identical in each FLC—since only their universe is modified—and were built based on trapezoidal and pyramidal linguistic variables.
Table 6.
Universes of the fuzzy variables for each FLC.
Figure 9.
Membership functions of Fuzzy-Logic Controller 1.
Then, the fuzzy controllers were implemented in the MATLAB/Simulink simulation environment, and their empirical and derivative gains were tuned empirically to improve the performance of the robot. These values are presented in Table 7.
Table 7.
Optimal values for and parameters of each FLC.
The control scheme in Figure 4 represents a closed-loop system that initially was tested without considering the variable loads of the robot, using step-type input as the reference signal of the six joints.
4. Computational Simulations
In this section, the three control strategies developed were simulated and assessed qualitatively through response curves. The graphic simulator was designed and implemented using the MATLAB/Simulink tools. At the first stage, tests were conducted on the controllers without considering load application, to subsequently add variable loads applied to the joints of the 6-DoF manipulator robot.
4.1. Performance without Variable Loads
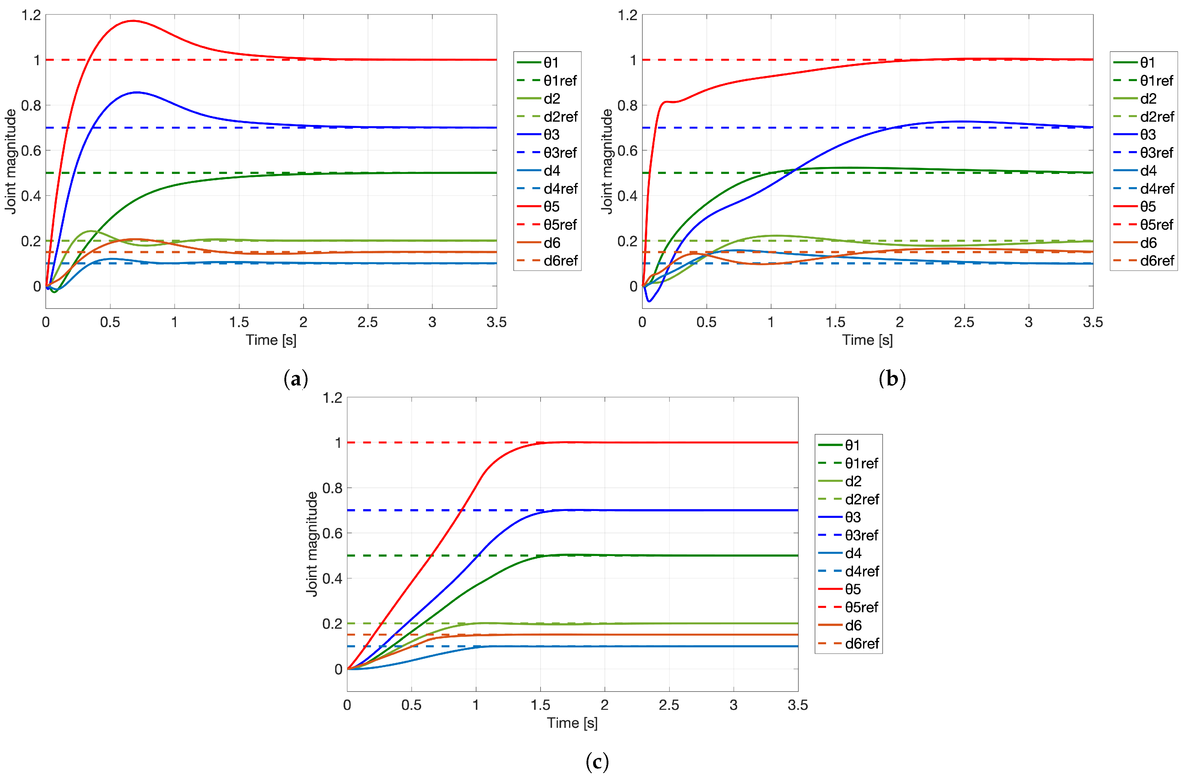
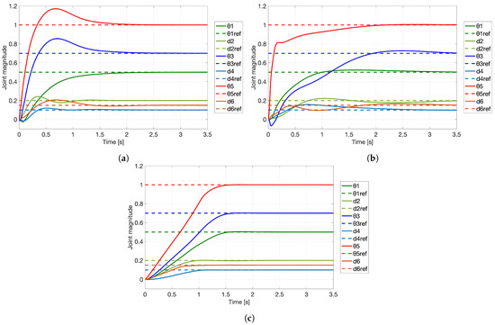
Below, considering the control scheme in Figure 4, the first test was conducted considering step-type reference signals of different magnitudes, namely (rad), (rad), (rad), (m), (m), and (m).
In Figure 10a, the response observed in each PID controller is good, and particularly in the first joint, a negligible overshoot and good settling time were achieved. In general, what degrades the performance of PID controllers is the destabilization that originates when the robot starts moving and comes out of inertia; however, the short rise time in the transient regime should be noted.
Figure 10.
Robot response to a step input. (a) PID controllers, (b) MPC-based controllers, and (c) FLCs.
As shown in Figure 10b, for the case of the MPC-based controller, a good response was obtained from the robot, without overshooting in any of its links, although a slight instability was observed at the beginning of the third link movement. Nevertheless, approximately 3.5 s passed before each robot link reached its respective set-point and stabilized on it.
Figure 10c shows that—in contrast with the initial instability obtained from the controllers above—each FLC exhibited a smoother start, with better trajectory tracking and almost no overshooting, despite slower response speeds.
Figure 11 shows the forces and torques applied to the robot joints, which were maintained within the parameters defined in the design of each controller. In Figure 11b, the MPC-based controller is observed to generate commutations in its control signal, which could damage the robot actuators and reduce its operating life. However, in Figure 11a,c, the PID controllers and FLCs outputs are significantly smoother, and no sudden changes associated with the signal of the MPC-based controller occur.
Figure 11.
Forces and torques applied at the robot joints. (a) PID controllers, (b) MPC-based controllers, and (c) FLCs.
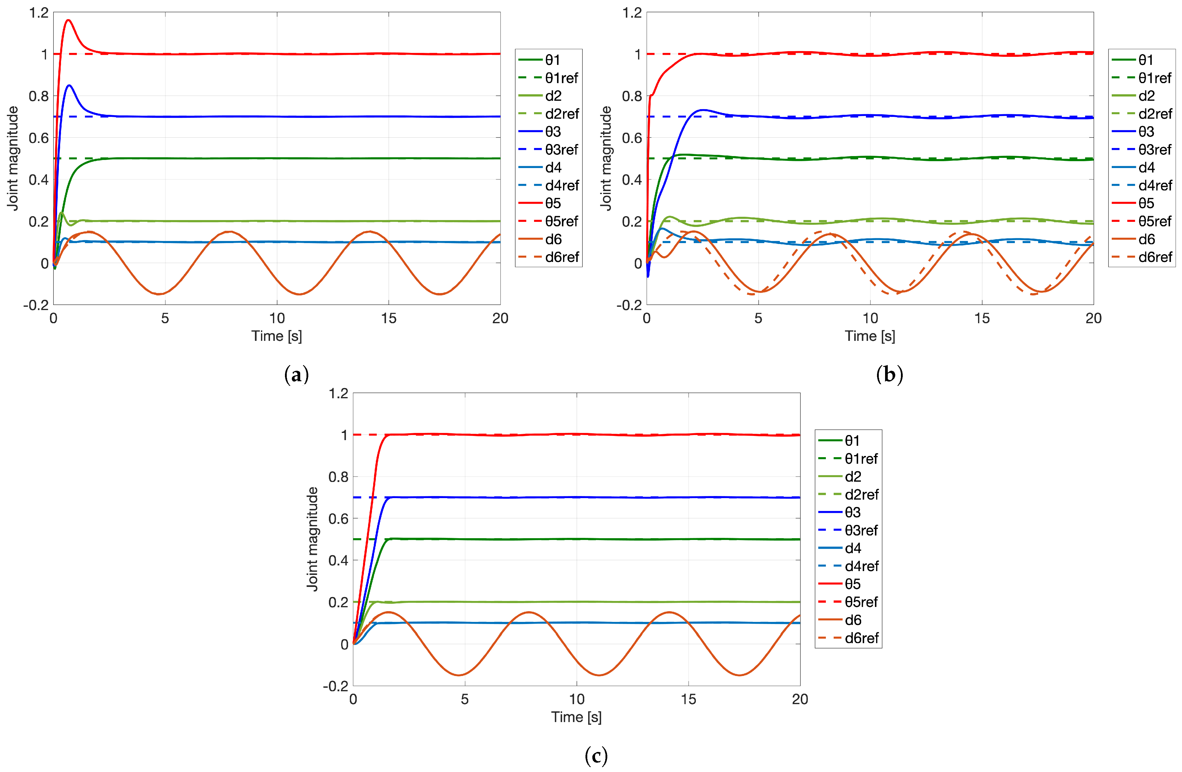
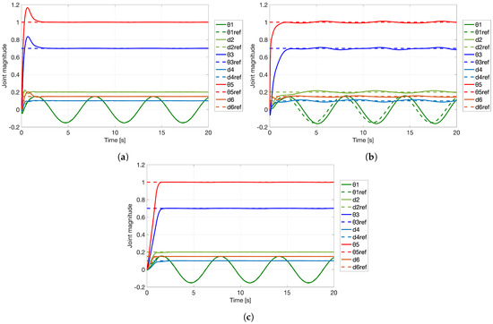
Below, a second test was conducted, in which a sinusoidal set-point of (m) amplitude was applied in the third prismatic joint of the robot, while the step-type set-points were maintained in the rest of the joints. In Figure 12b, a good tracking of the sinusoidal signal of the MPC-based controller is observed, but with a small lag and attenuation of this signal, which persist over time. In addition, the constant movement of the last link was observed to affect the stability of the whole robot and especially of the prismatic joints that continued oscillating around their respective set-points. However, this behavior was clearly improved when using the PID controllers and FLCs, as shown in Figure 12a,c, respectively, since all the robot joints had an excellent tracking of their set-points.
Figure 12.
Trajectory tracking with a sinusoidal set point of a 0.15 (m) amplitude in the third prismatic joint of the robot. (a) PID controllers, (b) MPC-based controllers, and (c) FLCs.
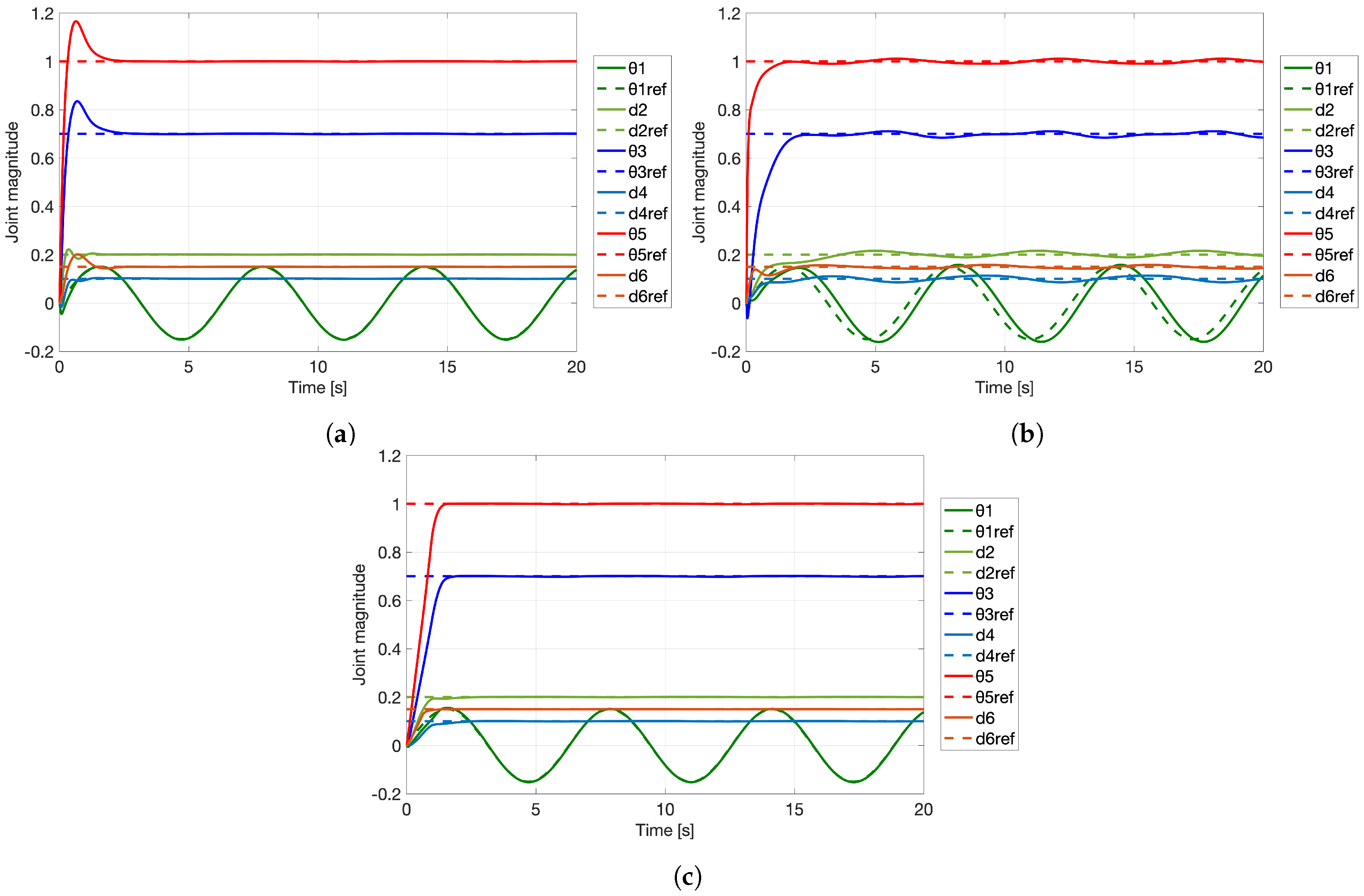
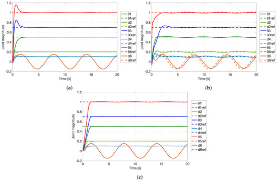
A third test was conducted above, in which the step-type reference signal of the first rotary joint was substituted for a sinusoidal input with a (rad) amplitude. Figure 13b shows that the first link did not settle on the desired sinusoidal trajectory either when the MPC-based controller was used. Furthermore, it became evident that the dynamics of this robot is highly coupled, as the constant movement of one of its links impacts the stability of the other robot links. Comparing Figure 12a–c with Figure 13a–c, the impact was observed to be more significant when the first link oscillated over time.
Figure 13.
Trajectory tracking with a sinusoidal set-point of a (rad) amplitude in the first rotary joint of the robot. (a) PID controllers, (b) MPC-based controllers, and (c) FLCs.
4.2. Variable Load Performance
Considering the control scheme of Figure 4 above, tests were conducted considering that the robot transports variable loads in its joints and end effector. Load 1 is represented by a pulse train; Load 2 is represented by a sinusoidal; Load 3 is represented by a saw tooth. Computational simulations were executed for 25 s, and the load set was applied 3 s after the start of such simulations, since from the third second, the controlled variable finished its transient regime and the robot links settled on their respective set-points. Figure 14, Figure 15 and Figure 16 show the response of the controllers when the robot was subject to the action of variable loads.
Figure 14.
Trajectory tracking for the variable Load 1: pulse train. (a) PID controllers, (b) MPC-based controllers, and (c) FLCs.
Figure 15.
Trajectory tracking for the variable Load 2: sinusoidal. (a) PID controllers, (b) MPC-based controllers, and (c) FLCs.
Figure 16.
Trajectory tracking for the variable Load 3: saw tooth. (a) PID controllers, (b) MPC-based controllers, and (c) FLCs.
Figure 14, Figure 15 and Figure 16 show that, in general, the pulse train and saw tooth loads affected the robot links the least in terms of their respective set-points. The sinusoidal load destabilized all the robot joints, especially when the MPC-based controller was used. In Figure 15b, the robot joints are observed to oscillate around their own reference. Conversely, Figure 15a,c show that the compensation of the PID controllers and FLCs was clearly more efficient when the variable Load 2 was applied.
In Figure 14b, Figure 15b, and Figure 16b, an efficient regulation of the MPC-based controller is observed, as the robot links returned to their original position even with sudden changed in load magnitude. Furthermore, the MPC-based controller is a good position compensator when variable loads act on the prismatic joints. The main disadvantage of the MPC-based controller is that its recovery was too unstable after applying variable loads, generating large overstretching. This behavior is clearly seen in the response of the robot rotary joints to the application of the variable Loads 1 and 3. Figure 14a, Figure 15a, and Figure 16a show good response stability in the PID controllers, despite a degradation in their behaviors due to a small error or lag—with respect to their set-points—which is constant and increases as variable loads are applied again. This implies that the link did not return to its exact original position. This phenomenon was more evident in the response of the prismatic joint (Figure 14a and Figure 16a), which was further confirmed quantitatively through very low CMRR values.
Regarding the MPC-based controller, PID controllers and FLCs countered the destabilization that occurred in the robot with the application of the variable load better, which was noticeable when the pulse train and tooth saw were applied. This was even more noticeable in the trajectory tracking of the first joint, as shown in Figure 14c and Figure 16c. When FLCs were used, the robot links took longer to return to their respective set-points; therefore, their recovery capacity was slower. Nevertheless, their correction was smoother and more stable compared with the PID controllers and the MPC-based controller. In practical terms, the use of FLCs prevented the robot joints from suddenly moving away from their set-points, avoiding collisions between links thanks to better recovery and damage to the actuators due to the lesser effort required to keep links in their respective set-points.
5. Analysis of Controller Performance
From the statistics analysis and assessment of robot link trajectory tracking and based on a performance indicator called the CMRR, a quantitative comparison of the dynamic performance of the controllers designed was performed in this section. In particular, the CMRR is a performance indicator whose value is higher than zero and expresses the capacity of a differential amplifier—or another device—to reject signals in common mode; in addition, this indicator allows for quantifying the compensation or rejection of a controller under the action of variable loads. Therefore, in theory, an ideal controller should have an infinite CMRR [39]. To obtain this indicator, the values of the Residual Mean Square (RMS) of the Load (RMSL)— or the Differential Mode Gain (DMG)—and the RMS of Load Deviation (RMSLD)—or Common Mode Gain (CMG)—were calculated, considering the time at which the variable loads were applied. Therefore, these calculations excluded the first three seconds of the computational simulation. The RMSL, RMSLD, and CMRR can be obtained based on Equations (7)–(9) [40]:
where c is the total number of observed data; is the number of data observed before the variable loads act at the robot’s joints; is the i-th observed load value; is the i-th predicted load value; is the i-th observed load deviation value; and is the i-th predicted load deviation value.
This paper considered observed data during 25 s of simulation, of which were excluded to account for the three-second delay before the action of the variable loads as explained above. Table 8 shows the values of the RMSLs and RMSLDs, as well as the CMRR values corresponding to each controller for the six joints and three variable loads.
Table 8.
Rejection ratio of variable loads when using PID controllers, MPC-based controllers, and FLCs.
From Table 8, it may be inferred that the FLCs yielded better CMRR values in general. In practical terms, this implies that these controllers allowed the robot to have better dynamic (or compensation) performance under the action of variable loads. However, PID controllers and the MPC-based controller did not offer homogeneous CMRR values in all variable loads associated with the robot joints; for example, the CMRR values of the PID controllers were low when the loads had linear characteristics such as train pulses or saw teeth. Nevertheless, the CMRR values were high and similar to the values obtained with the MPC-based controller and FLCs when a sinusoidal load was employed. The CMRR values of the MPC-based controller were observed to be low only when the variable Load 2 was applied.
The bar graphs in Figure 17 summarize the CMRR values presented in Table 8. Figure 17a,c indicate that for the variable Loads 1 and 3, the compensation conducted by the PID controllers was not good. Additionally, when a pulse train was applied, the compensation was practically null for both the first rotary joint and the second prismatic joint. In turn, Figure 17b shows that the rejection of the MPC-based controller when the variable Load 2 was applied was not very good. The above was confirmed by observing the CMRR values of the MPC-based controller in Table 8, which were small compared to those of the other controllers.
Figure 17.
Rejection ratio of variable loads. (a) Load 1. (b) Load 2. (c) Load 3.
Table 9 presents the response statistics of the robot dynamic performance when the diverse controllers studied were used, especially when the variable Load 1 was applied. These response statistics were overshoot, rise time (0% to 100%), and settling time (2% criterion).
Table 9.
Performance standard values of controllers applying the variable Load 1 to the robot.
To enrich the results above, the performance indicators RMS, RSD, and IA were calculated from 3 s of simulation (the moment when the variable loads act). The RMS is an indicator that measures the error magnitude or series dispersion. It is the most-used index in the validation of physical systems. The RSD is an indicator of the series deviation, and its value oscillates between 0 and 1. Ideally, the RMS and RSD values should be close to indicate low error. The IA is an indicator that provides the tendency between two series to be compared, and its value ranges from 0 to 1. The ideal IA value should be close to 1 to indicate a total fit. The joint error indexes are described in Equations (10)–(12).
with: ; ; where is the i-th current joint value; is the i-th desired joint value; and is the mean joint value.
In Table 10, the FLC controller is observed to have RMS and RSD values closer to zero and an IA closer to the unit.
Table 10.
Joint error indexes of controllers applying the variable Load 1 to the robot.
6. Conclusions
A graphic simulator was developed in the MATLAB/Simulink environment in order to characterize the kinematic and dynamic behavior of a novel 6-DoF planar robot with a structure that incorporates rotary and prismatic joints. Specifically, a control problem of joint trajectory tracking was solved under the action of the variable loads, through the three control methodologies of PID control, predictive control, and fuzzy-logic control (whose dynamic performance was assessed qualitatively and quantitatively through response statistics), as well as through the performance indexes of the RMS, RSD, IA, and CMRR. It was demonstrated that the use of MPC-based controllers resulted in being sensitive to the model accuracy, but the adequacy of the CMRR values depended on the variable loads applied. In turn, it was demonstrated that the use of PID controllers is feasible in redundant robots; however, their performance was not good when the variable load applied had linear characteristics. The low CMRR values of the PID controllers indicated lower tracking performance as they did not return to their exact set-point after the loads acted; nevertheless, they offered higher reliability and stability than the MPC-based controllers. By adopting the fuzzy method, the system uncertainties and disturbances were handled, and the attenuation control of the disturbances was achieved. Additionally, the control signal of the FLCs was smooth and did not present significant instabilities during the transient regime, except for the time when the robot joints came out of their inertia. After the variable loads were applied to the robot, its recovery was good as it did not present overshooting or sudden movements in its joints compared to the PID controllers and the MPC-based controller. From the response statistics for the dynamic performance of the robot—when FLCs were used in it—it was confirmed that the RMS/RSD values obtained were close to zero and those of the IA were close to the unit. Furthermore, all the compensations from the FLCs did not discriminate by joint type in the 6-DoF planar robot, and the high CMRR values of the FLCs demonstrated that the compensation conducted by these controllers when the variable loads were applied was much more effective than that of the PID- and MPC-based controllers. After comparing the three control methodologies, the FLC controllers were the most-suitable and efficient, both under normal operating conditions and under the action of the variable loads applied to the robot joints.
Author Contributions
Conceptualization, C.U. and D.S.; methodology, C.U. and D.S.; software, C.U. and D.S.; validation, C.U. and D.S.; formal analysis, C.U. and D.S.; investigation, C.U. and D.S.; resources, C.U. and D.S.; data curation, C.U. and D.S.; writing—original draft preparation, C.U. and D.S.; writing—review and editing, C.U. and D.S.; visualization, C.U. and D.S.; supervision, C.U.; project administration, C.U.; funding acquisition, C.U. All authors have read and agreed to the published version of the manuscript.
Funding
This research received no external funding.
Acknowledgments
This work was supported by the Faculty of Engineering of the University of Santiago of Chile and ANID-Subdirección de Capital Humano/Doctorado Nacional/2021-21210392, Chile.
Conflicts of Interest
The authors declare no conflict of interest.
Abbreviations
The following abbreviations are used in this manuscript:
| CMG | Common Mode Gain |
| CMRR | Common Mode Rejection Ratio |
| DMG | Differential Mode Gain |
| D-H | Denavit–Hartenberg |
| DoF | Degrees of Freedom |
| D-H | Denavit–Hartenberg |
| FLC | Fuzzy-Logic Controller |
| FLS | Fuzzy-Logic System |
| IA | Index of Agreement |
| L-E | Lagrange–Euler |
| MIMO | Multiple Input, Multiple Output |
| PID | Proportional–Integral–Derivative |
| MPC | Model Predictive Control |
| RMs | Robotic Manipulators |
| RMS | Residual Mean Square |
| RMSL | Residual Mean Square of Load |
| RMSLD | Residual Mean Square of Load Deviation |
| RSD | Residual Standard Deviation |
| T3-FLSs | Type-3 Fuzzy Logic Systems |
Appendix A. Dynamic Modeling of a 6-DoF Planar Manipulator Robot
Following the Lagrange–Euler formalism, the elements of the inertia matrix are:
The components of the Coriolis-centripetal force vector, , are:
with: ; ; ; ; ; ; ; ; ; ; ; ; ; ; ; ; ; ; ; ; ; ; ; ; and ; where : length of arm (m), : length of second arm (m), and : length of third arm (m).
Appendix B. Dynamic Modeling of a 3-DoF Planar Manipulator Robot
The elements of the inertia matrix, , are:
The elements of the Coriolis-centripetal force matrix, , are:
with: ; ; and .
References
- Yu, P.; Tan, N.; Zhong, Z. Comparative studies and performance analysis on neural-dynamics-driven control of redundant robot manipulators with unknown models. Eng. Appl. Artif. Intell. 2023, 117, 105528. [Google Scholar] [CrossRef]
- Ning, Y.; Li, T.; Du, W.; Yao, C.; Zhang, Y.; Shao, J. Inverse kinematics and planning/control co-design method of redundant manipulator for precision operation: Design and experiments. Robot. Comput. Integr. Manuf. 2023, 80, 102457. [Google Scholar] [CrossRef]
- Zhang, F.; Jin, L.; Luo, X. Error-summation enhanced newton algorithm for model predictive control of redundant manipulators. IEEE Trans. Ind. Electron. 2023, 70, 2800–2811. [Google Scholar] [CrossRef]
- Chen, H.-Z.; Tian, G.; Liu, G. A selective attention guided initiative semantic cognition algorithm for service robot. Int. J. Autom. Comput. 2018, 15, 559–569. [Google Scholar] [CrossRef]
- Kabir, U.; Hamza, M.; Haruna, A.; Shehu, G. Performance analysis of PID, PD and fuzzy controllers for position control of 3-DOF robot manipulator. J. Electr. Eng. Technol. 2019, 8, 18–25. [Google Scholar] [CrossRef]
- García-Valdez, M.; Mancilla, A.; Castillo, O.; Merelo-Guervós, J.J. Distributed and asynchronous population-based optimization applied to the optimal design of fuzzy controllers. Symmetry 2023, 15, 467. [Google Scholar] [CrossRef]
- Zeinali, M.; Notash, L. Fuzzy logic-based inverse dynamic modeling of robot manipulators. Trans. Can. Soc. Mech. Eng. 2010, 34, 137–150. [Google Scholar] [CrossRef]
- Mahmoodabadi, M.J.; Ziaei, A. Inverse dynamics based optimal fuzzy controller for a robot manipulator via particle swarm optimization. J. Robot. 2019, 2019, 5052185. [Google Scholar] [CrossRef]
- Mahmoodabadi, M.J.; Nejadkourki, N. An inverse dynamics based fuzzy adaptive state-feedback controller for a nonlinear 3DOF manipulator. Int. J. Model Simul. 2023. [Google Scholar] [CrossRef]
- Sachan, S.; Swarnkar, P. Robust motion planning in robot-assisted surgery for nonlinear incision trajectory. Electronics 2023, 12, 762. [Google Scholar] [CrossRef]
- He, F.; Huang, Q. Time-optimal trajectory planning of 6-DOF manipulator based on fuzzy control. Actuators 2022, 11, 332. [Google Scholar] [CrossRef]
- Burchell, J.J.; le Roux, J.D.; Craig, I.K. Nonlinear model predictive control for improved water recovery and throughput stability for tailings reprocessing. Control Eng. Pract. 2023, 131, 105385. [Google Scholar] [CrossRef]
- Su, H.; Zhang, J.; She, Z.; Zhang, X.; Fan, K.; Zhang, X.; Liu, Q.; Ferrigno, G.; De Momi, E. Incorporating model predictive control with fuzzy approximation for robot manipulation under remote center of motion constraint. Complex Intell. Syst. 2022, 8, 2883–2895. [Google Scholar] [CrossRef]
- Lu, Y.; Han, L.; Liu, J.; Li, S. Model predictive tracking control for rigid manipulators with disturbance rejection. In Proceedings of the 2022 41st Chinese Control Conference (CCC), Hefei, China, 25–27 July 2022; pp. 2705–2710. [Google Scholar] [CrossRef]
- Dai, L.; Yu, Y.; Zhai, D.-H.; Huang, T.; Xia, Y. Robust model predictive tracking control for robot manipulators with disturbances. IEEE Trans. Ind. Electron. 2021, 68, 4288–4297. [Google Scholar] [CrossRef]
- Mu, Z.; Han, L.; Xu, W.; Li, B.; Liang, B. Kinematic analysis and fault-tolerant trajectory planning of space manipulator under a single joint failure. Robot. Biomim. 2016, 3, 16. [Google Scholar] [CrossRef]
- Yuan, W.; Liu, Y.-H.; Su, C.-Y.; Zhao, F. Whole-body control of an autonomous mobile manipulator using model predictive control and adaptive fuzzy technique. IEEE Trans. Fuzzy Syst. 2023, 31, 799–809. [Google Scholar] [CrossRef]
- Wang, Y. Robot algorithm based on neural network and intelligent predictive control. J. Ambient Intell. Humaniz. Comput. 2019, 11, 6155–6166. [Google Scholar] [CrossRef]
- Wang, F.; Chao, Z.; Huang, L.; Li, H.; Zhang, C. Trajectory tracking control of robot manipulator based on RBF neural network and fuzzy sliding mode. Cluster Comput. 2019, 22, 5799–5809. [Google Scholar] [CrossRef]
- Jin, S.; Meng, Q.; Dai, X.; Hou, H. Safe-nav: Learning to prevent pointgoal navigation failure in unknown environments. Complex Intell. Syst. 2022, 8, 2273–2290. [Google Scholar] [CrossRef]
- Lauer, A.P.R.; Lerke, O.; Blagojevic, B.; Schwieger, V.; Sawodny, O. Tool center point control of a large-scale manipulator using absolute position feedback. Control Eng. Pract. 2023, 131, 105388. [Google Scholar] [CrossRef]
- Baek, J.; Kang, M. A practical adaptive sliding-mode control for extended trajectory-tracking of articulated robot manipulators. IEEE Access 2022, 10, 116907–116918. [Google Scholar] [CrossRef]
- Chen, Y.-H.; Chen, Y.-Y. Nonlinear adaptive fuzzy control design for wheeled mobile robots with using the skew symmetrical property. Symmetry 2023, 15, 221. [Google Scholar] [CrossRef]
- Xu, S.; Zhang, C.; Mohammadzadeh, A. Type-3 fuzzy control of robotic manipulators. Symmetry 2023, 15, 483. [Google Scholar] [CrossRef]
- Dumlu, A. Design of a fractional-order adaptive integral sliding mode controller for the trajectory tracking control of robot manipulators. Proc. Inst. Mech. 2018, 232, 1212–1229. [Google Scholar] [CrossRef]
- Noghreian, E.; Koofigar, H.R. Robust tracking control of robot manipulators with friction and variable loads without velocity measurement: A switched control strategy. Proc. Inst. Mech. 2021, 235, 532–539. [Google Scholar] [CrossRef]
- Kereluk, J.A.; Emami, M.R. A new modular, autonomously reconfigurable manipulator platform. Int. J. Adv. Robot. Syst. 2015, 12, 1–17. [Google Scholar] [CrossRef]
- Korayem, M.H.; Dehkordi, S.F.; Mojarradi, M.; Monfared, P. Analytical and experimental investigation of the dynamic behavior of a revolute-prismatic manipulator with N flexible links and hubs. Int. J. Adv. Manuf. Technol. 2019, 103, 2235–2256. [Google Scholar] [CrossRef]
- Urrea, C.; Kern, J.; Alvarez, E. Design and implementation of fault-tolerant control strategies for a real underactuated manipulator robot. Complex Intell. Syst. 2022, 8, 5101–5123. [Google Scholar] [CrossRef]
- Truong, L.V.; Huang, S.D.; Yen, V.T.; Cuong, P.V. Adaptive trajectory neural network tracking control for industrial robot manipulators with deadzone robust compensator. Int. J. Control Autom. Syst. 2020, 18, 2423–2434. [Google Scholar] [CrossRef]
- Xia, H.; Guo, P. Sliding mode-based online fault compensation control for modular reconfigurable robots through adaptive dynamic programming. Complex Intell. Syst. 2022, 8, 1963–1973. [Google Scholar] [CrossRef]
- Liu, H.; Wang, X.; Chen, L. Disturbance observer-based force estimation and fault detection for robotic manipulator in radioactive environments. IEEE Access 2022, 10, 105303–105318. [Google Scholar] [CrossRef]
- Echeandia, S.; Wensing, P.M. Numerical methods to compute the Coriolis matrix and Christoffel symbols for rigid-body systems. J. Comput. Nonlinear Dyn. 2021, 16, 091004. [Google Scholar] [CrossRef]
- Urrea, C.; Kern, J. A new model for analog servo motors. simulations and experimental results. Can. J. Autom. Control Intell. Syst. 2011, 2, 29–38. [Google Scholar]
- Sharma, R.; Gaur, P.; Mittal, A.P. Design of two-layered fractional order fuzzy logic controllers applied to robotic manipulator with variable payload. Appl. Soft Comput. 2016, 47, 565–576. [Google Scholar] [CrossRef]
- Urrea, C.; Kern, J. Trajectory tracking control of a real redundant manipulator of the SCARA type. J. Electr. Eng. Technol. 2016, 11, 215–226. [Google Scholar] [CrossRef]
- Reyes, E.; Cortés, F. Control difuso tipo Mandami para el control de navegación de un robot móvil tipo triciclo. In Proceedings of the 2018 XX Congreso Mexicano de Robótica, Ensenada, Baja California, México, 11 September 2018; pp. 3–7. [Google Scholar]
- Abd-Elhaleem, S.; Shoeib, W.; Sobaih, A.A. Intelligent power management based on multi-objective cost function for plug-in biogas hybrid vehicles under uncertain driving conditions. Complex Intell. Syst. 2022. [Google Scholar] [CrossRef]
- Yosefi, G. A special technique for recycling folded cascode OTA to improve DC gain, bandwidth, CMRR and PSRR in 90 Nm CMOS process. Ain Shams Eng. J. 2020, 11, 329–342. [Google Scholar] [CrossRef]
- Denby, C.; Stone, T. Chapter 18-neurological measurement. In Clinical Engineering, 2nd ed.; Taktak, A., Ganney, P.S., Long, D., Axell, R.G., Eds.; Academic Press: Cambridge, UK, 2020; pp. 309–319. [Google Scholar] [CrossRef]
Disclaimer/Publisher’s Note: The statements, opinions and data contained in all publications are solely those of the individual author(s) and contributor(s) and not of MDPI and/or the editor(s). MDPI and/or the editor(s) disclaim responsibility for any injury to people or property resulting from any ideas, methods, instructions or products referred to in the content. |
© 2023 by the authors. Licensee MDPI, Basel, Switzerland. This article is an open access article distributed under the terms and conditions of the Creative Commons Attribution (CC BY) license (https://creativecommons.org/licenses/by/4.0/).
















