Abstract
Let be a fixed integer. The main objective of this paper is to compute some topological indices and coindices that are related to the graph complement of the prime ideal sum (PIS) graph of , where , and for the different prime integers and s. Moreover, we construct M-polynomials and -polynomials using the -graph structure of to avoid the difficulty of computing the descriptors via formulas directly. Furthermore, we present a geometric comparison for representations of each surface obtained by M-polynomials and -polynomials. Finally, we discuss the applicability of algebraic graphs to chemical graph theory.
Keywords:
topological index; topological coindex; prime ideal sum (PIS) graph; complement of a graph; M-polynomial; CoM-polynomial MSC:
05C07; 05C09; 05C25; 05C31; 05C62
1. Introduction
Graph theory is a mathematical modeling method that explains the way objects are related to each other by connecting them with graphs called edges. Arthur Cayley [1] played a pivotal role in the resurgence of graph theory applications within the field of chemistry, ultimately giving birth to what we now know as chemical graph theory [2]. In this branch, the atoms organizing a molecule are considered as points; bonds between atoms are considered as edges. Then, the concept of a topological index becomes involved, whose final value is obtained from the values extracted from the molecular graph model. Topological indices are formulas that enable us to predict the physicochemical data of molecules, obtained through long experimental processes with mathematical calculations. In this way, it is possible to gain recoup losses arising from parameters such as time, equipment, budget, and environment during the experimental process. Topological indices can be decomposed into distance- and degree-based indices. The Wiener index [3], Zagreb indices [4], Randic index [5], Balaban index [6], and Hosoya [7] and Forgotten topological indices [8] are the leading ones. While taking into account the number of other vertices to which a vertex is connected for degree-based indices, distance-based indices take the shortest path between two points as a basis. For novel and further properties of topological indices, we also refer the reader to [9,10,11,12], where further references can be found. It may not always be easy or even possible to make formulary calculations among hundreds of topological indices. To eliminate this difficulty and also in order to have information about the topological surface, a computing method has already been developed using algebraic polynomials. For instance, in the domain of distance-based topological indices, the Wiener polynomial is a general polynomial whose derivatives at 1 yield Weiner and hyper-Wiener indices [13]. It can be predicted that finding the shortest path between any two points in a complex graph structure may not always be easy. Most of the time, the need to use algorithms may be felt. Similarly, for the degree-based topological indices, M- and NM-polynomials were defined in [14] and [15], respectively, and given as follows:
where , , , and the number of edges such that for the degrees and of in G. In addition,
where , , , and the number of edges such that for the neighborhood degrees and of in G.
Over time, in parallel with the topological indices, topological coindices, calculated according to the values taken from the complement of the molecular graph, have been added to the literature (see [12,16] for details). The complement graph was obtained by plotting the relationship between non-adjacent pairs of points of a graph G [16]. The indices calculated based on this new structure are also called topological coindices, and just as the others, it is possible to classify them based on degree and distance. For example, the first and the second Zagreb coindices were introduced by Doslic in [17] as follows:
and
where the degrees and indicate the number of vertices that are non-adjacent to a and b, respectively. Later, the multiplicative Zagreb coindices [18], forgotten topological coindex [19], second modified Zagreb coindex [20], redefined third Zagreb coindex [20], Randic coindex [20], inverse Randic coindex [20], symmetric division coindex [20], harmonic coindex [20], inverse sum indeg coindex [20], and augmented Zagreb coindex [20] were also defined and studied. In 2022, Kirmani et al. [20] introduced and studied CoM-polynomials as an alternative way to compute topological coindices. Additionally, some recent studies can be presented as examples of the applications of degree-based topological indices computed via the mentioned polynomials in QSPR analysis (see [21,22,23,24] and references therein).
Topological indices and algebraic graph theory share a common focus on the analysis and representation of graphs. Topological indices offer a distinctive set of numerical measurements derived from graph topology. On the other hand, algebraic graph theory provides mathematical tools and concepts that enable the analysis and comprehension of graph features. These tools are effectively utilized to investigate and gain insights into topological indices, thereby establishing a mutual relationship between the two. Graphs with commutative rings are employed in robotics, information and communication theory, elliptic curve cryptography, physics, and statistics. The constructed graphs from algebraic structures exhibit remarkable properties that showcase their high degree of symmetry. These properties establish a significant connection between chemical graph theory and network utilized in parallel computing. The ring structure’s graphs have also been applied in molecular graphs and the structures of genetic code [25]. Nowadays, studies on the zero divisor graph of the ring are a trending field in spectral and chemical graph theory (see [26,27,28,29] for details). Studies on these topics in the literature motivated us to study computing different descriptors with respect to a prime ideal sum graph. The prime ideal sum graph of a commutative ring was defined in [30]. For a commutative ring R with identity, the prime ideal sum graph of R is a graph whose vertices are nonzero proper ideals of R, and two distinct vertices I and J are adjacent if and only if is a prime ideal of . They studied some connections between the graph-theoretic properties of this graph and some algebraic properties of rings (see [30] for more details).
The main goals of the present paper are to compute some topological indices first Zagreb index (), second Zagreb index (), second modified Zagreb index (), redefined third Zagreb index (), forgotten topological index (), symmetric division index (), harmonic index (), inverse sum indeg index (), and augmented Zagreb index () and the topological coindex version each of them, which are related to the complement of the graph of for , where and s are distinct primes. Furthermore, we construct M-polynomials and -polynomials using the -graph structure of to avoid the difficulty of calculating descriptors via formulas directly. Furthermore, we discuss applications of the M-polynomials and -polynomials of molecular graphs in order to shed light on the topological structures of the taken molecules. The paper ends with conclusions and directions for future research.
2. Motivation behind Topological Indices over Algebraic Graphs
In chemistry, group theory is used to study the symmetries and the crystal structures of objects whenever an object or a system property is invariant under transformation. The idea of constructing a graph from groups was advanced by Arthur Cayley, since an algebraic structure is essential for the development of chemical systems as well as the study of many chemical properties of molecules contained within these structures. The study of graphs from rings commences with the exploration of the thoroughly-researched zero-divisor graphs derived from commutative rings [31]. The other well-studied graphs produced from rings can be listed as annihilating ideal graphs [32], comaximal graphs [33,34], Cayley graphs [35], prime ideal sum graphs, total graph [36], etc.
Since topological indices are the numerical quantity of a network and are invariant under graph isomorphisms, researchers are interested in examining the physical properties and symmetries of algebraic structures through graph representations, similar to those in chemistry. In addition, graphs constructed from rings are finite structures, and finite rings and fields have received a significant amount of focus for their applications in cryptography and coding theory [37,38,39]. In [40,41,42], the authors computed vertex-based eccentric and edge-based topological indices of zero-divisor graphs of , where , and r are primes. They pointed out the benefits of these indices in understanding the characteristics of different physical structures such as carbon nanostructures, hexagonal belts and chains, fullerenes and nanocones, structure boiling points, and the relationships of various alkanes. Moreover, they have significance in estimating and troubleshooting computer network problems and developing efficient physical structure in robotics.
In particular, in a recent study (2023) entitled “Applications on Topological Indices of Zero-Divisor Graph Associated with Commutative Rings”, it was declared that computed values for topological indices over algebraic graphs help understand the characteristics of various symmetric physical structures of finite commutative rings and have received significant focus for their applications to cryptography, coding theory, robotics, and mechanics [43,44]. These predictions are also supported by the following recent articles, as the graphs constructed from rings were highly symmetric [45,46,47]. Another article published in Nature Communications [48], entitled “Algebraic Graph-Assisted Bidirectional Transformers for Molecular Property Prediction”, shows promise that algebraic graph theory with the applications of topological indices will gain a place in interdisciplinary applications in the near future. Our prediction is that topological indices will be active in the optimization of applications/systems developed using algebraic graphs [49].
Inspired by the abovementioned studies, in Section 6, we contribute to this literature by computing prime ideal sum graphs of commutative rings. Precisely, we discuss some applications of algebraic graphs to chemical graph theory.
3. Preliminaries
First, let us list the related notations used in this paper ().
The following lemma is used to construct the -polynomial of a commutative ring, which is designed via the complement graph of the related commutative ring, given in [50]. Moreover, the prime ideal sum graph of a ring R is denoted by .
Lemma 1.
Let G be a connected graph of order n. Then, the statement given below is provided.
The concept of the -polynomial of the two variables is defined as follows [20]:
where and the number of edges such that .
Finally, we present the operators that will be used in the next section whenever presenting the polynomials corresponding to topological descriptors:
| , | , | , |
| , | , | . |
4. Materials and Modeling
In this section, we present the formulas of topological indices and coindices as tables (see Table 1 and Table 2) that we use for calculating numeric values as follows:
Table 1.
Topological indices.
Table 2.
Topological coindices.
5. Polynomial Forms and Topological Descriptors of Algebraic Graphs
5.1. M-Polynomials and -Polynomials of Some Commutative Rings
The first main result of this paper is the following theorem.
Theorem 1.
Let p be a prime integer and α be an integer with . Then, the M-polynomial and -polynomial of have the forms
Proof.
Let us list all ideals of . Then, we have , . Note that is a prime ideal of . Taking into account the PIS graph over , it can be seen that is adjacent to , as is local, and thus the sum of these ideals is equal to . Consider the following graph representation of in Figure 1:
Figure 1.
Prime ideal sum graph of .
From the -graph structure of , we obtain:
using the concept of the degree of a vertex. It follows that and using the notations given at the beginning of the Preliminaries section by vertex partition and by the edge-partition technique.
Hence,
Theorem 2.
Let p and q be distinct prime integers. Then, the M-polynomial and -polynomial of have the forms
Proof.
Let us consider the ideals for . Then, is given in Figure 2. Since , , , , we have , , by vertex partition. Therefore, we obtain:
using the edge-partition technique. Hence, the mentioned polynomials are obtained as follows:
Figure 2.
Prime ideal sum graph of .
In Figure 3, we give the 3D−surface representations of the M-polynomial and -polynomial forms of , respectively. □
Figure 3.
Polynomials corresponding to . (a) 3D−surf. of ; (b) 3D−surf. of .
Theorem 3.
Let p and q be distinct prime integers. Then, the M-polynomial and -polynomial of have the forms
Proof.
Let us consider the ideals
where and are the prime ones and for . Then, is as follows:
It can be seen from the -graph structure of in Figure 4 that , , , , , , . We obtain , by the vertex and edge-partition technique. It follows from Lemma 1 that:
Figure 4.
Prime ideal sum graph of .
Hence, and are obtained.
In Figure 5, we give the 3D−surface representations of the M-polynomial and -polynomial forms of , respectively. □
Figure 5.
Polynomials corresponding to . (a) 3D−surf. of ; (b) 3D−surf. of .
Theorem 4.
Let p, q, and r be distinct prime integers. Then, the M-polynomial and -polynomial of have the forms
Proof.
Let us consider the ideals , where , and are the prime ones and . Then, is as follows (see Figure 6):
Figure 6.
Prime ideal sum graph of .
Taking into account the graph structure of , it is obtained that , , , , , . It follows that , by vertex partition. Then, we have
by the edge-partition technique. Hence, we obtain:
In Figure 7, we give the 3D−surface representations of the M-polynomial and -polynomial forms of , respectively. □
Figure 7.
Polynomials corresponding to . (a) 3D−surf. of ; (b) 3D−surf. of .
Theorem 5.
Let p and q be distinct prime integers. Then, the M-polynomial and -polynomial of have the forms
Proof.
Let us consider the ideals
where and are the prime ones for . Then, is as follows (see Figure 8):
Figure 8.
Prime ideal sum graph of .
According to the graph of it is clear that , , , , , . It follows that and by vertex partition. Thus, the necessary coefficients to construct related polynomials are obtained as follows by edge partition:
Hence, we obtain and .
In Figure 9, we give the 3D−surface representations of the M-polynomial and -polynomial forms of , respectively. □
Figure 9.
Polynomials corresponding to . (a) 3D−surf. of ; (b) 3D−surf. of .
Theorem 6.
Let p, q, and r be distinct prime integers. Then, the M-polynomial and -polynomial of have the forms
Proof.
Let us consider the ideals , where , and are the prime ones and . Then, is as follows (see Figure 10):
Figure 10.
Prime ideal sum graph of .
It can be seen from the -graph structure of that , , , , , , , , , . Here, we obtain , using the vertex partition technique. In addition, we obtain from Lemma 1 that:
by the edge-partition technique.
Hence, and are obtained.
In Figure 11, we give the 3D−surface representations of the M-polynomial and -polynomial forms of , respectively. □
Figure 11.
Polynomials corresponding to . (a) 3D−surf. of ; (b) 3D−surf. of .
Theorem 7.
Let p, q, r, and s be distinct prime integers. Then, the M-polynomial and -polynomial of have the forms
Proof.
Let us consider the ideals where , and are the prime ones and . Then, is given in Figure 12.
Figure 12.
Prime ideal sum graph of .
From the -graph structure of we have and Using the vertex partition technique, we have and By edge partition and using Lemma 1, we obtain:
Hence, are obtained.
In Figure 13, we give the 3D−surface representations of the M-polynomial and -polynomial forms of , respectively. □
Figure 13.
Polynomials corresponding to . (a) 3D−surf. of ; (b) 3D−surf. of .
5.2. Computing Various Topological Indices and Topological Coindices of Some Commutative Rings
Since the proofs of the theorems in this section are similar to each other, only a few of them are discussed. The others can be proven by the same technique with necessary variations via the related M-polynomials and -polynomials of .
5.2.1. Topological Indices
Theorem 8.
Let G be the graph of for Then,
| 1 |
Proof.
Since ; and from Theorem 1, we have the following results from Table 1.
Hence, we obtain , , , , , , , and for . □
Theorem 9.
Let G be the graph of Then,
| 18 | 19 | 88 | 32 |
Proof.
Taking into account ; from Theorem 2, we have the following results.
Hence, we obtain from Table 1 , , , , , , , , and . □
The proofs of Theorems 10–14 are similar to the proof of Theorem 9.
Theorem 10.
Let G be the graph of Then,
| 84 | 146 | 0.626 | 1036 | 300 | 24.666 | 3.452 | 20.714 | 159.909 |
Theorem 11.
Let G be the graph of Then,
| 60 | 96 | 0.937 | 480 | 168 | 21 | 2.75 | 14 | 104.888 |
Theorem 12.
Let G be the graph of Then,
| 48 | 68 | 1.062 | 432 | 160 | 19 | 2.75 | 11 | 17.240 |
Theorem 13.
Let G be the graph of Then,
| 240 | 596 | 1.034 | 6160 | 1248 | 50.333 | 4.883 | 58.6 | 706.094 |
Theorem 14.
Let G be the graph of Then,
| 674 | 2364 | 1.013 | 33,840 | 4824 | 98.083 | 6.904 | 166.714 | 3259.618 |
5.2.2. Topological Coindices
Theorem 15.
Let G be the graph of for Then,
| 0 | 0 | 0 | 0 | 0 | 0 | 0 | 0 | 0 |
Proof.
Since then it is a clear fact that all coindices are equal to zero. □
Theorem 16.
Let G be the graph of Then,
| 0 | 0 | 0 | 0 | 0 | 0 | 0 | 0 | 0 |
Proof.
Since ; then it is a clear fact that all coindices are equal to zero. □
Theorem 17.
Let G be the graph of Then,
| 60 | 100 | 0.840 | 377 | 204 | 18.333 | 2.726 | 14.857 | 119.821 |
Proof.
Taking into account the form of the -polynomial ; from Theorem 3, we have the following results.
Hence, we obtain from Table 2 that , , , , , and . □
The proofs of Theorems 18–21 are similar to the proof of Theorem 17.
Theorem 18.
The topological coindices of graph are computed as follows:
| 18 | 24 | 0.375 | 144 | 60 | 7.5 | 1 | 4 | 24 |
Theorem 19.
The topological coindices of graph are computed as follows:
| 56 | 68 | 2 | 368 | 160 | 25 | 4.5 | 13 | 88 |
Theorem 20.
The topological coindices of graph are computed as follows:
| 174 | 224 | 0.986 | 2864 | 732 | 43.166 | 5.066 | −6.8 | 399.095 |
Theorem 21.
The topological coindices of graph are computed as follows:
| 674 | 2364 | 1.013 | 33,840 | 4824 | 98.083 | 6.904 | 166.714 | 2551.752 |
5.3. Comparison
In this part of the study, considering each M-polynomial and -polynomial designed for algebraic graph structures studied in previous sections, we give the table (Figure 14) of computed values of topological descriptors in order to shed a visual light on its physical and topological features.
Figure 14.
Numerical and graphical comparison of topological indices and coindices.
6. Applications in Chemistry
In the present section, we discuss applications of algebraic graph theory in chemistry. We aim to present a chemical application to emphasize the positive impact of degree-based topological (co)indices on QSAR analysis. Our statistical analysis verifies that the study’s topological descriptors are good predictors of various bioactivity properties of the seven anti-Alzheimer drug candidates.
Significant contributions have been made in the field of investigating the predictive potential of different classes of graph-theoretic indices. The first study combining topological descriptors with QSAR analysis was carried out in [51]. Another study was undertaken by Gutman and Tošovic [52], who initiated a comprehensive examination to evaluate the efficacy of degree-based topological indices in predicting the physicochemical properties of isomeric octanes. In [53], Malik et al. broadened their research scope, moving beyond isomeric octanes to encompass benzenoid hydrocarbons, in order to establish correlations between various physicochemical properties. Furthermore, Hayat et al. [54] extended their study to lower polycyclic aromatic hydrocarbons for correlating the -electron energy. Hayat and Asmat [55] discovered the optimal value of that yields the strongest correlation between the generalized first Zagreb index and the -electron energy of lower benzenoid hydrocarbons. Arif et al. [56] explored the predictive capacity of degree-based irregularity indices concerning the physicochemical characteristics of monocarboxylic acids. In [57,58], the authors expanded upon previous research, investigating the predictive potential of topological indices, shifting the focus from degree-based indices to distance-based indices. References [59,60,61,62,63] can also be cited for eigenvalues-based indices and their ability to predict various properties. In this part of the study, we harnessed QSAR modeling to perform an elaborate regression analysis, showcasing its predictive power in relation to our degree-based topological descriptors.
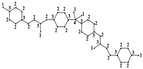
With this aim, we chose seven compounds (Compound 1, Compound 2, Compound 3, Compound I, Compound III, Compound IV, and Compound VI) that were claimed as effective Alzheimer’s disease drug candidates by testing limited experimental methods in [64,65]. Now, we will explain in detail, for one of the compounds (Compound 3), that the calculations we made for algebraic graphs are similar for chemical graphs. Let be the chemical graph of Compound 3 taken from [64]. The compound’s molecular graph contains 39 vertices and 41 edges as follows (see Table 3 below):
Table 3.
Graph representation of molecular structure.
Since the vertex partition of the chemical compound is as above, we have , , , .
Additionally, if : and , then the coefficients of the M-polynomial and also the coefficients of the -polynomial of the chemical compound can be determined as follows using the edge-partition technique.
Hence, the polynomials are obtained as follows:
When similar processes are applied to the remaining molecules in order to calculate the topological indices, we obtain the results given in Table 4 below.
Table 4.
The values of topological indices calculated with respect to the graph structure of the compounds.
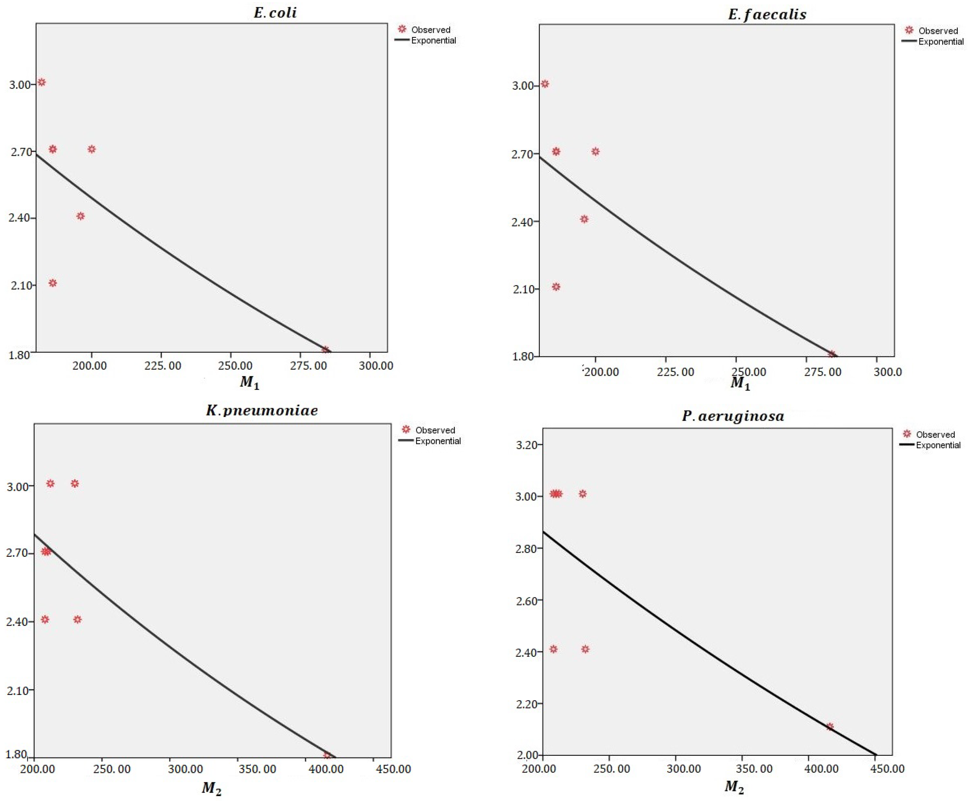
The following equations give the mathematical connection between features and topological indices that are well correlated in predicting bioactivity properties (see Table 5), with curvilinear regression analysis in exponential form (obtained by SPSS (21.0.)). The fitted curves summarizing this situation are given in Figure 15. The notations R and SE given in the equations state the correlation coefficient and standard error, respectively.
Table 5.
pMIC (μg/mL) values of the compounds.
Figure 15.
Fitted curves obtained with curvilinear regression analysis in exponential form.
7. Conclusions
Studying algebraic graph theory has high significance in view of combining representation and number theory via combinatoric applications. Applications of finite rings and other fields provide a solid background to cryptology and coding theory. Computing different types of topological indices of algebraic graphs gives an idea about the physical properties of related finite commutative rings. Investigating their different polynomial forms also enables designing new and stronger physical structures in mechanics for robotics. When combining this graph-theoretic-based mathematical modeling with artificial intelligence and mechanic science, it is possible to provide time and budget savings while producing solutions for various computer-network problems. Studying zero-divisor graphs over is now a trending field for understanding the physical properties of algebraic structures and is also important for the spectral branch of graph theory.
In this study, we computed some topological indices and coindices that are related to the graph complement of the graph of , where and for different prime integers , and s, to simplify the process of computing and also obtain an idea of the physical structures of commutative rings. Additionally, we handled some algebraic polynomials called M-polynomials and -polynomials. Both polynomials can be used by researchers in the future, for example, by using QSPR/QSAR analysis in chemistry and in other applied sciences such as cryptology, code theory, and mechanics. Finally, we discussed the applicability of algebraic graphs to chemical graph theory. Studying QSPR/QSAR analysis might be attractive for further studies in the near future. We conclude this section with the following open problem based on the reviewers’ comments:
Problem 1.
How can we construct the M-polynomials and -polynomials to compute the degree-based topological (co)indices of the graph of , where for the different prime integers , and ?
Author Contributions
Conceptualization, E.Ö.S. and C.A.; methodology, T.A. and S.A.; software, E.Ö.S.; validation, T.A. and S.A.; formal analysis, E.Ö.S.; investigation, E.Ö.S., T.A., C.A. and S.A.; resources, T.A., C.A. and S.A.; data curation, E.Ö.S. and C.A.; writing—review and editing, E.Ö.S. and S.A.; visualization, S.A. and T.A.; supervision, C.A., S.A. and S.A.; project administration, T.A. and S.A. (for the first project); and C.A. and S.A. (for the second project). All authors have read and agreed to the published version of the manuscript.
Funding
This study was carried out with financial support from King Saud University, College of Science, Riyadh, Saudi Arabia under Researchers Supporting Project Number: RSPD2023R934. The work of third and fourth authors was supported by TUBITAK, the Scientific and Technological Research Council of Turkey, under the program “2221-Fellowship for Visiting Professor/Scientists” at Karamanoglu Mehmetbey University (KMU), Turkey.
Data Availability Statement
All data used here is applicable in the article.
Acknowledgments
The authors would like to thank the reviewers for their valuable suggestions and useful comments, which helped us improve the presentation of the manuscript. Moreover, the authors extend their appreciation to King Saud University, the College of Science for funding this research and gratefully acknowledge the TUBITAK for technical and financial support.
Conflicts of Interest
The authors declare no conflict of interest.
References
- Cayley, A. The Algebra of Organic Synthesis: Green Metrics, Design Strategy, Route Selection and Optimization. Philos. Mag. 1857, 13, 172. [Google Scholar]
- Balaban, A.T. Chemical Applications of Graph Theory; Academic Press: Cambridge, MA, USA, 1976. [Google Scholar]
- Wiener, H. Structural Determination of the Paraffin Boiling Points. J. Am. Chem. Soc. 1947, 69, 17–20. [Google Scholar] [CrossRef] [PubMed]
- Gutman, I.; Trinajstic, N. Graph Theory and Molecular Orbitals. Total π-electron Energy of Hydrocarbons. Chem. Phys. Lett. 1972, 17, 535–538. [Google Scholar] [CrossRef]
- Randic, M. On Characterization of Molecular Branching. J. Am. Chem. Soc. 1975, 97, 6609–6615. [Google Scholar] [CrossRef]
- Balaban, A.T. Highly Discriminating Distance-Based Topological Index. Chem. Phys. Lett. 1982, 89, 399–404. [Google Scholar] [CrossRef]
- Hosoya, H. Topological Index. A Newly Proposed Quantity Characterizing the Topological Nature of Structural Isomers of Saturated Hydrocarbons. Bull. Chem. Soc. Jpn. 1971, 44, 2332–2339. [Google Scholar] [CrossRef]
- Furtula, B.; Gutman, I. A Forgotten Topological Index. J. Math. Chem. 2015, 53, 1184–1190. [Google Scholar] [CrossRef]
- Hosoya, H. The Most Private Features of the Topological Index. MATI 2019, 1, 25–33. [Google Scholar]
- Öz, M.S.; Cangül, İ.N. Computing the Merrifield Simmons Indices of Benzenoid Chains and Double Benzenoid Chains. J. Appl. Math. Comput. 2022, 68, 3263–3293. [Google Scholar] [CrossRef]
- Estrada, E.; Bonchev, D. Section 13.1 Chemical Graph Theory. In Handbook of Graph Theory; Gross, L., Yellen, J., Zhang, P., Eds.; CRC Press: Boca Raton, FL, USA, 2013; pp. 1538–1558. [Google Scholar]
- Todeschini, R.; Consonni, V. Handbook of Molecular Descriptors; Wiley-VCH: Weinheim, Germany, 2008; p. 688. [Google Scholar]
- Gutman, I. Some Properties of the Wiener Polynomials. Graph Theory Notes N. Y. 1993, 125, 13–18. [Google Scholar]
- Deutsch, E.; Klavžar, S. M-polynomial and Degree-Based Topological Indices. arXiv 2014, arXiv:1407.1592. [Google Scholar]
- Mondal, S.; De, N.; Siddiqui, M.K.; Pal, A. Topological Properties of Para-line Graph of Some Convex Polytopes Using Neighborhood M-polynomial. Biointerface Res. Appl. Chem. 2020, 11, 9915–9927. [Google Scholar]
- Trinajstic, N. Chemical Graph Theory; Routledge: Milton Park, UK, 2018. [Google Scholar]
- Došlić, T. Vertex-Weighted Wiener Polynomials for Composite Graphs. Ars. Math. Contemp. 2008, 1, 66–80. [Google Scholar] [CrossRef]
- Xu, K.; Das, K.C.; Tang, K.K. On the Multiplicative Zagreb Coindex of Graphs. Opusc. Math. 2013, 33, 191–204. [Google Scholar] [CrossRef]
- De, N.; Nayeem, S.; Abu, M.; Pal, A. The F-coindex of Some Graph Operations. SpringerPlus 2016, 5, 1–13. [Google Scholar] [CrossRef] [PubMed]
- Kirmani, S.A.; Ali, P.; Ahmad, J. Topological Coindices and QSPR Analysis of Antiviral Drugs Investigated in the Treatment of COVID-19. J. Chem. 2022, 3036655, 15. [Google Scholar]
- Hayat, S.; Khan, M.A.; Khan, A.; Jamil, H.; Malik, M.Y.H. Extremal Hyper-Zagreb Index of Trees of Given Segments with Applications to Regression Modeling in QSPR Studies. Alex. Eng. J. 2023, 80, 259–268. [Google Scholar] [CrossRef]
- Kirmani, S.A.K.; Ali, P.; Azam, F. Topological Indices and QSPR/QSAR Analysis of Some Antiviral Drugs Being Investigated for the Treatment of COVID-19 patients. Int. J. Quantum Chem. 2021, 121, e26594. [Google Scholar] [CrossRef]
- Havare, Ö.Ç. Topological Indices and QSPR Modeling of Some Novel Drugs Used in the Cancer Treatment. Int. J. Quantum Chem. 2021, 121, e26813. [Google Scholar] [CrossRef]
- Çolakoğlu, Ö.H. QSPR Modeling with Topological Indices of Some Potential Drug Candidates Against COVID-19. J. Math. 2022, 2022, 3785932. [Google Scholar] [CrossRef]
- Gohain, N.; Ali, T.; Akhtar, A. Reducing Redundancy of Codons through Total Graph. Am. J. Bioinform. 2015, 4, 1–6. [Google Scholar] [CrossRef][Green Version]
- Asir, T.; Rabikka, V. The Wiener Index of the Zero-Divisor Graph of ℤn. Discret. Appl. Math. 2022, 319, 461–471. [Google Scholar] [CrossRef]
- Gürsoy, A.; Gürsoy, N.K.; Ülker, A. Computing Forgotten Topological Index of Zero Divisor Graphs of Commutative Rings. Turk. J. Math. 2022, 46, 1845–1863. [Google Scholar] [CrossRef]
- Gürsoy, A.; Ülker, A.; Gürsoy, N.K. Sombor Index of Zero Divisor Graphs of Commutative Rings. An. St. Univ. Ovidius Constanta 2022, 30, 231–257. [Google Scholar]
- Singh, P.; Bhat, V.K. Adjacency Matrix and Wiener Index of Zero Divisor Graph Γ(ℤn). J. Appl. Math. Comput. 2021, 66, 717–732. [Google Scholar] [CrossRef]
- Saha, M.; Das, A.; Çelikel, E.Y.; Abdioğlu, C. Prime ideal sum graph of a Commutative Ring. J. Algebra Appl. 2022, 2350121, 14. [Google Scholar] [CrossRef]
- Anderson, D.F.; Axtell, M.C.; Stickles, J.A. Zero-divisor Graphs in Commutative Rings. In Commutative Algebra Noetherian and Non-Noetherian Perspectives; Fontana, M., Kabbaj, S.E., Olberding, B., Swanson, I., Eds.; Springer: New York, NY, USA, 2011; pp. 23–45. [Google Scholar]
- Aalipour, G.; Akbari, S.; Behboodi, M.; Nikandish, R.; Nikmehr, M.J.; Shaveisi, F. The Classification of the Annihilating-ideal Graphs of Commutative Rings. Algebra Colloq. 2014, 21, 249–256. [Google Scholar] [CrossRef]
- Maimani, H.R.; Salimi, M.; Sattari, A.; Yassemi, S. Comaximal Graph of Commutative Rings. J. Algebra 2008, 319, 1801–1808. [Google Scholar] [CrossRef]
- Banerjee, S. Spectra and Topological Indices of Comaximal Graph of ℤn. Results Math. 2022, 77, 111. [Google Scholar] [CrossRef]
- Afkhami, M.; Khashyarmanesh, K.; Nafar, K. Generalized Cayley Graphs Associated to Commutative Rings. Linear Algebra Its Appl. 2012, 437, 1040–1049. [Google Scholar] [CrossRef]
- Anderson, D.F.; Badawi, A. The Total Graph of a Commutative Ring. J. Algebra 2008, 320, 2706–2719. [Google Scholar] [CrossRef]
- Rather, B.A.; Pirzada, S.; Naikoo, T.A.; Shang, Y. On Laplacian Eigenvalues of the Zero-Divisor Graph Associated to the Ring of Integers Modulo n. Mathematics 2021, 9, 482. [Google Scholar] [CrossRef]
- Rather, B.A.; Ali, F.; Ullah, A.; Fatima, N.; Dad, R.A. γ-Eigenvalues of Zero Divisor Graph of Integer Modulo and Von Neumann Regular Rings. Symmetry 2022, 14, 1710. [Google Scholar] [CrossRef]
- Kuppan, A.; Ravi Sankar, J. Prime Decomposition of Zero Divisor Graph in a Commutative Ring. Math. Probl. Eng. 2022, 2022, 2152513. [Google Scholar] [CrossRef]
- Elahi, K.; Ahmad, A.; Hasni, R. Construction Algorithm for Zero Divisor Graphs of Finite Commutative Rings and Their Vertex-Based Eccentric Topological Indices. Mathematics 2018, 6, 301. [Google Scholar] [CrossRef]
- Elahi, K.; Ahmad, A.; Asim, M.A.; Hasni, R. Computation of Edge-Based Topological Indices for Zero Divisor Graphs of Commutative Rings. Ital. J. Pure Appl. Math. 2022, 48, 523–534. [Google Scholar]
- Koam, A.N.; Ahmad, A.; Haider, A. On Eccentric Topological Indices Based on Edges of Zero Divisor Graphs. Symmetry 2019, 11, 907. [Google Scholar] [CrossRef]
- Rayer, C.J.; Jeyaraj, R.S. Applications on Topological Indices of Zero-Divisor Graph Associated with Commutative Rings. Symmetry 2023, 15, 335. [Google Scholar] [CrossRef]
- Rayer, C.J.; Sankar, J.R. Wiener Index and Graph Energy of Zero Divisor Graph for Commutative Rings. Asian-Eur. J. Math. 2023, 2023, 2350211. [Google Scholar] [CrossRef]
- Asir, T.; Rabikka, V.; Anto, A.M.; Shunmugapriya, N. Wiener Index of Graphs over Rings: A survey. AKCE Int. J. Graphs Comb. 2022, 19, 316–324. [Google Scholar] [CrossRef]
- Johnson, C.; Sankar, R. Graph Energy and Topological Descriptors of Zero Divisor Graph Associated with Commutative Ring. J. Appl. Math. Comput. 2023, 69, 2641–2656. [Google Scholar] [CrossRef]
- Mondal, S.; Imran, M.; De, N.; Pal, A. Topological Indices of Total Graph and Zero Divisor Graph of Commutative Ring: A Polynomial Approach. Complexity 2023, 2023, 6815657. [Google Scholar] [CrossRef]
- Chen, D.; Gao, K.; Nguyen, D.D.; Chen, X.; Jiang, Y.; Wei, G.W.; Pan, F. Algebraic Graph-Assisted Bidirectional Transformers for Molecular Property Prediction. Nat. Commun. 2021, 12, 3521. [Google Scholar] [CrossRef] [PubMed]
- Klisowski, M.; Ustimenko, V. On the Implementation of Public Keys Algorithms Based on Algebraic Graphs over Finite Commutative Rings. In Proceedings of the International Multiconference on Computer Science and Information Technology, IMCSIT 2010, Wisla, Poland, 18–20 October 2010; pp. 303–308. [Google Scholar]
- Berhe, M.; Wang, C. Computation of Certain Topological Coindicesof Graphene Sheet and C4C8(S) Nanotubes and Nanotorus. Appl. Math. Nonlinear Sci. 2019, 4, 455–468. [Google Scholar] [CrossRef]
- Verma, V.; Singh, K.; Kumar, D.; Narasimhan, B. QSAR Studies of Antimicrobial Activity of 1,3-disubstituted-1H-naphtho[1,2-e][1,3]oxazines Using Topological Descriptors. Arab. J. Chem. 2017, 10, S747–S756. [Google Scholar] [CrossRef]
- Gutman, I.; Tošovic, J. Testing the Quality of Molecular Structure Descriptors. Vertex-degree-based Topological Indices. J. Serb. Chem. Soc. 2013, 78, 805–810. [Google Scholar] [CrossRef]
- Malik, M.Y.H.; Binyamin, M.A.; Hayat, S. Correlation Ability of Degree-based Topological Indices for Physicochemical Properties of Polycyclic Aromatic Hydrocarbons with Applications. Polycycl. Aromat. Compd. 2022, 42, 6267–6281. [Google Scholar] [CrossRef]
- Hayat, S.; Khan, S.; Khan, A.; Liu, J.B. Valency-based Molecular Descriptors for Measuring the π-electronic Energy of Lower Polycyclic Aromatic Hydrocarbons. Polycycl. Aromat. 2022, 42, 1113–1129. [Google Scholar] [CrossRef]
- Hayat, S.; Asmat, F. Sharp Bounds on the Generalized Multiplicative First Zagreb Index of Graphs with Application to QSPR Modeling. Mathematics 2023, 11, 2245. [Google Scholar] [CrossRef]
- Arif, A.; Hayat, S.; Khan, A. On Irregularity Indices and Main Eigenvalues of Graphs and Their Applicability. J. Appl. Math. Comput. 2023, 69, 2549–2571. [Google Scholar] [CrossRef]
- Hayat, S.; Khan, S.; Imran, M.; Liu, J.B. Quality Testing of Distance-Based Molecular Descriptors for Benzenoid Hydrocarbons. J. Mol. Struct. 2020, 1222, 128927. [Google Scholar] [CrossRef]
- Hayat, S.; Khan, S.; Khan, A.; Imran, M. Distance-based Topological Descriptors for Measuring the π-electronic Energy of Benzenoid Hydrocarbons with Applications to Carbon Nanotubes. Math. Methods Appl. Sci. 2020. [Google Scholar] [CrossRef]
- Redžepovic, I.; Furtula, B. Predictive Potential of Eigenvalue-based Topological Molecular Descriptors. J. Comput.-Aided Mol. Des. 2020, 34, 975–982. [Google Scholar] [CrossRef] [PubMed]
- Hayat, S.; Khan, S. Quality Testing of Spectrum-based Valency Descriptors for Polycyclic Aromatic Hydrocarbons with Applications. J. Mol. Struct. 2021, 1228, 129789. [Google Scholar] [CrossRef]
- Hayat, S.; Khan, S.; Imran, M. Quality Testing of Spectrum-based Distance Descriptors for Polycyclic Aromatic Hydrocarbons with Applications to Carbon Nanotubes and Nanocones. Arab. J. Chem. 2021, 14, 102994. [Google Scholar] [CrossRef]
- Hayat, S.; Khan, S.; Khan, A.; Imran, M. A Computer-based Method to Determine Predictive Potential of Distance-spectral Descriptors for Measuring the π-electronic Energy of Benzenoid Hydrocarbons with Applications. IEEE Access 2021, 9, 19238–19253. [Google Scholar] [CrossRef]
- Malik, M.Y.H.; Hayat, S.; Khan, S.; Binyamin, A. Predictive Potential of Spectrum-based Topological Descriptors for Measuring the π-electronic Energy of Benzenoid Hydrocarbons with Applicationss to Boron Triangular and Boron α-nanotubes. Math. Methods Appl. Sci. 2021. [Google Scholar] [CrossRef]
- Cakmak, S.; Erdogan, T. Some bis(3-(4-nitrophenyl)acrylamide Derivatives: Synthesis, Characterization, DFT, Antioxidant, Antimicrobial Properties, Molecular Docking and Molecular Dynamics Simulation Studies. Indian J. Biochem. Biophys. 2023, 60, 209–223. [Google Scholar]
- Cakmak, S. Novel Diamide Derivatives: Synthesis, Characterization, Urease Inhibition, Antioxidant, Antibacterial, and Molecular Docking Studies. J. Mol. Struct. 2022, 1261, 132932. [Google Scholar] [CrossRef]
Disclaimer/Publisher’s Note: The statements, opinions and data contained in all publications are solely those of the individual author(s) and contributor(s) and not of MDPI and/or the editor(s). MDPI and/or the editor(s) disclaim responsibility for any injury to people or property resulting from any ideas, methods, instructions or products referred to in the content. |
© 2023 by the authors. Licensee MDPI, Basel, Switzerland. This article is an open access article distributed under the terms and conditions of the Creative Commons Attribution (CC BY) license (https://creativecommons.org/licenses/by/4.0/).
















