Abstract
General solutions are established for an initial boundary value problem by means of the integral transforms. They correspond to the isothermal MHD unidirectional motion of incompressible second-grade fluids between infinite horizontal parallel plates embedded in a porous medium. The fluid motion, which in some situations becomes symmetric with respect to the median plane, is generated by the two plates that apply time-dependent arbitrary shear stresses to the fluid. Closed-form expressions are established both for the fluid velocity and the corresponding non-trivial shear stress. Using an important remark regarding the governing equations of velocity and shear stress, exact general solutions are developed for similar motions of the same fluids when both plates move in their planes with arbitrary time-dependent velocities. The results that have been obtained here can generate exact solutions for any motion with the technical relevance of this type of incompressible second-grade fluids and their correctness being proved by comparing them with the numerical solution or with known results from the existing literature. Consequently, both motion problems of these fluids with shear stress or velocity on the boundary are completely solved.
MSC:
76A05
1. Introduction
One of the most popular models of incompressible non-Newtonian fluids is that of the second-grade fluids whose constitutive equation is given by the relation [1]:
where T is the Cauchy stress tensor, represents the indeterminate spherical stress that is due to the incompressibility constraint, and are the first two Rivlin–Ericksen tensors, is the dynamic viscosity of the fluid and are the material constants also called the normal stress moduli. In the existing literature, there are several mathematical studies regarding the existence, uniqueness and stability of solutions for motions of such fluids [2,3,4,5,6,7,8,9,10,11]. They showed that the Clausius–Duhem inequality and the assumption that the Helmholtz free energy be at a minimum in equilibrium implies the next restrictions on the material constants:
A discussion about these restrictions was provided by Dunn and Rajagopal [12].
During this time, many exact solutions corresponding to steady or unsteady motions of the incompressible second-grade fluids have been established by different authors. The first exact solutions for the unsteady motions of such fluids seem to be those of Ting [13], both in the rectangular and cylindrical domains. He showed that for , the solutions become unbounded. Interesting results for motions of the incompressible second-grade fluids in rectangular domains were obtained by Rajagopal [1], Bandelli et al. [14], Hayat et al. [15], Erdogan [16], Erdogan and Imrak [17,18], Nazar et al. [19], Baranovskii and Artemov [20,21]. In a recent study, Ganjikunta et al. [22] presents an unsteady MHD flow of same fluids through a porous medium in the presence of radiation absorption.
At the same time, hydromagnetic (MHD) motions of fluids through porous media have multiple applications in hydrology, petroleum industry, geophysical and astrophysical studies, MHD generators and many others. The interaction between the magnetic field and the electrical conducting fluids generates effects with applications in physics, chemistry and engineering. On the other hand, motions of fluids through porous media received special attention because of their multiple applications in petroleum industries, oil reservoir technology and geophysical and astrophysical studies. Important results on porosity can be found in the book of Vafai [23], and interesting solutions for such motions of incompressible second-grade fluids were obtained by Hayat et al. [24], Hussain et al. [25] and Fetecau and Vieru [26]. In the existing literature, there are few studies in which shear stress is given on boundaries, although in many situations the (shear) force applied to move them is known. Renardy [27] showed that boundary conditions on stresses of the inflow boundary have to be imposed to formulate a well-posed boundary-value problem.
The purpose of this work is to provide exact solutions for such motions of second-grade fluids. More precisely, we establish exact general solutions for isothermal MHD motions of incompressible second-grade fluids between infinite horizontal parallel plates embedded in a porous medium when both plates apply arbitrary time-dependent shear stresses to the fluid. These solutions allow us to provide exact solutions for any isothermal motions of this type of fluid in discussion. In addition, based on an important remark regarding the governing equations of the fluid velocity and the non-trivial shear stress in such motions, new general solutions are developed for motions of the same fluids when the two plates move in their planes with arbitrary time-dependent velocities. The results validation is realized by comparing with a numerical solution or with known solutions from the existing literature.
2. Governing Equations
Let us consider an electrical conducting incompressible second-grade fluid at rest between two infinite horizontal parallel plates embedded in a porous medium. An applied transverse magnetic field of strength B acts on the fluid. The induced magnetic fluid is negligible because of the small values of the magnetic Reynolds number. The fluid is finitely conducting so that Joule heating that is due to the external magnetic field can also be neglected. In addition, we assume that there exists no surplus electric charge distribution, and Hall effects can be neglected because of the moderate values of the Hartman number.
At the moment the two plates begin to apply arbitrary time-dependent shear stresses and , respectively, to the fluid. The two functions and are piecewise continuous, and . Due to the shear, the fluid is gradually moved. Since the plates are unbounded, we are looking for a velocity field of the form:
where i is the unit vector along the x-axis of a suitable Cartesian coordinate system x, y and z having the y-axis perpendicular to the plates. For such motions, the continuity equation is identically satisfied. Substituting from Equation (3) in (1), it results in the components and of the extra-stress tensor S being zero, while the non-trivial shear stress is given by the relation:
where d is the distance between plates.
The balance of linear momentum for the isothermal MHD motions of fluids through porous media is characterized by the following vector equation:
where is the fluid density, J is the electric current density, B is the magnetic field and R denotes the Darcy’s resistance, which for such fluids is given by the relation [24,26]:
where with is the porosity and represents the permeability of the porous medium. In addition, since no external electric field is applied and the effect of the polarization of the fluid is negligible, it results in [24]:
where is the electrical conductivity.
Based on the above assumptions and supposing that there exists no pressure gradient in the flow direction, the vector Equations (5) and (6) reduce to the following relevant partial differential equations:
The corresponding initial and boundary conditions are:
Introducing the following non-dimensional variables, functions and parameter:
and dropping out the star notation, Equations (4), (8) and (9) take the dimensionless forms:
where the Reynolds number Re and the magnetic and porous parameters M and K, respectively, are defined by the relations:
where is the kinematic viscosity and is a characteristic velocity.
Eliminating the shear stress between Equations (13) and (14), one obtains the following governing partial differential equation:
for the dimensionless velocity field . The corresponding initial and boundary conditions are:
3. Solution
Applying the Laplace transform to Equation (17) and bearing in mind the initial and boundary conditions (18) and (19), respectively, one obtains the following boundary value problem:
for the Laplace transform of the dimensionless velocity field . Here q is the transform parameter, while and are the Laplace transforms of the functions and , respectively. The function is given by:
where is called the effective permeability in the case of Newtonian fluids. The solution of the boundary value problem (20) is given by the next relation:
The inverse Laplace transform of the expression of from Equation (22) can be analytically determined, but the obtained result is too complicated to be used here. However, the numerical inversion of this expression will be later used to validate the correctness of the final form of the dimensionless velocity field .
In the following, we use the cosine Fourier transform of the function , namely:
whose inverse transform is given by the relation:
Consequently, applying the cosine Fourier transform to Equation (20) and using the relation:
one obtains for the following expression:
where and are given by the next relations:
To present in a suitable form the final expression of the dimensionless velocity field , we use the auxiliary function:
whose cosine Fourier transform is given by the relation:
Now, writing in a convenient form, namely:
and applying the inverse cosine Fourier transform, one obtains for the expression:
Finally, applying the inverse Laplace transform to Equation (31), it results in:
where the functions and are given by the next relations:
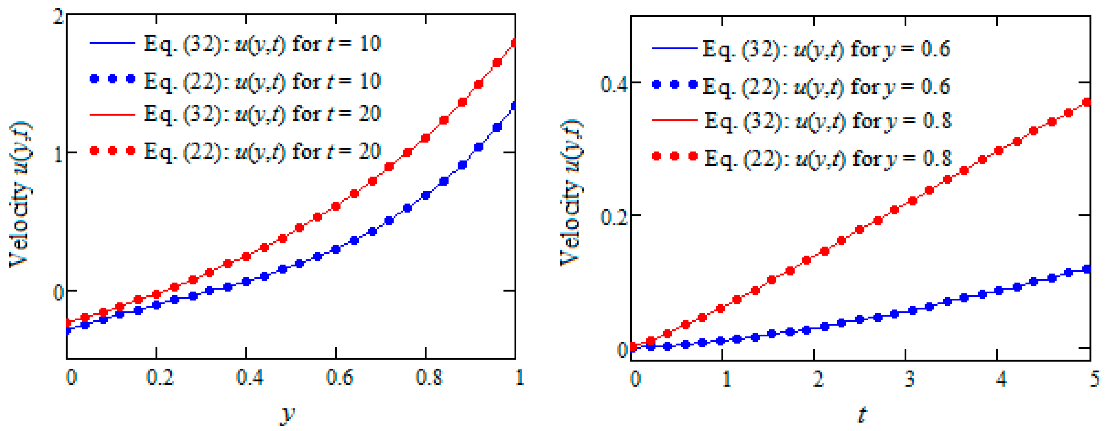
The velocity field given by Equation (32) clearly satisfies the initial condition (18). Direct computations show that the boundary conditions (19) are also satisfied. For its correctness validation, Figure 1 has been prepared when y varies between with fixed values of t and t varies between with fixed values of y, respectively, to show that the diagrams of the dimensionless velocity field corresponding to and are identical to those obtained by the numerical inversion of the Laplace transform given by Equation (22). Here is the Heaviside unit step function.
Figure 1.
Comparison between exact solution from Equation (32) and numerical solution obtained using Equation (22) when the two functions and are and , respectively, for .
The numerical inversion of the expression of from Equation (22) has been obtained using Stehfest’s algorithm [28]. According to this algorithm, the velocity field is approximated by the relation:
where is a positive integer number,
and denotes the integer part of .
As soon as the dimensionless fluid velocity is known, the corresponding shear stress and the Darcy’s resistance can be obtained using Equations (13) and (15), respectively. Lengthy but straightforward computations show that the dimensionless shear stress corresponding to this motion is given by the relation:
This last result will be later used to develop new exact dimensionless solutions for isothermal MHD unidirectional motions of same fluids between two infinite horizontal parallel plates embedded in a porous medium. The fluid motion will be generated by both plates that move in their planes with arbitrary time-dependent velocities and .
However, to do that, let us observe that by eliminating between Equations (13) and (14) one obtains for the dimensionless shear stress the governing equation:
which is identical as form with Equation (17). Consequently, bearing in mind dimensionless forms of the Equations (10) and (11), it results in given by Equation (37) being the solution of the partial differential Equation (38) with the initial and boundary conditions:
4. Application
Let us now consider the isothermal MHD non-steady motion of an incompressible second-grade fluid between the same infinite horizontal parallel plates embedded in a porous medium, which at the moment begin to move in their planes with arbitrary time-dependent velocities and . Here U is a constant velocity and and are the same functions as in the previous section. Owing to the shear, the fluid begins to move and its velocity field is of the same form (3). The non-trivial shear stress satisfies the same governing Equation (4), while the balance of linear momentum, in the same hypotheses as in the previous section, reduces to the partial differential Equation (8). The corresponding initial and boundary conditions are:
Introducing the next non-dimensional variables, functions and parameter:
and again neglecting star notation, the governing Equation (4) takes the dimensionless form:
in which the Reynolds number . The non-dimensional form of Equation (8) is:
where the new magnetic and porous parameters and , respectively, have the expressions:
Eliminating between Equations (44) and (45), one obtains for the dimensionless velocity field the same governing Equation (17) with M and K given by Equation (16). The corresponding initial and boundary conditions are given by the relations:
Consequently, the dimensionless velocity field corresponding to this new motion problem has to satisfy the governing Equation (17), whose form is identical to the governing Equation (38) of the shear stress . As the initial and boundary conditions (47) and (48) also have identical forms to those from (39) and (40), it results in:
The shear stress corresponding to this motion of the incompressible second-grade fluids can immediately be obtained introducing from Equation (49) in (44). In the next paragraph, for illustration, we consider two special cases of motions with engineering applications.
4.1. Symmetric Motions with Regard to the Median Plane
4.1.1. Both Plates Are Suddenly Set in Motion in Their Planes with the Same Constant Speed U
Taking in Equation (49), one obtains the dimensionless velocity field:
corresponding to the fluid motion between two infinite parallel plates suddenly set in motion in their planes with the same speed U. The adequate Newtonian solution, namely:
has been obtained putting in the previous relation. In the absence of magnetic and porous effects, this last relation takes the simple form:
Making a suitable change of the spatial variable and coming back to the dimensional form, Equation (52) becomes identical to the result obtained by Erdogan [29], Equation (12)].
4.1.2. Both Plates Are Suddenly Set in Motion in Their Planes with the Same Velocity or
Taking or in the same Equation (49), one obtains the dimensionless starting velocity fields and , respectively, corresponding to isothermal MHD unidirectional motions of incompressible second-grade fluids through a porous medium between two infinite horizontal parallel plates, which oscillate in their planes according to the relations:
where is the non-dimensional oscillations’ frequency. These solutions can be written as sums of their steady state (permanent or long-time) and transient components, namely:
In the last relations, the steady state and the transient solutions are given by the following relations:
Recently (see [26], Equation (58)), the steady state solutions of the same motion problem have been presented in the forms:
where the constant . The equivalence of the present solutions given by Equations (55) and (56) to those from Equations (59) and (60), respectively, is graphically proven by Figure 2.
Figure 2.
Profiles of velocities and given by Equations (55) and (59), respectively, (56) and (60) for and .
4.2. Case when the Upper Plate Is Stationary
If the function is identically zero, from Equation (49) one obtains the solution:
which represents the dimensionless velocity field corresponding to the isothermal MHD unidirectional motion of the incompressible second-grade fluids between infinite horizontal parallel plates embedded in a porous medium generated by the lower plate that at the moment is suddenly set in motion in its plane with the time-dependent velocity .
4.2.1. Modified Stokes’ First Problem
Taking in the last equation, one obtains the dimensionless velocity field:
corresponding to the MHD modified Stokes’ first problem [30] through a porous medium. The dimensionless velocity field corresponding to the same motion of incompressible Newtonian fluids, namely:
is obtained, making in the previous relation. In the absence of magnetic and porous effects, Equation (63) becomes:
It is worth pointing out that the dimensional form of this last solution is identical to the result obtained by Erdogan [29].
4.2.2. Modified Stokes’ Second Problem
Substituting the function by or in Equation (49), one obtains the dimensionless starting velocity fields and , respectively, corresponding to the MHD modified Stokes’ second problem [30] through a porous medium. These solutions can also be written as sums of their steady state and transient components (see Equation (54)). The expressions of these components are given by the following relations:
Direct computations show that the steady solutions and can also be written in the simpler forms:
The graphical representations from Figure 3 clearly show the equivalence of the expressions of from Equations (65) and (66) to those from (69) and (70).
Figure 3.
Profiles of velocities and given by Equations (65) and (69), respectively, (66) and (70) for and .
5. Conclusions
The motion problems of fluids with shear stress on the boundary are equally important as those in which velocity is given on the boundary. In practice, there are many situations in which the force applied to a surface to move it is known. Renardy [27] showed that boundary conditions on stresses at the inflow boundary have to be imposed to formulate a well-posed boundary value problem. In this work, we provided the first exact general solutions for isothermal hydromagnetic motions of the incompressible second-grade fluids between infinite horizontal parallel plates embedded in a porous medium.
The obtained results can generate exact solutions for any motion of this type with engineering applications of the considered fluids. Consequently, the problem under discussion is completely solved.
In addition, applying an important remark concerning the governing equations of velocity and the corresponding non-trivial shear stress for such motions of incompressible second-grade fluids, exact general dimensionless solutions are developed for motions of same fluids generated by both plates that at the moment begin to move in their planes with arbitrary time-dependent velocities. All solutions that have been presented here are new in the literature and their correctness has been investigated by graphical representations or by comparing with known solutions from the existing literature. In all cases, the similar solutions corresponding to the incompressible Newtonian fluids performing the same motions are immediately obtained making in the obtained results.
The main results that have been obtained in this study are:
(i) First exact general solutions for isothermal MHD motions of incompressible second-grade fluids between infinite parallel plates embedded in a porous medium were obtained when both plates apply arbitrary time-dependent shear stresses to the fluid.
(ii) Obtained results have been used to develop exact general solutions for similar motions of the same fluids when the two plates move in their planes with arbitrary time-dependent velocities. Consequently, both motion problems are completely solved.
(iii) The correctness of obtained results was graphically proven for a special case comparing with the corresponding numerical solution or recovering some known results from the existing literature as particular cases of the general solutions.
(iv) General solutions corresponding to the incompressible Newtonian fluids performing the same motions are immediately obtained making in the general results. They are also new, and some known results have been recovered as limiting cases.
Author Contributions
Conceptualization, C.F. and D.V.; methodology, D.V. and C.F.; software, D.V.; validation, C.F. and D.V.; writing—review and editing, C.F. and D.V. All authors have read and agreed to the published version of the manuscript.
Funding
This research received no external funding.
Data Availability Statement
Not applicable.
Conflicts of Interest
The authors declare no conflict of interest.
Nomenclature
| Cauchy stress tensor | |
| First two Rivlin–Ericksen tensors | |
| L | Velocity gradient |
| I | Identity tensor |
| p | Hydrostatic pressure |
| Velocity vector | |
| Darcy’s resistance | |
| Fluid velocity | |
| M | Magnetic parameter |
| K | Porous parameter |
| Permeability of porous medium | |
| B | Magnitude of the applied magnetic field |
| Effective permeability | |
| Greek symbols | |
| Kinematic viscosity | |
| Dynamic viscosity | |
| Fluid density | |
| Porosity | |
| Electrical conductivity | |
| Frequency of oscillations | |
| Shear stress | |
| Material constants | |
References
- Rajagopal, K.R. A note on unsteady unidirectional flows of a non-Newtonian fluid. Int. J. Non-Linear Mech. 1982, 17, 369–373. [Google Scholar] [CrossRef]
- Dunn, J.E.; Fosdick, R.L. Thermodynamics, stability and boundedness of fluids of complexity 2 and fluids of second grade. Arch. Ration. Mech. Anal. 1974, 56, 191–252. [Google Scholar] [CrossRef]
- Fosdick, R.L.; Rajagopal, K.R. Uniqueness and drag for fluids of second grade in steady motion. Int. J. Non-Linear Mech. 1978, 13, 131–137. [Google Scholar] [CrossRef]
- Cioranescu, D.; Ouazar, E.H. Existence and uniqueness for fluids of second grade. In Nonlinear Partial Differential Equations and Their Applications; Collège de France Seminar: Paris, France, 1982/1983; Pitman: Boston, MA, USA, 1984; Volume 4, pp. 178–197. [Google Scholar]
- Galdi, G.P.; Padula, M.; Rajagopal, K.R. On the stability of the rest state of a fluid of second grade in unbounded domains. Arch. Ration. Mech. Anal. 1990, 109, 173–181. [Google Scholar] [CrossRef]
- Galdi, G.P.; Grobbelaar-Van Dalsen, M.; Sauer, N. Existence and uniqueness of classical solutions of the equations of motion of second grade fluid. Arch. Ration. Mech. Anal. 1993, 120, 221–237. [Google Scholar] [CrossRef]
- Galdi, G.P.; Sequeira, A. Further existence results for classical solutions of the equations of second grade fluid. Arch. Ration. Mech. Anal. 1994, 128, 297–312. [Google Scholar] [CrossRef]
- Cioranescu, D.; Girault, V. Weak and classical solutions of a family of second grade fluids. Int. J. Non-Linear Mech. 1997, 32, 317–335. [Google Scholar] [CrossRef]
- Baranovskii, E.S. Existence results for regularized equations of second-grade fluids with wall slip. Electron. J. Qual. Theory Differ. Equ. 2015, 2015, 91. [Google Scholar] [CrossRef]
- Baranovskii, E.S. Week solvability of equations modeling steady-state flows of second-grade fluids. Differ. Equ. 2020, 56, 1318–1323. [Google Scholar] [CrossRef]
- Almeida, A.; Chemetov, N.V.; Cipriano, F. Uniqueness for optimal control problems of two-dimensional second grade fluids. Electron. J. Differ. Equ. 2022, 22, 1–12. [Google Scholar]
- Dunn, J.E.; Rajagopal, K.R. Fluids of differential type: Critical review and thermodynamic analysis. Int. J. Eng. Sci. 1995, 33, 689–729. [Google Scholar] [CrossRef]
- Ting, T.W. Certain unsteady flows of second grade fluids. Arch. Ration. Mech. Anal. 1963, 14, 1–26. [Google Scholar] [CrossRef]
- Bandelli, R.; Rajagopal, K.R.; Galdi, G.P. On some unsteady motions of fluids of second grade. Arch. Mech. 1995, 47, 661–676. [Google Scholar]
- Hayat, T.; Asghar, S.; Siddiqui, A.M. Some unsteady unidirectional flows of non-Newtonian fluid. Int. J. Eng. Sci. 2000, 38, 337–346. [Google Scholar] [CrossRef]
- Erdogan, M.E. On unsteady motions of a second-order fluid over a plane wall. Int. J. Non-Linear Mech. 2003, 38, 1045–1051. [Google Scholar] [CrossRef]
- Erdogan, M.E.; Imrak, C.E. Effects of the side walls on the unsteady flow of a second-grade fluid in a duct of uniform cross-section. Int. J. Non-Linear Mech. 2004, 39, 1379–1384. [Google Scholar] [CrossRef]
- Erdogan, M.E.; Imrak, C.E. Effects of the side walls on unsteady flow of a second grade fluid over a plane wall. Int. J. Non-Linear Mech. 2008, 43, 779–782. [Google Scholar] [CrossRef]
- Nazar, M.; Fetecau Corina; Vieru, D.; Fetecau, C. New exact solutions corresponding to the second problem of Stokes for second grade fluids. Nonlinear Anal. Real World Appl. 2010, 11, 584–591. [Google Scholar] [CrossRef]
- Baranovskii, E.S.; Artemov, M.A. Steady flows of second-grade fluids in a channel. Vestn. S.-Peterb. Univ. Prikl. Mat. Inf. Protsessy Upr. 2017, 13, 342–353. (In Russian) [Google Scholar] [CrossRef]
- Baranovskii, E.S.; Artemov, M.A. Steady flows of second grade fluids subject to stick-slip boundary conditions. In Proceedings of the 23rd International Conference Engineering Mechanics, Svratka, Czech Republic, 15–18 May 2017; pp. 110–113. [Google Scholar]
- Ganjikunta, A.; Kommaddi, H.B.; Bhajanthri, V.; Kodi, R. An unsteady MHD flow of a second-grade fluid passing through a porous medium in the presence of radiation absorption exhibits Hall and ion slip effects. Heat Transfer 2023, 52, 780–806. [Google Scholar] [CrossRef]
- Vafai, K. Handbook of Porous Media, 3rd ed.; CRC Press: Boca Raton, FL, USA; Taylor & Francis Group, Publisher: London, UK, 2015. [Google Scholar]
- Hayat, T.; Khan, I.; Ellahi, R.; Fetecau, C. Some MHD flows of a second grade fluid through the porous medium. J. Porous Media 2008, 11, 389–400. [Google Scholar] [CrossRef]
- Hussain, M.; Hayat, T.; Asghar, S.; Fetecau, C. Oscillatory flows of second grade fluid in a porous space. Nonlinear Anal. Real World Appl. 2010, 11, 2403–2414. [Google Scholar] [CrossRef]
- Fetecau, C.; Vieru, D. On an important remark concerning some MHD motions of second grade fluids through porous media and its applications. Symmetry 2022, 14, 1921. [Google Scholar] [CrossRef]
- Renardy, M. Inflow boundary condition for steady flow of viscoelastic fluids with differential constitutive laws. Rocky Mt. J. Math. 1988, 18, 445–453. [Google Scholar] [CrossRef]
- Kuznetsov, A. On the convergence of the Gaver-Stehfest algorithm. SIAM J. Numer. Anal. 2013, 51, 2984–2998. [Google Scholar] [CrossRef]
- Erdogan, M.E. On the unsteady unidirectional flows generated by impulsive motion of a boundary or sudden application of a pressure gradient. Int. J. Non-Linear Mech. 2002, 37, 1091–1106. [Google Scholar] [CrossRef]
- Rajagopal, K.R.; Saccomandi, G.; Vergori, L. Unsteady flows of fluids with pressure dependent viscosity. J. Math. Anal. Appl. 2013, 404, 362–372. [Google Scholar] [CrossRef]
Disclaimer/Publisher’s Note: The statements, opinions and data contained in all publications are solely those of the individual author(s) and contributor(s) and not of MDPI and/or the editor(s). MDPI and/or the editor(s) disclaim responsibility for any injury to people or property resulting from any ideas, methods, instructions or products referred to in the content. |
© 2023 by the authors. Licensee MDPI, Basel, Switzerland. This article is an open access article distributed under the terms and conditions of the Creative Commons Attribution (CC BY) license (https://creativecommons.org/licenses/by/4.0/).


