An HRA Model Based on the Cognitive Stages for a Human-Computer Interface in a Spacecraft Cabin
Abstract
1. Introduction
2. Related Research
3. An HRA Model with Symmetry of Failure and Success Based on Cognitive Stages for a Human-Computer Interface in a Spacecraft Cabin
3.1. A Division of Cognitive Stages
3.2. Research on Influencing Factors System of Cognitive Phases
3.2.1. Initial Influencing Factors
3.2.2. Constructing Influencing Factors System of Cognition Stages
3.2.3. Influencing Factors System of Each Cognitive Stage
3.3. A Quantitative HRA Computational Model with Symmetry of Failure and Success Based on Cognitive Processes
3.3.1. A Frame for HRA for a Task with Symmetry of Failure and Success
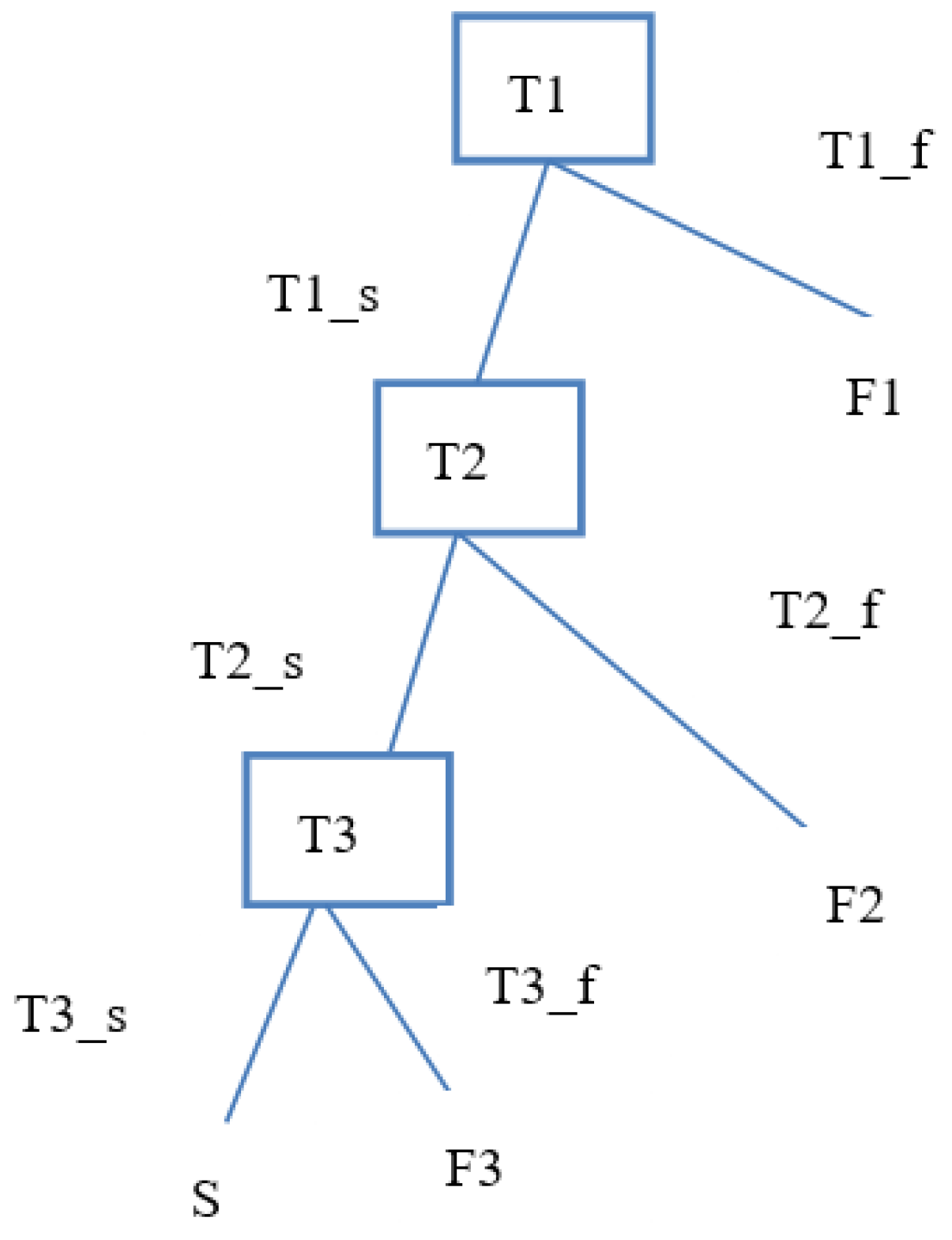
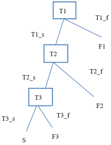
3.3.2. Cognitive Stages Behavior Tree with Symmetry of Failure and Success for Each Subtask
- a1: Successfully obtains information;
- A1: fails to obtain information;
- a2: Successfully corrects the error of information acquisition;
- A2: fails to correct the error of information acquisition;
- b1: Successfully completes status response;
- B1: fails to complete status response;
- b2: Successfully corrects the error of status response;
- B2: fails to correct the error of status response;
- c1: Successfully completes operation;
- C1: fails to complete operation;
- c2: Successfully corrects wrong operation;
- C2: fails to correct wrong operation.
3.3.3. A Quantitative HRA Method Based on Fuzzy Center of Gravity and Game Theories
4. Results and Discussion
4.1. Influencing Factors
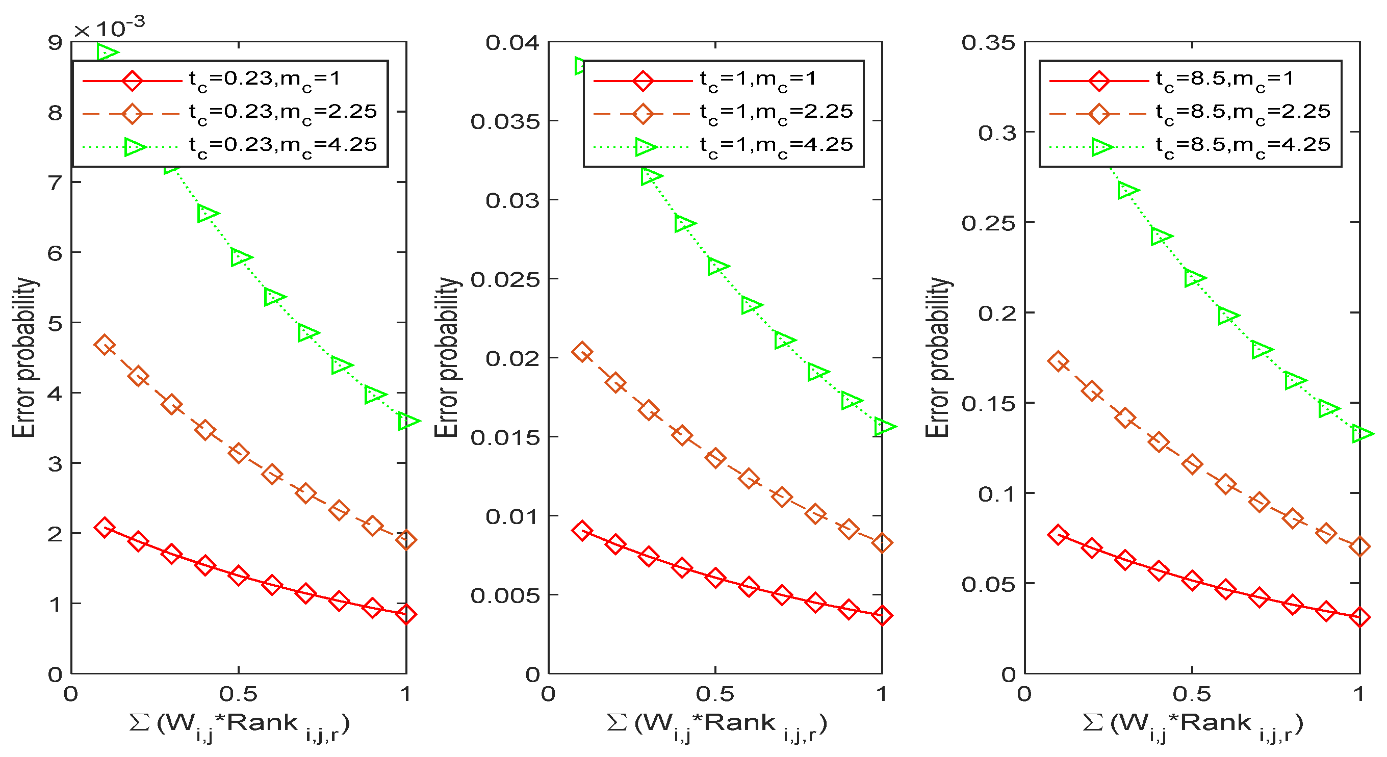
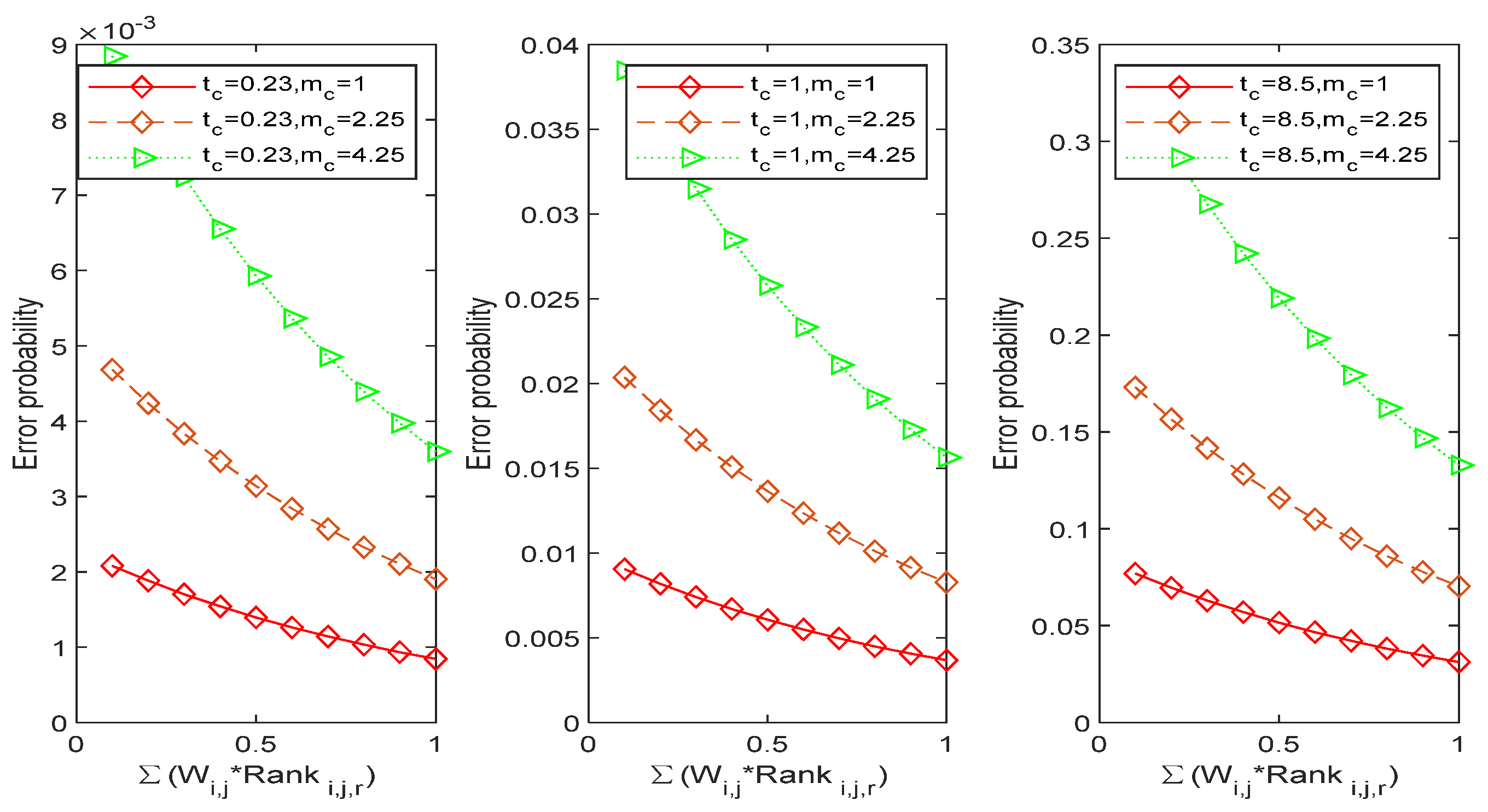
4.2. The Adjustment Factors including tc and mc
4.3. Weights of Influencing Factors
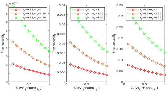
4.4. Performance Analysis of HRA Method
5. Example of Application
5.1. Decomposing the Task and Determining Astronaut’s’ Cognitive Stages
5.2. Determining the Values of Parameter
5.3. Modeling and Calculation
5.3.1. The error probability for T1
5.3.2. The error probability of subtask T2
5.3.3. The error probability of subtask T3
6. Conclusions
Author Contributions
Funding
Institutional Review Board Statement
Informed Consent Statement
Data Availability Statement
Acknowledgments
Conflicts of Interest
References
- He, X.; Huang, X. Human Reliability Analysis: Theory, Methods and Applications in Industrial System; QingHua University Press: Beijing, China, 2007. (In Chinese) [Google Scholar]
- Stanton, N.A. Human Factors in Nuclear Safety; Taylor & Francis Ltd.: Abingdon, UK, 1996. [Google Scholar]
- He, H. Study on Human Error Evaluation Modelsfor Civil Aviation Pilots; Safety Technology and Engineering; China University of Mining and Technology: Beijing, China, 2017. (In Chinese) [Google Scholar]
- Ha, J.S.; Seong, P.H. Attentional-resource effectiveness measure in monitoring and detection tasks in nuclear power plants. IEEE Trans. Syst. Man Cybern.—Part A Syst. Hum. 2010, 40, 993–1008. [Google Scholar] [CrossRef]
- Kontogiannis, T. A framework for the analysis of cognitive reliability in complex systems: A recovery centred approach. Reliab. Eng. Syst. Saf. 1997, 58, 233–247. [Google Scholar] [CrossRef]
- Zhoum, Q.-x.; Jiang, G.-h. Research on Ergonomic Assessment of Human-Machine Interface Design in Manned Spacecraft Cockpit Based on Fuzzy Factors. Fuzzy Syst. Math. 2002, 16, 99–103. (In Chinese) [Google Scholar]
- Li, Y. Design and Implementation of Auxiliary Visualization System for Astronaut Control of Serving Aircraft; School of Software Engineering, Nanchang Hangkong University: Nanchang, China, 2018. (In Chinese) [Google Scholar]
- Dong, D.-y.; Yuan, X.-g.; Wang, L.-j.; Li, Y.-x.; Zhang, L.-b. Simulation of Flight-task Based Cockpit Display Human Machine Interface. J. Syst. Simul. 2007, 19, 678–680. (In Chinese) [Google Scholar]
- Ye, K.; Bao, H.; Wei, S. Layout Optimization for Aircraft Cockpit Man-Machine Interface Based on Visual Attention Distibution. J. Nanjing Univ. Aeronaut. Astronaut. 2018, 50, 416–422. (In Chinese) [Google Scholar]
- Hu, T.; Xu, C.; Wei, C.; Zhang, L.; Li, T.; Wang, G. System design method of human-machine interface for manned spacecraft based on systems engineering. Spacecr. Environ. Eng. 2017, 34, 76–80. (In Chinese) [Google Scholar]
- Deng, L. Research on Layout Design and Evaluation Optimization of Human-Machine Interface for Cabin; Northwestern Polytechnical University: Xi’an, China, 2016. (In Chinese) [Google Scholar]
- Fu, J. Research on Task Oriented Information Display Mechanism of Modern Cockpit Human Machine Interface; University of Aeronautics and Astronautics: Nanjing, China, 2017. (In Chinese) [Google Scholar]
- Wang, J. Research and Design on Human-Machine Interface of Light Sport Aircraft’s Cockpit; College of Aerospace Engineering, Nanjing Unversity of Aeronautics and Astronautics: Nanjing, China, 2010. (In Chinese) [Google Scholar]
- Embrey, D.E.; Humphreys, P.; Rosa, E.A.; Kirwan, B.; Rea, K. SLIM-MAUD: An Approach to Assessing Human Error Probabilities Using Structured Expert Judgment; NUREG/CR-3518; US Nuclear Regulatory Commission: Washington, DC, USA, 1984.
- Hall, R.E.; Fragola, J.; Wreathall, J. Post-Event Human Decision Errors: Operator Action Tree/Time Reliability Correlation; NUREG/CR-3010; OSTI: Washington, DC, USA, 1982. [Google Scholar]
- Seaver, D.A.; Stillwell, W.G. Procedures for Using Expert Judgement to Estimate Human Error Probabilities in Nuclear Power Plant Operations; NUREG/CR-2743; US Nuclear Regulatory Commission: Washington, DC, USA, 1983.
- Barriere, M. Technical Basis and Implementation Guidelines for a Technique for Human Event Analysis (ATHEANA) (NUREG-1624, Revision 1); US Nuclear Regulatory Commission: Washington, DC, USA, 2000.
- Hollnagel, E. Cognitive Reliability and Error Analysis Method (CREAM); Elsevier Science Ltd.: Amsterdam, The Netherlands, 1998. [Google Scholar]
- Bieder, C.; Le-Bot, P.; Desmares, E.; Bonnet, J.; Cara, F. Mermos: EDF’s New Advanced HRA Method. In Proceedings of the International 4th Conference on Probabilistic Safety Assessment and Management, New York, NY, USA, 13–18 September 1998; pp. 129–134. [Google Scholar]
- Li, P.; Cheng, G.; Zhang, L.; Dai, L. Research Review and Development Trends of Human Reliability Analysis Techniques. At. Energy Sci. Technol. 2011, 45, 329–341. (In Chinese) [Google Scholar]
- Khrennikov, A. Quantum-like model of cognitive decision making and information processing. Biosystems 2009, 95, 179–187. [Google Scholar] [CrossRef]
- Lee, H.-C.; Seong, P.-H. A computational model for evaluating the effects of attention, memory, and mental models on situation assessment of nuclear power plant operators. Reliab. Eng. Syst. Saf. 2009, 94, 1796–1805. [Google Scholar] [CrossRef]
- Lin, Q.-L.; Wang, D.-J.; Lin, W.-G.; Liu, H.-C. Human reliability assessment for medical devices based on failure mode and effects analysis and fuzzy linguistic theory. Saf. Sci. 2014, 62, 248–256. [Google Scholar] [CrossRef]
- Jang, I.; Kim, A.R.; Jung, W.; Seong, P.H. Study on a new framework of Human Reliability Analysis to evaluate soft control execution error in advanced MCRs of NPPs. Ann. Nucl. Energy 2016, 91, 92–104. [Google Scholar] [CrossRef]
- Islam, R.; Abbassi, R.; Garaniya, V.; Khan, F. Development of a human reliability assessment technique for the maintenance procedures of marine and offshore operations. J. Loss Prev. Process Ind. 2017, 50, 416–428. [Google Scholar] [CrossRef]
- Zhang, R.; Tan, H. An integrated human reliability based decision pool generating and decision making method for power supply system in LNG terminal. Saf. Sci. 2018, 101, 86–97. [Google Scholar] [CrossRef]
- Wickens, C.D. Situation awareness and workload in aviation. Curr. Dir. Psychol. Sci. 2002, 11, 128–133. [Google Scholar] [CrossRef]
- Iani, C.; Wickens, C.D. Factors affecting task management in aviation. Hum. Factors J. Hum. Factors Ergon. Soc. 2007, 49, 16–24. [Google Scholar] [CrossRef]
- Hanaman, G.W.; Spurgin, A.J.; Lukic, Y. Human Cognitive Reliability Model for PRA Analysis (NUS24531); Draft EPRI Report; Electric Power Research Institute: Washington, DC, USA, 1984. [Google Scholar]
- Swain, A.D.; Guttmann, H.E. Handbook of Human of Human Reliability Analysis with Emphasis on Nuclear Power Plant Application; NUREG/CR-1278; U.S. Nuclear Regulatory Commission: Washington, DC, USA, 1983.
- Chang, Y.H.J.; Mosleh, A. Cognitive modeling and dynamic probabilistic simulation of operating crew response to complex system accidents—Part 4: IDAC causal model of operator problem-solving response. Reliab. Eng. Syst. Saf. 2007, 92, 1061–1075. [Google Scholar] [CrossRef]
- Jiang, Y.-j.; Li, L.; Sun, Z.-q.; Gong, E.-l.; Xie, H.-w. Review of Performance Shaping Factor Analysis Methods. China Saf. Sci. J. 2011, 21, 66–72. (In Chinese) [Google Scholar]
- Zhao, J.; Tong, J.-j.; Liu, T.; Yu, Y. Integrating team factor into current human reliability analysis of nuclear power plant. At. Energy Sci. Technol. 2011, 45, 966–971. (In Chinese) [Google Scholar]
- Gertman, D.; Blackman, H.; Marble, J.; Byers, J.; Smith, C. The SPAR-H Human Reliability Analysis Method; 20555-0001, NUREG/CR-6883; U.S. Nuclear Regulatory Commission, Office of Nuclear Regulatory Research: Washington, DC, USA, 2005.
- Ding, Y. An Advanced Discussion for AP1000 Nuclear Power Plant Main Control Room. In Proceedings of the 2007 Annual Conference of Chinese Nuclear Society, Wuhan, China, 8 September 2007. (In Chinese). [Google Scholar]
- Mao, W. Design and Study on Fault Diagnosis Expert System for Reactor Coolant System; School of Nuclear Science and Technique, Harbin Engineering University: Harbin, China, 2014. (In Chinese) [Google Scholar]
- Xi, Y.; Hu, S. Model of Performance Shaping Factors in Marine Human Reliability Reliability Analysis. Mavigation China 2012, 35, 66–70. (In Chinese) [Google Scholar]
- Chen, H.-l.; He, R.-k. Robot Voice Interaction Cognitive Load Evaluation Based on AHP and Physiological Signal. Packag. Eng. 2020, 41, 145–150. (In Chinese) [Google Scholar]
- Xue, Y.-f.; Li, Z.-w. Research on Online Learning Cognitive Load Quantitative Model based on Eye Tracking Technology. Mod. Educ. Technol. 2019, 29, 59–65. (In Chinese) [Google Scholar]
- Yin, P.; Huang, B.; Liu, Z. Analysis of Noise Characteristics in Helicopter Cabin. Helicopter Tech. 2019, 202, 28–31. (In Chinese) [Google Scholar]
- Chang, Y.H.J.; Mosleh, A. Cognitive modeling and dynamic probabilistic simulation of operating crew response to complex system accidents—Part 2: IDAC performance influencing factors model. Reliab. Eng. Syst. Saf. 2007, 92, 1014–1040. [Google Scholar] [CrossRef]
- Santoso, S. Factors Influencing Human Reliability of High Temperature Gas Cooled Reactor Operation. TRI DASA MEGA—J. Teknol. Reakt. Nukl. 2016, 18, 135–144. [Google Scholar] [CrossRef][Green Version]
- Dai, L.-c.; Zhang, L.; Huang, S.-d. Post-accident Human Reliability Analysis and Improvement of Operators’ Performance in a NPP. Chin. J. Ergon. 2007, 13, 31–34. (In Chinese) [Google Scholar]
- Yan, Y.; Liu, W.; Xiong, X. A Influence of DCS on Human Error for Operator. Sci. Technol. 2015, 25, 103. (In Chinese) [Google Scholar]
- Gao, J.; He, X.; Huang, R.; Shen, Z. Error Mechanism Initial analysis of operator crew. In Proceedings of the 6th National Conference on Man-Machine-Environmental System Engineering, Xiamen, China, 1 October 2003. (In Chinese). [Google Scholar]
- Chang, Y.H.J.; Mosleh, A. Cognitive modeling and dynamic probabilistic simulation of operating crew response to complex system accidents—Part 1: Overview of the IDAC Model. Reliab. Eng. Syst. Saf. 2007, 92, 997–1013. [Google Scholar] [CrossRef]
- Blischke, W.R.; Murthy, D.N.P. Reliabilitiy: Modeling, Prediction and Optimization; Wiley Series in Probability and Statistics; Wiley: New York, NY, USA, 2000. [Google Scholar]
- Fang, X.; He, X.-h.; Zhao, B.-q. Research on Cognitive Model of Nuclear Power Plant Operator. At. Energy Sci. Technol. 2006, 40, 570–573. (In Chinese) [Google Scholar]
- Dragan, I.-M.; Isaic-Maniu, A. The reliability of the human factor. Procedia Econ. Financ. 2014, 15, 1486–1494. [Google Scholar] [CrossRef]
- Di Pasquale, V.; Miranda, S.; Iannone, R.; Riemma, S. A Simulator for Human Error Probability Analysis (SHERPA). Reliab. Eng. Syst. Saf. 2015, 139, 17–32. [Google Scholar] [CrossRef]
- Fruggiero, F.; Fera, M.; Lambiase, A.; Maresca, P.; Caja, J. The role of human fatigue in the uncertainty of measurement. Procedia Manuf. 2017, 13, 1320–1327. [Google Scholar] [CrossRef]
- Jiang, J.; Wang, Y.; Zhang, L.; Wu, D.; Li, M.; Xie, T.; Li, P.; Dai, L.; Li, P.; Shi, X.; et al. A Cognitive Reliability Model Research for Complex Digital Human-Computer interface of Industrial System. Saf. Sci. 2018, 108, 196–202. [Google Scholar] [CrossRef]
- Musharraf, M.; Hassan, J.; Khan, F.; Veitch, B.; MacKinnon, S.; Imtiaz, S. Human reliability assessment during offshore emergency conditions. Saf. Sci. 2013, 59, 19–27. [Google Scholar] [CrossRef]
- Jiang, J.; Zhang, L.; Wang, Y.; Zhang, K.; Peng, Y.; Zhou, C. Research on Cognitive Reliability Model for Main Control Room Considering Human Factors in Nuclear Power Plants. Nucl. Power Eng. 2012, 33, 66–73. (In Chinese) [Google Scholar]
- Hannaman, G.W.; Spurgin, A.J.; Lukic, Y.D. A model for assessing human cognitive reliability in PRA studies. In Proceedings of the IEEE Third Conference on Human Factors and Nuclear Safety, Monterey, CA, USA, 23–27 June 1985. [Google Scholar]
- Hwang, S.-L.; Liang, G.-F.; Lin, J.-T.; Yau, Y.-J.; Yenn, T.-C.; Hsu, C.-C.; Chuang, C.-F. A real-time warning model for teamwork performance and system safety in nuclear power plants. Saf. Sci. 2009, 47, 425–435. [Google Scholar] [CrossRef]
- Westermann, S.J.; Davies, D.R.; Glendon, A.I.; Stammers, R.B.; Matthews, G. Age and cognitive ability as predictors of computerized information retrieval. Behav. Inf. 1995, 14, 313–326. [Google Scholar] [CrossRef]
- Zhang, L. Human Reliability of Digitalized Nuclear Power Plants; National Defense Industry Press of China: Beijing, China, 2019. (In Chinese) [Google Scholar]
- Yu, K. Research on Man-machine Interface Integrated Evaluation for Large-Scale Ship Wheelhouse. Ph.D. Thesis, Harbin Engineering University, Harbin, China, 2012. (In Chinese). [Google Scholar]
- Zhang, B.; Xu, S.; Sun, Y. The Application of Fuzzy Comprehensive Evaluation Method Based on AHP in Evaluation of Property Service Quality. J. Huaiyin Inst. Technol. 2021, 30, 94–100. (In Chinese) [Google Scholar]
- Wang, J.; Jin, C.; Gong, L.; Zhang, X. Risk assessment of railway tunnel collapse based on variable fuzzy set theory. J. Railw. Sci. Eng. 2021, 18, 1364–1372. (In Chinese) [Google Scholar]
- Liu, P.; Qiu, Y.; Hu, J.; Tong, J.; Zhao, J.; Li, Z. Expert Judgments for Performance Shaping Factors Multiplier Design in Human Reliability Analysis. Reliab. Eng. Syst. Saf. 2020, 194, 106343. [Google Scholar] [CrossRef]
- Wiedenbeck, S. The use of icons and labels in an end-user application program: An empirical study of learning and retention. Behav. Inf. Technol. 1999, 18, 68–82. [Google Scholar] [CrossRef]
- Kontogiannis, T.; Moustakis, V. An experimental evaluation of comprehensibility aspects of knowledge structures derived through induction technique: A case study of industrial false diagnosis. Behav. Inf. Technol. 2002, 21, 117–135. [Google Scholar] [CrossRef]
- Fischer, S.; Doherty, U. Adaptively shortened pull-down menus: Location knowledge and selection efficiency. Behav. Inf. Technol. 2008, 27, 439–444. [Google Scholar] [CrossRef]
- Wang, C. The Design and Development of Astronaut Modeling and Simulation System. Ph.D. Thesis, Tianjin Unversity, Tianjin, China, 2017. (In Chinese). [Google Scholar]









| Divisions of Cognitive Stages in Human-Computer Interface Interaction Process of Astronauts | Number of People Who Agreed to Each Cognitive Stage |
|---|---|
| (1) No. 1: Information acquisition, execution | 2 |
| (2) No. 2: Information acquisition, status response (assessment + making-decision), execution | 22 |
| (3) No. 3: Information acquisition, informational analysis, decision-making and planning, execution phase | 7 |
| Cognitive Stages | Influencing Factors | Description of Influencing Factors |
|---|---|---|
| Information acquisition | Human-computer Interface [18,32,33,34] | For example, Human-computer Interface interactivity (input and output mode) and availability, layout rationality, the salience of key information. |
| Task factors [17,30,32,34] | For example, complexity, completeness, accuracy, and operability of a task. | |
| Alarm system [35,36] | For example, alarm clarity, alarm accuracy, etc. | |
| Display system [32,37] | For example, clarity of display system, color and shape of displayer, display mode, layout, rationality and accuracy of parameters or amount of information, accuracy, simplicity, and legibility of information, etc. | |
| System automation level [32] | Generally, if control equipment has a high automation level, an operator only needs to perform a few simple actions to complete the scheduled task, and their workload is relatively low. If control equipment is at a low level of automation, an operator often needs to perform many actions. | |
| Procedural factors [17,18,30,32,34] | Structure rationality of regulations, branch rationality of regulations, complexity of regulations, and availability of operating procedures. | |
| Cognitive load [38,39] | Cognitive load is a multi-dimensional load structure imposed on operators’ cognitive system when operators process specific tasks. This structure is composed of reason dimension reflecting the interaction between task and operators’ characteristics and evaluation dimension reflecting measurable concepts such as mental load, mental effort, and performance. | |
| Physiological factors [30] | For example, fatigue, pain or discomfort, excessive acceleration of gravity, excessive atmospheric pressure, and the adaptability of operators under related conditions such as insufficient oxygen. | |
| Environmental factors [18,30,32,40] | For example: weight loss, noise, temperature, illumination. | |
| Time pressure [17,18,32,34,41] | Generally, insufficient available time of a task not only leaves limited time for operators to collect data, make judgments and output behaviors, but also easily causes operators to become nervous; then, human errors occur. | |
| Mental stress [32,42,43,44,45] | Excessive psychological pressure will cause operators’ tension. Psychological pressure is an important factor affecting human behavior and reliability. | |
| Status response | Task factors [17,30,32,34] | For example, complexity, completeness, accuracy, and operability of a task. |
| Experience [17,18,30,32,33,34] | Experience level represents an operator’s understanding and familiarity degree for hardware and software equipment, the use of procedures, task operation steps, etc., as well as the experience in handling exceptions and emergencies. | |
| Problem solving way [41] | Different operators may have different solutions to the same problem, and selected solution strategies are also different. The results of conservative methods and extensive treatments may be different. | |
| Alarm system [35,39] | For example, alarm clarity, accuracy, etc. | |
| Decision-making capacity [41] | For operators, the level of decision-making involves judgment level and handling decisions of accidental events under uncertain conditions. Such events have no precedents and no laws to follow, and making a choice entails certain risks. | |
| System automation level [32] | Generally, if control equipment has a high automation level, an operator only needs to perform a few simple actions to complete the scheduled task, and so their workload is relatively low. If control equipment is at a low level of automation, an operator often needs to perform many actions. | |
| Display system [32,37] | For example, clarity of display system, color and shape of displayer, display mode, layout, rationality and accuracy of parameters or amount of information, accuracy, simplicity, and legibility of information, etc. | |
| Physiological factors [30] | For example, fatigue, pain or discomfort, excessive acceleration of gravity, excessive atmospheric pressure, and the adaptability of operators under related conditions such as insufficient oxygen. | |
| Environmental factors [18,30,32,40] | For example: weight loss, noise, temperature, illumination. | |
| Time pressure [17,18,32,34,41] | Generally, insufficient available time of a task not only leaves limited time for operators to collect data, make judgments and output behaviors, but also easily cause operators to become nervous; then, human errors occur. | |
| Mental stress [32,42,43,44,45] | Excessive psychological pressure will cause operators’ tension. Psychological pressure is an important factor affecting human behavior and reliability. | |
| Execution | Task complexity [17,30,34,36] | The complexity of operation task generally refers to the difficulty of completing a task, including complexities of a task steps and interface management task (multiple tasks multiple failures, multiple program conversions, teamwork, etc. at the same time). |
| Procedure [17,18,30,32,34] | Structure rationality of regulations, branch rationality of regulations, complexity of regulations, and availability of operating procedures. | |
| Experience [17,18,30,32,33,34] | Experience level represents an operator’s understanding and familiarity degree for hardware and software equipment, the use of procedures, task operation steps, etc., as well as the experience in handling exceptions and emergencies. | |
| Human-computer Interface [18,32,33,34] | For example, Human-computer Interface interactivity (input and output mode) and availability, layout rationality, the salience of key information. | |
| Physiological fatigue [46] | Physiological fatigue is a state of physical exhaustion, which can affect operators’ performance, such as, causing more errors or delaying cognitive responses. | |
| Self-confidence [33] | Self-confidence is a state. When an operator completes a task, he may be too confident to ignore the acquisition of relevant parameters or the process execution, resulting in missing key information or important steps, which brings certain security risks to a task’s execution process. | |
| Display system [32,37] | For example, clarity of display system, color and shape of displayer, display mode, layout, rationality and accuracy of parameters or amount of information, accuracy, simplicity, and legibility of information, etc. | |
| System automation level [32] | Generally, if control equipment has a high automation level, an operator only needs to perform a few simple actions to complete the scheduled task, and so their workload is relatively low. If control equipment is at a low level of automation, an operator often needs to perform a lot of actions. | |
| Environmental factors [18,30,32,40] | For example: weight loss, noise, temperature, illumination. | |
| Time pressure [17,18,32,34,41] | Generally, insufficient available time of a task not only leaves limited time for operators to collect data, make judgments and output behaviors, but also easily cause operators to become nervous; then, human errors occur. | |
| Mental stress [32,42,43,44,45] | Excessive psychological pressure will cause operators’ tension. Psychological pressure is an important factor affecting human behavior and reliability. |
| Influencing Factors | Human-Computer Interface | Task Factors | Alarm System | Display System | System Automation Level | Procedural Factors | Cognitive Load | Physiological Factors | Environmental Factors | Time Pressure | Mental Stress |
|---|---|---|---|---|---|---|---|---|---|---|---|
| Average relative importance | 17.9 | 16.3 | 18.2 | 19.6 | 17.2 | 15.6 | 16.9 | 18.8 | 19.4 | 17.5 | 18.4 |
| Influencing Factors | Task Factors | Experience | Problem Solving Way | Alarm System | Decision-Making Capacity | System Automation Level | Display System | Physiological Factors | Environmental Factors | Time Pressure | Mental Stress |
|---|---|---|---|---|---|---|---|---|---|---|---|
| Average relative importance | 19.7 | 18.7 | 16.8 | 16.3 | 19.2 | 17.3 | 15.4 | 18.5 | 19.5 | 17.6 | 18.1 |
| Influence Genes | Task Complexity | Procedure | Experience | Human-Computer Interface | Physiological Fatigue | Self-Confident | Display System | System Automation Level | Environmental Factors | Time Pressure | Mental Stress |
|---|---|---|---|---|---|---|---|---|---|---|---|
| Average relative importance | 19.8 | 17.7 | 19.6 | 17.5 | 18.9 | 16.5 | 16.1 | 18.4 | 19.2 | 17.3 | 18.2 |
| Cognitive Stage | Initial Influencing Factors | Statistics Results of Expert Opinions (Seven Experts in Total) | Average Value of Relative Importance | Influencing Factors and Description to Be Eliminated | ||
|---|---|---|---|---|---|---|
| Agree (Number of Experts) | Disagree (Number of Experts) | Cannot Judge (Number of Experts) | ||||
| Information acquisition | Human-computer Interface | 7 | 0 | 0 | 17.9 | To be eliminated: (1)“Task factors”, because, ① Its relative importance is the second lowest for “information acquisition”, ② According to expert opinions, three experts disagreed, and one expert could not judge it. Considering two aspects, it would be eliminated; (2) “System Automation Level”, because, ① According to expert opinions, two experts disagreed, and one expert could not judge it, ② Its relative importance ranks 8th in “information acquisition” (The total number of influencing factors is 11), Considering two aspects, it would be eliminated; (3)”Procedural Factors”, because, ① According to expert opinions, four experts disagreed, ② Relative importance ranks 1st from the bottom, Considering two aspects, Procedural Factors would be eliminated. |
| Task factors | 3 | 3 | 1 | 16.3 | ||
| Alarm system | 7 | 0 | 0 | 18.2 | ||
| Display system | 7 | 0 | 0 | 19.6 | ||
| System automation level | 4 | 2 | 1 | 17.2 | ||
| Procedural factors | 3 | 4 | 0 | 15.6 | ||
| Cognitive load | 6 | 0 | 1 | 16.9 | ||
| Physiological factors | 7 | 0 | 0 | 18.8 | ||
| Environmental factors | 7 | 0 | 0 | 19.4 | ||
| Time pressure | 7 | 0 | 0 | 17.5 | ||
| Mental stress | 6 | 0 | 1 | 18.4 | ||
| Status response | Task factors | 7 | 0 | 0 | 19.7 | To be eliminated: (1) ”alarm”, because, ① Its relative importance is the second lowest in “status response stage “, ② according to expert opinions, three of them disagreed, Considering two aspects, “alarm” would be eliminated.; (2) “Display system”, because, ① Based on expert opinions, five experts disagreed, ② relative importance ranks 1st from the bottom in “state response”, Considering two aspects, it would be eliminated. |
| Experience | 7 | 0 | 0 | 18.7 | ||
| Problem solving way | 6 | 0 | 1 | 16.8 | ||
| Alarm system | 4 | 3 | 0 | 16.3 | ||
| Decision-making capacity | 7 | 0 | 0 | 19.2 | ||
| System automation level | 6 | 0 | 1 | 17.3 | ||
| Display system | 2 | 5 | 0 | 15.4 | ||
| Physiological factors | 7 | 0 | 0 | 18.5 | ||
| Environmental factors | 7 | 0 | 0 | 19.5 | ||
| Time pressure | 7 | 0 | 0 | 17.6 | ||
| Mental stress | 6 | 0 | 1 | 18.1 | ||
| Execution | Task complexity | 7 | 0 | 0 | 19.8 | To be eliminated: (1) Self-confidence, because, ① The relative importance is the second lowest in the cognitive stage of “execution”; ② According to expert opinions, three experts disagreed, and one expert could not judge it; therefore, considering the two aspects, it would be eliminated; (2)”Display system”, because, ① one expert disagreed, and two experts could not judge it, ② The relative importance ranks first from the bottom, and so, according to above two points, it would be eliminated. |
| Procedure | 7 | 0 | 0 | 17.7 | ||
| Experience | 7 | 0 | 0 | 19.6 | ||
| Human-computer Interface | 6 | 0 | 1 | 17.5 | ||
| Physiological fatigue | 7 | 0 | 0 | 18.9 | ||
| Self-confidence | 4 | 2 | 1 | 16.5 | ||
| Display system | 4 | 1 | 2 | 16.1 | ||
| System automation level | 6 | 0 | 1 | 18.4 | ||
| Environmental factors | 7 | 0 | 0 | 19.2 | ||
| Time pressure | 7 | 0 | 0 | 17.3 | ||
| Mental stress | 7 | 0 | 0 | 18.2 | ||
| Influencing Factors of “Information Acquisition” Stage | Influencing Factors of “State Response” Stage | Influencing Factors of “Execution” Phase |
|---|---|---|
| Human-Computer Interface | Task factors | Task complexity |
| Alarm system | Experience | Procedure |
| Display system | Problem solving way | Experience |
| Cognitive load | Decision-making capacity | Human-Computer Interface |
| Physiological factors | System automation level | Physiological fatigue |
| Environmental factors | Physiological factors | System automation level |
| Time pressure | Environmental factors | Environmental factors |
| Mental stress | Time pressure | Time pressure |
| Mental stress | Mental stress |
| Correlation | Calculation Expression | Correlation | Calculation Expression |
|---|---|---|---|
| CD | HD | ||
| MD | LD | ||
| ZD |
| Available Time | Level of Available Time | The Value |
|---|---|---|
| tc | Barely enough time (≈2/3 standard time) | 10 |
| Standard time | 1 | |
| Surplus time (>standard time and >30 min) | 0.1 |
| Mental Stress | Level of Mental Stress | The Value |
|---|---|---|
| mc | Very high | 5 |
| High | 2 | |
| Moderate | 1 |
| Evaluation Objects | Evaluation Values | ||||
|---|---|---|---|---|---|
| 1 | 2 | 3 | 4 | 5 | |
| Barely enough time | [8, 10] | [7, 9] | [7, 10] | [8, 9] | [6, 8] |
| Surplus time | [0.2, 0.4] | [0.1, 0.2] | [0.2, 0.3] | [0.2, 0.3] | [0.1, 0.3] |
| Evaluation Objects | Evaluation Values | ||||
|---|---|---|---|---|---|
| 1 | 2 | 3 | 4 | 5 | |
| Very high | [3, 5] | [4, 5] | [3, 6] | [3, 4] | [4, 5] |
| High | [1.5, 2.5] | [1.5, 2] | [1.5, 2] | [1.5, 2.5] | [2, 3] |
| Available Time | Level of Available Time | The Value |
|---|---|---|
| tc | Barely enough time (≈2/3 standard time) | 8.5 |
| Standard time | 1 | |
| Surplus time (>standard time and >30 min) | 0.23 |
| Mental Stress | Level of Mental Stress | The Value |
|---|---|---|
| mc | Very high | 4.25 |
| High | 2.25 | |
| Moderate | 1 |
| Cognitive Stages | Influencing Factors | Weights (%) | ||
|---|---|---|---|---|
| AHP Method | G2 Method | Game Theory | ||
| Information Acquisition | Human-computer interface | 7.2 | 8.6 | 8.3 |
| Alarm system | 11.5 | 10.4 | 10.7 | |
| Display system | 19.3 | 20.6 | 20.3 | |
| Cognitive load | 6.7 | 5.1 | 5.5 | |
| Physiological factors | 15.3 | 16.7 | 16.4 | |
| Environmental factors | 21.8 | 19.2 | 19.8 | |
| Time pressure | 6.8 | 7.2 | 7.1 | |
| Mental stress | 11.4 | 12.2 | 12 | |
| Status Response | Task factor | 19.8 | 18.2 | 19.0 |
| Experience | 10.4 | 11.6 | 11.0 | |
| A way to solve problems | 5.5 | 7.8 | 6.6 | |
| Decision-making capacity | 14.6 | 13.2 | 13.9 | |
| Automatic level of system | 3.9 | 4.6 | 4.2 | |
| Physiological factors | 11.7 | 11.8 | 11.7 | |
| Environmental factors | 17.2 | 15.2 | 16.3 | |
| Time pressure | 9.6 | 10.1 | 9.8 | |
| Mental stress | 7.3 | 7.5 | 7.4 | |
| Execution | Task complexity | 17.7 | 18.4 | 18.05 |
| Procedure | 6.8 | 6.5 | 6.65 | |
| Experience | 12.5 | 11.4 | 11.95 | |
| Human-computer interface | 4.1 | 4.7 | 4.4 | |
| Physiological fatigue | 14.6 | 13.7 | 14.15 | |
| Automatic level of system | 11.2 | 10.6 | 10.9 | |
| Environmental factors | 17.2 | 18.5 | 17.85 | |
| Time pressure | 5.3 | 6.4 | 5.85 | |
| Mental stress | 10.6 | 9.8 | 10.2 | |
| Subtask | Cognitive Stage | Cognitive Process | Recovery Process | Description | ||
|---|---|---|---|---|---|---|
| tc | mc | tc | mc | |||
| T1: Observing, judging, and adjusting the target position and angle changes | Information acquisition (T11) | 1 | 1 | 1 | 1 | The relationship is sequential among T1, T2, T3; The correlation among congnitve stages is high dependence for T1, T2, T3 |
| Status response (T12) | 0.23 | 2.25 | 1 | 2.25 | ||
| Execution (T13) | 1 | 2.25 | 1 | 4.25 | ||
| T2: Judging and adjusting the target to be closer to ruler T3: Observing, judging, and adjusting the change of target, P and △p | Status response (T21) | 1 | 2.25 | 1 | 2.25 | |
| Execution (T22) | 0.23 | 2.25 | 1 | 4.25 | ||
| Information acquisition (T31) | 1 | 2.25 | 1 | 2.25 | ||
| Status response (T32) | 0.23 | 2.25 | 0.23 | 2 | ||
| Execution (T33) | 1 | 2.25 | 1 | 4.25 | ||
| Influencing Factors | T11 | Recovery (T11) | Influencing Factors | T12 | Recover (T12) | Influencing Factors | T13 | Recover (T13) |
|---|---|---|---|---|---|---|---|---|
| ranki,j,r | ranki,j,r | ranki,j,r | ||||||
| Human-computer interface | 0.8 | 0.8 | Task factor | 0.75 | 0.75 | Task complexity | 0.85 | 0.7 |
| Alarm system | 0.85 | 0.85 | Experience | 0.85 | 0.8 | Procedure | 0.85 | 0.85 |
| Display system | 0.75 | 0.75 | A way to solve problems | 0.5 | 0.5 | Experience | 0.8 | 0.8 |
| Cognitive load | 0.65 | 0.6 | Decision-making capacity | 0.85 | 0.8 | Human-computer interface | 0.75 | 0.75 |
| Physiological factors | 0.7 | 0.7 | Automatic level of system | 0.7 | 0.7 | Physiological fatigue | 0.65 | 0.6 |
| Environmental factosr | 0.6 | 0.6 | Physiological factors | 0.7 | 0.6 | Automatic level of system | 0.6 | 0.5 |
| Time pressure | 0.9 | 0.85 | Environmental factor | 0.6 | 0.6 | Environmental factor | 0.7 | 0.7 |
| Mental stress | 0.7 | 0.6 | Time pressure | 0.9 | 0.8 | Time pressure | 0.85 | 0.75 |
| Mental stress | 0.85 | 0.7 | Mental stress | 0.8 | 0.7 | |||
| Influencing Factors | T21 | T21 (Recovery) | Influencing Factors | T22 | T22 (Recovery) |
|---|---|---|---|---|---|
| ranki,j,r | ranki,j,r | ||||
| Task factor | 0.75 | 0.75 | Task complexity | 0.8 | 0.7 |
| Experience | 0.8 | 0.75 | Procedure | 0.85 | 0.85 |
| A way to solve problems | 0.5 | 0.5 | Experience | 0.75 | 0.75 |
| Decision-making capacity | 0.8 | 0.7 | Human-computer interface | 0.75 | 0.75 |
| Automatic level of system | 0.7 | 0.7 | Physiological fatigue | 0.65 | 0.6 |
| Physiological factors | 0.7 | 0.6 | Automatic level of system | 0.6 | 0.5 |
| Environmental factors | 0.6 | 0.6 | Environmental factors | 0.7 | 0.7 |
| Time pressure | 0.9 | 0.8 | Time pressure | 0.85 | 0.8 |
| Mental stress | 0.8 | 0.75 | Mental stress | 0.8 | 0.7 |
| Influencing Factors | T31 | T31 (Recovery) | Influencing Factors | T32 | T32 (Recovery) | Influencing Factors | T33 | T33 (Recovery) |
|---|---|---|---|---|---|---|---|---|
| ranki,j,r | ranki,j,r | ranki,j,r | ||||||
| Human-computer interface | 0.8 | 0.8 | Task factor | 0.75 | 0.75 | Task complexity | 0.75 | 0.65 |
| Alarm system | 0.85 | 0.85 | Experience | 0.85 | 0.7 | Procedure | 0.85 | 0.85 |
| Display system | 0.75 | 0.75 | A way to solve problems | 0.5 | 0.5 | Experience | 0.75 | 0.6 |
| Cognitive load | 0.6 | 0.5 | Decision-making capacity | 0.75 | 0.6 | Human-computer interface | 0.75 | 0.75 |
| Physiological factors | 0.65 | 0.65 | Automatic level of system | 0.7 | 0.7 | Physiological fatigue | 0.6 | 0.5 |
| Environmental factors | 0.6 | 0.6 | Physiological factors | 0.6 | 0.55 | Automatic level of system | 0.65 | 0.5 |
| Time pressure | 0.85 | 0.8 | Environmental factor | 0.6 | 0.6 | Environmental factors | 0.7 | 0.7 |
| Mental stress | 0.65 | 0.6 | Time pressure | 0.85 | 0.80 | Time pressure | 0.8 | 0.7 |
| Mental stress | 0.75 | 0.7 | Mental stress | 0.75 | 0.65 | |||
Publisher’s Note: MDPI stays neutral with regard to jurisdictional claims in published maps and institutional affiliations. |
© 2022 by the authors. Licensee MDPI, Basel, Switzerland. This article is an open access article distributed under the terms and conditions of the Creative Commons Attribution (CC BY) license (https://creativecommons.org/licenses/by/4.0/).
Share and Cite
Jiang, J.; Xiao, Y.; Zhan, W.; Jiang, C.; Yang, D.; Xi, L.; Zhang, L.; Hu, H.; Zou, Y.; Liu, J. An HRA Model Based on the Cognitive Stages for a Human-Computer Interface in a Spacecraft Cabin. Symmetry 2022, 14, 1756. https://doi.org/10.3390/sym14091756
Jiang J, Xiao Y, Zhan W, Jiang C, Yang D, Xi L, Zhang L, Hu H, Zou Y, Liu J. An HRA Model Based on the Cognitive Stages for a Human-Computer Interface in a Spacecraft Cabin. Symmetry. 2022; 14(9):1756. https://doi.org/10.3390/sym14091756
Chicago/Turabian StyleJiang, Jianjun, Yi Xiao, Wenhao Zhan, Changhua Jiang, Dan Yang, Liaozi Xi, Li Zhang, Hong Hu, Yanhua Zou, and Jianqiao Liu. 2022. "An HRA Model Based on the Cognitive Stages for a Human-Computer Interface in a Spacecraft Cabin" Symmetry 14, no. 9: 1756. https://doi.org/10.3390/sym14091756
APA StyleJiang, J., Xiao, Y., Zhan, W., Jiang, C., Yang, D., Xi, L., Zhang, L., Hu, H., Zou, Y., & Liu, J. (2022). An HRA Model Based on the Cognitive Stages for a Human-Computer Interface in a Spacecraft Cabin. Symmetry, 14(9), 1756. https://doi.org/10.3390/sym14091756
