Abstract
In this paper, a distributed adaptive finite-time consensus (FTC) control protocol for a high-order multi-agent system (MAS) with intermittent communications under switching topologies is proposed. Meanwhile, considering the problem of heterogeneous unknown nonlinearities and other uncertain disturbances, the adaptive neural network and the sliding mode control method are used to compensate the nonlinearity of each agent separately. The agents are homogeneous, so the system has symmetry. The switching topologies considered in this paper are asymmetric. Compared with consensus protocol for asymptotic convergence, simulation results show that the proposed method can effectively solve the presence of the nonlinear and accelerate the convergence speed of the system so that an FTC can be reached.
1. Introduction
In recent years, the consensus control of multi-agent system has attracted great attention as for an important and fundamental research of distributed cooperative control. An agent is defined as an individual with independent computing, decision-making and perception abilities and the capability of communicating with the external environment [1]. Multiple agents with independent functions can communicate and interact with each other to form a group system that can cooperate to complete some specific tasks, which can be called multi-agent system. Consensus control means that the states of all agents converge to a same value. It has been widely applied in many applications, such as formation control, which includes spacecraft attitude control [2,3], multi-robot cooperative control [4] and unmanned aerial vehicle (UAV) consensus control [5,6]. Other fields like smart power grid systems [7], intelligent transportation systems [8] and target tracking [9] have also generated numerous new application scenarios. The key to solving the consensus problem is to design an effective consensus control protocol in a way that the final state of each agent in a multi-agent system can converge to a common value. In leaderless systems, the common value depends on the initial state of all agents. In leader-following systems, all follower agents finally track the trajectory of the leader node [10].
For consensus control, most of the existing research results focus on asymptotic consensus [11,12,13,14], that is, as time approaches infinity, the states can achieve consensus. It is proved based on the Lyapunov asymptotic stability theory. However, in practical applications, convergence speed is an important index to evaluate the convergence performance of algorithms. It is of great significance to construct an appropriate finite-time consensus protocol in practical engineering applications to ensure the convergence of the system in finite time. Finite-time consensus means the system can reach an agreement in a limited time. Compared with asymptotic convergence, finite-time consensus has both faster convergence speed and better system performance. The convergence time is controllable and also more reliable. In addition, the finite-time consensus control method has better robustness. Therefore, it is of great significance to carry out a series of research on the basis of finite-time control.
The finite-time control methods of multi-agent system are mainly divided into continuous control methods and discontinuous control methods. The discontinuous control methods are commonly used in the signed function feedback control method and terminal sliding mode technology. The continuous finite time control methods mainly include homogeneous finite time method and power integral method. Numerous studies with different system dynamics and other scenarios have been presented on FTC against this background. In [15], a class of linear MAS is considered and a general event-triggered finite-time control scheme is designed. In [16], the problem of finite-time consensus control with time delay of the second-order leader-following multi-agent system is studied and a finite-time control protocol based on the local state information of the agent is designed. Under the constructions of higher-order leaderless and leader-following linear multi-agent systems, a distributed finite-time consensus algorithm is developed by utilizing the technique of adding a power integrator to explicitly present the protocol in [17]. For nonlinear systems, study [18] considered the mismatched disturbance, which was not in the control channel and could not simply be eliminated, then a finite-time disturbance observer based on the backstepping method was designed to estimate the mismatched disturbance.
In many other works, the neural network is used to deal with nonlinearity [19,20,21]. The neural network (NN) has the ability to learn arbitrary functions, and the radial basis function (RBF) neural network can be used to approximate the nonlinearities to any desired accuracy over a prescribed compact set and arbitrary accuracy. In [22,23], the NN method is adopted to solve the FTC consensus problem for a nonlinear system, and the situation when MASs with actuator faults and the output dead zones are further discussed in [23].
In the above studies, the connections between agents all focus on fixed topology. However, due to the limitation of communication ability, sensing range and other factors, the connectivity between agents and their neighbors often changes with time. Thus, research on switching topologies [24,25,26] has more use in practical engineering applications. In [27], the conditions that the switching signal should be met are discussed to guarantee MAS consensus can be achieved. The study [28] points out the sufficient condition required to reach consensus as long as the union graph of the switching topology contains a directed spanning tree.
However, most of the results discussed above need to obtain continuous control input and exchange information with continuous communication to achieve consensus, which are difficult and costly. Meanwhile, such an ideal assumption transmission environment does not exist in many engineering practices. So, it is very meaningful work to study the consensus problem based on intermittent communication. Some research on this basis is introduced and studied in [29,30,31]. In [32], an intermittent FTC control algorithm is proposed for a class of first-order linear system. In [33], the switching topologies and unreliable communications for a class of nonlinear multi-agent systems with homogeneous nonlinearities are considered. However, the heterogeneous nonlinearity case means the nonlinearity of each agent is considered different. Then, the consensus control protocol may fail to deal with the tracking problem.
Inspired by the aforementioned discussion, we complete the following works. It is necessary to design an effective FTC controller for higher-order nonlinear systems with intermittent communications under switching topologies. By using adaptive NN and sliding mode control (SMC) method, the finite-time stability of the heterogeneous nonlinear is realized. Compared with the general consensus protocol, which mainly focuses on asymptotic convergence, the FTC control increases the reliability of the MASs and can reach consensus in a limited time. Compared with the basic finite-time consensus protocol, the RBF neural network and sliding mode control can deal with the heterogeneous nonlinearity significantly. By choosing suitable designed parameters in the consensus protocols and adaptive laws, based on the Lyapunov stability theory, it can be proven that the proposed method can achieve the finite-time consensus of a high-order leader-following multi-agent system. The contributions of this paper are summarized as follows:
- (1)
- In this paper, a distributed finite-time consensus control protocol is proposed for a high-order integrator leader-following heterogeneous nonlinear multi-agent system based on the partial state of each agent. Considering the intermittent communications and the switched time-varying topologies simultaneously, which aim to meet a more relaxed information transmission condition. When the control parameters and the communication rate are properly selected, a leader-following FTC tracking can be reached using the given protocol.
- (2)
- By using the adaptive NN control technique and the sliding mode control approach, the modeling heterogeneous unknown nonlinearities are compensated effectively, in such a way that the finite-time consensus can be reached. Simulation results indicate that the developed protocol can solve an FTC problem with heterogeneous nonlinearity and intermittent communications under switching topologies. Meanwhile, the protocol is distributed for each agent and not global information but only local information interaction is needed.
The structure of this paper is organized as follows. Some preliminary knowledge is given in Section 2, the consensus control protocol and stability analysis are given in Section 3 and numerical simulation show the effectiveness of the proposed protocol in Section 4. The summary of this paper and the future research are given in Section 5.
2. Preliminaries
2.1. Algebraic Graph Theory Basics and Notations
Graph theory can easily describe the information transmission of a MAS. Each single agent can be regarded as a node and information can be exchanged between nodes. A graph describes the multi-agent system, including nodes, edges and connected relationships. is a non-empty vertex set to describe a system consisting of agents. represents a collection of non-empty directed edges. is the weighted adjacency matrix and represents the interaction between agent and . An edge in graph denotes a line starting at and ending at . if , otherwise . In the leader-following systems, matrix is defined to describe the connection between the leader and the followers. for agent is connected to the leader and otherwise . Define the degree matrix with for . The Laplacian matrix .
Some notations are used in this paper. represents a suitable dimension vector with all elements of 1. represents the identity matrix of . represents the singular value of the matrix with maximum singular value and maximum singular value . is the modulus of a real number; is the norm of a vector; denotes the trace of the matrix. is a positive definite matrix.
2.2. Matrix Theory
Lemma 1.
[33] Define matrix and matrix
, then matrix represents the Kronecker product.
The Kronecker product is described by
Some properties of the Kronecker product are given as:
- (1)
- ;
- (2)
- ;
- (3)
- ;
- (4)
- .
2.3. Radial Basis Function (RBF) Neural Network
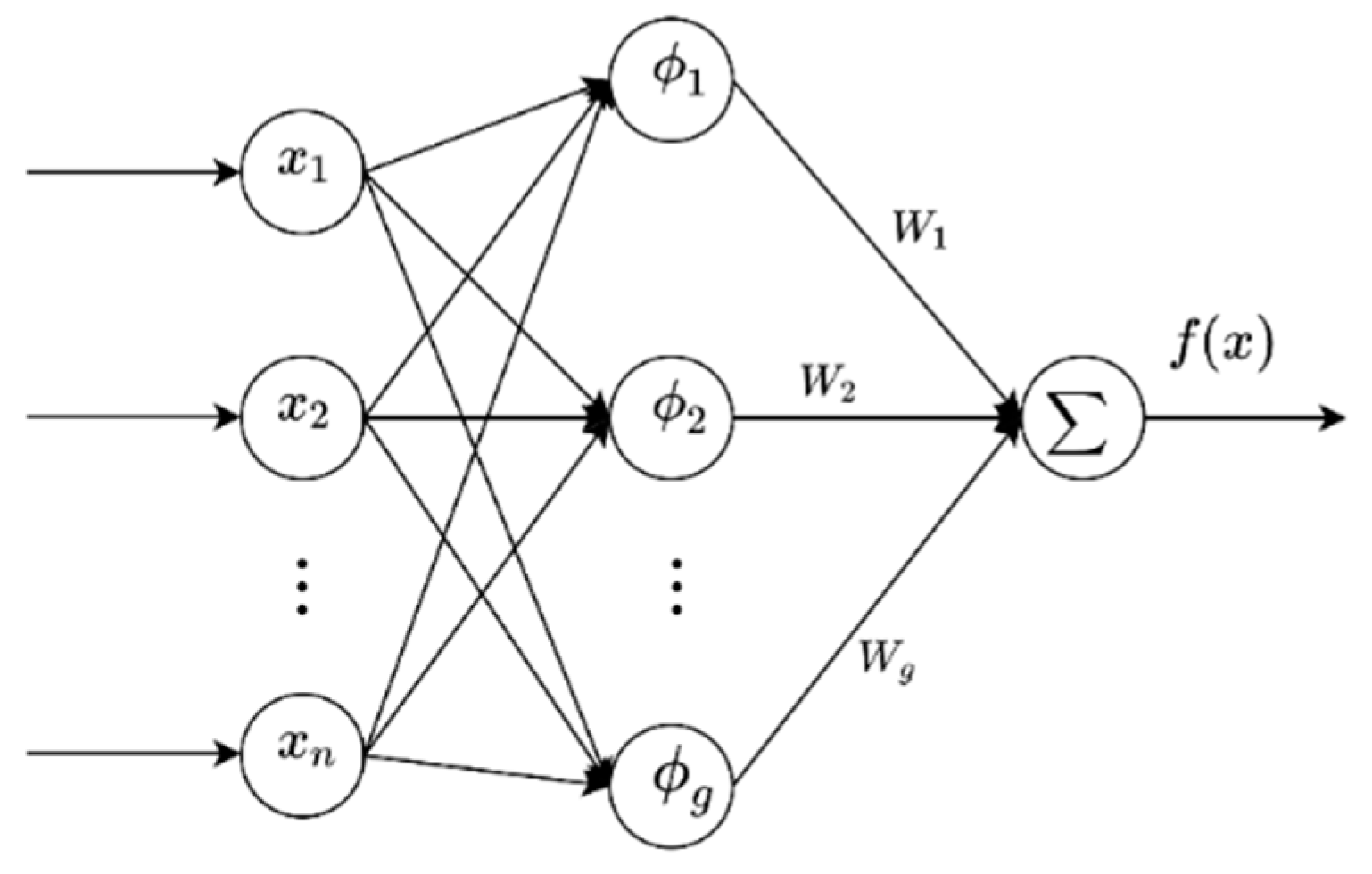
RBF NNs are introduced to approximate the unknown nonlinear , the algorithm of RBF NNs is defined as follows:
where is the input of the network, ; denotes the system’s order; is the input number of the neural network; is the number of nodes in the hidden layer of the selected neural network; is the center point vector value of in the neuron in the hidden layer; is the width of the gaussian basis function of neurons. is the weight vector and is the hidden layer output. stands for the approximate error and .
The neural network block diagram is shown in Figure 1.
Figure 1.
Neural network structure block diagram.
2.4. Problem Description
Consider a class of high-order multi-agent system consisting of followers and one leader.
The dynamics of the follower agents can be described as:
where and is the m-order state of the follower agent at . Defining . represents the input for agent and is the follower’s unknown continuous nonlinear function with uncertainties.
The dynamics of the leader agent [34] are described by
where is the m-order state of the leader agent at . denotes the leader’s unknown uncertainties.
The control objective of this paper is to design a control protocol to make the consensus tracking error as time approaches , under any given bounded initial states, so it satisfies
where is a finite-time.
If we design an effective consensus control protocol to make (6) hold, it can be said that the state of the leader-following multi-agent system can achieve consensus within a finite-time .
Lemma 2.
[35] Consider the system
There exist a positive definite continuous function , real numbersandand an open neighborhood
of the origin that allow or,. Then, the origin of the system is finite-time stable and
converges in a finite-time
, the upper bound of the settling time is satisfied with:
or
.
Lemma 3.
[36] The Laplacian matrix
has exactly one zero eigenvalue and all the other eigenvalues have positive parts if and only if the directed network has a directed spanning tree.
Assumption 1.
In leader-following multi-agent system, it can be assumed that the communication topology in the MAS contains a directed spanning tree in the digraphwith the leaderas the root node.
Assumption 2.
There exists a non-negative constantso that nonlinear dynamicssatisfy
for any .
Communication disconnected or reconnection in the actual system usually leads to the change of communication topology. Defining a switching signal where to describe the switching rule, and the topology at time can be denoted as . The possible communication topology set can be expressed as . Then, the connection matrix for the multi-agent system at each possible topology can be defined as and the Laplacian matrix .
Consider the consensus problem in the case of intermittent communication to reduce the working time of each agent. Supposing an infinite and nonoverlapping time series and . Defining with denotes the time interval. Assuming that represents the time duration with communication, then is the communication width. Similarly, represents the time duration without communication. It has been illustrated in Figure 2 as follows:
Figure 2.
Illustration for intermittent communication and switched topology.
Assumption 3.
For each possible topologies
, it can be assumed that the communication topologies contain a directed spanning tree in the MAS.
Lemma 4.
[32] Under Assumption 3, for the switching topology, matrixis nonsingular and matrixwith theand at least one. Definewith. Then, one has.
3. Main Results
The local neighborhood error of the agent is defined as:
The tracking error is defined as:
Defining and to represent the neighborhood error matrix; and denotes the tracking error matrix.
Evidently,
In the global form, one has:
Multi-agent control protocol is a distributed approach. Each agent completes subtasks symmetrically and autonomously through information exchange and interactive operation with other agents. Multi-agent control protocol has the characteristics of symmetry, autonomy, coordination and distribution.
Therefore, in consideration of these practical situations, a novel distributed intermittent control protocol under switching topologies is proposed as follows:
is taken as the following equation, which is designed based on symbolic function to achieve the finite-time consensus:
where represents the relative state information between agent and its neighbor agent . , is a symbolic function, where , .
is adopted to compensate the unknown nonlinear with uncertainties, which is designed as:
where is the output of the RBF neural network by using the system state as the input. is the estimated value of the ideal weight and is the estimated value of nonlinearity . Thus, one has:
The approximation of (14) can therefore be defined as:
According to the approximation theorem, there exists a compact set , and an appropriate weight vector and a radial basis function vector can always be found to make the approximation error , , where is any positive number with an unknown upper bound.
The NN adaptive law is designed to be:
where , is any positive definite matrix, is any adjustable scalar and is the diagonal element in the diagonal matrix .
In order to facilitate the stability analysis of the adaptive RBF neural network consensus control protocol, let and , thus obtaining and .
The sliding mode surface can be selected as
where . Parameters should be chosen to make polynomial is Hurwitz, is the Laplace operator. Based on the Lyapunov stability theory, it can be proven that the system error can move according to the set sliding mode trajectory, that is, when , one has .
Theorem 1.
Suppose that Assumption 1, Assumption 2 and Assumption 3 hold. The finite-time consensus algorithm described by the control protocols (13), (18) and (19) can ensure that the higher-order multi-agent system described by Equations (4) and (5) achieve finite-time consensus.
Proof of Theorem 1.
Taking the derivative of Equation (10), we can obtain
where is the nonlinear error. □
In (14),
Then, the whole proof can be divided into the following steps for each time series.
Step 1. When , by noting the definition in Equations (19)–(21), we can rewrite the distributed protocol (13) as the global form:
where , , .
Defining and .
Then, (22) can be substituted into (20), which obtains:
Substituting (12) into (23), the following error matrix can be obtained
where
,
, , .
Here, the following Lyapunov function can be chosen:
where , , , .
In the Lyapunov stability theory, there are some symmetry positive definite matrices, which are used in candidate Lyapunov functions to support the proof of stability, where and are symmetric positive definite matrices.
Computing the derivative of time for , one obtains:
where and . Obviously, and it is easy to choose appropriate parameters in and to meet . , , .
Substituting , one has .
Taking the derivative for ,
The global form for (19) can be written as
Then, , and is positive and symmetry.
Taking the derivative for , we have
Similar to (26),
, , , , .
Then,
Furthermore, it can be written as:
The two conditions should be met to reach a UUB.
(1) Matrix is positive; (2) .
Substituting the parameters in Condition 1, we can check that it is satisfied.
Then, can be defined, which means that Condition 2 is satisfied when .
According to Equation (25),
where , .
From (31) and (32), there exist a finite-time , which satisfies
Defining and taking the integrate of Equation (33), the expression of is given as
Step 2. When , according to Equations (4) and (5), the dynamics of the MAS can be written as
where , .
The following Lyapunov function should be chosen:
Taking the time derivation of ,
From (8), one obtains:
where .
Step 3. When , the convergence analysis in the time duration with communication has been carried out in Step 1. To simplify the next discussion, the neural network, which is used to estimate nonlinearity and accelerate the convergence speed and may not affect the convergence results, will be omitted.
Choosing the Lyapunov function as follows:
The error matrix of the system can be written as:
Inspired by [14], the derivative for Equation (39) can be taken and substituted into Equation (40), knowing that , , then we obtain:
where and , as long as the two numbers exist and the specific calculation is given in the third part of [15]. Here, it is omitted because the aim is to obtain an expression of the form like Equation (41) for the following discussion of stability analysis.
Obviously, , then we have
Letting , Equation (42) equals to , which means is a decreasing function. So that in , it yields
Then,
According to (39), and are defined.
At ,
Defining . By recursion, for any , when , one has with .
Then we find the conditions of the possible communication length.
Defining . For , we have
It can be seen that the selected Lyapunov function is decay when . Thus, this completes the proof. □
4. Numerical Simulations
Consider a third-order leader-following MAS with unknown nonlinearity described by Equations (4) and (5), consisting of follower agents and one leader.
The followers are described as
For example, in the multi-intelligent vehicle system, the three order states correspond to the displacement, velocity and acceleration of the vehicle respectively. Considering the sensor measurement range is limited and the topological structure changes, the control objective is to make all the vehicles reach the same states in a limited time.
The switching communication topologies, , are shown as Figure 3, whose weights are taken as 1. Remarkably, the occurence of the intermittent communication considered in this paper is asymmetric and consensus can be achieved only when the proportion of reliable communication is greater than a certain threshold. The communication topology of the system is asymmetric, and it is a directed graph, which makes a more general communication environment than a symmetric and undirected topology.
Figure 3.
Switching topology graph.
Suppose that the interconnected topologies are described as in Figure 3. Taking each time interval . For , and the next time interval , . The time duration with communication can be set in each interval.
The initial states of each agent in the multi-agent system are taken as: , , , , .
The nonlinear functions here are selected as:
Choosing the simulation duration as , the values of the parameters in the control protocol are taken as , , , .
The value of hidden layer nodes of the neural network is set as , , , , choose , .
Defining control protocol without :
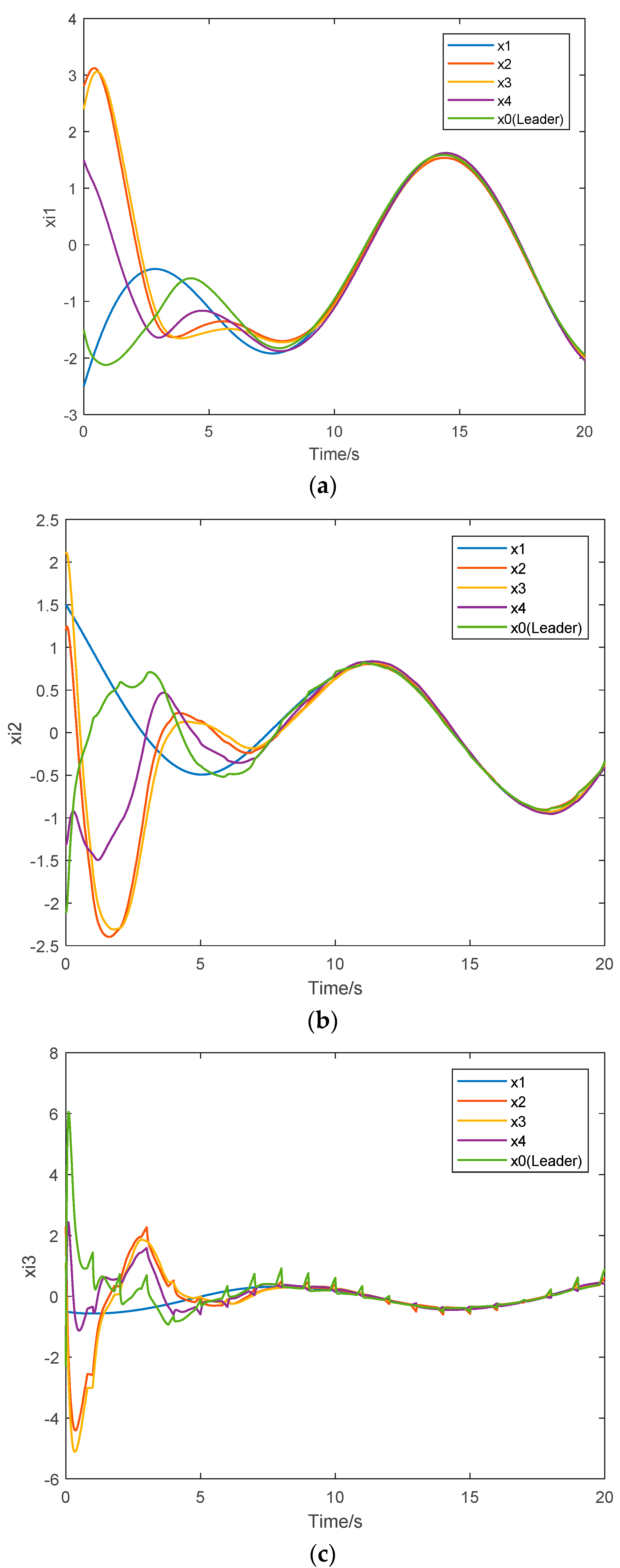
Figure 4a–c shows the state trajectories of each order of all agents when the proposed finite-time control protocol (13) is adopted. Figure 5 shows the state error.

Figure 4.
(a) The state trajectories of when using the control protocol (13). (b) The state trajectories of when using the control protocol (13). (c) The state trajectories of when using the control protocol (13).
Figure 5.
The state errors when using the control protocol (13).
From the system model we adopted, the control protocol and nonlinearity act directly on the third-order state. Thus, as seen in the simulation results, Figure 4b,c shows the state fluctuation obviously during the intermittent communication.
It can be observed that the state error converges to zero asymptotically in about 5 s, and the finite time consensus tracking can then be realized. Figure 6a–c shows the state trajectories of each order of all agents when the proposed finite-time control protocol (49) is adopted. Figure 7 shows the state error.
Figure 6.
(a) The state trajectories of when using the control protocol (49). (b) The state trajectories of when using the control protocol (49). (c) The state trajectories of when using the control protocol (49).
Figure 7.
The state errors when using the control protocol (49).
In Figure 7, it can be observed that the state error achieves zero in around 10 s, which is about 5 s slower than in Figure 5. The comparison of simulation results shows that the proposed method has faster convergence performance. By using the neural network and sliding mode control effectively the influence of nonlinearity is eliminated, and the proposed method can improve the convergence rate.
Meanwhile, in Figure 6c, it can be observed that an obvious fluctuation of the state error occurs during the intermittent communication. Compared with the simulation results in Figure 4c and Figure 6c, it is not difficult to find that the neighborhood errors caused by the unknown nonlinearity during the communication gap are basically eliminated.
Then, one can draw the conclusion that the proposed finite-time consensus protocol, combining the adaptive neural network and sliding mode control method, can ensure the stability of the whole system, achieve consensus tracking and accelerate the convergence speed of the system significantly.
5. Conclusions
This paper considered the finite-time consensus control problems for a class of high-order integrator multi-agent systems with unknown nonlinearities and uncertainties. Based on the finite-time consensus control protocol, this paper mainly proposed a novel adaptive neural network and sliding mode control, which can estimate the nonlinearity in the system adaptively and compensate it effectively. Finally, the follower agents can track the leader’s state in a finite time, and the tracking control of the finite-time cooperative consensus is realized. The intermittent communication and switched topology which usually occurs in actual engineering applications have also been considered in this paper, and a reliable communication rate expression is obtained during the stability analysis. When the communication rate chooses to be larger than a threshold value for each interval time, the simulation results show that an FTC can be reached by using the developed control protocol under these circumstances. However, there are still many problems that remain to be solved in our future work, such as discussions about more general switching conditions and the conditions that need to be met for switching topologies.
Author Contributions
Conceptualization, L.F. and H.J.; methodology, C.W. and L.F.; validation, C.W., L.F. and H.J.; formal analysis, C.W. and L.F.; writing—original draft preparation, C.W.; writing—review and editing, C.W. and L.F.; supervision, H.J.; project administration, L.F. and H.J.; funding acquisition, L.F. All authors have read and agreed to the published version of the manuscript.
Funding
This work is supported by the National Natural Science Foundation (NNSF) of China under Grant 61803036 and 61903004; R&D Program of Beijing Municipal Education Commission (KM202210009011).
Institutional Review Board Statement
Not applicable.
Informed Consent Statement
Not applicable.
Data Availability Statement
Data sharing not applicable.
Conflicts of Interest
The authors declare no conflict of interest.
References
- Wooldridge, M.; Jennings, N.R. Intelligent agents: Theory and practice. Knowl. Eng. Rev. 1995, 10, 115–152. [Google Scholar] [CrossRef] [Green Version]
- Dimarogonas, D.V.; Tsiotras, P.; Kyriakopoulos, K.J. Leader–follower cooperative attitude control of multiple rigid bodies. Syst. Control. Lett. 2009, 58, 429–435. [Google Scholar] [CrossRef]
- Cui, B.; Xia, Y.; Liu, K. Truly Distributed Finite-Time Attitude Formation-Containment Control for Networked Uncertain Rigid Spacecraft. IEEE Trans. 2020. [Google Scholar] [CrossRef]
- He, Y.; Wu, M.; Liu, S. An optimisation-based distributed cooperative control for multi-robot manipulation with obstacle avoidance. IFAC-PapersOnLine 2020, 53, 9859–9864. [Google Scholar] [CrossRef]
- Wang, G.; Yang, W.; Zhao, N. Distributed Consensus Control of Multiple UAVs in a Constrained Environment. In Proceedings of the 2020 IEEE International Conference on Robotics and Automation (ICRA), Paris, France, 31 May–31 August 2020; pp. 3234–3240. [Google Scholar]
- Huang, Y.; Tang, J.; Lao, S. UAV group formation collision avoidance method based on second-order consensus algorithm and improved artificial potential field. Symmetry 2019, 11, 1162. [Google Scholar] [CrossRef] [Green Version]
- Khazaei, J.; Nguyen, D.H. Multi-agent consensus design for heterogeneous energy storage devices with droop control in smart grids. IEEE Trans. Smart Grid 2017, 10, 1395–1404. [Google Scholar] [CrossRef]
- Li, Y.; Tang, C.; Peeta, S. Nonlinear consensus-based connected vehicle platoon control incorporating car-following interactions and heterogeneous time delays. IEEE Trans. Intell. Transp. Syst. 2018, 20, 2209–2219. [Google Scholar] [CrossRef]
- Zhang, H.; Zhou, X.; Wang, Z. Adaptive consensus-based distributed target tracking with dynamic cluster in sensor networks. IEEE Trans. Cybern. 2018, 49, 1580–1591. [Google Scholar] [CrossRef]
- Zhang, T.; Li, H.; Wang, Z. Leader-Following Regional Multiple-Bipartite Consensus for Networked Lagrangian Systems with Coopetition Interactions. Symmetry 2021, 13, 920. [Google Scholar] [CrossRef]
- Cao, W.; Zhang, J.; Ren, W. Leader–follower consensus of linear multi-agent systems with unknown external disturbances. Syst. Control Lett. 2015, 82, 64–70. [Google Scholar] [CrossRef] [Green Version]
- Huo, Y.; Lv, Y.; Wu, X. Fully distributed consensus for general linear multi-agent systems with unknown external disturbances. IET Control Theory Appl. 2019, 13, 2595–2609. [Google Scholar] [CrossRef]
- Ma, L.; Zhu, F.; Zhang, J. Leader-Follower Asymptotic Consensus Control of Multiagent Systems: An Observer-Based Disturbance Reconstruction Approach. IEEE Trans. Cybern. 2021. [Google Scholar] [CrossRef]
- Lu, Q.; Han, Q.L. Cooperative control of mobile sensor networks for environmental monitoring: An event-triggered finite-time control scheme. IEEE Trans. Cybern. 2016, 47, 4134–4147. [Google Scholar] [CrossRef]
- Zhou, Y. Finite-Time Consensus for Second-Order Multi-Agent System; Tianjin University: Tianjin, China, 2018. [Google Scholar]
- Du, H.; Wen, G.; Chen, G. A distributed finite-time consensus algorithm for higher-order leaderless and leader-following multiagent systems. IEEE Trans. Syst. Man Cybern. Syst. 2017, 47, 1625–1634. [Google Scholar] [CrossRef]
- Wang, H.; Yu, W.; Ren, W. Distributed adaptive finite-time consensus for second-order multiagent systems with mismatched disturbances under directed networks. IEEE Trans. Cybern. 2019, 51, 1347–1358. [Google Scholar] [CrossRef]
- Huang, X.L.; Cheng, Y.Z. Adaptive RBF neural network cooperative control for high-order nonlinear multi-agent systems with uncertainties. J. Beijing Univ. Technol. 2020, 46, 1008–1017. [Google Scholar]
- Li, Z.; Gao, L.; Chen, W. Distributed adaptive cooperative tracking of uncertain nonlinear fractional-order multi-agent systems. IEEE/CAA J. Autom. Sin. 2019, 7, 292–300. [Google Scholar] [CrossRef]
- Yao, D.; Dou, C.; Yue, D. Adaptive neural network consensus tracking control for uncertain multi-agent systems with predefined accuracy. Nonlinear Dyn. 2020, 101, 2249–2262. [Google Scholar] [CrossRef]
- Cai, M.; Xiang, Z.; Guo, J. Adaptive finite-time consensus protocols for multi-agent systems by using neural networks. IET Control Theory Appl. 2016, 10, 371–380. [Google Scholar] [CrossRef]
- Dong, G.; Li, H.; Ma, H. Finite-time consensus tracking neural network FTC of multi-agent systems. IEEE Trans. Neural Netw. Learn. Syst. 2020, 32, 653–662. [Google Scholar] [CrossRef]
- Olfati-Saber, R.; Murray, R.M. Consensus problems in networks of agents with switching topology and time-delays. IEEE Trans. Autom. Control 2004, 49, 1520–1533. [Google Scholar] [CrossRef] [Green Version]
- Sun, T.; Liu, H.; Yao, Y. Distributed adaptive formation tracking control under fixed and switching topologies: Application on general linear multi-agent systems. Symmetry 2021, 13, 941. [Google Scholar] [CrossRef]
- Kan, Z.; Yucelen, T.; Doucette, E. A finite-time consensus framework over time-varying graph topologies with temporal constraints. J. Dyn. Syst. Meas. Control 2017, 139, 071012. [Google Scholar] [CrossRef]
- Zhang, Y.X.; Chen, Y.Z. Average dwell-time condition for consensus of linear multi-agent systems with time-varying delay and switching directed communication topologies protocol. Control Decis. 2016, 31, 349–354. [Google Scholar]
- Shang, Y.; Liu, C.L.; Cao, K. Event-triggered consensus control of multi-agent systems under switching topologies. Control Theory Appl. 2021, 38, 1522–1530. [Google Scholar]
- Zochowski, M. Intermittent dynamical control. Phys.-Sect. D 2000, 145, 181–190. [Google Scholar] [CrossRef]
- Li, H.; Zhu, Y.; Wang, J. Consensus of nonlinear second-order multi-agent systems with mixed time-delays and intermittent communications. Neurocomputing 2017, 251, 115–126. [Google Scholar] [CrossRef]
- Su, H.; Liu, Y.; Zeng, Z. Second-order consensus for multiagent systems via intermittent sampled position data control. IEEE Trans. Cybern. 2019, 50, 2063–2072. [Google Scholar] [CrossRef]
- He, S.; Liu, X.; Lu, P. Distributed finite-time consensus algorithm for multiagent systems via aperiodically intermittent protocol. IEEE Trans. Circuits Syst. II Express Briefs 2021, 69, 3229–3233. [Google Scholar] [CrossRef]
- Cui, B.; Zhao, C.; Ma, T. Leader-following consensus of nonlinear multi-agent systems with switching topologies and unreliable communications. Neural Comput. Appl. 2016, 27, 909–915. [Google Scholar] [CrossRef]
- Horn, R.A.; Johnson, C.R. Topics in Matrix Analysis; Cambridge University Press: Cambridge, UK, 1991. [Google Scholar]
- Liu, J.; Zhang, Y.; Yu, Y. Fixed-time leader-follower consensus of networked nonlinear systems via event/self-triggered control. IEEE Trans. Neural Netw. Learn. Syst. 2020, 31, 5029–5037. [Google Scholar] [CrossRef]
- Bhat, S.P.; Bernstein, D.S. Finite-time stability of continuous autonomous systems. SIAM J. Control Optim. 2000, 38, 751–766. [Google Scholar] [CrossRef]
- Ren, W.; Cao, Y. Distributed Coordination of Multiagent Networks: Emergent Problems, Models, and Issues; Springer: London, UK, 2010. [Google Scholar]
Publisher’s Note: MDPI stays neutral with regard to jurisdictional claims in published maps and institutional affiliations. |
© 2022 by the authors. Licensee MDPI, Basel, Switzerland. This article is an open access article distributed under the terms and conditions of the Creative Commons Attribution (CC BY) license (https://creativecommons.org/licenses/by/4.0/).







