Abstract
Magnetic skyrmions, featuring topological stability and low driving current density, are believed to be a promising candidate of information carriers. One of the obstacles to application is the skyrmion Hall effect, which can lead to the annihilation of moving skyrmions at the lateral boundary of thin-film tracks. In order to resolve this issue, it was recently proposed to exploit ferromagnetic nanotubes as alternative skyrmion guides. In this work, we investigate the field-effect of current-driven skyrmion motion in nanotubes using micromagnetic simulations. It is found that, in the presence of an axial field, the skyrmion motion becomes asymmetric in tubes. This is fundamentally different from the flat strip, in which a field has little influence on the skyrmion dynamics. Based on the dissipation tensor determined by the spin texture of the skyrmions, the solution of the Thiele equation is obtained, yielding a perfect match with simulations. We argue that the asymmetry of the skyrmion dynamics originates from the curvature of the nanotube.
1. Introduction
The magnetic skyrmion is a topological magnetic quasiparticle which can exist stably under room temperature [1,2,3,4,5]. The generation of Néel-type skyrmions are normally induced by the interfacial Dzyaloshinskii–Moriya interaction (DMI) contained in some multilayer films with broken interface asymmetry [6], whereas the Bloch-type ones originate from the bulk DMI existing in some spontaneous chiral magnets with no central symmetry [7]. Skyrmions can also be formed under strong enough easy-normal anisotropy, magnetostatic interaction or surface curvature, even without DMI [8,9,10,11]. Skyrmions feature the ability to surmount inclusion defects and to keep a steady spin texture while shifting on curved tracks, owing to their topological stability. In contrast to the magnetic domain walls, nanosized skyrmions also have a smaller threshold of driving current density [12,13]. All of the above properties support skyrmions to be a potential candidate of information carriers [14,15].
Skyrmions in flat strips, driven by the spin-polarized current, may annihilate at the lateral boundaries due to the skyrmion Hall effect [16,17]. A practicable solution is to utilize ferromagnetic nanotubes as the skyrmion guides [18,19]. As studied before, the curvature effect in nanotube geometry has significant impacts on spin dynamics [19,20,21,22,23,24,25,26,27,28]. One of the impacts is the broken dynamic chiral symmetry existing in cylindrical geometry [29,30]. For instance, the field-induced domain-wall motion in a nanotube, as well as the threshold magnitude of a magnetic field that encounters Walker breakdown [31], is asymmetric; the propagation of the spin-wave in the opposite direction is asymmetric, which derives from the asymmetric dispersion [32,33]. Despite extensive studies, no asymmetry in skyrmion dynamics was reported so far either in flat strips or tubes [17,18].
In this study, we demonstrate the asymmetric motion of skyrmions induced by the curvature of nanotubes via micromagnetic simulations. Particularly, we investigate the influence of the external field and the spin-polarized current on the symmetry of the motion and spin texture of skyrmions. Further, we theoretically calculate the specific value of the shifting velocity of skyrmions as well as the dissipative force tensor characterizing the spin texture. We conclude that the curvature effect can cause the asymmetric motion of skyrmions, which becomes more evident with the increase in the magnitude of the axial external magnetic field and current density. Our results provide another example of utilizing the shape of the nanostructure to manipulate sample properties besides other common approaches [34,35,36,37].
2. Materials and Methods
Employing the Mumax3 package [38,39], we performed finite-difference micromagnetic simulations to study the dynamics of skyrmions in magnetic nanotubes via solving the Landau–Lifshitz–Gilbert equation with the spin-transfer torque [40,41,42],
The constructure of nanotubes was assumed to be a rolled Co/Pt multilayer film, and the material parameters were as follows [43,44,45,46]: saturation magnetization , exchange stiffness constant , easy-normal anisotropy parameter , damping constant and the interfacial DMI constant . For spin-polarized current, electrical current polarization and nonadiabaticity of spin-transfer torque . The nanotube in our simulations was defined by a 25 nm outer radius, 4 nm thickness and 1000 nm length. The initial magnetization was generally along the radial outward direction (), whereas a small part at the center was magnetized oppositely () to form a skyrmion, as shown in Figure 1.
Figure 1.
The nanotube is magnetized radially, mostly outward (in red). A small part at the center is magnetized oppositely (in blue) to allow the formation of a skyrmion. Both Cartesian and cylindrical coordinate systems are drawn.
3. Results
3.1. Velocity
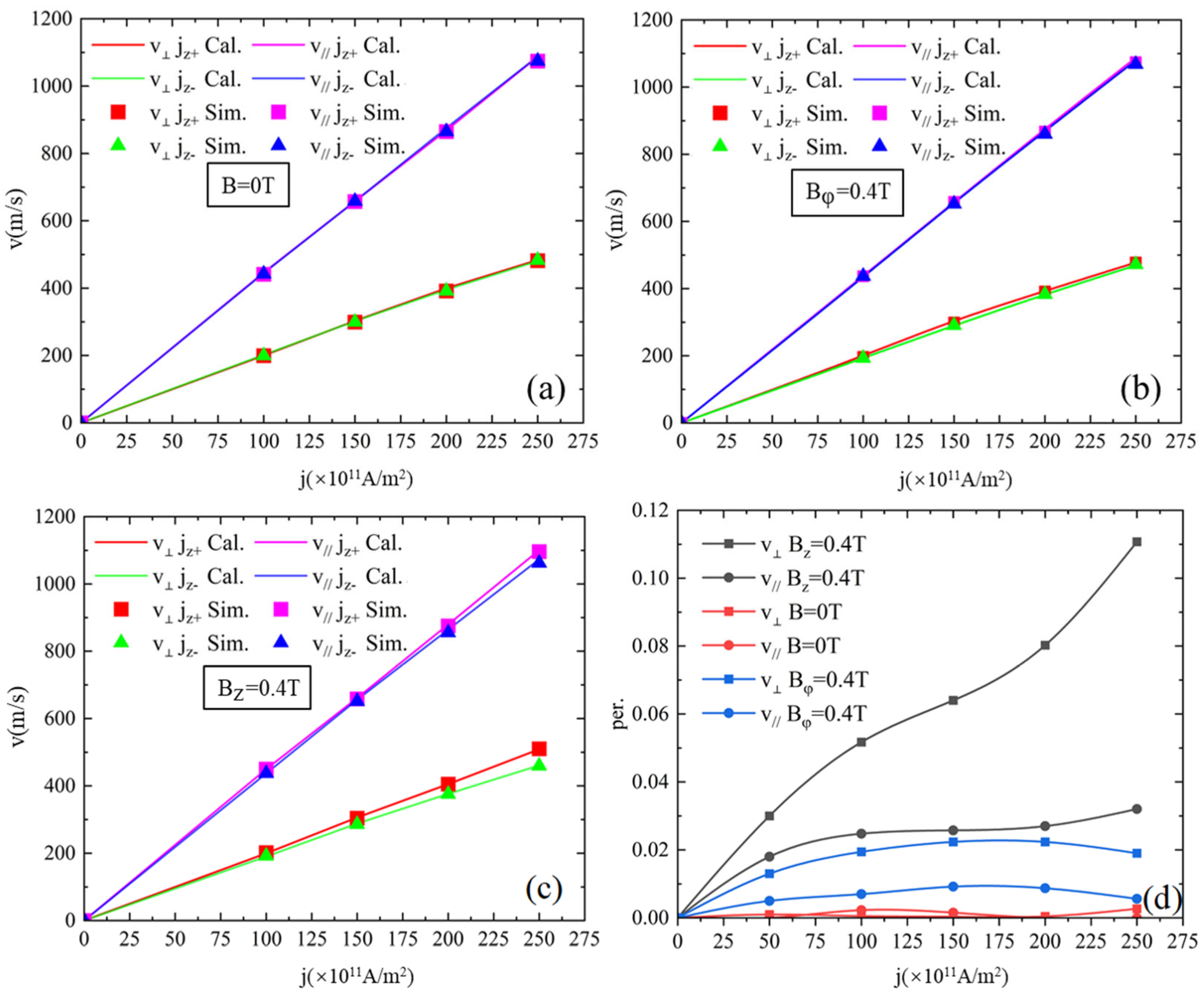
In nanotubes, a Néel-type skyrmion with polarization is stabilized and shifts in a left-handed helical trajectory driven by the spin-polarized current. The skyrmion velocity is defined by two components: one is parallel to the direction of electric current, , whereas the other is perpendicular, caused by the skyrmion Hall effect [43,47,48,49,50], . Only the velocity at the outer radius is considered in our simulation results because of the different at different radius ().
Firstly, we measured the skyrmion velocity under three distinct field conditions: (1) , (2) and (3) . Both directions of spin-polarized currents and were injected through the nanotubes one after the other. In the absence of an external field (), the magnitude of both velocity components and were identical, accounting for the complete symmetry of the skyrmion motion towards and , as shown in Figure 2a. In the presence of , the disparity of remained indistinguishable (<), whereas the disparity of varied slightly (≤); these disparities manifest no positive correlation with the electric current density, as shown in Figure 2b. When an axial field was applied (, it was obvious that the disparity of and was enlarged with the increasing current density, as shown in Figure 2c. Particularly, the difference of when skyrmions shifted towards the opposite direction reached up to 11% at , as shown in Figure 2d.
Figure 2.
(a–c) The current density dependence of skyrmion velocity under different external fields: (a) , (b) , (c) . Symbols are numerical simulation results, whereas solid lines are theoretically analytical results obtained from Equation (6). (d) The relationship between the disparity of skyrmion velocity driven by opposite current and the current density under these external fields. The disparity is calculated by .
Then, the electric current density was fixed to to make out the correlation between the field magnitude and the asymmetry of the skyrmion dynamics. Figure 3 indicates that if the direction of the electric current and the external field are parallel to each other, the velocity of the skyrmions in general remains the same with no changes. However, if the field and the current are antiparallel to each other, the skyrmion velocity decreases significantly with the increase of magnetic induction. This phenomenon also shows that the velocity disparity of skyrmions moving towards the two sides of the nanotube will gradually increase with the amplifying of the magnetic field.
Figure 3.
Axial magnetic field dependence of skyrmion velocity. The current density is fixed at . Symbols are numerical simulation results whereas solid lines are analytical results obtained from Equation (6).
Thus far, we demonstrated that the axial magnetic field breaks the symmetry of skyrmion motion in nanotubes, and this asymmetry is positively correlated to the current density and the magnetic field strength.
3.2. Shape
According to the Thiele equation of the skyrmion motion driven by in-plane spin-polarized current [51] with fixed material parameters, the skyrmion velocity is determined only by the current density and the dissipation tensor , where the latter in turn is determined by the configuration of the skyrmions in the system. We therefore investigated the effects of magnetic fields, electric currents and curvature effects on the spin texture of skyrmions.
In the steady state without external magnetic fields and current, the Néel-type skyrmions are stretched into elliptical structures along the axial direction due to the influence of the nanotube curvature [52]. Electric currents in different directions stretched the skyrmions along the Hall angle, but the skyrmions were basically symmetrical in configuration. When a tangential magnetic field was applied, the overall magnetic moments of the system were slightly deflected toward the magnetic field, but the symmetry of the skyrmions stretched by the electric current were basically the same as in the condition with no external field. When an axial external magnetic field was applied, the skyrmions were stretched into a configuration that was evidently asymmetrical and was distinct in size under the impact of current, as shown in Figure 4.
Figure 4.
Spin textures of skyrmions affected by external fields and electric currents. The skyrmion shapes under and are nearly the same whereas the one under indicates significant difference. The symmetry of the spin texture can be inferred by whether the configuration is rotational and symmetric under opposite current .
3.3. Role of the Curvature Effect
To further investigate the role of the curvature effect in the asymmetrical motion of skyrmions, we performed analogous numerical simulations in a planar structure in the absence of the curvature effect. The external magnetic fields corresponding to the simulation in nanotubes were applied: (1) , (2) and (3) ; notice that the easy-normal direction is along the z-axis. The geometric structure was set as a 1000 nm × 400 nm × 4 nm flat strip, with the interfacial DM interaction constant . The effects of different external magnetic fields and spin-polarized currents on the motion and shape of skyrmions in planar structures were studied. The simulation results indicate that, as shown in Table 1 and Figure 5, the influence of external magnetic fields in any direction on the symmetry of the skyrmion velocity and shape is negligible in a planar structure.
Table 1.
Skyrmion velocity driven by a current under different external fields in a flat strip. The current density is fixed at A/m2.
Figure 5.
Spin textures of skyrmions in a flat strip under different external fields (, and ) and opposite current . The easy-plane direction is along z-axis.
4. Discussion
In this section, analytical calculations are performed to study the skyrmion dynamics in nanotube structures by solving the Thiele equation. In a planar structure, the Thiele equation for current-driven skyrmions can be expressed as [17,43,53,54]:
where is the velocity of the conduction electrons, is the spin-polarized current density, is the Bohr magneton, P is the polarization rate of the current, is the gyrovector where , is the skyrmion number, is the direction of the skyrmion core, is the drift velocity of the spin texture and is the dissipative force tensor:
For a geometrically perfectly symmetrical skyrmion, the components of own the following characteristics:
In this case, the dissipation tensor is reduced to a scalar, and the components of the skyrmion velocity can be calculated as:
However, the geometric structure of skyrmions in nanotubes is not completely symmetrical under the action of an external magnetic field and the spin-polarized current; thus, Equation (4) is no longer applicable (but the accessible conclusion is still valid). At this time, the velocity components of the skyrmions (5) should be revised as:
In order to calculate , we unrolled the outermost layer of the nanotube into a planar film, as shown in Figure 6a, and then transformed the system magnetic moments into ones expressed in a new Cartesian coordinate :
Figure 6.
(a) Schematic of unrolling the nanotube into a planar film and the transformation from the original coordination into the new one. The vector diagrams refer to the cross section of the nanotube and the strip, respectively (view from left to right). (b) The current density dependence of dissipation tensor coefficients under different external fields. (c) The axial magnetic field dependence of dissipation tensor coefficients with fixed current density .
Using numerical results, we calculated the dissipation tensor from Equation (3) in the nanotube under different conditions.
We first investigated the influence of spin-polarized current density on under different external fields. Figure 6b indicates that was very slightly affected by current density, whereas was significantly affected. Once the applied current density was greater than the threshold (pinning current ), increased significantly regardless of whether the direction of the current was z+ or z−. In addition, when the external magnetic field was along the axial direction, the degree of the asymmetry of in opposite current directions was the highest (the imparity between the maximum value and the minimum value was around 20%), whereas the one in the other two cases was less than 8%. In order to further study the influence of the axial external magnetic field on dissipation tensor , we fixed the current density at , and changed the intensity of the axial magnetic field. The results (Figure 6c) are very similar to the effect of the magnetic field strength on the skyrmion velocity (Figure 3). When the direction of the driving current was antiparallel to the magnetic field, , especially , decreased obviously with the increase in the magnetic induction; when the direction of the driving current was the same as the magnetic field, remained basically unchanged whereas increased slightly with the magnetic induction. As for , the results of all numerical calculations were in the interval of (−1, 1), and there was no obvious regularity. Finally, we substituted the calculated dissipation tensor in each case into Equation (6) to obtain the theoretical value of skyrmion velocity (plotted with solid line in Figure 2) solved by the Thiele function, which was highly consistent with the micromagnetic simulation results shown in the previous section.
5. Conclusions
In this paper, we reported the impact of the magnetic field on skyrmion dynamics in ferromagnetic nanotubes. In contrast to a planar structure, in which the shape and moving velocity of skyrmions are completely symmetric under external fields, an axial field applied in nanotubes is found to be able to break the symmetry of the skyrmion motion. Numerically, we were able to extract the skyrmion profiles and moving velocities under various currents and fields. At the same time, the skyrmion velocities were also calculated by solving the Thiele equation. A perfect agreement is achieved between the analytical solution of the Thiele equation and micromagnetic simulations. Our results show that the curvature of the tubes also leads to a chiral effect in skyrmion dynamics with the help of an external field, which in principle provides new aspects for the manipulation of skyrmions.
Author Contributions
Conceptualization, M.Y. (Ming Yan); data curation, B.B.; formal analysis, B.B.; funding acquisition, M.Y. (Ming Yan); investigation, B.B. and M.Y. (Mingming Yang); methodology, B.B., M.Y. (Mingming Yang) and M.Y. (Ming Yan); project administration, M.Y. (Ming Yan); software, M.Y. (Mingming Yang); supervision, M.Y. (Ming Yan); validation, B.B.; visualization, B.B.; writing—original draft, B.B.; writing—review and editing, M.Y. (Ming Yan). All authors have read and agreed to the published version of the manuscript.
Funding
This research was funded by the National Natural Science Foundation of China, grant number 11774218.
Institutional Review Board Statement
Not applicable.
Informed Consent Statement
Not applicable.
Data Availability Statement
Not applicable.
Conflicts of Interest
The authors declare no conflict of interest.
References
- Roessler, U.K.; Bogdanov, A.N.; Pfleiderer, C. Spontaneous skyrmion ground states in magnetic metals. Nature 2006, 442, 797–801. [Google Scholar] [CrossRef] [PubMed] [Green Version]
- Muhlbauer, S. Skyrmion lattice in a chiral magnet (February, pg 915, 2009). Science 2011, 333, 1381. [Google Scholar]
- Chen, G.; Mascaraque, A.; N’Diaye, A.T.; Schmid, A.K. Room temperature skyrmion ground state stabilized through interlayer exchange coupling. Appl. Phys. Lett. 2015, 106, 242404. [Google Scholar] [CrossRef]
- Yu, X.Z.; Onose, Y.; Kanazawa, N.; Park, J.-H.; Han, J.H.; Matsui, Y.; Nagaosa, N.; Tokura, Y. Real-space observation of a two-dimensional skyrmion crystal. Nature 2010, 465, 901–904. [Google Scholar] [CrossRef]
- Legrand, W.; Maccariello, D.; Reyren, N.; Garcia, K.; Moutafis, C.; Moreau-Luchaire, C.; Collin, S.; Bouzehouane, K.; Cros, V.; Fert, A. Room-Temperature Current-Induced Generation and Motion of sub-100 nm Skyrmions. Nano Lett. 2017, 17, 2703–2712. [Google Scholar] [CrossRef] [PubMed] [Green Version]
- Di, K.; Zhang, V.L.; Lim, H.S.; Ng, S.C.; Kuok, M.H.; Yu, J.; Yoon, J.; Qiu, X.; Yang, H. Direct Observation of the Dzyaloshinskii-Moriya Interaction in a Pt/Co/Ni Film. Phys. Rev. Lett. 2015, 114, 047201. [Google Scholar] [CrossRef] [PubMed]
- Tanigaki, T.; Shibata, K.; Kanazawa, N.; Yu, X.; Onose, Y.; Park, H.S.; Shindo, D.; Tokura, Y. Real-Space Observation of Short-Period Cubic Lattice of Skyrmions in MnGe. Nano Lett. 2015, 15, 5438–5442. [Google Scholar] [CrossRef] [Green Version]
- Guslienko, K.Y. Skyrmion State Stability in Magnetic Nanodots with Perpendicular Anisotropy. IEEE Magn. Lett. 2015, 6, 1–4. [Google Scholar] [CrossRef]
- Zelent, M.; Tóbik, J.; Krawczyk, M.; Guslienko, K.Y.; Mruczkiewicz, M. Bi-Stability of Magnetic Skyrmions in Ultrathin Multilayer Nanodots Induced by Magnetostatic Interaction. Phys. Status Solidi (RRL) Rapid Res. Lett. 2017, 11, 1700259. [Google Scholar] [CrossRef] [Green Version]
- Lonsky, M.; Hoffmann, A. Dynamic excitations of chiral magnetic textures. APL Mater. 2020, 8, 100903. [Google Scholar] [CrossRef]
- Kravchuk, V.P.; Rößler, U.K.; Volkov, O.M.; Sheka, D.D.; van den Brink, J.; Makarov, D.; Fuchs, H.; Fangohr, H.; Gaididei, Y. Topologically stable magnetization states on a spherical shell: Curvature-stabilized skyrmions. Phys. Rev. B 2016, 94, 144402. [Google Scholar] [CrossRef] [Green Version]
- Schulz, T.; Ritz, R.; Bauer, A.; Halder, M.; Wagner, M.; Franz, C.; Pfleiderer, C.; Everschor-Sitte, K.; Garst, M.; Rosch, A. Emergent electrodynamics of skyrmions in a chiral magnet. Nat. Phys. 2012, 8, 301–304. [Google Scholar] [CrossRef] [Green Version]
- Yang, S.-H.; Ryu, K.-S.; Parkin, S. Domain-wall velocities of up to 750 m s−1 driven by exchange-coupling torque in synthetic antiferromagnets. Nat. Nanotechnol. 2015, 10, 221–226. [Google Scholar] [CrossRef] [PubMed]
- Kiselev, N.S.; Bogdanov, A.N.; Schäfer, R.; Rößler, U.K. Chiral skyrmions in thin magnetic films: New objects for magnetic storage technologies? J. Phys. D Appl. Phys. 2011, 44, 392001. [Google Scholar] [CrossRef] [Green Version]
- Yi-Zhou, L.; Jiadong, Z. Overview and outlook of magnetic skyrmions. Acta Phys. Sin. 2018, 67, 131201. [Google Scholar] [CrossRef]
- Jiang, W.; Zhang, X.; Yu, G.; Zhang, W.; Wang, X.; Jungfleisch, M.B.; Pearson, J.E.; Cheng, X.; Heinonen, O.; Wang, K.L.; et al. Direct observation of the skyrmion Hall effect. Nat. Phys. 2016, 13, 162–169. [Google Scholar] [CrossRef]
- Iwasaki, J.; Mochizuki, M.; Nagaosa, N. Universal current-velocity relation of skyrmion motion in chiral magnets. Nat. Commun. 2013, 4, 1463. [Google Scholar] [CrossRef]
- Wang, X.; Wang, X.; Wang, C.; Yang, H.; Cao, Y.; Yan, P. Current-induced skyrmion motion on magnetic nanotubes. J. Phys. D Appl. Phys. 2019, 52, 225001. [Google Scholar] [CrossRef] [Green Version]
- Huo, X.; Liu, Y. The stability of a skyrmion in a nanotube. New J. Phys. 2019, 21, 093024. [Google Scholar] [CrossRef]
- Fernández-Pacheco, A.; Streubel, R.; Fruchart, O.; Hertel, R.; Fischer, P.; Cowburn, R.P. Three-dimensional nanomagnetism. Nat. Commun. 2017, 8, 15756. [Google Scholar] [CrossRef] [Green Version]
- Pylypovskyi, O.V.; Kravchuk, V.P.; Sheka, D.D.; Makarov, D.; Schmidt, O.G.; Gaididei, Y. Coupling of Chiralities in Spin and Physical Spaces: The Möbius Ring as a Case Study. Phys. Rev. Lett. 2015, 114, 197204. [Google Scholar] [CrossRef] [PubMed] [Green Version]
- Vojkovic, S.; Carvalho-Santos, V.L.; Fonseca, J.M.; Nunez, A.S. Vortex-antivortex pairs induced by curvature in toroidal nanomagnets. J. Appl. Phys. 2017, 121, 113906. [Google Scholar] [CrossRef] [Green Version]
- Yang, J.; Kim, J.; Kim, B.; Cho, Y.-J.; Lee, J.-H.; Kim, S.-K. Vortex-chirality-dependent standing spin-wave modes in soft magnetic nanotubes. J. Appl. Phys. 2018, 123, 033901. [Google Scholar] [CrossRef] [Green Version]
- Volkov, O.M.; Sheka, D.D.; Gaididei, Y.; Kravchuk, V.P.; Rößler, U.K.; Fassbender, J.; Makarov, D. Mesoscale Dzyaloshinskii-Moriya interaction: Geometrical tailoring of the magnetochirality. Sci. Rep. 2018, 8, 866. [Google Scholar] [CrossRef] [Green Version]
- Volkov, O.M.; Kákay, A.; Kronast, F.; Mönch, I.; Mawass, M.-A.; Fassbender, J.; Makarov, D. Experimental Observation of Exchange-Driven Chiral Effects in Curvilinear Magnetism. Phys. Rev. Lett. 2019, 123, 077201. [Google Scholar] [CrossRef]
- Volkov, O.M.; Kronast, F.; Mönch, I.; Mawass, M.A.; Kákay, A.; Fassbender, J.; Makarov, D. Experimental and theoretical study of curvature effects in parabolic nanostripes. Phys. Status Solidi (RRL) Rapid Res. Lett. 2019, 13, 1800309. [Google Scholar] [CrossRef] [Green Version]
- Giordano, M.C.; Baumgaertl, K.; Escobar Steinvall, S.; Gay, J.; Vuichard, M.; Fontcuberta i Morral, A.; Grundler, D. Plasma-enhanced atomic layer deposition of nickel nanotubes with low resistivity and coherent magnetization dynamics for 3D spintronics. ACS Appl. Mater. Interfaces 2020, 12, 40443–40452. [Google Scholar] [CrossRef]
- Phatak, C.; Miller, C.S.; Thompson, Z.; Gulsoy, E.B.; Petford-Long, A.K. Curved Three-Dimensional Cobalt Nanohelices for Use in Domain Wall Device Applications. ACS Appl. Nano Mater. 2020, 3, 6009–6016. [Google Scholar] [CrossRef]
- Otálora, J.; López, J.; Landeros, P.; Vargas, P.; Núñez, A. Breaking of chiral symmetry in vortex domain wall propagation in ferromagnetic nanotubes. J. Magn. Magn. Mater. 2013, 341, 86–92. [Google Scholar] [CrossRef]
- Yang, M.; Yin, B.; Li, Z.; Zeng, X.; Yan, M. Magnonic activity of ferromagnetic nanocylinders. Phys. Rev. B 2021, 103, 094404. [Google Scholar] [CrossRef]
- Yan, M.; Andreas, C.; Kákay, A.; García-Sánchez, F.; Hertel, R. Chiral symmetry breaking and pair-creation mediated Walker breakdown in magnetic nanotubes. Appl. Phys. Lett. 2012, 100, 252401. [Google Scholar] [CrossRef] [Green Version]
- Otálora, J.A.; Yan, M.; Schultheiss, H.; Hertel, R.; Kákay, A. Curvature-Induced Asymmetric Spin-Wave Dispersion. Phys. Rev. Lett. 2016, 117, 227203. [Google Scholar] [CrossRef] [PubMed]
- Otálora, J.A.; Yan, M.; Schultheiss, H.; Hertel, R.; Kákay, A. Asymmetric spin-wave dispersion in ferromagnetic nanotubes induced by surface curvature. Phys. Rev. B 2017, 95, 184415. [Google Scholar] [CrossRef]
- Dastgeer, G.; Khan, M.F.; Nazir, G.; Afzal, A.M.; Aftab, S.; Akbar, K.; Chun, S.-H.; Eom, J. Surface spin accumulation due to the inverse spin Hall effect in WS 2 crystals. 2D Mater. 2018, 6, 011007. [Google Scholar] [CrossRef]
- Sharif, S.; Murtaza, G.; Khan, M.A.; Sadaf, A.; Al-Muhimeed, T.I.; Nazir, G. Tailoring the multiferroic properties of BiFeO3 by low energy ions implantation. J. Electroceram. 2021, 1–18. [Google Scholar] [CrossRef]
- Afzal, A.M.; Khan, M.F.; Nazir, G.; Dastgeer, G.; Aftab, S.; Akhtar, I.; Seo, Y.; Eom, J. Gate Modulation of the Spin-orbit Interaction in Bilayer Graphene Encapsulated by WS2 films. Sci. Rep. 2018, 8, 3412. [Google Scholar] [CrossRef]
- Khan, M.F.; Kim, H.; Nazir, G.; Jung, S.; Eom, J. Layer dependent magnetoresistance of vertical MoS2 magnetic tunnel junctions. Nanoscale 2018, 10, 16703–16710. [Google Scholar] [CrossRef]
- Vansteenkiste, A.; Leliaert, J.; Dvornik, M.; Helsen, M.; Garcia-Sanchez, F.; Van Waeyenberge, B. The design and verification of MuMax3. AIP Adv. 2014, 4, 107133. [Google Scholar] [CrossRef] [Green Version]
- Vansteenkiste, A.; Van de Wiele, B. MuMax: A new high-performance micromagnetic simulation tool. J. Magn. Magn. Mater. 2011, 323, 2585–2591. [Google Scholar] [CrossRef] [Green Version]
- Zhang, S.; Li, Z. Roles of Nonequilibrium Conduction Electrons on the Magnetization Dynamics of Ferromagnets. Phys. Rev. Lett. 2004, 93, 127204. [Google Scholar] [CrossRef] [Green Version]
- Gilbert, T.L. A Lagrangian formulation of the gyromagnetic equation of the magnetization field. Phys. Rev. 1955, 100, 1243. [Google Scholar]
- Miltat, J.E.; Donahue, M.J. Numerical micromagnetics: Finite difference methods. Handb. Magn. Adv. Magn. Mater. 2007, 2, 742–764. [Google Scholar]
- Sampaio, J.; Cros, V.; Rohart, S.; Thiaville, A.; Fert, A. Nucleation, stability and current-induced motion of isolated magnetic skyrmions in nanostructures. Nat. Nanotechnol. 2013, 8, 839–844. [Google Scholar] [CrossRef] [PubMed]
- Valentin, J.; Kleinefeld, T.; Weller, D. Micromagnetic analysis of magnetization reversal in CoPt alloy films. J. Phys. D Appl. Phys. 1996, 29, 1111. [Google Scholar] [CrossRef]
- Kleinefeld, T.; Valentin, J.; Weller, D. Micromagnetic properties and domain dynamics of CoPt thin films. J. Magn. Magn. Mater. 1995, 148, 249–250. [Google Scholar] [CrossRef]
- Xie, K.; Sang, H. Three layers of skyrmions in the magnetic triple-layer structure without the Dzyaloshinsky-Moriya interaction. J. Appl. Phys. 2014, 116, 223901. [Google Scholar] [CrossRef]
- Nagaosa, N.; Tokura, Y. Topological properties and dynamics of magnetic skyrmions. Nat. Nanotechnol. 2013, 8, 899–911. [Google Scholar] [CrossRef]
- Stone, M. Magnus force on skyrmions in ferromagnets and quantum Hall systems. Phys. Rev. B 1996, 53, 16573. [Google Scholar] [CrossRef] [Green Version]
- Iwasaki, J.; Mochizuki, M.; Nagaosa, N. Current-induced skyrmion dynamics in constricted geometries. Nat. Nanotechnol. 2013, 8, 742–747. [Google Scholar] [CrossRef] [Green Version]
- Jiang, W.; Zhang, S.; Wang, X.; Phatak, C.; Wang, Q.; Zhang, W.; Jungfleisch, M.B.; Pearson, J.E.; Liu, Y.; Zang, J.; et al. Quantifying chiral exchange interaction for Néel-type skyrmions via Lorentz transmission electron microscopy. Phys. Rev. B 2019, 99, 104402. [Google Scholar] [CrossRef] [Green Version]
- Thiele, A.A. Steady-State Motion of Magnetic Domains. Phys. Rev. Lett. 1973, 30, 230–233. [Google Scholar] [CrossRef]
- Yang, J.; Kim, J.; Abert, C.; Suess, D.; Kim, S.-K. Stability of skyrmion formation and its abnormal dynamic modes in magnetic nanotubes. Phys. Rev. B 2020, 102, 094439. [Google Scholar] [CrossRef]
- Tomasello, R.; Martinez, E.; Zivieri, R.; Torres, L.; Carpentieri, M.; Finocchio, G. A strategy for the design of skyrmion racetrack memories. Sci. Rep. 2014, 4, 6784. [Google Scholar] [CrossRef] [PubMed] [Green Version]
- Yoo, M.-W.; Cros, V.; Kim, J.-V. Current-driven skyrmion expulsion from magnetic nanostrips. Phys. Rev. B 2017, 95, 184423. [Google Scholar] [CrossRef] [Green Version]
Publisher’s Note: MDPI stays neutral with regard to jurisdictional claims in published maps and institutional affiliations. |
© 2022 by the authors. Licensee MDPI, Basel, Switzerland. This article is an open access article distributed under the terms and conditions of the Creative Commons Attribution (CC BY) license (https://creativecommons.org/licenses/by/4.0/).





