Characteristic Analysis of the Outer Sheath Circulating Current in a Single-Core AC Submarine Cable System
Abstract
:1. Introduction
2. Magnetic Field Analysis of Single-Core AC Submarine Cable
2.1. Structure of Single-Core AC Submarine Cable
2.2. Magnetic Field Analysis of Single-Core AC Submarine Cable under Different Outer Sheath Grounding Methods
2.2.1. Single-End Grounding of the Outer Sheath
2.2.2. Both-End Grounding of the Outer Sheath
3. Characteristic Analysis of Outer Sheath Circulating Current in Single-Core AC Submarine Cable System
3.1. Shielding Transmission Impedance of Single-Core Submarine Cable
3.2. Shielding Transmission Impedance Characteristic of Single-Core Submarine Cable
4. Circulating Current Analysis of Sheath and Armoring under the Different Material Characteristic Conditions by Simulation
4.1. Circulating Current of the Sheath and Armoring under the Different Magnetic Conductivity Conditions
4.2. Circulating Current of Sheath and Armoring under Different Resistivity Conditions
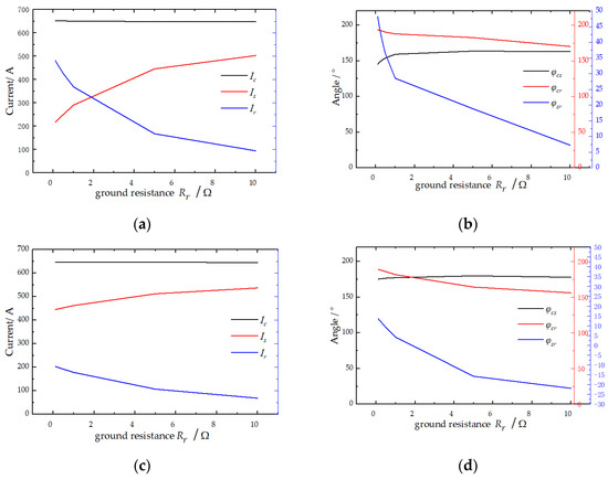
4.3. Circulating Current of Sheath and Armoring under Different Ground Resistance Conditions
5. Engineering Case Analysis
6. Conclusions
- The outer sheaths of a single-core AC submarine cable have different electromagnetic characteristics under the two grounding forms. We clearly explained the formation mechanism for the circulating current of the outer sheath. The outer sheaths are grounded through both ends, which exhibits a shielding effect whereby the magnetic field direction generated by the circulating current of the outer sheath is opposite to the magnetic field direction generated by the conductor current in the single-core AC submarine cable.
- A detailed equivalent circuit model of a single-core AC submarine cable was presented to facilitate the analysis of the circulating current of the outer sheaths. The impedance matrix was proposed from three coaxial circuit equations, and the phase difference determining the material properties of each metallic section was proposed.
- We proved by numerical simulation, simulation calculation, and field verification that influence factors such as permeability, resistivity, and ground resistance of the outer sheath layers will affect the symmetrical distribution of the circulating current of the outer sheath. The distribution of the circulating current on the outer sheath is negatively correlated with permeability, resistivity, and ground resistance. The results must be considered in the stage of submarine cable design and selection.
Author Contributions
Funding
Institutional Review Board Statement
Informed Consent Statement
Data Availability Statement
Conflicts of Interest
References
- Soares-Ramos, E.P.; Assis, L.D.O.; Sarrias-Mena, R.; Fernández-Ramírez, L.M. Current status and future trends of offshore wind power in Europe. Energy 2020, 202, 117787. [Google Scholar] [CrossRef]
- Taormina, B.; Bald, J.; Want, A.; Thouzeau, G.; Lejart, M.; Desroy, N.; Carlier, A. A review of potential impacts of submarine power cables on the marine environment: Knowledge gaps, recommendations and future directions. Renew. Sustain. Energy Rev. 2018, 96, 380–391. [Google Scholar] [CrossRef]
- Worzyk, T. Submarine Power Cables: Design, Installation, Repair, Environmental Aspects; Springer: New York, NY, USA, 2009; Volume 1, pp. 10–48. [Google Scholar] [CrossRef]
- Bianchi, G.; Luoni, G. Induced currents and losses in single-core submarine cables. IEEE Trans. Power Appar. Syst. 1976, 95, 49–58. [Google Scholar] [CrossRef]
- 575-1988; An American National Standard IEEE guide for the Application of Sheath-Bonding Methods for Single-Conductor Cables and The Calculation of Induced Voltages and Cur-Rents in Cable Sheaths. ANSI: New York, NY, USA; IEEE: Piscataway, NJ, USA, 1987. [CrossRef]
- IEC 60287-1-1; International Electrotechnical Commission. Electric Cables—Calculation of the Current Rating—Part 1-1: Current Rating Equations (100% Load Factor) and Calculation of Losses. HIS: Geneva, Switzerland, 2006.
- IEC 60287-2-1; International Electrotechnical Commission. Electric Cables—Calculation of the Current Rating—Part 2-1: Thermal Resistance—Calculation of Thermal Resistance. HIS: Geneva, Switzerland, 2006.
- IEC 60287-3-1; International Electrotechnical Commission. Electric Cables—Calculation of the Current Rating—Part 3-1: Sections on Operating Conditions—Reference Operating Conditions and Selection of Cable Type. HIS: Geneva, Switzerland, 1999.
- Barrett, J.; Anders, G. Circulating current and hysteresis losses in screens, sheaths and armor of electric power cables-mathematical models and comparison with IEC Standard 287. IEE Proc. Sci. Meas. Technol. 1997, 144, 101–110. [Google Scholar] [CrossRef]
- Fan, Y.; Liu, S.; Deng, X. Study on the ampacity of single-core submarine power cable with return conductor. In Proceedings of the IOP Conference Series: Materials Science and Engineering, Changsha, China, 19–21 April 2019; Volume 563. [Google Scholar] [CrossRef]
- Wagenaars, P.; Wouters, P.A.F.; Van Der Wielen, P.J.M.; Steennis, E. Approximation of transmission line parameters of single-core and three-core XLPE cables. IEEE Trans. Dielectr. Electr. Insul. 2010, 17, 106–115. [Google Scholar] [CrossRef] [Green Version]
- Wagenaars, P.; Steennis, E.; Wouters, P.; van der Wielen, P. Measurement of transmission line parameters of three-core power cables with common earth screen. IET Sci. Meas. Technol. 2009, 4, 146–155. [Google Scholar] [CrossRef] [Green Version]
- Shaban, M.; Salam, M.; Ang, S.; Voon, W. Induced sheath voltage in power cables: A review. Renew. Sustain. Energy Rev. 2016, 62, 1236–1251. [Google Scholar] [CrossRef]
- Schelkunoff, S.A. The Electromagnetic Theory of Coaxial Transmission Lines and Cylindrical Shields. Bell Syst. Tech. J. 1934, 13, 532–579. [Google Scholar] [CrossRef]
- Wang, X.H.; Song, Y.H.; Jung, C.K. Tackling sheath problems: Latest research developments in solving operational sheath problems in underground power transmission cables. Electr. Power Syst. Res. 2007, 77, 1449–1457. [Google Scholar] [CrossRef]
- Liu, G.; Fan, M.; Wang, P.; Zheng, M. Study on Reactive Power Compensation Strategies for Long Distance Submarine Cables Considering Electrothermal Coordination. J. Mar. Sci. Eng. 2021, 9, 90. [Google Scholar] [CrossRef]
- Candela, R.; Gattuso, A.; Mitolo, M.; Sanseverino, E.R.; Zizzo, G. Model for Assessing the Magnitude and Distribution of Sheath Currents in Medium and High Voltage Cable Lines. IEEE Trans. Ind. Appl. 2020, 56, 6250–6257. [Google Scholar] [CrossRef]
- Papazyan, R.; Pettersson, P.; Edin, H.; Eriksson, R.; Gafvert, U. Extraction of high frequency power cable characteristics from S-parameter measurements. IEEE Trans. Dielectr. Electr. Insul. 2004, 11, 261–270. [Google Scholar] [CrossRef]
- De Wulf, M.; Wouters, P.; Sergeant, P.; Dupré, L.; Hoferlin, E.; Jacobs, S.; Harlet, P. Electromagnetic shielding of high-voltage cables. J. Magn. Magn. Mater. 2007, 316, 908–911. [Google Scholar] [CrossRef]
- Bremnes, J.; Evenset, G.; Ronny, S. Power Loss and Inductance of Steel Armoured Multi-Core Cables: Comparison of IEC Values with ‘2.5D’ FEA Results and Measurements; paper B1_116; CIGRÉ: Paris, France, 2010. [Google Scholar]
- Clayton, R.P. Analysis of Multiconductor Transmission Lines, 2nd ed.; John Wiley & Sons, Inc.: Hoboken, NJ, USA, 2008; pp. 89–109. [Google Scholar]
- Wedepohl, L.; Wilcox, D. Transient analysis of underground power-transmission systems: System-model and wave-propagation characteristics. Proc. IEE 1973, 120, 252–259. [Google Scholar] [CrossRef]
- Gu, J.; Liu, Z. TOPSIS-Based Algorithm for Resilience Indices Construction and the Evaluation of an Electrical Power Transmission Network. Symmetry 2022, 14, 985. [Google Scholar] [CrossRef]
- Yang, Z. The Procurement Technical Agreement of 220 kV Single-Core Submarine Cable in the 300 MW Offshore Wind Power Project; Zhong-tian Technology Group Co., Ltd.: Nanjing, China, 2016. [Google Scholar]













| No | Structure | Thickness | Nominal Outside Diameter | Material Property | Volume Resistivity |
|---|---|---|---|---|---|
| 1 | Conductor | 17.1 mm | Copper | 1.7241 × 10−8 Ω·m | |
| 2 | Conductive package | 2 × 0.25 mm | 17.6 mm | Semiconducting polyethylene (PE) | <1000 Ω·m |
| 3 | Conductor shielding | 1.5 mm | 19.1 mm | Semiconducting PE | <1000 Ω·m |
| 4 | Insulation | 25 mm | 44.1 mm | Cross-Linked Polyethylene | |
| 5 | Insulative shielding | 1.2 mm | 45.3 mm | Semiconducting PE | <500 Ω·m |
| 6 | Aquiclude layer | 2 × 0.5 mm | 46.3 mm | Semiconducting PE | <500 Ω·m |
| 7 | Sheath | 3.9 mm | 50.2 mm | Lead alloy | 2.14 × 10−7 Ω·m |
| 8 | Sheath outer layer | 3.4 mm | 53.6 mm | Semiconducting PE | <1000 Ω·m |
| 9 | Packing layer | 5.0 ± 0.5 mm | 58.6 mm | - | - |
| 10 | Optical fiber unit | - | - | - | - |
| 11 | Armoring cushion layer | 1.5 ± 0.2 mm | 60.1 | Poly propylene | - |
| 12 | Armoring | (66 ± 2) × Φ6.0 mm | 66.1 mm | Galvanized steel wire | 1.38 × 10−7 Ω·m |
| 13 | PP outer serving | 4.0 ± 0.5 mm | 70.1 mm | Poly propylene | - |
| 14 | Armoring | 6 × Φ6.0 mm | - | Copper | 1.7241 × 10−8 Ω·m |
| Section of Submarine Cable | Length of the Route | Structure of Submarine Cable |
|---|---|---|
| I | 30 m | Figure 1a, Table 1 |
| II | 300 m | Figure 1a, Table 1 |
| III | 20 km | Figure 1a, Table 1 |
| IV | 300 m | Figure 1a, Table 1 |
| V | 100 m | Figure 1b, Table 1 |
| I | 30 m | Figure 1a, Table 1 |
Publisher’s Note: MDPI stays neutral with regard to jurisdictional claims in published maps and institutional affiliations. |
© 2022 by the authors. Licensee MDPI, Basel, Switzerland. This article is an open access article distributed under the terms and conditions of the Creative Commons Attribution (CC BY) license (https://creativecommons.org/licenses/by/4.0/).
Share and Cite
Li, P.; Guo, P. Characteristic Analysis of the Outer Sheath Circulating Current in a Single-Core AC Submarine Cable System. Symmetry 2022, 14, 1088. https://doi.org/10.3390/sym14061088
Li P, Guo P. Characteristic Analysis of the Outer Sheath Circulating Current in a Single-Core AC Submarine Cable System. Symmetry. 2022; 14(6):1088. https://doi.org/10.3390/sym14061088
Chicago/Turabian StyleLi, Peng, and Pengcheng Guo. 2022. "Characteristic Analysis of the Outer Sheath Circulating Current in a Single-Core AC Submarine Cable System" Symmetry 14, no. 6: 1088. https://doi.org/10.3390/sym14061088
APA StyleLi, P., & Guo, P. (2022). Characteristic Analysis of the Outer Sheath Circulating Current in a Single-Core AC Submarine Cable System. Symmetry, 14(6), 1088. https://doi.org/10.3390/sym14061088

