Solutions of 2-D Bratu Equations Using Lie Group Method
Abstract
1. Introduction
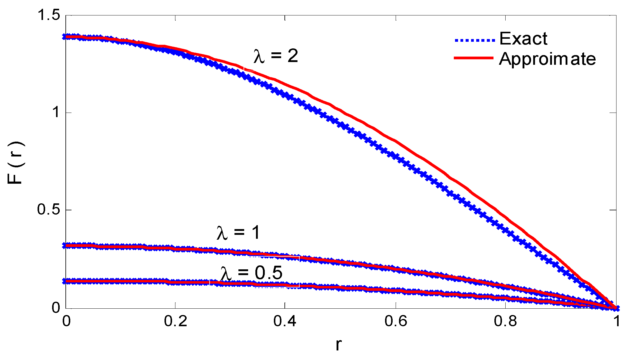
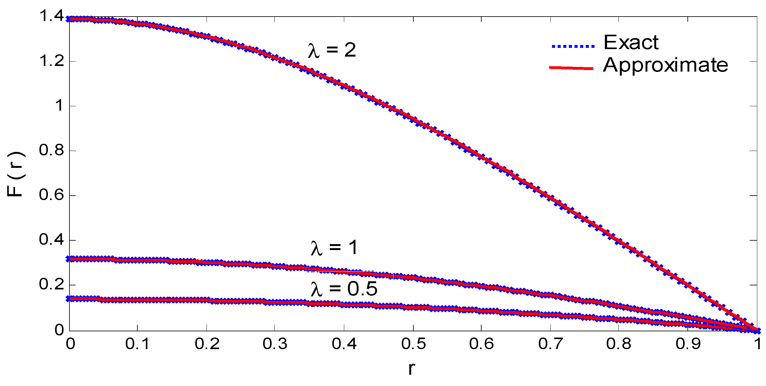
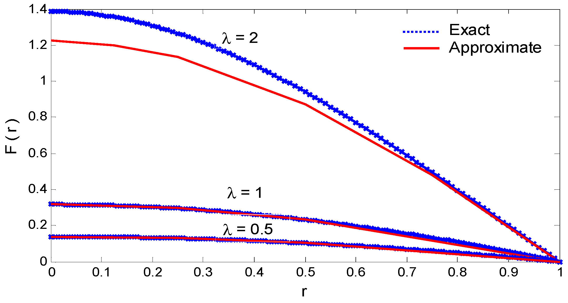
2. Lie Symmetry Group Method
3. Conclusions
Author Contributions
Funding
Data Availability Statement
Acknowledgments
Conflicts of Interest
References
- Gelfand, I.M. Some problems in the theory of quasi-linear equations. Usp. Mat. Nauk 1959, 14, 87–158. [Google Scholar]
- Wan, Y.Q.; Guo, Q.; Pan, N. Thermo-electro-hydrodynamic model for electro spinning process. Int. J. Nonlinear Sci. Numer. Simul. 2004, 5, 5–8. [Google Scholar] [CrossRef]
- Jacobsen, J.; Schmitt, K. The Liouville-Bratu-Gelfand problem for radial operators. J. Differ. Equ. 2002, 184, 283–289. [Google Scholar] [CrossRef]
- Gordon, P.V.; Ko, E.; Shivaji, R. Multiplicity and uniqueness of positive solutions for elliptic equations with nonlinear boundary conditions arising in a theory of thermal explosion. Nonlinear Anal. Real World Appl. 2014, 15, 51–57. [Google Scholar] [CrossRef]
- Khuri, S.A.; Wazwaz, A.M. A variational approach to a BVP arising in the modelling of electrically conducting solids. Cent. Eur. J. Eng. 2013, 3, 106–112. [Google Scholar] [CrossRef]
- Bratu, G. Sur les equations integrals non-lineaires. Bull. Soc. Math. France 1914, 42, 113–142. [Google Scholar] [CrossRef]
- Chandrasekhar, S. An Introduction to the Study of Stellar Structure; Dover Publications Inc.: New York, NY, USA, 1967. [Google Scholar]
- Adomian, G.A. Review of the Decomposition Method in Applied Mathematics. J. Math. Anal. Appl. 1988, 135, 501–544. [Google Scholar] [CrossRef]
- Boyd, J.P. An analytical and numerical study of the two-dimensional Bratu equation. J. Sci. Comput. 1986, 1, 183–206. [Google Scholar] [CrossRef]
- Kapania, R.K. A pseudo-spectral solution of 2-parameter Bratu equation. Comput. Mech. 1990, 6, 55–63. [Google Scholar] [CrossRef]
- Misirli, E.; Gurefe, Y. Exp-function method for solving nonlinear evolution equations. Math. Comput. Appl. 2011, 16, 258–266. [Google Scholar] [CrossRef]
- Bebernes, J.; Eberly, D. Mathematical Problems from Combustion Theory; Springer: New York, NY, USA, 1989; pp. 6–8. [Google Scholar]
- Agheli, B. Approximate solution of Bratu differential equation using trigonometric basic functions. Kragujev. J. Math. 2021, 45, 203–214. [Google Scholar] [CrossRef]
- Wazwaz, A.M. Adomian decomposition method for a reliable treatment of the Bratu-type equations. Appl. Math. Comput. 2005, 166, 652–663. [Google Scholar] [CrossRef]
- Abbasbandy, S.; Shivanian, E. Prediction of multiplicity of solutions of nonlinear boundary value problems: Novel application of homotopy analysis method. Commun. Nonlinear Sci. Numer. Simul. 2010, 15, 3830–3846. [Google Scholar] [CrossRef]
- Khuri, S.A. A new approach to Bratu’s problem. Appl. Math. Comput. 2004, 147, 131–136. [Google Scholar] [CrossRef]
- Jalilian, R. Non-polynomial spline method for solving Bratu’s problem. Comput. Phys. Commun. 2010, 181, 1868–1872. [Google Scholar] [CrossRef]
- Boyd, J.P. One-point pseudo spectral collocation for one-dimensional Bratu equation. Appl. Math. Comput. 2011, 217, 5553–5565. [Google Scholar] [CrossRef]
- Abbasbandy, S.; Hashemi, M.S.; Liu, C.S. The Lie group shooting method for solving the Bratu equation. Commun. Nonlinear Sci. Numer. Simul. 2011, 16, 4238–4249. [Google Scholar] [CrossRef]
- Mohsen, A. On the integral solution of the one-dimensional Bratu problem. J. Comput. Appl. Math. 2013, 251, 61–66. [Google Scholar] [CrossRef]
- Raja MA, Z.; Ahmed, S.I.; Samar, R. Neural network optimized with computing technique for solving the 2-dimensional Bratu problem. Neural Comput. Appl. 2013, 23, 2199–2210. [Google Scholar] [CrossRef]
- Buckmire, R. Application of a Mickens Finite-Difference Scheme to the Cylindrical Bratu–Gelfand Problem. Numer. Methods Partial. Differ. Equ. 2004, 20, 327–337. [Google Scholar] [CrossRef]
- Zis¸, T.O.; Yildirim, A. Comparison between adomian’s method and He’s homotopy perturbation method. Comput. Math. Appl. 2008, 56, 1216–1224. [Google Scholar]
- Aregbesola, Y.A.S. Numerical solution of Bratu problem using the method of weighted residual. Electron. J. S. Afr. Math. Sci. Assoc. 2003, 3, 1–7. [Google Scholar]
- Olver, P.J. Application of Lie Group to Differential Equations; Springer: Berlin/Heidelberg, Germany, 1986. [Google Scholar]
- Ovsiannikov, L.V. Group Analysis of Differential Equations; Academic Press: Cambridge, MA, USA, 1982. [Google Scholar]
- Hydon, P.E. Symmetry Methods for Differential Equations; Cambridge University Press: Cambridge, UK, 2000. [Google Scholar]
- Bluman, G.B.; Kumei, S. Symmetries and Differential Equation; Springer: Berlin/Heidelberg, Germany, 1989. [Google Scholar]
- Ibragimove, N.H. Handbook of Lie Group Analysis of Differential Equations; CRC Press: Boca Raton, FL, USA, 1994; Volume 1. [Google Scholar]
- Hill, J.M. Differential Equations and Group Methods for Scientists and Engineers; CRC Press: Boca Raton, FL, USA, 1992. [Google Scholar]
- Bluman, G.W.; Cheviakov, A.F.; Anco, S.C. Applications of Symmetry Methods to Partial Differential Equations; Springer: New York, NY, USA, 2010. [Google Scholar]
- Naderifard AHejazi, S.R.; Dastranj, E. Symmetry properties, conservation law and exact solutions of time- fractional irrigation equation. Waves Random Complex Media 2019, 29, 178–194. [Google Scholar] [CrossRef]
- Rashidi, S.; Hejazi, S. Lie symmetry approach for The Vlasov-Maxwell system of equations. J. Geom. Phys. 2018, 132, 1–12. [Google Scholar] [CrossRef]
- Rashidi, S.; Hejazi, S.; Mohammadizadeh, F. Group formalism of Lie transformations, conversation laws, exact and numerical solutions of nonlinear time-fractional Black-Scholes equation. J. Comput. Appl. Math. 2022, 403, 113863. [Google Scholar] [CrossRef]
- Hejazi, S.; Saberi, E.; Mohammadizadeh, F. Anisotropic nonlinear time-fractional diffusion equation with a source term: Classification via Lie point symmetries, analytic solutions and numerical solution. Appl. Math. Comput. 2021, 391, 125652. [Google Scholar] [CrossRef]
- Hejazi, S.; Naderifard, A. Dym equation: Group analysis and conservation laws. AUT J. Math. Comput. 2022, 3, 17–26. [Google Scholar]
- Hatami, M.; Ganiji, D.D.; Sheikholeslami, M. Differential Transformation Method for Mechanical Engineering Problems; Academic Press: Cambridge, MA, USA, 2016. [Google Scholar]
- Zhou, J.K. Differential Transformation and Its Applications for Electrical Circuits; Huazhong University Press: Wuhan, China, 1986. [Google Scholar]








| No | Original Function | Transformed Function |
|---|---|---|
| 1 | ||
| 2 | ||
| 3 | ||
| 4 | ||
| 5 |
| 1 | |
| 2 | f(3) = 0 |
| 3 | |
| 4 | f(5) = 0 |
| 5 | |
| 6 | f(7) = 0 |
| 7 |
Publisher’s Note: MDPI stays neutral with regard to jurisdictional claims in published maps and institutional affiliations. |
© 2022 by the authors. Licensee MDPI, Basel, Switzerland. This article is an open access article distributed under the terms and conditions of the Creative Commons Attribution (CC BY) license (https://creativecommons.org/licenses/by/4.0/).
Share and Cite
Abd-el-Malek, M.B.; Amin, A.M.; Mahmoud, M.E. Solutions of 2-D Bratu Equations Using Lie Group Method. Symmetry 2022, 14, 2635. https://doi.org/10.3390/sym14122635
Abd-el-Malek MB, Amin AM, Mahmoud ME. Solutions of 2-D Bratu Equations Using Lie Group Method. Symmetry. 2022; 14(12):2635. https://doi.org/10.3390/sym14122635
Chicago/Turabian StyleAbd-el-Malek, Mina B., Amr M. Amin, and Mahmoud E. Mahmoud. 2022. "Solutions of 2-D Bratu Equations Using Lie Group Method" Symmetry 14, no. 12: 2635. https://doi.org/10.3390/sym14122635
APA StyleAbd-el-Malek, M. B., Amin, A. M., & Mahmoud, M. E. (2022). Solutions of 2-D Bratu Equations Using Lie Group Method. Symmetry, 14(12), 2635. https://doi.org/10.3390/sym14122635
