Singly Resonant Multiphoton Processes Involving Autoionizing States in the Be-like CIII Ion
Abstract
1. Introduction
2. One-Photon Ionization of the Excited 2pns 1Po States in Be-like C III Ion
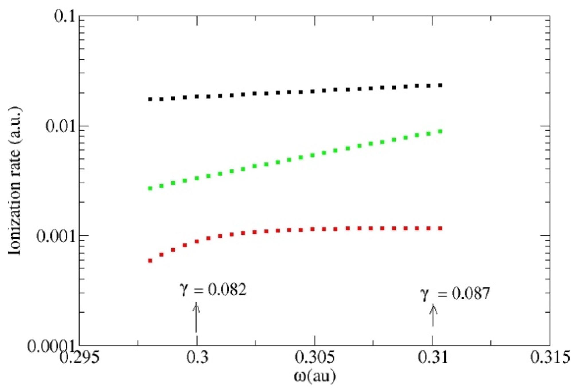
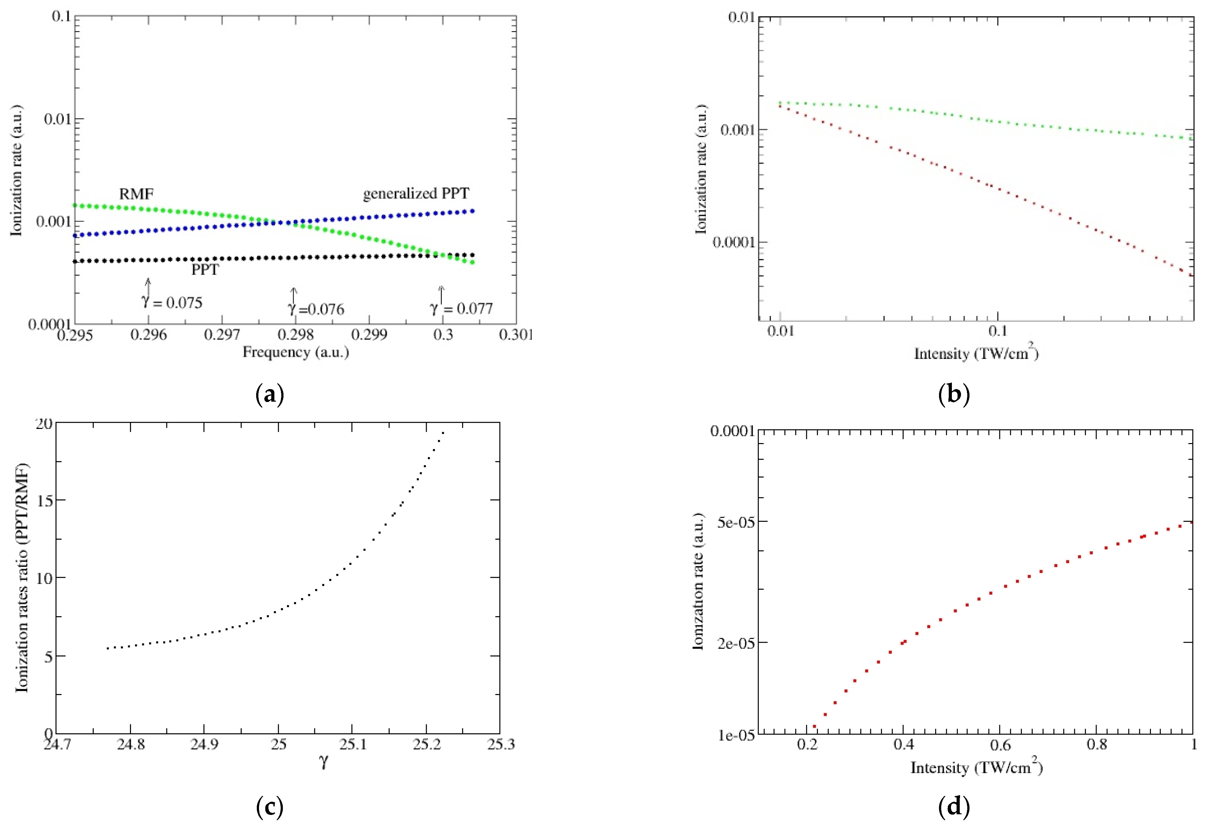
3. Strong Field Ionization Rates
4. Discussion
Funding
Data Availability Statement
Conflicts of Interest
References
- Gavrila, M. (Ed.) Atoms in Intense Laser Fields; Academic Press: New York, NY, USA, 1992. [Google Scholar]
- Protopapas, M.; Kietel, C.H.; Knight, P.L. Atomic physics with super-high intensity lasers. Rep. Progr. Phys. 1997, 60, 389–486. [Google Scholar] [CrossRef]
- Lambropoulos, P.; Zoller, P. Autoionizing states in strong laser fields. Phys. Rev. A 1981, 24, 379–397. [Google Scholar] [CrossRef]
- Rzazewski, K.; Eberly, J.H. Confluence of Bound-Free Coherences in Laser-Induced Autoionization. Phys. Rev. Lett. 1981, 47, 408. [Google Scholar] [CrossRef]
- Watson, J.B.; Sanpera, A.; Lappas, D.G.; Burnett, K.H.; Knight, P.L. Nonsequential Double Ionization of Helium. Phys. Rev. Lett. 1997, 78, 1884–1888. [Google Scholar] [CrossRef]
- Chu, S.-I. Recent Developments in Semiclassical Floquet Theories for Intense-Field Multiphoton Processes. Adv. At. Mol. Phys. 1985, 21, 197–253. [Google Scholar]
- Laarmann, T.; de Castro, A.R.B.; Gürtler, P.; Laasch, W.; Schulz, J.; Wabnitz, H.; Möller, T. Interaction of argon clusters with high intense VUV -laser radiation: The role of electronic structure in the energy-deposition process. Phys. Rev. Lett. 2004, 92, 143401. [Google Scholar] [CrossRef]
- Moshammer, R.; Jiang, Y.; Foucar, L.; Rudenko, A.; Ergler, T.; Schröter, C.D.; Lüdemann, S.; Zrost, K.; Fischer, D.; Titze, J.; et al. Few-photon multiple ionization of Ne and Ar by strong free-electron -laser-pulses. Phys. Rev. Lett. 2007, 98, 203001. [Google Scholar] [CrossRef]
- Sansone, G.; Benedetti, E.; Calegari, F.; Vozzi, C.; Avaldi, L.; Flammini, R.; Poletto, L.; Villoresi, P.; Altucci, C.; Velotta, R.; et al. Isolated single-cycle attoseconde pulses. Science 2006, 314, 443–446. [Google Scholar] [CrossRef]
- Krausz, F.; Ivanov, M. Attosecond physics. Rev. Mod. Phys. 2009, 81, 163–234. [Google Scholar] [CrossRef]
- Fushitani, M. Applications of pump-probe spectroscopy. Annu. Rep. Sect. C 2008, 104, 272–297. [Google Scholar] [CrossRef]
- Fano, U. Effects of Configuration Interaction on Intensities and Phase Shifts. Phys. Rev. 1961, 124, 1866. [Google Scholar] [CrossRef]
- Chen, S.; Wu, M.; Gaarde, M.B.; Schafer, K.J. Quantum interference in attosecond transient absorption of laser-dressed helium atoms. Phys. Rev. A 2013, 87, 033408. [Google Scholar] [CrossRef]
- Chen, S.; Wu, M.; Gaarde, M.B.; Schafer, K.J. Laser-imposed phase in resonant absorption of an isolated attosecond pulse. Phys. Rev. A 2013, 88, 033409. [Google Scholar] [CrossRef]
- Chen, S.; Bell, M.J.; Beck, A.R.; Mashiko, H.; Wu, M.; Pfeiffer, A.N.; Gaarde, M.B.; Neumark, D.M.; Leone, S.R.; Schafer, K.J. Light-induced states in attosecond transient absorption spectra of laser-dressed helium. Phys. Rev. A 2012, 86, 063408. [Google Scholar] [CrossRef]
- Artemyev, A.N.; Cederbaum, L.S.; Demekhin, P.V. Impact of intense laser pulses on the autoionization dynamics of the 2s2p doubly excited state of He. Phys. Rev. A 2017, 96, 033410. [Google Scholar] [CrossRef]
- Artemyev, A.N.; Muller, A.D.; Hochstuhl, D.; Cederbaum, L.S.; Demekhin, P.V. Dynamic interference in the photoionization of He by coherent intense high-frequency laser pulses: Direct propagation of the two-electron wave packets on large spatial grids. Phys. Rev. A 2016, 93, 043418. [Google Scholar] [CrossRef]
- Henneberger, W.C. Perturbation method for atoms in intense light beams. Phys. Rev. Lett. 1968, 21, 838–841. [Google Scholar] [CrossRef]
- Burke, P.G.; Francken, P.; Joachain, C.J. R-matrix Floquet theory of multiphoton processes. J. Phys. B At. Mol. Opt. Phys. 1991, 24, 761–790. [Google Scholar] [CrossRef]
- Purvis, J.; Dörr, M.; Terao-Dunseath, M.; Joachain, C.J.; Burke, P.G.; Noble, C.J. Multiphoton ionization of H- and He in intense laser fields. Phys. Rev. Lett. 1993, 71, 3943–3947. [Google Scholar] [CrossRef] [PubMed]
- Dörr, M.; Purvis, J.; Terao-Dunseath, M.; Burke, P.G.; Noble, C.J. R-matrix Floquet theory of multiphoton processes. V. Multiphoton detachment of the negative hydrogen ion. J. Phys. B At. Mol. Opt. Phys. 1995, 28, 4481–4500. [Google Scholar] [CrossRef]
- Fearnside, A.S. Intensity dependence of resonances profiles in multiphoton partial detachment rates of H−. J. Phys. B At. Mol. Opt. Phys. 1998, 31, 275–288. [Google Scholar] [CrossRef]
- Latinne, O.; Klistra, N.J.; Dörr, M.; Purvis, J.; Terao-Dunsheath, M.; Joachain, C.J.; Burke, P.G.; Noble, C.J. Laser-Induced Degeneracies Involving Autoionizing States in Complex Atoms. Phys. Rev. Lett. 1995, 74, 46–49. [Google Scholar] [CrossRef] [PubMed]
- Stancalie, V. 1s22pns(1Po) autoionizing levels in Be-like Al and C ions. Phys. Plasmas 2005, 12, 043301. [Google Scholar] [CrossRef]
- Stancalie, V. Complements to nonperturbative treatment of radiative damping effect in dielectronic recombination: Δn = 2 transition in C IV. Phys. Plasmas 2005, 12, 100705. [Google Scholar] [CrossRef]
- Rothhardt, J.; Bilal, M.; Beerwerth, R.; Volotka, A.V.; Hilbert, V.; Sttohlker, T.; Fritzsche, S.; Limpert, J. Ultrashort-lived Excited States in Be-like ions. X-ray Spectrom. 2019, 49, 165–168. [Google Scholar] [CrossRef]
- Hibbert, A. CIV3-A general program to calculate configuration interaction wave functions and electric-dipole oscillator strengths. Comput. Phys. Commun. 1975, 9, 141–172. [Google Scholar] [CrossRef]
- Burke, V.M. A new method for calculating angular integrals in electron-atom scattering. Comput. Phys. Commun. 1998, 114, 210–224. [Google Scholar] [CrossRef]
- Berrington, K.A.; Eissner, W.B.; Norrington, P.H. RMATRXI: Belfast atomic R-matrix codes. Comput. Phys. Commun. 1995, 92, 290–420. [Google Scholar] [CrossRef]
- Stancalie, V. State selective photo-recombination cross sections in Be-like C and Al ions. Eur. Phys. J. D 2013, 67, 223. [Google Scholar] [CrossRef]
- Stancalie, V. Photoionization dynamics of C2+ ion in Rydberg states. Eur. Phys. J. D 2014, 68, 349. [Google Scholar] [CrossRef]
- Pont, M.; Gavrila, M. Stabilization of atomic hydrogen in superintense, high-frequency laser fields of circular polarization. Phys. Rev. Lett. 1990, 65, 2362–2365. [Google Scholar] [CrossRef] [PubMed]
- Gavrila, M.; Kaminski, J.Z. Free-free transitions in intense high-frequency laser fields. Phys. Rev. Lett. 1984, 52, 614–616. [Google Scholar] [CrossRef]
- Keldysh, L.V. Ionization in the field of a strong electromagnetic wave. Sov. Phys. JETP 1964, 47, 1945. [Google Scholar]
- Landau, L.; Lifchitz, E. Mécanique Quantique, Théorie Non Relativiste, 2nd ed.; Èditions Mir: Moscow, Russia, 1967; pp. 319–327. [Google Scholar]
- Ammosov, M.V.; Delone, N.B.; Krainov, V.P. Tunnel ionization of complex atoms and of atomic ions in an alternating electromagnetic field. Zh. Eksp. Teor. Fiz. 1986, 64, 1191–1194. [Google Scholar]
- Ilkov, F.A.; Decker, J.E.; Chin, S.L. Ionization of atoms in the tunneling regime with experimental evidence using Hg atoms. J. Phys. B At. Mol. Opt. Phys. 1992, 25, 4005–4020. [Google Scholar] [CrossRef]
- Perelomov, A.M.; Popov, V.S.; Terent’ev, M.V. Ionization of atoms in alternating electric field I. Sov. Phys. JETP 1966, 23, 924–934. [Google Scholar]
- Perelomov, A.M.; Popov, V.S. Ionization of atoms in alternating electric field III. Sov. Phys. JETP 1967, 25, 336–343. [Google Scholar]
- Zheltikov, A.M. Keldysh parameter, photoionization adiabaticity, and the tunneling time. Phys. Rev. A 2016, 94, 043412. [Google Scholar] [CrossRef]
- Faisal, F.H.M. Multiple absortion of laser photons by atoms. J. Phys. B At. Mol. Phys. 1973, 6, L89–L92. [Google Scholar] [CrossRef]
- Reiss, H.R. Effect of an intense electromagnetic field on a weakly bound system. Phys. Rev. A 1980, 22, 1786–1813. [Google Scholar] [CrossRef]
- Krainov, V.P. Ionization rates and energy and angular distributions at the barrier-suppression ionization of complex atoms and atomic ions. J. Opt. Soc. Am. B 1997, 14, 425–431. [Google Scholar] [CrossRef]
- Delone, N.B.; Krainov, V.P. Tunneling and barrier-suppression ionization of atoms and ions in a laser radiation field. Phys. Usp. 1998, 41, 469–474. [Google Scholar] [CrossRef]
- Popruzhenko, S.V.; Mur, V.D.; Popov, V.S.; Bauer, D. Strong field ionization rate for arbitrary laser frequencies. Phys. Rev. Lett. 2008, 101, 193003. [Google Scholar] [CrossRef] [PubMed]
- Stancalie, V. Static and dynamic polarizability for C2+ in Rydberg states. AIP Adv. 2015, 5, 077186. [Google Scholar] [CrossRef]






| 1s22pns (1Po) n | ωtune (au) | Imin (TW/cm2) | Imax (TW/cm2) | γBSI | γmax |
|---|---|---|---|---|---|
| 5 | 0.3089 | 0.1 | 10.0 | 0.0425 | 0.2629 |
| 6 | 0.29785 | 0.45 | 10.0 | 0.0705 | 0.0949 |
| 7 | 0.29885 | 0.01 | 1.0 | 0.1155 | 0.5459 |
| 8 | 0.29877 | 0.01 | 1.0 | 0.1757 | 0.4759 |
| 9 | 0.29862 | 0.003 | 0.9 | 0.2533 | 0.7685 |
| 10 | 0.29849 | 0.005 | 0.2 | 0.3505 | 0.5328 |
| 11 | 0.29839 | 0.003 | 0.1 | 0.4699 | 0.6227 |
Publisher’s Note: MDPI stays neutral with regard to jurisdictional claims in published maps and institutional affiliations. |
© 2022 by the author. Licensee MDPI, Basel, Switzerland. This article is an open access article distributed under the terms and conditions of the Creative Commons Attribution (CC BY) license (https://creativecommons.org/licenses/by/4.0/).
Share and Cite
Stancalie, V. Singly Resonant Multiphoton Processes Involving Autoionizing States in the Be-like CIII Ion. Symmetry 2022, 14, 2528. https://doi.org/10.3390/sym14122528
Stancalie V. Singly Resonant Multiphoton Processes Involving Autoionizing States in the Be-like CIII Ion. Symmetry. 2022; 14(12):2528. https://doi.org/10.3390/sym14122528
Chicago/Turabian StyleStancalie, Viorica. 2022. "Singly Resonant Multiphoton Processes Involving Autoionizing States in the Be-like CIII Ion" Symmetry 14, no. 12: 2528. https://doi.org/10.3390/sym14122528
APA StyleStancalie, V. (2022). Singly Resonant Multiphoton Processes Involving Autoionizing States in the Be-like CIII Ion. Symmetry, 14(12), 2528. https://doi.org/10.3390/sym14122528
